Sign in to use this feature.

Years

Between: -

Subjects

remove_circle_outline
remove_circle_outline
remove_circle_outline
remove_circle_outline
remove_circle_outline
remove_circle_outline
remove_circle_outline
remove_circle_outline
remove_circle_outline

Journals

remove_circle_outline
remove_circle_outline
remove_circle_outline
remove_circle_outline
remove_circle_outline
remove_circle_outline
remove_circle_outline
remove_circle_outline
remove_circle_outline
remove_circle_outline
remove_circle_outline
remove_circle_outline
remove_circle_outline

Article Types

Countries / Regions

remove_circle_outline
remove_circle_outline
remove_circle_outline
remove_circle_outline
remove_circle_outline

Search Results (436)

Search Parameters:
Keywords = technological risk perception

Order results
Result details
Results per page
Select all
Export citation of selected articles as:
17 pages, 275 KB  
Article
Digital Finance Adoption in Brazil: An Exploratory Analysis on Financial Apps and Digital Financial Literacy
by Natali Morgana Cassola, Kalinca Léia Becker, Kelmara Mendes Vieira, Maria Fernanda da Silveira Feldmann, Mariana Rodrigues Chaves, Iasmin Camile Berndt and Anna Febe Machado Arruda
J. Risk Financial Manag. 2025, 18(10), 560; https://doi.org/10.3390/jrfm18100560 - 3 Oct 2025
Abstract
Digital transformation has fundamentally altered how individuals manage their finances. The expansion of financial technologies and the digitalization of banking services underscore the need for digital financial literacy, defined as the ability to safely use financial applications and make informed decisions within virtual [...] Read more.
Digital transformation has fundamentally altered how individuals manage their finances. The expansion of financial technologies and the digitalization of banking services underscore the need for digital financial literacy, defined as the ability to safely use financial applications and make informed decisions within virtual environments. This study examined the perceptions of financial application use across age groups and their corresponding level of digital financial literacy. This exploratory study used a convenience sample of 41 semi-structured interviews conducted in 2025. The data were analyzed using content analysis and descriptive statistics. The findings indicated that most participants prioritized digital apps over traditional channels and expressed confidence in their use, although concerns about data security remained. Participants identified key advantages, including convenience, efficiency, and centralized access, yet few used apps for financial planning. Most respondents demonstrated an intermediate level of digital knowledge, with limited proficiency in executing complex financial tasks. Perceptions revealed both optimism and apprehension: while participants valued the practicality of digital tools, they also recognized risks such as fraud, exclusion of vulnerable groups, and technological dependence. The limited and non-representative sample limits generalization, suggesting the need for broader surveys. Enhanced public policies promoting digital financial education in Brazil are recommended. Full article
(This article belongs to the Special Issue The New Horizons of Global Financial Literacy)
16 pages, 955 KB  
Review
Deep Brain Stimulation: Psychological and Neuroethical Perspectives
by Stella Sremic, Antea Krsek and Lara Baticic
Neurol. Int. 2025, 17(10), 158; https://doi.org/10.3390/neurolint17100158 - 2 Oct 2025
Abstract
Deep brain stimulation (DBS) is an evolving neurosurgical treatment, originally developed for movement disorders such as Parkinson’s disease, essential tremor, and dystonia. In recent years, it has been increasingly applied to psychiatric and cognitive disorders. This review aimed to summarize the psychological and [...] Read more.
Deep brain stimulation (DBS) is an evolving neurosurgical treatment, originally developed for movement disorders such as Parkinson’s disease, essential tremor, and dystonia. In recent years, it has been increasingly applied to psychiatric and cognitive disorders. This review aimed to summarize the psychological and neuroethical dimensions of DBS, with particular attention to cognitive, emotional, and personality-related outcomes. While DBS can significantly enhance quality of life, it may also lead to subtle or overt changes in cognition, affect, and self-perception, especially in patients with neuropsychiatric comorbidities. Comprehensive psychological evaluation, both pre- and post-operatively, is essential. Findings from recent trials highlight a balance of potential risks and benefits that must be communicated transparently to patients. From a neuroethical perspective, DBS raises important questions regarding personal identity and autonomy, concerns that will become increasingly relevant as the technology advances. This paper underscores the need for more systematic research and the development of personalized care protocols that address not only motor outcomes but also psychosocial well-being. Full article
(This article belongs to the Section Movement Disorders and Neurodegenerative Diseases)
Show Figures

Figure 1

21 pages, 3342 KB  
Article
Urban Flood Severity and Residents’ Participation in Disaster Relief: Evidence from Zhengzhou, China
by Mengmeng Zhang, Chenyu Zhang and Zimingdian Wang
Appl. Sci. 2025, 15(19), 10565; https://doi.org/10.3390/app151910565 - 30 Sep 2025
Abstract
As global climate change intensifies the frequency of extreme weather events, urban flood control and disaster reduction efforts face unprecedented challenges. With the limitations of traditional, top-down emergency management becoming increasingly apparent, many countries are actively incorporating community-based participation into flood risk governance. [...] Read more.
As global climate change intensifies the frequency of extreme weather events, urban flood control and disaster reduction efforts face unprecedented challenges. With the limitations of traditional, top-down emergency management becoming increasingly apparent, many countries are actively incorporating community-based participation into flood risk governance. While research in this area is expanding, the specific impact of urban flood inundation severity on residents’ participation in relief efforts remains significantly underexplored. To address this research gap, this study employs the Community Capitals Framework (CCF) and a Gradient Boosting Decision Tree (GBDT) model to empirically analyze 1322 survey responses from Zhengzhou, China, exploring the non-linear relationship between flood severity and public participation. Our findings are threefold: (1) As the most direct source of residents’ risk perception, flood inundation severity has a significant association with their participation level. (2) This relationship is distinctly non-linear. For instance, inundation severity within a 200 m radius of a resident’s home shows a predominantly negative relation with participation level, with the negative effect lessening at extreme levels of inundation. The distance from inundated areas, conversely, exhibits an “S-shaped” curve. (3) Flood severity exhibits a significant reinforcement interaction with both communication technology levels and government organizational mobilization. This indicates that, during public crises like flash floods, robust information channels and effective organizational support are positively related to residents’ transition from passive to active participation. This study reveals the complex, non-linear associations between flood severity and civic engagement, providing theoretical support and practical insights for optimizing disaster policies and enhancing community resilience within the broader context of urban land management and sustainable development. Full article
(This article belongs to the Special Issue Human Geography in an Uncertain World: Challenges and Solutions)
Show Figures

Figure 1

5 pages, 155 KB  
Editorial
Traffic Safety Measures and Assessment
by Juan Li and Bobin Wang
Appl. Sci. 2025, 15(19), 10532; https://doi.org/10.3390/app151910532 - 29 Sep 2025
Abstract
Traffic safety is undergoing a profound transformation, driven by advances in data science, sensing technologies, and computational modeling. Proactive approaches are enabling the early identification of potential hazards, real-time decision-making, and the development of smarter, safer transportation systems. This Special Issue summarizes recent [...] Read more.
Traffic safety is undergoing a profound transformation, driven by advances in data science, sensing technologies, and computational modeling. Proactive approaches are enabling the early identification of potential hazards, real-time decision-making, and the development of smarter, safer transportation systems. This Special Issue summarizes recent progress in traffic safety assessment, highlighting the application of emerging tools such as machine learning, explainable artificial intelligence, and computer vision. These innovations are used to predict crash risks, evaluate surrogate safety measures, and automate the analysis of behavioral data, contributing to more inclusive and adaptive safety frameworks, particularly for vulnerable road users such as pedestrians and cyclists. The research also addresses key challenges, including data integration across diverse sources, aligning safety metrics with human perception, and ensuring the scalability of models in complex environments. By advancing both technical methodologies and human-centered evaluation, these developments signal a shift toward more intelligent, transparent, and equitable approaches to traffic safety assessment and policy-making. Full article
(This article belongs to the Special Issue Traffic Safety Measures and Assessment)
23 pages, 3291 KB  
Article
Construction Safety Management: Based on the Theoretical Approach of BIM and the Technology Acceptance Model
by Chen Yuan, Afaq Rafi Awan and Amir Khan
Buildings 2025, 15(19), 3444; https://doi.org/10.3390/buildings15193444 - 23 Sep 2025
Viewed by 196
Abstract
The construction industry in Pakistan faces persistent challenges due to uncertainties such as behavioral intention, risk identification, and stakeholder perception, which often lead to significant losses in construction activities and human resources. This study aims to quantitatively evaluate these critical factors within the [...] Read more.
The construction industry in Pakistan faces persistent challenges due to uncertainties such as behavioral intention, risk identification, and stakeholder perception, which often lead to significant losses in construction activities and human resources. This study aims to quantitatively evaluate these critical factors within the theoretical framework of Building Information Modeling (BIM) and the Technology Acceptance Model (TAM). Specifically, key constructs—Behavioral Intention (BI), Hazard Identification (HI), and Stakeholder Perception (SP)—are analyzed to assess their influence on construction safety management practices. A structured questionnaire was distributed electronically to construction professionals across various ongoing projects in Pakistan. The questionnaire items were based on a five-point Likert scale, and reliability was confirmed with high Cronbach’s alpha values for BI (0.82), HI (0.92), and SP (0.91). To evaluate the relationships between constructs, descriptive statistics and multiple regression analysis were employed. The regression results showed strong model fit for BI and HI (R2 = 0.945), and near-perfect fit for SP (R2 = 0.998), demonstrating robust predictive power. Significant correlations were found among independent variables such as Perceived Usefulness (PU), Perceived Ease of Use (PEOU), Attitude Toward Use (ATU), and others. This study further identifies Trust (TR) and Organizational Culture (OC) as critical predictors of stakeholder perception in the BIM context. A conceptual framework was developed incorporating statistical parameters (e.g., p-values, R2, t-stats) to categorize the effectiveness of BIM and TAM theoretical integration for safety risk management. This approach is novel in its use of TAM-based constructs to evaluate BIM-related safety outcomes in the Pakistani construction sector—a context where such empirical evidence is limited. The findings provide predictive insights into how behavioral, perceptual, and organizational variables influence construction safety performance, offering practical implications for BIM adoption and safety policy design. Full article
Show Figures

Figure 1

37 pages, 2066 KB  
Review
State-of-the-Art and Future Trends in Deformation Response of Tunnel Intersection Construction Zones
by Jian Lu, Wei Li, Panyi Wei, Yanlin Li, Chaosheng Zhang, Chunyang Li and Aijun Yao
Appl. Sci. 2025, 15(18), 10253; https://doi.org/10.3390/app151810253 - 20 Sep 2025
Viewed by 178
Abstract
The construction of urban underground space develops very fast, and tunnel intersection construction has become a common practice, attracting significant attention due to the associated deformation responses and risk control challenges. To systematically review the research landscape and cutting-edge developments in this field, [...] Read more.
The construction of urban underground space develops very fast, and tunnel intersection construction has become a common practice, attracting significant attention due to the associated deformation responses and risk control challenges. To systematically review the research landscape and cutting-edge developments in this field, this study conducts a comprehensive analysis based on 744 publications (1994–2025) from the Web of Science Core Collection using bibliometric methods. Firstly, through visual analyses of annual publication trends, journal distributions, and keyword co-occurrences, the study reveals the evolution and research hotspots of the past three decades. Subsequently, three core dimensions are explored in depth: deformation mechanisms and patterns, deformation analysis methods for ground and existing structures, and ground control and reinforcement techniques. The review highlights the following: (1) Research focus has shifted from single construction scenarios to the complex interactions among multiple tunnels, yet the cumulative deformation effects caused by repeated soil disturbances during sequential excavation remain inadequately understood. (2) The bidirectional coupling between existing tunnels and surrounding soil has become a major research focus and challenge. Particularly in the presence of high-stiffness structures, the “free-field” assumption in the commonly used two-stage method is being questioned, necessitating the development of more refined computational theories. (3) Optimization of construction schemes under complex conditions is key to disturbance control, but current research still lacks systematic multi-objective optimization approaches. In addition, this paper analyzes the current research status and future directions to enhance the deformation perception capability and control technologies in tunnel construction influence zones, thereby further improving the safety and intelligence level of tunnel construction. Full article
Show Figures

Figure 1

22 pages, 1010 KB  
Review
Role of Certifications and Labelling in Ensuring Authenticity and Sustainability of Fermented Milk Products
by Magdalena Ankiel, Michał Halagarda, Agnieszka Piekara, Sylwia Sady, Paulina Żmijowska, Stanisław Popek, Bogdan Pachołek, Bartłomiej Jefmański, Michał Kucia and Małgorzata Krzywonos
Sustainability 2025, 17(18), 8398; https://doi.org/10.3390/su17188398 - 19 Sep 2025
Viewed by 420
Abstract
The increasing demand for sustainably produced food has intensified interest in fermented milk products, such as yoghurt, which combine nutritional value with environmental and ethical considerations. However, the authenticity of sustainability claims in this sector remains contested, raising concerns about consumer trust and [...] Read more.
The increasing demand for sustainably produced food has intensified interest in fermented milk products, such as yoghurt, which combine nutritional value with environmental and ethical considerations. However, the authenticity of sustainability claims in this sector remains contested, raising concerns about consumer trust and regulatory clarity. This review examines the role of certification and labelling in verifying and communicating the sustainability of fermented milk products. The analysis covers regulatory frameworks, consumer perceptions, and the potential of digital tools to improve transparency. Findings highlight inconsistencies in defining key terms such as organic, probiotic, and carbon-neutral, which hinder certification harmonization. Complex labels and allergen declarations can reduce clarity and trust, while overlapping or vague eco-labels risk contributing to consumer confusion and skepticism. Despite this, credible certifications still enhance purchase intent. Modern technologies, including blockchain traceability, interactive QR codes, and digital product passports, offer new ways to reinforce trust, though implementation costs and regulatory gaps remain barriers. This review concludes that effective sustainability communication must integrate robust certification schemes with simplified, transparent messaging. Harmonized standards, improved label design, and consumer education are essential to support informed choices and foster trust in sustainable dairy. Full article
Show Figures

Figure 1

42 pages, 2077 KB  
Systematic Review
From E-Government to AI E-Government: A Systematic Review of Citizen Attitudes
by Ioanna Savveli, Maria Rigou and Stefanos Balaskas
Informatics 2025, 12(3), 98; https://doi.org/10.3390/informatics12030098 - 16 Sep 2025
Viewed by 782
Abstract
Governments increasingly integrate artificial intelligence (AI) into digital public services, and understanding how citizens perceive and respond to these technologies has become essential. This systematic review analyzes 30 empirical studies published from early January 2019 to mid-April 2025, following PRISMA guidelines, to map [...] Read more.
Governments increasingly integrate artificial intelligence (AI) into digital public services, and understanding how citizens perceive and respond to these technologies has become essential. This systematic review analyzes 30 empirical studies published from early January 2019 to mid-April 2025, following PRISMA guidelines, to map the current landscape of citizen attitudes toward AI-enabled e-government services. Guided by four research questions, the study examines: (1) the forms of AI implementation most commonly investigated, (2) the attitudinal variables used to assess user perception, (3) key factors influencing attitudes, and (4) concerns and challenges reported by users. The findings reveal that chatbots dominate current implementations, with behavioral intentions and satisfaction serving as the main outcome measures. Perceived usefulness, ease of use, trust, and perceived risk emerge as recurring determinants of positive attitudes. However, widespread concerns related to privacy and interface usability highlight persistent barriers. Overall, the review underscores the need for transparent, citizen-centered AI design and ethical safeguards to enhance acceptance and trust. It concludes that future research should address understudied applications, include vulnerable populations, and explore perceptions across diverse public sector domains. Full article
Show Figures

Figure 1

38 pages, 3221 KB  
Article
Simulating the Effects of Sensor Failures on Autonomous Vehicles for Safety Evaluation
by Francisco Matos, João Durães and João Cunha
Informatics 2025, 12(3), 94; https://doi.org/10.3390/informatics12030094 - 15 Sep 2025
Viewed by 1003
Abstract
Autonomous vehicles (AVs) are increasingly becoming a reality, enabled by advances in sensing technologies, intelligent control systems, and real-time data processing. For AVs to operate safely and effectively, they must maintain a reliable perception of their surroundings and internal state. However, sensor failures, [...] Read more.
Autonomous vehicles (AVs) are increasingly becoming a reality, enabled by advances in sensing technologies, intelligent control systems, and real-time data processing. For AVs to operate safely and effectively, they must maintain a reliable perception of their surroundings and internal state. However, sensor failures, whether due to noise, malfunction, or degradation, can compromise this perception and lead to incorrect localization or unsafe decisions by the autonomous control system. While modern AV systems often combine data from multiple sensors to mitigate such risks through sensor fusion techniques (e.g., Kalman filtering), the extent to which these systems remain resilient under faulty conditions remains an open question. This work presents a simulation-based fault injection framework to assess the impact of sensor failures on AVs’ behavior. The framework enables structured testing of autonomous driving software under controlled fault conditions, allowing researchers to observe how specific sensor failures affect system performance. To demonstrate its applicability, an experimental campaign was conducted using the CARLA simulator integrated with the Autoware autonomous driving stack. A multi-segment urban driving scenario was executed using a modified version of CARLA’s Scenario Runner to support Autoware-based evaluations. Faults were injected simulating LiDAR, GNSS, and IMU sensor failures in different route scenarios. The fault types considered in this study include silent sensor failures and severe noise. The results obtained by emulating sensor failures in our chosen system under test, Autoware, show that faults in LiDAR and IMU gyroscope have the most critical impact, often leading to erratic motion and collisions. In contrast, faults in GNSS and IMU accelerometers were well tolerated. This demonstrates the ability of the framework to investigate the fault-tolerance of AVs in the presence of critical sensor failures. Full article
Show Figures

Figure 1

17 pages, 534 KB  
Article
Digital Transformation and Entrepreneurial Risk-Taking: Navigating Affordance and Apprehension in SME Intentions
by Konstantinos S. Skandalis and Dimitra Skandali
Risks 2025, 13(9), 177; https://doi.org/10.3390/risks13090177 - 11 Sep 2025
Viewed by 451
Abstract
Digitalization is reshaping entrepreneurship, yet the mechanisms that translate new technological possibilities into entrepreneurial intention remain poorly understood, especially for resource-constrained small and medium-sized enterprises (SMEs). Building on the Theory of Planned Behaviour, Entrepreneurial Risk-Taking Theory and Affordance Theory, this study proposes and [...] Read more.
Digitalization is reshaping entrepreneurship, yet the mechanisms that translate new technological possibilities into entrepreneurial intention remain poorly understood, especially for resource-constrained small and medium-sized enterprises (SMEs). Building on the Theory of Planned Behaviour, Entrepreneurial Risk-Taking Theory and Affordance Theory, this study proposes and tests an integrated model that captures how individual cognition, digital capability and platform-related risk interact to shape digital entrepreneurial intention (DEI). Survey data from 428 Greek SME owner-managers were analyzed with Partial Least Squares Structural Equation Modelling (PLS-SEM). Results show that entrepreneurial self-efficacy, financial risk tolerance, digital literacy and perceived platform affordances each exert significant positive effects on DEI, whereas perceived platform risk exerts a significant negative effect. Importantly, platform risk also dampens the positive impact of self-efficacy, revealing a boundary condition often overlooked in intention research. The findings position digital transformation as a double-edged phenomenon amplifying opportunity through affordances while simultaneously magnifying risk. The study advances theory by integrating risk perceptions and affordance recognition into a TPB framework, and it offers actionable guidance: policy makers should stabilize digital-regulatory regimes, platform providers should increase transparency and reliability, and SME support programs should blend digital-skills training with calibrated risk-management tools. Together, such measures can convert latent entrepreneurial confidence into resilient digital venture creation. This study contributes to theory by extending the Theory of Planned Behaviour with risk-sensitive boundary conditions, broadening Risk-Taking Theory to account for platform-specific uncertainties, and validating Affordance Theory in a digital SME context. Practically, it provides actionable guidance for entrepreneurs, policymakers, and platform operators on balancing digital capability development with systemic risk governance. Full article
Show Figures

Figure 1

13 pages, 711 KB  
Article
How Media and Climate Perception Affect Residents’ Willingness to Pay for Environmental Protection: Evidence from China
by Fangyuan Sun and Zeming Kong
Sustainability 2025, 17(18), 8138; https://doi.org/10.3390/su17188138 - 10 Sep 2025
Viewed by 324
Abstract
While scientific and technological advancements drive societal progress, they have concurrently contributed to environmental pollution and climate change. Given the intrinsic interconnection between communication and environmental studies, this research leverages data from the Chinese General Social Survey (CGSS 2021) as its sample. Employing [...] Read more.
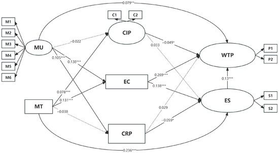
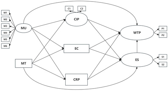
While scientific and technological advancements drive societal progress, they have concurrently contributed to environmental pollution and climate change. Given the intrinsic interconnection between communication and environmental studies, this research leverages data from the Chinese General Social Survey (CGSS 2021) as its sample. Employing structural equation modeling (SEM), the study investigates the impact of media usage and perception of climate change issues on willingness to pay (WTP) for environmental protection. This study aims to investigate the interrelationships between media usage, climate perception, and WTP for environmental protection among Chinese residents through innovative model construction and variable selection, seeking to contribute to the enhancement of environmental protection from the perspective of media usage. Results indicate that media usage frequency (MU) positively predicts environmental concern (EC), climate risk perception (CRP), and WTP. Media trustworthiness (MT) positively influences climate impact perception (CIP), EC, and environmental satisfaction (ES). Climate impact perception negatively predicts WTP, while climate risk perception negatively affects ES. Environmental concern positively predicts both ES and WTP, and ES further positively predicts WTP. To enhance public environmental awareness, improve ES, and strengthen WTP for sustainable climate governance, we recommend that media institutions intensify climate risk communication and construct science-based narrative frameworks, while governmental bodies should improve environmental governance systems to elevate public satisfaction. Full article
Show Figures

Figure 1

19 pages, 6068 KB  
Article
Multimodal Fusion-Based Self-Calibration Method for Elevator Weighing Towards Intelligent Premature Warning
by Jiayu Luo, Xubin Yang, Qingyou Dai, Weikun Qiu, Siyu Nie, Junjun Wu and Min Zeng
Sensors 2025, 25(17), 5550; https://doi.org/10.3390/s25175550 - 5 Sep 2025
Viewed by 1119
Abstract
As a high-frequency and essential type of special electromechanical equipment, a vertical elevator has a significant societal implication for their safe operation. The load-weighing module, serving as the core component for overload warning, is susceptible to precision degradation due to the nonlinear deformation [...] Read more.
As a high-frequency and essential type of special electromechanical equipment, a vertical elevator has a significant societal implication for their safe operation. The load-weighing module, serving as the core component for overload warning, is susceptible to precision degradation due to the nonlinear deformation of rubber buffers installed at the base of the elevator car. This deformation arises from the coupled effects of environmental factors such as temperature, humidity, and material aging, leading to potential safety risks including missed overload alarms and false empty status detections. To address the issue of accuracy deterioration in elevator load-weighing systems, this study proposes an online self-calibration method based on multimodal information fusion. A reference detection model is first constructed to map the relationship between applied load and the corresponding relative compression of the rubber buffers. Subsequently, displacement data from a draw-wire sensor are integrated with target detection model outputs, enabling real-time extraction of dynamic rubber buffers’ deformation characteristics under empty conditions. Based on the above, a displacement-based compensation term is derived to enhance the accuracy of load estimation. This is further supported by a dynamic error compensation mechanism and an online computation framework, allowing the system to self-calibrate without manual intervention. The proposed approach eliminates the dependency on manual tuning inherent in traditional methods and forms a highly robust solution for load monitoring. Field experiments demonstrate the effectiveness of the proposed method and the stability of the prototype system. The results confirm that the synergistic integration of multimodal perception and adaptive calibration technologies effectively resolves the challenge of load-weighing precision degradation under complex operating conditions, offering a novel technical paradigm for elevator safety monitoring. Full article
(This article belongs to the Section Electronic Sensors)
Show Figures

Figure 1

8 pages, 1167 KB  
Proceeding Paper
Assessing Musculoskeletal Health Risks in Standing Occupations
by Valentina Markova, Zornitsa Petrova and Ivalena Valcheva-Georgieva
Eng. Proc. 2025, 104(1), 74; https://doi.org/10.3390/engproc2025104074 - 3 Sep 2025
Viewed by 307
Abstract
This study investigates the risk of developing musculoskeletal disorders (MSDs) in individuals performing standing tasks, with a focus on real-time posture assessment using motion capture technology. Improper body posture and repetitive movements during daily work activities can impose strain on the musculoskeletal system, [...] Read more.
This study investigates the risk of developing musculoskeletal disorders (MSDs) in individuals performing standing tasks, with a focus on real-time posture assessment using motion capture technology. Improper body posture and repetitive movements during daily work activities can impose strain on the musculoskeletal system, increasing the likelihood of discomfort and long-term injury. Data were collected from five male and female participants using the Perception Neuron motion capture system, with body-mounted sensors tracking posture and movement. Joint angles were calculated to distinguish between correct and incorrect postures based on ISO 11226:2000 ergonomic guidelines. Key physical risk factors identified included prolonged forward trunk inclination, elevated arm positions, and repetitive actions. The analysis revealed that participants frequently adopted moderate- to high-risk postures, especially when working at non-ergonomic desk heights, suggesting a heightened risk of MSDs such as back and upper limb pain. These findings underscore the importance of real-time ergonomic monitoring and adaptive workstation design to reduce musculoskeletal risks in standing work environments. Full article
Show Figures

Figure 1

22 pages, 693 KB  
Article
How Perceived Motivations Influence User Stickiness and Sustainable Engagement with AI-Powered Chatbots—Unveiling the Pivotal Function of User Attitude
by Hua Pang, Zhuyun Hu and Lei Wang
J. Theor. Appl. Electron. Commer. Res. 2025, 20(3), 228; https://doi.org/10.3390/jtaer20030228 - 1 Sep 2025
Viewed by 565
Abstract
Artificial intelligence (AI) is reshaping customer service, with AI-powered chatbots serving as a critical component in delivering continuous support across sales, marketing, and service domains, thereby enhancing operational efficiency. However, consumer engagement remains suboptimal, as many users favor human interaction due to concerns [...] Read more.
Artificial intelligence (AI) is reshaping customer service, with AI-powered chatbots serving as a critical component in delivering continuous support across sales, marketing, and service domains, thereby enhancing operational efficiency. However, consumer engagement remains suboptimal, as many users favor human interaction due to concerns regarding chatbots’ ability to address complex issues and their perceived lack of empathy, which subsequently reduces satisfaction and sustainable usage. This study examines the determinants of user attitude and identifies factors influencing sustainable chatbot use. Utilizing survey data from 735 Chinese university students who have engaged with AI-powered chatbots, the analysis reveals that four key motivational categories: utilitarian (information acquisition), hedonic (enjoyment and time passing), technology (media appeal), and social (social presence and interaction) significantly influence user attitude toward chatbot services. Conversely, privacy invasion exerts a negative impact on user attitude, suggesting that while chatbots provide certain benefits, privacy issues can significantly undermine user satisfaction. Moreover, the findings suggest that user attitude serves as a pivotal determinant in fostering both user stickiness and sustainable usage of chatbot services. This study advances prior U&G-, TAM-, and ECM-based research by applying these frameworks to AI-powered chatbots in business communication, refining the U&G model with four specific motivations, integrating perceived privacy invasion to bridge gratification theory with risk perception, and directly linking user motivations to business outcomes such as attitude and stickiness. This study underscores that optimizing chatbot functionalities to enhance user gratification while mitigating privacy risks can substantially improve user satisfaction and stickiness, offering valuable implications for businesses aiming to enhance customer loyalty through AI-powered services. Full article
Show Figures

Figure 1

25 pages, 709 KB  
Article
ESG Disclosure Frequency and Its Association with Market Performance: Evidence from Taiwan
by Chih-Feng Liao
Sustainability 2025, 17(17), 7812; https://doi.org/10.3390/su17177812 - 29 Aug 2025
Cited by 1 | Viewed by 1136
Abstract
This study challenges the conventional wisdom that investor reactions to Environmental, Social, and Governance (ESG) information are primarily driven by disclosure sentiment. We propose and test an alternative hypothesis: that for investors navigating information-rich environments, the frequency of ESG disclosures can serve as [...] Read more.
This study challenges the conventional wisdom that investor reactions to Environmental, Social, and Governance (ESG) information are primarily driven by disclosure sentiment. We propose and test an alternative hypothesis: that for investors navigating information-rich environments, the frequency of ESG disclosures can serve as a more potent signal of a firm’s underlying commitment and risk profile than the sentiment of the announcements themselves. Focusing on Taiwan’s capital market—a globally pivotal technology hub—we analyze 2576 firm-initiated ESG events from 2014 to 2023 using an event study methodology. We innovate by employing a BERT-based NLP model, specifically fine-tuned for Traditional Chinese, to disentangle the effects of disclosure frequency from sentiment. Our results reveal that announcement frequency is a more robust predictor of abnormal returns than sentiment, but its effect is highly contingent on the ESG pillar. A higher frequency of negative Social (S) and Governance (G) disclosures incurs a significant market penalty, whereas frequent proactive Environmental (E) disclosures are rewarded. These findings establish a “disclosure frequency premium/penalty” and offer critical, nuanced insights for corporate strategy and sustainable investment. By demonstrating how communication patterns shape market perceptions, this research directly informs UN SDG 12 (Responsible Production) and SDG 16 (Strong Institutions). Full article
Show Figures

Graphical abstract

Back to TopTop