Sign in to use this feature.

Years

Between: -

Subjects

remove_circle_outline
remove_circle_outline
remove_circle_outline
remove_circle_outline
remove_circle_outline
remove_circle_outline
remove_circle_outline

Journals

Article Types

Countries / Regions

Search Results (12)

Search Parameters:
Keywords = sugarcane sprouts

Order results
Result details
Results per page
Select all
Export citation of selected articles as:
17 pages, 1858 KB  
Article
Sugarcane Responses to Water Deficit Are Modulated by Environmental CO2 Concentration in a Genotype and Scale Dependent-Manner
by Zulma Catherine Cardenal-Rubio, Elberth Hernando Pinzón-Sandoval, Paulo Cássio Alves Linhares, Antonia Almeida da Silva, Claudia Rita de Souza, Mewael Kiros Assefa, João Paulo Rodrigues Alves Delfino Barbosa and Paulo Eduardo Ribeiro Marchiori
Agronomy 2025, 15(3), 726; https://doi.org/10.3390/agronomy15030726 - 18 Mar 2025
Cited by 1 | Viewed by 1496
Abstract
Events by changes in climate alter the growth and physiology of sugarcane. In this context, the study aimed to investigate the morphological, anatomical, and physiological responses of two different sugarcane varieties under a condition of high carbon dioxide (CO2) associated with [...] Read more.
Events by changes in climate alter the growth and physiology of sugarcane. In this context, the study aimed to investigate the morphological, anatomical, and physiological responses of two different sugarcane varieties under a condition of high carbon dioxide (CO2) associated with water deficit, testing the hypothesis that sugarcane responses to drought are modulated by high (CO2) in different plant scales. Thirty days after sprouting, the plants were grown under two (CO2) in the atmosphere (400 and 680 μmol CO2 mol−1 of air) and under water restriction conditions. At the morphological level, we assessed total biomass, plant height, stem diameter, leaf area, and root-shoot ratio; at the physiological level, relative water content, water use efficiency, in vivo maximum rate of Rubisco, and PEPC carboxylation, photosynthesis, total organic carbon, and nitrogen, and carbon-nitrogen ratio. At the anatomical level, we assessed stomatal density at adaxial and abaxial surfaces and wall thickness bundle sheath cells. The results indicate that at all levels, the response of sugarcane plants exposed to high CO2 concentration and drought is genotype-dependent. In general, variety RB855536 showed greater physiological responses: a better water use efficiency and alteration in the carboxylation rate of Rubisco enzyme, while variety RB867515 showed a greater morphological response determined by changes in biomass allocation and anatomical alterations of stomatal densities and functionality. The sugarcane varieties exposed to water deficit and high CO2 concentration developed different strategies based on morphological, physiological, and/or anatomical changes that are useful for facing climate change scenarios, and the effects of drought can be mitigated by the high (CO2) in the air. Full article
Show Figures

Figure 1

16 pages, 3270 KB  
Article
Effect of Conservation Management on Oxisol in a Sugarcane Area Under a Pre-Sprouted Seedling System
by Ingrid Nehmi de Oliveira, Zigomar Menezes de Souza, Denizart Bolonhezi, Rose Luiza Moraes Tavares, Renato Paiva de Lima, Reginaldo Barboza da Silva, Fernando Silva Araújo, Lenon Henrique Lovera and Elizeu de Souza Lima
Agriculture 2024, 14(11), 1965; https://doi.org/10.3390/agriculture14111965 - 1 Nov 2024
Viewed by 1423
Abstract
Conservation soil management, such as no-tillage and Rip Strip®, can be developed as an alternative to degradation processes such as compaction. This study aimed to compare conventional and conservation soil tillage regarding their soil physical attributes, root system, and stalk yield [...] Read more.
Conservation soil management, such as no-tillage and Rip Strip®, can be developed as an alternative to degradation processes such as compaction. This study aimed to compare conventional and conservation soil tillage regarding their soil physical attributes, root system, and stalk yield for two years. The experiment was conducted on the premises of Fazenda Cresciúma in an area of Typic Eutrudox in the municipality of Jardinópolis, state of São Paulo, Brazil, with an experimental design in random blocks. The treatments evaluated for the transplanted sugarcane were as follows: CT—conventional tillage with disk harrow; CTS—conventional tillage with disk harrow and subsoiling; MT—minimum tillage with Rip Strip®; NT—no-tillage. The variables evaluated were dry root mass, soil bulk density (Bd), total porosity (TP), and stalk yield for sugarcane plant and first ratoon harvest. The results allowed us to observe that CT was the system that most reduced the TP (varying 0.44–0.47 m3 m−3), while MT was the one that presented fewer changes (TP varying 0.47–0.51 m3 m−3). NT obtained the highest stalk yield (123 Mg ha−1) in the sugarcane plant cycle and greater amounts of roots in depths below 0.80 m. Conservation tillage by Rip Strip® proved to be a viable system for use in sugarcane because it provides greater dry root mass on the surface and maintenance of physical attributes compared to conventional tillage. Full article
(This article belongs to the Section Agricultural Soils)
Show Figures

Figure 1

17 pages, 4447 KB  
Article
Sugarcane-YOLO: An Improved YOLOv8 Model for Accurate Identification of Sugarcane Seed Sprouts
by Fujie Zhang, Defeng Dong, Xiaoyi Jia, Jiawen Guo and Xiaoning Yu
Agronomy 2024, 14(10), 2412; https://doi.org/10.3390/agronomy14102412 - 18 Oct 2024
Cited by 4 | Viewed by 2101
Abstract
Sugarcane is a crop that propagates through seed sprouts on nodes. Accurate identification of sugarcane seed sprouts is crucial for sugarcane planting and the development of intelligent sprout-cutting equipment. This paper proposes a sugarcane seed sprout recognition method based on the YOLOv8s model [...] Read more.
Sugarcane is a crop that propagates through seed sprouts on nodes. Accurate identification of sugarcane seed sprouts is crucial for sugarcane planting and the development of intelligent sprout-cutting equipment. This paper proposes a sugarcane seed sprout recognition method based on the YOLOv8s model by adding the simple attention mechanism (SimAM) module to the neck network of the YOLOv8s model and adding the spatial-depth convolution (SPD-Conv) to the tail convolution part. Meanwhile, the E-IoU loss function is chosen to increase the model’s regression speed. Additionally, a small-object detection layer, P2, is incorporated into the feature pyramid network (FPN), and the large-object detection layer, P5, is eliminated to further improve the model’s recognition accuracy and speed. Then, the improvement of each part is tested and analyzed, and the effectiveness of the improved modules is verified. Finally, the Sugarcane-YOLO model is obtained. On the sugarcane seed and sprout dataset, the Sugarcane-YOLO model performed better and was more balanced in accuracy and detection speed than other mainstream models, and it was the most suitable model for seed and sprout recognition by automatic sugarcane-cutting equipment. Experimental results showed that the Sugarcane-YOLO achieved a mAP50 value of 99.05%, a mAP72 value of 81.3%, a mAP50-95 value of 71.61%, a precision of 97.42%, and a recall rate of 98.63%. Full article
(This article belongs to the Section Precision and Digital Agriculture)
Show Figures

Figure 1

20 pages, 5365 KB  
Article
Deciphering Winter Sprouting Potential of Erianthus procerus Derived Sugarcane Hybrids under Subtropical Climates
by Mintu Ram Meena, K. Mohanraj, Ravinder Kumar, Raja Arun Kumar, Manohar Lal Chhabra, Neeraj Kulshreshtha, Gopalareddy Krishnappa, H. K. Mahadeva Swamy, A. Suganya, Perumal Govindaraj and Govind Hemaprabha
Plants 2024, 13(7), 1023; https://doi.org/10.3390/plants13071023 - 3 Apr 2024
Viewed by 1984
Abstract
Winter sprouting potential and red rot resistance are two key parameters for successful sugarcane breeding in the subtropics. However, the cultivated sugarcane hybrids had a narrow genetic base; hence, the present study was planned to evaluate the Erianthus procerus genome introgressed Saccharum hybrids [...] Read more.
Winter sprouting potential and red rot resistance are two key parameters for successful sugarcane breeding in the subtropics. However, the cultivated sugarcane hybrids had a narrow genetic base; hence, the present study was planned to evaluate the Erianthus procerus genome introgressed Saccharum hybrids for their ratooning potential under subtropical climates and red rot tolerance under tropical and subtropical climates. A set of 15 Erianthus procerus derived hybrids confirmed through the 5S rDNA marker, along with five check varieties, were evaluated for agro-morphological, quality, and physiological traits for two years (2018–2019 and 2019–2020) and winter sprouting potential for three years (2018–2019, 2019–2020, and 2020–2021). The experimental material was also tested against the most prevalent isolates of the red rot pathogen in tropical (Cf671 and Cf671 + Cf9401) and subtropical regions (Cf08 and Cf09). The E. procerus hybrid GU 12—19 had the highest winter sprouting potential, with a winter sprouting index (WSI) of 10.6, followed by GU 12—22 with a WSI of 8.5. The other top-performing hybrids were as follows: GU 12—21 and GU 12—29 with a WSI of 7.2 and 6.9, respectively. A set of nine E. procerus-derived hybrids, i.e., GU04 (28) EO—2, GU12—19, GU12—21, GU12—22, GU12—23, GU12—26, GU12—27, GU12—30, and GU12—31, were resistant to the most prevalent isolates of red rot in both tropical and subtropical conditions. The association analysis revealed significant correlations between the various traits, particularly the fibre content, with a maximum number of associations, which indicates its multifaceted impact on sugarcane characteristics. Principal component analysis (PCA) summarised the data, explaining 57.6% of the total variation for the measured traits and genotypes, providing valuable insights into the performance and characteristics of the Erianthus procerus derived hybrids under subtropical climates. The anthocyanin content of Erianthus procerus hybrids was better than the check varieties, ranging from 0.123 to 0.179 (2018–2019) and 0.111 to 0.172 (2019–2020); anthocyanin plays a vital role in mitigating cold injury, acting as an antioxidant in cool weather conditions, particularly in sugarcane. Seven hybrids recorded a more than 22% fibre threshold, indicating their industrial potential. These hybrids could serve as potential donors for cold tolerance and a high ratooning ability, along with red rot resistance, under subtropical climates. Full article
Show Figures

Figure 1

27 pages, 6703 KB  
Article
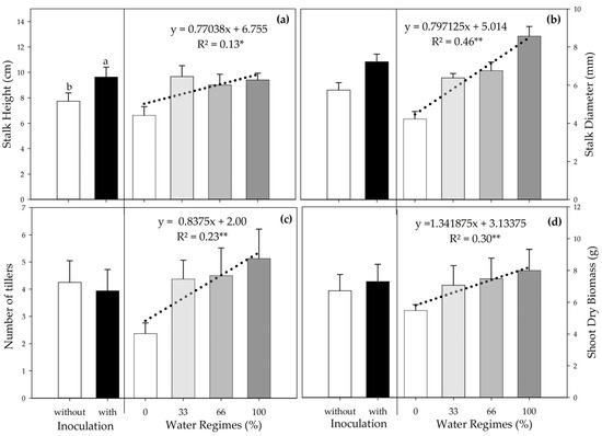
Plant Growth-Promoting Bacteria Enhance Survival, Growth, and Nutritional Content of Sugarcane Propagated through Pre-Sprouted Seedlings under Water Deficit
by Laura Costa Oliveira Almeida, Hariane Luiz Santos, Carlos Henrique de Castro Nogueira, Melina Rodrigues Alves Carnietto, Gustavo Ferreira da Silva, Carmen Sílvia Fernandes Boaro and Marcelo de Almeida Silva
Agriculture 2024, 14(2), 189; https://doi.org/10.3390/agriculture14020189 - 26 Jan 2024
Cited by 7 | Viewed by 4299
Abstract
Sugarcane plays a crucial role in global sugar and ethanol production. Conventionally, sugarcane propagation involves planting billets. However, Brazilian researchers have introduced the innovative pre-sprouted seedlings (PSS) method, widely used in the MEIOSI (Simultaneously Occurring Interrotational Method) system. Although PSS has several advantages [...] Read more.
Sugarcane plays a crucial role in global sugar and ethanol production. Conventionally, sugarcane propagation involves planting billets. However, Brazilian researchers have introduced the innovative pre-sprouted seedlings (PSS) method, widely used in the MEIOSI (Simultaneously Occurring Interrotational Method) system. Although PSS has several advantages over the conventional method, its sensitivity to water scarcity is a challenge. This study aimed to evaluate the survival and growth of PSS inoculated with Bacillus licheniformis and Bacillus subtilis (PGPB) under different water regimes. The experiment was conducted in the field in a randomized block in strips (split-block) using a 2 × 4 factorial scheme consisting of two inoculation conditions (with and without PGPB) and four water regimes (WR) (0%, 33%, 66%, and 100% of the ideal irrigation). PGPB increased PSS survival (4.17%) and water use efficiency (185.10% under the 0% WR). In addition, inoculation increased root (12.5%, 7.7%, and 16.2% for surface area, area projection, and root volume, respectively) and shoot growth. PGPB also increased nutrient uptake, such as N (60.8% and 18.3% under 0% and 66% WR), P (on average 11.7%), Mn (27.6% and 28.7% under 66% and 100% WR), Zn (111.4% under 0% WR), and Cu accumulation (27.17%), which provided a higher number of stalks per meter and, therefore, a higher multiplication rate in the MEIOSI system. Inoculation proved to be a promising alternative for PSS establishing under water restriction. Full article
(This article belongs to the Section Crop Production)
Show Figures

Figure 1

9 pages, 1132 KB  
Proceeding Paper
Formulation and Evaluation of Sugarcane-Bagasse-Based Biocontrol Agents for Sustainable Phytopathogen Management
by Chioma Bertha Ehis-Eriakha, Stephen Eromosele Akemu and Azeeza Tiamiyu
Biol. Life Sci. Forum 2023, 27(1), 52; https://doi.org/10.3390/IECAG2023-15992 - 14 Nov 2023
Cited by 2 | Viewed by 1702
Abstract
Biocontrol agents are microbiological-based alternatives to agrochemicals due to their effective and sustainable attributes in controlling phytopathogens. This research highlights the formulation of biocontrol agents using sugarcane-bagasse as a carrier matrix and the evaluation of the formulants in phytopathogen management. The isolated rhizospheric [...] Read more.
Biocontrol agents are microbiological-based alternatives to agrochemicals due to their effective and sustainable attributes in controlling phytopathogens. This research highlights the formulation of biocontrol agents using sugarcane-bagasse as a carrier matrix and the evaluation of the formulants in phytopathogen management. The isolated rhizospheric bacteria were screened for the antibiosis trait responsible for biocontrol activity using the agar streak method. Bacterial isolates with antibiosis potential were further identified phenotypically. The carrier was prepared by oven drying the sugarcane-bagasse at 90 °C for three days while grinding and sieving using a mesh sieve of 1.16 mm was done afterwards. For the biocontrol formulation, 200 mL of biocontrol inoculum was added to 20 g of sugarcane-bagasse for each organism to form the final products. Water and adhesion capacities were conducted on the three formulations and, the antagonistic potential of the formulants were evaluated using the maize growth profile after 21 days. A total of nine isolates were obtained; only three (3) showed antibiosis antagonistic activity and were further utilized for the formulations branded ZEEMYC (Mycobacterium spp.), ZEEPAS (Pseudomonas spp.), and ZEEBAC (Bacillus spp.), respectively. The water capacities of the three formulations were between 6.9 g and 9.9 g, respectively, while adhesion capacity was also observed. On day five (5), maize seeds planted in all pots sprouted, except diseased seeds without a biocontrol agent (DSs). On day 11, plant height, shoot length, and root length ranged between 36.5 cm and 39 cm, 31 cm and 34 cm, and 5 cm and 7 cm for plants with a biocontrol agent. Those of the control (healthy seeds without biocontrol) were 42 cm, 34.5 cm, and 7.5 cm, while barely visible growth was observed in the DSs. This study displays the potential of natural-based biocontrol agents in controlling the phytopathogen Aspergillus niger and contributes significantly to SDG 2. Full article
(This article belongs to the Proceedings of The 3rd International Electronic Conference on Agronomy)
Show Figures

Figure 1

17 pages, 2206 KB  
Article
Plant Photocatalysts: Photoinduced Oxidation and Reduction Abilities of Plant Leaf Ashes under Solar Light
by Xiaoqian Ma, Jiao He, Yu Liu, Xiaoli Bai, Junyang Leng, Yi Zhao, Daomei Chen and Jiaqiang Wang
Nanomaterials 2023, 13(15), 2260; https://doi.org/10.3390/nano13152260 - 6 Aug 2023
Cited by 2 | Viewed by 2717
Abstract
Plant leaf ashes were obtained via the high temperature calcination of the leaves of various plants, such as sugarcane, couchgrass, bracteata, garlic sprout, and the yellowish leek. Although the photosynthesis systems in plant leaves cannot exist after calcination, minerals in these ashes were [...] Read more.
Plant leaf ashes were obtained via the high temperature calcination of the leaves of various plants, such as sugarcane, couchgrass, bracteata, garlic sprout, and the yellowish leek. Although the photosynthesis systems in plant leaves cannot exist after calcination, minerals in these ashes were found to exhibit photochemical activities. The samples showed solar light photocatalytic oxidation activities sufficient to degrade methylene blue dye. They were also shown to possess intrinsic dehydrogenase-like activities in reducing the colorless electron acceptor 2,3,5-triphenyltetrazolium chloride to a red formazan precipitate under solar light irradiation. The possible reasons behind these two unreported phenomena were also investigated. These ashes were characterized using a combination of physicochemical techniques. Moreover, our findings exemplify how the soluble and insoluble minerals in plant leaf ashes can be synergistically designed to yield next-generation photocatalysts. It may also lead to advances in artificial photosynthesis and photocatalytic dehydrogenase. Full article
(This article belongs to the Special Issue Nanomaterials for Catalytic Pollutant Destruction)
Show Figures

Figure 1

16 pages, 3370 KB  
Article
Mapping of QTLs and Screening Candidate Genes Associated with the Ability of Sugarcane Tillering and Ratooning
by Ting Wang, Fu Xu, Zhoutao Wang, Qibin Wu, Wei Cheng, Youxiong Que and Liping Xu
Int. J. Mol. Sci. 2023, 24(3), 2793; https://doi.org/10.3390/ijms24032793 - 1 Feb 2023
Cited by 15 | Viewed by 6844
Abstract
The processes of sugarcane tillering and ratooning, which directly affect the yield of plant cane and ratoon, are of vital importance to the population establishment and the effective stalk number per unit area. In the present study, the phenotypic data of 285 F [...] Read more.
The processes of sugarcane tillering and ratooning, which directly affect the yield of plant cane and ratoon, are of vital importance to the population establishment and the effective stalk number per unit area. In the present study, the phenotypic data of 285 F1 progenies from a cross of sugarcane varieties YT93-159 × ROC22 were collected in eight environments, which consisted of plant cane and ratoon cultivated in three different ecological sites. The broad sense heritability (H2) of the tillering and the ratoon sprouting was 0.64 and 0.63, respectively, indicating that they were middle to middle-high heritable traits, and there is a significantly positive correlation between the two traits. Furthermore, a total of 26 quantitative trait loci (QTLs) related to the tillering ability and 11 QTLs associated with the ratooning ability were mapped on two high-quality genetic maps derived from a 100K SNP chip, and their phenotypic variance explained (PVE) ranged from 4.27–25.70% and 6.20–13.54%, respectively. Among them, four consistent QTLs of qPCTR-R9, qPCTR-Y28, qPCTR-Y60/qRSR-Y60 and PCTR-Y8-1/qRSR-Y8 were mapped in two environments, of which, qPCTR-Y8-1/qRSR-Y8 had the PVEs of 11.90% in the plant cane and 7.88% in the ratoon. Furthermore, a total of 25 candidate genes were identified in the interval of the above four consistent QTLs and four major QTLs of qPCTR-Y8-1, qPCTR-Y8-2, qRSR-R51 and qRSR-Y43-2, with the PVEs from 11.73–25.70%. All these genes were associated with tillering, including eight transcription factors (TFs), while 15 of them were associated with ratooning, of which there were five TFs. These QTLs and genes can provide a scientific reference for genetic improvement of tillering and ratooning traits in sugarcane. Full article
(This article belongs to the Special Issue Crop Stress Biology and Molecular Breeding 2.0)
Show Figures

Figure 1

15 pages, 625 KB  
Article
Winter Tolerance Potential of Genetically Diverse Sugarcane Clones under Subtropical Climate of Northern India
by Ravinder Kumar, Mintu Ram Meena, Pooja Dhansu, R. Karuppaiyan, C. Appunu, Neeraj Kulshreshtha, Prashant Kaushik and Bakshi Ram
Sustainability 2022, 14(18), 11757; https://doi.org/10.3390/su141811757 - 19 Sep 2022
Cited by 8 | Viewed by 3709 | Correction
Abstract
The low temperature (LT) conditions that prevail during winter in subtropical regions of India drastically affect the growth and yield of sugarcane. To identify low-temperature-tolerant agronomical acceptable genotypes for immediate deployment as donor parents in the subtropical sugarcane breeding program, 34 sugarcane clones [...] Read more.
The low temperature (LT) conditions that prevail during winter in subtropical regions of India drastically affect the growth and yield of sugarcane. To identify low-temperature-tolerant agronomical acceptable genotypes for immediate deployment as donor parents in the subtropical sugarcane breeding program, 34 sugarcane clones belonging to 7 genetically diverse groups were evaluated under three crop environments, viz., spring planting, winter ratoon and spring ratoon, during 2015–2016 and 2016–2017. In the winter ratoon crop, commercial cane sugar and cane yield were reduced, whereas sucrose % was increased over the spring planted crop and the spring ratoon crop. The wild species and introgressed hybrid groups showed improvement for yield and quality traits in the winter ratoon crop, whereas commercial and near commercial groups showed reduction for these traits over the plant and spring ratoon crops. The tropical cultivars group was the poorest performer irrespective of the traits and crops. Yield per se under a stress environment was adjudged as the best selection criteria. For classification of sugarcane clones according to their low temperature tolerance, an index named winter tolerance index (WTI) is proposed which takes into account the winter sprouting index (WSI), winter growth and yield per se of the winter ratoon crop. The WTI had significant positive association with WSI, cane yield, millable cane population and cane length. As per the WTI ratings, the wild species of Saccharum complex and introgressed hybrid groups were rated as excellent WT clones. Subtropical commercial or advanced generation groups were poor WT clones, and tropical commercial cultivars group were winter sensitive clones. Clones such as AS04-635, AS04-1687, IK76-48, GU07-2276, IND00-1040, IND00-1038 and IND00-1039 had excellent tolerance, and GU07-3849, AS04-245, Co 0238, AS04-2097 and GU07-3774 had good WTI scores. The variety, Co 0238, may be continued for cultivation under LT regions with prophylactic measurers for red rot, while other clones listed above may be utilized in subtropical breeding programs. Full article
(This article belongs to the Special Issue Study on Influencing Factors of Sustainable Crop Production)
Show Figures

Graphical abstract

16 pages, 3356 KB  
Article
Identification of Gene Modules and Hub Genes Associated with Sporisorium scitamineum Infection Using Weighted Gene Co-Expression Network Analysis
by Zongling Liu, Xiufang Li, Jie Li, Haiyun Zhao, Xingli Deng, Yizu Su, Ru Li and Baoshan Chen
J. Fungi 2022, 8(8), 852; https://doi.org/10.3390/jof8080852 - 15 Aug 2022
Cited by 6 | Viewed by 2961
Abstract
Sporisorium scitamineum is a biotrophic fungus responsible for sugarcane smut disease. To investigate the key genes involved in S. scitamineum infection, we conducted RNA sequencing of sugarcane sprouts inoculated with S. scitamineum teliospores. A weighted gene co-expression network analysis (WGCNA) showed that two [...] Read more.
Sporisorium scitamineum is a biotrophic fungus responsible for sugarcane smut disease. To investigate the key genes involved in S. scitamineum infection, we conducted RNA sequencing of sugarcane sprouts inoculated with S. scitamineum teliospores. A weighted gene co-expression network analysis (WGCNA) showed that two co-expressed gene modules, MEdarkturquoise and MEpurple—containing 66 and 208 genes, respectively—were associated with S. scitamineum infection. The genes in these two modules were further studied using Gene Ontology (GO) enrichment analysis, pathogen-host interaction (PHI) database BLASTp, and small secreted cysteine-rich proteins (SCRPs) prediction. The top ten hub genes in each module were identified using the Cytohubba plugin. The GO enrichment analysis found that endoplasmic reticulum-related and catabolism-related genes were expressed during S. scitamineum infection. A total of 83 genes had homologs in the PHI database, 62 of which correlated with pathogen virulence. A total of 21 proteins had the characteristics of small secreted cysteine-rich proteins (SCRPs), a common source of fungal effectors. The top ten hub genes in each module were identified, and seven were annotated as Mig1-Mig1 protein, glycosyl hydrolase, beta-N-acetylglucosaminidase, secreted chorismate mutase, collagen, mRNA export factor, and pleckstrin homology domain protein, while the remaining three were unknown. Two SCRPs—SPSC_06609 and SPSC_04676—and three proteins—SPSC_01958, SPSC_02155, and SPSC_00940—identified in the PHI database were also among the top ten hub genes in the MEdarkturquoise and MEpurple modules, suggesting that they may play important roles in S. scitamineum infection. A S. scitamineum infection model was postulated based on current findings. These findings help to deepen the current understanding of early events in S. scitamineum infection. Full article
(This article belongs to the Special Issue Plant Fungal Pathogenesis 2022)
Show Figures

Figure 1

14 pages, 3874 KB  
Article
Sugarcane Yield Mapping Using High-Resolution Imagery Data and Machine Learning Technique
by Tatiana Fernanda Canata, Marcelo Chan Fu Wei, Leonardo Felipe Maldaner and José Paulo Molin
Remote Sens. 2021, 13(2), 232; https://doi.org/10.3390/rs13020232 - 12 Jan 2021
Cited by 57 | Viewed by 11984
Abstract
Yield maps provide essential information to guide precision agriculture (PA) practices. Yet, on-board yield monitoring for sugarcane can be challenging. At the same time, orbital images have been widely used for indirect crop yield estimation for many crops like wheat, corn, and rice, [...] Read more.
Yield maps provide essential information to guide precision agriculture (PA) practices. Yet, on-board yield monitoring for sugarcane can be challenging. At the same time, orbital images have been widely used for indirect crop yield estimation for many crops like wheat, corn, and rice, but not for sugarcane. Due to this, the objective of this study is to explore the potential of multi-temporal imagery data as an alternative for sugarcane yield mapping. The study was based on developing predictive sugarcane yield models integrating time-series orbital imaging and a machine learning technique. A commercial sugarcane site was selected, and Sentinel-2 images were acquired from the beginning of the ratoon sprouting until harvesting of two consecutive cropping seasons. The predictive yield models RF (Random forest) and MLR (Multiple Linear Regression) were developed using orbital images and yield maps generated by a commercial sensor-system on harvesting. Original yield data were filtered and interpolated with the same spatial resolution of the orbital images. The entire dataset was divided into training and testing datasets. Spectral bands, especially the near-infrared at tillering crop stage showed greater contribution to predicting sugarcane yield than the use of derived spectral vegetation indices. The Root Mean Squared Error (RMSE) obtained for the RF regression based on multiple spectral bands was 4.63 Mg ha−1 with an R2 of 0.70 for the testing dataset. Overall, the RF regression had better performance than the MLR to predict sugarcane yield. Full article
(This article belongs to the Special Issue Digital Agriculture with Remote Sensing)
Show Figures

Graphical abstract

18 pages, 13931 KB  
Article
Mapping Crop Planting Quality in Sugarcane from UAV Imagery: A Pilot Study in Nicaragua
by Inti Luna and Agustín Lobo
Remote Sens. 2016, 8(6), 500; https://doi.org/10.3390/rs8060500 - 14 Jun 2016
Cited by 66 | Viewed by 14101
Abstract
Sugarcane is an important economic resource for many tropical countries and optimizing plantations is a serious concern with economic and environmental benefits. One of the best ways to optimize the use of resources in those plantations is to minimize the occurrence of gaps. [...] Read more.
Sugarcane is an important economic resource for many tropical countries and optimizing plantations is a serious concern with economic and environmental benefits. One of the best ways to optimize the use of resources in those plantations is to minimize the occurrence of gaps. Typically, gaps open in the crop canopy because of damaged rhizomes, unsuccessful sprouting or death young stalks. In order to avoid severe yield decrease, farmers need to fill the gaps with new plants. Mapping gap density is therefore critical to evaluate crop planting quality and guide replanting. Current field practices of linear gap evaluation are very labor intensive and cannot be performed with sufficient intensity as to provide detailed spatial information for mapping, which makes replanting difficult to perform. Others have used sensors carried by land vehicles to detect gaps, but these are complex and require circulating over the entire area. We present a method based on processing digital mosaics of conventional images acquired from a small Unmanned Aerial Vehicle (UAV) that produced a map of gaps at 23.5 cm resolution in a study area of 8.7 ha with 92.9% overall accuracy. Linear Gap percentage estimated from this map for a grid with cells of 10 m × 10 m linearly correlates with photo-interpreted linear gap percentage with a coefficient of determination (R2)= 0.9; a root mean square error (RMSE) = 5.04; and probability (p) << 0.01. Crop Planting Quality levels calculated from image-derived gaps agree with those calculated from a photo-interpreted version of currently used field methods (Spearman coefficient = 0.92). These results clearly demonstrate the effectiveness of processing mosaics of Unmanned Aerial System (UAS) images for mapping gap density and, together with previous studies using satellite and hand-held spectroradiometry, suggests the extension towards multi-spectral imagery to add insight on plant condition. Full article
Show Figures

Graphical abstract

Back to TopTop