Sign in to use this feature.

Years

Between: -

Subjects

remove_circle_outline
remove_circle_outline
remove_circle_outline
remove_circle_outline
remove_circle_outline
remove_circle_outline
remove_circle_outline
remove_circle_outline
remove_circle_outline

Journals

remove_circle_outline
remove_circle_outline
remove_circle_outline
remove_circle_outline
remove_circle_outline
remove_circle_outline
remove_circle_outline
remove_circle_outline
remove_circle_outline
remove_circle_outline
remove_circle_outline
remove_circle_outline
remove_circle_outline
remove_circle_outline
remove_circle_outline
remove_circle_outline
remove_circle_outline
remove_circle_outline
remove_circle_outline
remove_circle_outline

Article Types

Countries / Regions

remove_circle_outline
remove_circle_outline
remove_circle_outline
remove_circle_outline
remove_circle_outline
remove_circle_outline
remove_circle_outline

Search Results (2,350)

Search Parameters:
Keywords = students well-being

Order results
Result details
Results per page
Select all
Export citation of selected articles as:
19 pages, 4764 KB  
Article
Upper Bunk or Lower Bunk, Which Will You Choose? How Bed Position Shapes University Students’ Physiological and Psychological Well-Being in China
by Yiyao Zhang, Zikai Jin, Zijie Yuan, Junhui Chen and Xinke Yang
Buildings 2026, 16(3), 622; https://doi.org/10.3390/buildings16030622 (registering DOI) - 2 Feb 2026
Abstract
University dormitories, as crucial living spaces for students, significantly influence their physical and mental health based on the quality of spatial design. However, whether the use of an upper bunk (UB) or lower bunk (LB) induces differential physiological and psychological effects remains unclear. [...] Read more.
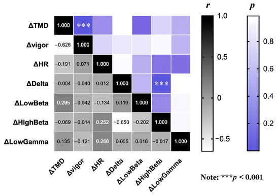
University dormitories, as crucial living spaces for students, significantly influence their physical and mental health based on the quality of spatial design. However, whether the use of an upper bunk (UB) or lower bunk (LB) induces differential physiological and psychological effects remains unclear. This study aimed to measure participants’ physiological and psychological responses in UB and LB environments to explore the differential impact of bunk bed positions on student comfort. A crossover experiment was conducted with 28 participants (14 male, 14 female). Dormitory scenes were recreated using point cloud scanning and virtual reality technology, and a crossover experimental design was implemented. Physiological and psychological responses during the use of UB and LB spaces were measured via heart rate variability (HRV), electroencephalography (EEG), and the Profile of Mood States (POMS). Key findings indicated that the UB space promoted a state of deeper relaxation, evidenced by significantly higher Delta activity (p = 0.039) and lower heart rate (p = 0.042) compared to the LB. Psychologically, participants reported significantly higher vitality (Vigor, p = 0.032) and lower total mood disturbance (TMD, p = 0.038) in the UB. Conversely, the LB environment tended to trigger neural alertness, with significantly elevated High Beta waves (p = 0.009). Furthermore, gender significantly moderated emotional responses, particularly for Vigor (p = 0.045). Overall, from the perspective of promoting physical and mental health, the UB space provided greater comfort than the LB. These findings offer empirical evidence to inform the optimization of dormitory spatial design. Full article
Show Figures

Figure 1

27 pages, 1183 KB  
Article
Satisfaction and Frustration of Basic Psychological Needs in Classroom Assessment
by Lia M. Daniels, Kendra Wells, Marlit Annalena Lindner, Adam M. Beeby and Vijay J. Daniels
Trends High. Educ. 2026, 5(1), 15; https://doi.org/10.3390/higheredu5010015 - 2 Feb 2026
Abstract
Examinations are central to higher education, yet students consistently describe them as detrimental to well-being. Drawing on self-determination theory (SDT), we conducted three studies to examine whether multiple-choice examinations could be redesigned to satisfy students’ basic psychological needs (BPNs) and support well-being. In [...] Read more.
Examinations are central to higher education, yet students consistently describe them as detrimental to well-being. Drawing on self-determination theory (SDT), we conducted three studies to examine whether multiple-choice examinations could be redesigned to satisfy students’ basic psychological needs (BPNs) and support well-being. In Study 1 (n = 400), we developed and validated the Basic Psychological Need Satisfaction and Frustration Scale for Classroom Assessment (BPNSF-CA). Using bifactor exploratory structural equation modeling (bifactor ESEM), results supported a well-defined single global need fulfillment factor (G-factor) alongside six specific factors (autonomy support/frustration, competence support/frustration, relatedness support/frustration) as well as evidence of validity. In Study 2 (n = 387), we conducted a randomized experiment with three versions of a multiple-choice exam serving as the independent variable (flawed items, high-quality items, and high-quality + need-supportive features). Results showed that high-quality items improved performance, while only the addition of need-supportive features satisfied BPNs with differential patterns for the single G-factor and S-factors. In Study 3 (n = 101), we applied the intervention in a real classroom and tested the mediational role of BPN satisfaction. Results showed that redesigned exams (high-quality + need-supportive features) significantly enhanced perceptions of fairness and success via BPNs. We conclude with a discussion of all three studies, including implications and limitations. Full article
Show Figures

Figure 1

13 pages, 661 KB  
Article
Between Steps and Emotions: Folk Dance as a Promoter of Youth Well-Being
by Karen Urra-López, Catalina Coronado-Reyno and Alda Reyno-Freundt
Children 2026, 13(2), 211; https://doi.org/10.3390/children13020211 - 31 Jan 2026
Viewed by 43
Abstract
Background/Objectives: Folk dance represents an educational and cultural practice that is capable of promoting psychological well-being, social cohesion, and identity formation. However, few studies have integrated students’ voices regarding their lived experiences in these practices. This study aimed to analyze the perceptions of [...] Read more.
Background/Objectives: Folk dance represents an educational and cultural practice that is capable of promoting psychological well-being, social cohesion, and identity formation. However, few studies have integrated students’ voices regarding their lived experiences in these practices. This study aimed to analyze the perceptions of children and adolescents about their participation in school folk dances, exploring their impact on psychological well-being, self-confidence, and body awareness. Methods: A qualitative study with an exploratory and descriptive design was conducted with a purposive sample of 76 elementary and secondary school students who participated in the School Folk Dance Encounter “Heartbeats of My Land”, organized by the Metropolitan University of Educational Sciences (Chile). Semi-structured interviews were applied, and a thematic analysis was performed on 285 statements, organized into two dimensions: Psychological Well-being and Self-Confidence (PWS) and Body Awareness, Expression, and Communication (CEC). Results: The analysis revealed a predominance of the (PWS) dimension (85.3%), focused on positive emotions, self-confidence, and emotional regulation. Students’ testimonies highlighted dance as a means of release, self-esteem, and joy. To a lesser extent (14.7%), the (CEC) dimension reflected the perception of the body as a vehicle for communication and symbolic expression. Conclusions: Folk dance emerges as an integral pedagogical space that enhances emotional well-being, self-confidence, and cultural identity. Its systematic inclusion in Physical Education is proposed as a strategy to foster meaningful learning, mental health, and social cohesion. Full article
Show Figures

Figure 1

18 pages, 859 KB  
Article
Association Between Physical Activity Level, Quality of Life Determinants, Internet Use, and Orthorexia Among Sport Science Students Living in Naples: An Observational Study
by Daniela Vitucci, Sara Dei, Rosa Ghirelli, Agnese Turi, Domenico Martone, Andreina Alfieri, Stefania Orrù, Annamaria Mancini and Pasqualina Buono
Healthcare 2026, 14(3), 369; https://doi.org/10.3390/healthcare14030369 - 31 Jan 2026
Viewed by 113
Abstract
Background: In recent years, growing attention has been paid to the lifestyle factors that influence young adults’ well-being. University students represent young adults at risk of Sedentary Behavior (SB) and mental distress. Sport Science students represent a health-conscious population, less prone to mental [...] Read more.
Background: In recent years, growing attention has been paid to the lifestyle factors that influence young adults’ well-being. University students represent young adults at risk of Sedentary Behavior (SB) and mental distress. Sport Science students represent a health-conscious population, less prone to mental distress. This study aims to investigate the associations between physical activity (PA) levels, different determinants of quality of life (QoL), orthorexia nervosa (ON) symptoms, and internet use among Sport Science students living in Naples. Methods: An online survey comprising General Data (GD) and eight validated questionnaires was used to assess PA levels, mood, sleep quality, eating habits, and digital behavior in a population of university students enrolled in Sport Science courses at Parthenope University, Naples. The statistical analyses included descriptive statistics, Student’s t-test, a Mann–Whitney U Test, frequencies, chi-square tests, and a Spearman’s rank correlation. All the analyses were performed using JASP and Jamovi software. Results: We surveyed 775 students (472 M; 303 F; 22.85 ± 3.85 y; BMI 23.74 ± 3.63 kg/m2). Regarding the MET-min/week, 65% of participants reported being highly active, 28% moderately active, and 7% inactive. Poor sleep quality was reported by 20% of those surveyed. Additionally, 84% of participants declared average internet use, which positively correlated with their emotional profile and sleep quality. High PA levels were directly associated with the presence of ON symptoms in 27% of the participants, most of whom exercised in gyms. Conclusions: To our knowledge, this is the first study conducted on a study population of Sport Science University students addressing the complex and interconnected relationships between PA levels, QoL, ON symptoms, and internet use. Full article
(This article belongs to the Section Public Health and Preventive Medicine)
Show Figures

Figure 1

15 pages, 361 KB  
Article
Sleep Habits, Physical Exercise, and Social Media Use and Their Influence on Perceptions of Physical and Mental Health—Case Study at a Higher Education Institution in Portugal
by Ana Paula Oliveira, Joana Nobre, Francisco Monteiro, Carlos Rodrigues, Olga Louro, Nelson Valente, Luís Branquinho, Nuno Carrajola and Bruno Morgado
Healthcare 2026, 14(3), 343; https://doi.org/10.3390/healthcare14030343 - 29 Jan 2026
Viewed by 137
Abstract
Background/Objectives: The transition to higher education is often accompanied by lifestyle changes that may influence sleep habits, physical activity, and social media use, with potential consequences for physical and mental health. Methods: A quantitative, cross-sectional, descriptive, and correlational study was conducted using an [...] Read more.
Background/Objectives: The transition to higher education is often accompanied by lifestyle changes that may influence sleep habits, physical activity, and social media use, with potential consequences for physical and mental health. Methods: A quantitative, cross-sectional, descriptive, and correlational study was conducted using an online questionnaire administered between April and May 2024. The sample included 201 participants (123 students and 78 teaching/non-teaching staff). Data were collected using the Mental Health Inventory-5 (MHI-5), Social Media Addiction Scale (SMAS), Global Physical Activity Questionnaire (GPAQ), and Pittsburgh Sleep Quality Index (PSQI). Descriptive statistics and Spearman correlation analyses were performed. Results: Students presented lower mental health scores compared to staff members. Sleep quality indicators, particularly reduced sleep efficiency and increased use of sleep medication, were significantly associated with poorer mental health. Correlations between physical activity, social media use, sleep quality, and mental health were generally weak, suggesting that these domains contribute independently to perceived well-being. Staff members showed slightly higher levels of social media addictive behaviors, while students reported shorter sleep duration and greater emotional variability. Conclusions: The findings indicate that students presented lower mental health scores and poorer sleep indicators compared to staff members. Sleep quality—particularly sleep duration, efficiency, and use of sleep medication—showed the most consistent associations with mental health, while physical activity and social media use demonstrated weaker relationships. These results highlight the relevance of targeted sleep-focused interventions within higher education settings, especially for students in low-density regions. Full article
Show Figures

Figure 1

16 pages, 849 KB  
Article
How Anxiety Shapes Students’ Self-Rated Health at Elite Universities: A Longitudinal Study
by Xinqiao Liu, Xinyuan Zhang and Yuyang Liu
Behav. Sci. 2026, 16(2), 197; https://doi.org/10.3390/bs16020197 - 29 Jan 2026
Viewed by 183
Abstract
Self-rated health is a comprehensive indicator reflecting an individual’s subjective assessment of their overall health status. The health condition of students in elite universities is directly related to the quality of talent reserves and the long-term development of the country. However, the multiple [...] Read more.
Self-rated health is a comprehensive indicator reflecting an individual’s subjective assessment of their overall health status. The health condition of students in elite universities is directly related to the quality of talent reserves and the long-term development of the country. However, the multiple challenges they face make them prone to subhealth issues. To understand and effectively intervene in the health dilemmas of this group from a psychological perspective, this study constructed a cross-lagged model to examine the potential bidirectional relationship between anxiety and self-rated health. We utilized two-wave longitudinal data from a sample of 896 undergraduate students (mean age 21.37 years, 60.27% male, 92.08% Han nationality) from five elite universities in Beijing, China. Anxiety was measured using the Depression Anxiety Stress Scales, while self-rated health was assessed via a single-item score. The study revealed that during the two survey periods, the anxiety levels of elite university students decreased (7.682/7.462), whereas their self-rated health scores increased (81.781/83.255). Higher levels of anxiety were significantly associated with lower levels of self-rated health in both the concurrent and cross-lagged analyses (r = −0.299~−0.173, p < 0.01). Prior anxiety could predict later self-rated health (β = −0.081, p < 0.05), but the reverse path from self-rated health to anxiety was not confirmed. Our findings indicate that anxiety among elite university students has a unidirectional prospective effect on self-rated health. On the basis of these findings, universities should integrate mental health services into their routine work systems, and students should also increase their sense of personal responsibility for their own health, actively seeking effective pathways to improve their physical and mental well-being. Full article
(This article belongs to the Section Health Psychology)
Show Figures

Figure 1

22 pages, 395 KB  
Article
Insights into School Well-Being: Development and Validation of the Appwel Measurement Instrument in Flemish Secondary Education
by Hanne Luts, Sascha Spikic and Katrien Struyven
Educ. Sci. 2026, 16(2), 207; https://doi.org/10.3390/educsci16020207 - 29 Jan 2026
Viewed by 79
Abstract
In contemporary education, schools are increasingly expected to foster students’ subjective well-being alongside academic achievement, as both are recognized as mutually reinforcing conditions for learning, success, and long-term outcomes. This study presents Appwel, a scalable instrument assessing pupils’ self-reported school experiences. It contains [...] Read more.
In contemporary education, schools are increasingly expected to foster students’ subjective well-being alongside academic achievement, as both are recognized as mutually reinforcing conditions for learning, success, and long-term outcomes. This study presents Appwel, a scalable instrument assessing pupils’ self-reported school experiences. It contains 21 statements rated on a 5-point Likert scale. Appwel was developed through a sequential three-phase process. First a Delphi study (N = 40) identified key concepts, which informed questionnaire development. Second, an exploratory factor analysis in a large, voluntary sample of Flemish secondary school students (N = 44,870) examined the underlying structure. Third, a confirmatory factor analysis in an independent student sample (N = 56,624) provided initial evidence of validity and reliability for a four-factor model with satisfactory fit and internal consistency across gender and grade. The final structure comprised class climate and engagement, peer relationships, academic self-concept, and authenticity and support, offering a practically applicable framework for monitoring students’ school well-being. Grounded in internationally established models of school well-being, Appwel is context-specific to the adolescent school setting; however, its theoretically informed format allows for careful adaptation and future examination of its applicability across different educational, cultural, and longitudinal contexts. Full article
(This article belongs to the Special Issue School Well-Being in the Digital Era)
Show Figures

Figure 1

19 pages, 689 KB  
Article
Mental Health in Educational Communities in Chile After a Public Health Emergency: An Assessment of Schoolchildren and Their Caregivers
by Mariela Andrades, Felipe E. García, Ryan Kilmer, Pablo Concha-Ponce and Cibelle Lucero
Medicina 2026, 62(2), 279; https://doi.org/10.3390/medicina62020279 - 29 Jan 2026
Viewed by 245
Abstract
Background and Objectives: Public health emergencies, such as the COVID-19 pandemic, significantly impact individuals and families, particularly in educational settings. School closures and changes in daily routines reduced students’ opportunities for learning and social interaction, affecting their mental health. Caregivers also faced [...] Read more.
Background and Objectives: Public health emergencies, such as the COVID-19 pandemic, significantly impact individuals and families, particularly in educational settings. School closures and changes in daily routines reduced students’ opportunities for learning and social interaction, affecting their mental health. Caregivers also faced increased responsibilities and stressors. This study aimed to evaluate a predictive model of mental health outcomes—specifically posttraumatic stress symptoms (PTSSs) and posttraumatic growth (PTG)—in Chilean schoolchildren and their caregivers. Materials and Methods: A total of 489 students (48% female sex; aged 10–17) from educational communities in various Chilean cities participated in the study, along with their caregivers (aged 21–69; 86.5% female), including mothers, fathers, and guardians. Mental health variables were assessed through self-report instruments. Hierarchical linear regression and path analyses were used to evaluate predictive models for PTSSs and PTG in students. Results: The model predicting PTSSs in students was significant. Key predictors included female sex, aggressive behavior, coping strategies such as keeping problems to oneself, cognitive avoidance, and intrusive rumination, and caregiver PTSSs. The model for PTG was also significant, with predictors including active problem-solving, communication, a positive attitude, and deliberate rumination. These results indicate distinct psychological processes underlying negative and positive outcomes following trauma. Conclusions: The findings underscore the complexity of mental health outcomes among school-aged children and the influence of caregiver well-being. The study highlights the importance of supporting both students and caregivers through targeted interventions. Multi-level strategies addressing emotional regulation, communication, and coping mechanisms may foster resilience and psychological growth in educational communities facing the aftermath of public health emergencies. Full article
(This article belongs to the Special Issue The Burden of COVID-19 Pandemic on Mental Health, 2nd Edition)
Show Figures

Figure 1

13 pages, 560 KB  
Article
Problem Gambling Among Spanish University Students: A Gender Perspective Analysis and Its Public Health Relevance
by Juan Andrés Samaniego Gisbert, Raquel Suriá Martínez and Nerea Ibáñez Torres
Int. J. Environ. Res. Public Health 2026, 23(2), 168; https://doi.org/10.3390/ijerph23020168 - 28 Jan 2026
Viewed by 211
Abstract
The present study aimed to analyze the differences in psychopathological symptomatology between men and women who participate in online gambling, as well as to explore the relationship between this symptomatology and different risk profiles. The sample consisted of 382 participants, all university students [...] Read more.
The present study aimed to analyze the differences in psychopathological symptomatology between men and women who participate in online gambling, as well as to explore the relationship between this symptomatology and different risk profiles. The sample consisted of 382 participants, all university students from a province in Spain, of whom 261 were men (68.3%) and 121 were women (31.7%), with a mean age of 21.8 years (SD = 3.2; range = 18–30 years). Psychopathological symptomatology was assessed using the SAS-45, while gambling risk profiles were determined using an ad hoc questionnaire. The results of the risk profiles were formed by categorizing the SOG-RA Scale scores into non-risk gambler, at-risk gambler, and pathological gambler. The results evidenced that gender and risk profile are determining factors in the manifestation of psychopathological symptoms. It was observed that women tend to internalize their emotional problems, presenting higher levels of depression, anxiety, and interpersonal sensitivity, while men exhibit a greater propensity to externalize their symptoms, manifesting hostility, paranoid ideation, and psychoticism. Furthermore, gamblers with high-risk profiles showed higher scores in both internalizing and externalizing symptoms. Significant correlations were identified between risk profile, psychopathological symptomatology, and cognitive distortions, suggesting the need for comprehensive interventions differentiated by gender. These findings provide valuable information for the design of specific treatments that address the emotional and cognitive needs of problem gamblers, contributing to improving the effectiveness of therapeutic strategies in the context of problem gambling. University gambling is an emerging public health issue with consequences that extend beyond the individual, affecting educational, social, and economic well-being. This study addresses a critical gap by delineating gender-specific psychopathological profiles across gambling risk categories, providing actionable evidence to inform campus-based screening and targeted prevention strategies. The findings underscore the necessity of integrating gender-responsive interventions and upstream measures—such as early detection within student health services and harm-reduction messaging—to effectively mitigate gambling-related harm. Full article
Show Figures

Figure 1

16 pages, 279 KB  
Article
Pre-Arrival Confidence and Perceived Importance in First-Year UK Sport Students: A Multi-Institutional Examination of Gender, Institution and Programme Differences
by Angela Hibbs, Rick Hayman, Amy Tomlinson, Stephanie King, Mariana Kaiseler, David Stephens, Matthew Timmis and Remco Polman
Soc. Sci. 2026, 15(2), 70; https://doi.org/10.3390/socsci15020070 - 28 Jan 2026
Viewed by 118
Abstract
This multi-institutional study examined pre-arrival confidence and perceived importance among first-year sport students across three post-92 universities and one public research university exploring programme of study, gender, and institutional differences, while also evaluating the psychometric properties of the pre-arrival survey. Of 1033 eligible [...] Read more.
This multi-institutional study examined pre-arrival confidence and perceived importance among first-year sport students across three post-92 universities and one public research university exploring programme of study, gender, and institutional differences, while also evaluating the psychometric properties of the pre-arrival survey. Of 1033 eligible students, 604 (58%) completed the survey across 25 sport-related programmes grouped into six categories: physiotherapy and rehabilitation, sport and exercise science, sports exercise and nutrition, sports coaching, sports management, and sport foundation year. Psychometric validation of the pre-arrival survey demonstrates its reliability and validity, providing the sector with a robust, standardised tool for assessing incoming students’ preparedness. Significant programme differences include physiotherapy and rehabilitation students reporting higher learning confidence, learning importance, and community confidence compared to other programmes. Female students demonstrated significantly higher learning importance and health and well-being importance than male students, though no gender differences in confidence were observed. Institutional variation was minimal, with one institution showing higher learning importance. Socioeconomic indicators did not significantly influence pre-arrival responses. The findings highlight the need for differentiated pre-arrival support targeting programme-specific confidence gaps and gender-related differences in perceived importance. The validated PAS provides a reliable tool for early identification of students requiring enhanced transitional support, potentially addressing persistent retention and progression challenges in UK sport programmes. Full article
(This article belongs to the Special Issue Belonging and Engagement of Students in Higher Education)
75 pages, 5489 KB  
Article
Bibliometric and Content Analysis of Sustainable Education in Biology for Promoting Sustainability at Primary and Secondary Schools and in Teacher Education
by Eila Jeronen and Juha Jeronen
Educ. Sci. 2026, 16(2), 201; https://doi.org/10.3390/educsci16020201 - 28 Jan 2026
Viewed by 183
Abstract
The integration of sustainable development into biology education has been a growing area of interest. Biology education for sustainability is considered through competencies and skills, taking different dimensions of knowledge into account. Solving problems requires not only knowledge but also communicative and strategic [...] Read more.
The integration of sustainable development into biology education has been a growing area of interest. Biology education for sustainability is considered through competencies and skills, taking different dimensions of knowledge into account. Solving problems requires not only knowledge but also communicative and strategic activity. Thus, biology education must emphasize the main visions of scientific literacy proposed in the literature, supporting students to understand society and everyday socioscientific challenges at the local as well as at the global level, and to deal with differing scientific results and uncertain information. However, there are very few studies from a holistic didactic viewpoint on the implementation of sustainable education (SE) in biology education in the context of teacher education and school education for promoting a sustainable future. This study addresses this gap via a bibliometric and content analysis of the literature (n = 165 and 131, respectively) based on the categories of the sustainable development goals (SDGs), subject aims, learning objectives, content knowledge, teaching methods, competencies and skills, and assessment methods. The literature analyzed emphasizes the environmental and social SDGs, the development of students’ factual and conceptual knowledge and learning, interactive teaching and learning methods, critical thinking and reflection, and summative and formative assessment methods. There is much less attention on economic and institutional SDGs, scientific skills, environmental attitudes, knowledge creation, strategic thinking and empathy, and diagnostic assessment methods. Compared to earlier studies performed in the 2010s, teaching and learning methods have become more diverse in contrast to the earlier focus on teacher-centered methods. Overall, the conclusion is that biology education must evolve beyond content mastery to integrate ethical, technological, and transdisciplinary dimensions—empowering learners not only to understand life but to sustain it—aligned with quality education (SDG 4), good health and well-being (SDG 3), and life on land (SDG 15). The findings also suggest that powerful knowledge needs to be emphasized for providing essential insights into ecosystems, biodiversity, and the processes that sustain life on Earth. They also highlight the importance of regular evaluations of teaching and learning for detecting how pedagogical and didactic approaches and strategies have supported students’ learning focused on sustainable development. Full article
Show Figures

Figure 1

14 pages, 1669 KB  
Article
Digital Mathematics: Just How Widespread Are Math Apps?
by Micah Swartz
Educ. Sci. 2026, 16(2), 200; https://doi.org/10.3390/educsci16020200 - 28 Jan 2026
Viewed by 179
Abstract
Mathematics education in the digital age has brought about many changes, both for teachers and learners. In K-12 mathematics education, math apps have become increasingly used tools as 1:1 device initiatives continue to proliferate the number of digital devices in the classroom. While [...] Read more.
Mathematics education in the digital age has brought about many changes, both for teachers and learners. In K-12 mathematics education, math apps have become increasingly used tools as 1:1 device initiatives continue to proliferate the number of digital devices in the classroom. While researchers have begun to uncover the impact of math apps on students’ learning and well-being, what has remained unknown is how widespread math apps are in K-12 mathematics education. Using the PRISMA to systematically collect and analyze publicly available user data on K-12 math apps, this study found estimates of 608 million users on math apps devoted entirely to math and 683 million users on learning apps with math and additional content. Moreover, results indicated that the math apps in this study have, on average, increased by an estimated 427.3% over the last decade, with learning apps that include math seeing an estimated 345.7% increase in use over the last ten years. This study illuminates important math app user-count metrics that often remain in the shadows and calls for greater consistency and transparency in educational technology companies’ user reports. Full article
Show Figures

Figure 1

36 pages, 5212 KB  
Systematic Review
Prevalence of Depression, Anxiety, Stress, and Suicidal Ideation Among Pharmacy Students: An Updated Systematic Review and Meta-Analysis
by Titawadee Pradubkham, Julalak Klangpraphan, Patcharaporn Tangtrakuladul, Chatmanee Taengthonglang, Kritsanee Saramunee and Wiraphol Phimarn
Int. J. Environ. Res. Public Health 2026, 23(2), 155; https://doi.org/10.3390/ijerph23020155 - 26 Jan 2026
Viewed by 304
Abstract
Mental health conditions have become an increasing concern among university students, particularly those pursuing health science disciplines such as pharmacy. Rigorous academic demands, high workloads, and sustained psychological pressure place pharmacy students at a high risk of mental health disorders, including depression, anxiety, [...] Read more.
Mental health conditions have become an increasing concern among university students, particularly those pursuing health science disciplines such as pharmacy. Rigorous academic demands, high workloads, and sustained psychological pressure place pharmacy students at a high risk of mental health disorders, including depression, anxiety, stress, and suicidal ideation. This study aimed to systematically review and quantitatively synthesize existing evidence on the prevalence of mental health conditions among pharmacy students in Thailand and globally using a meta-analytic approach. A comprehensive literature search was conducted across the major academic databases, including PubMed, ScienceDirect, Scopus, and ThaiJo, using predefined search terms and stringent inclusion criteria to ensure methodological rigor and relevance. Data from eligible studies were extracted and analyzed using STATA software to ensure statistical precision and reliability of the pooled estimates. A total of 51 studies, comprising 17,717 pharmacy students across 16 countries, including the United States, Thailand, Brazil, Malaysia, Syria, Pakistan, Poland, France, Portugal, Nigeria, Saudi Arabia, Sudan, Lebanon, Egypt, the United Arab Emirates, and Vietnam, were included. The meta-analysis revealed pooled prevalence rates of 44.26% for depression (95% CI: 36.08–52.61), 52.01% for anxiety (95% CI: 42.86–61.09), 48.10% for stress (95% CI: 32.96–63.43), and 24.52% for suicidal ideation (95% CI: 14.10–36.70). These findings reflect a substantial mental health burden among pharmacy students, necessitating immediate and context-specific interventions. Considering these findings, academic institutions must develop and implement comprehensive mental health support strategies. Such initiatives should include early identification and screening programs, access to psychological counseling services, resilience-building interventions, and stress management workshops to effectively address the psychological needs of pharmacy students and enhance their academic and personal well-being. Full article
(This article belongs to the Section Behavioral and Mental Health)
Show Figures

Figure 1

13 pages, 476 KB  
Article
Teacher Self-Efficacy and Well-Being: The Mediating Role of Satisfaction with Students, Colleagues, and Parents
by Federica Marcedula, Giacomo Angelini and Caterina Fiorilli
Int. J. Environ. Res. Public Health 2026, 23(2), 150; https://doi.org/10.3390/ijerph23020150 - 25 Jan 2026
Viewed by 184
Abstract
The recent literature has increasingly drawn attention to the role of teachers’ personal and relational resources in managing stress and sustaining their well-being. In this study, we examined how self-efficacy and satisfaction in key school relationships contribute to teachers’ psychological health. A sample [...] Read more.
The recent literature has increasingly drawn attention to the role of teachers’ personal and relational resources in managing stress and sustaining their well-being. In this study, we examined how self-efficacy and satisfaction in key school relationships contribute to teachers’ psychological health. A sample of 339 Italian teachers (Mage = 49.7, SD = 9.26; 85.5% female) completed measures assessing their self-efficacy, satisfaction in relationships with students, colleagues, and parents, and their overall well-being. We tested a parallel mediation model to explore whether these three forms of relational satisfaction helped explain the link between self-efficacy and well-being. The analyses indicated that higher self-efficacy was associated with greater satisfaction across all relational domains, as well as with better well-being. Moreover, satisfaction with students, colleagues, and parents each emerged as a significant mediator, while the direct effect of self-efficacy remained significant, suggesting a pattern of partial mediation. Taken together, these findings underscore how both individual competencies and everyday relational experiences contribute to teachers’ well-being, pointing to the value of interventions that strengthen self-efficacy and enhance the quality of relationships within the school context. Full article
Show Figures

Figure 1

14 pages, 272 KB  
Article
Emotional Intelligence, Immediate Auditory Memory, and ICT in Primary Education: A Neuroeducational Approach
by Raquel Muñoz-Pradas, Alejandro Romero-Morales, Antonio Palacios-Rodríguez and Mª Victoria Fernández-Scagliusi
Soc. Sci. 2026, 15(2), 58; https://doi.org/10.3390/socsci15020058 - 23 Jan 2026
Viewed by 175
Abstract
This study examines the relationship between Emotional Intelligence (EI) and Immediate Auditory Memory (IAM) in primary-school students aged 10–12 years. Through a neuroeducational perspective, it explores how emotional competencies, particularly emotional meta-knowledge, interact with cognitive retention processes. Standardized instruments were administered to a [...] Read more.
This study examines the relationship between Emotional Intelligence (EI) and Immediate Auditory Memory (IAM) in primary-school students aged 10–12 years. Through a neuroeducational perspective, it explores how emotional competencies, particularly emotional meta-knowledge, interact with cognitive retention processes. Standardized instruments were administered to a sample of 175 students from schools in Southern Spain. The findings indicate a positive association between Emotional Clarity—a key subdimension of EI—and IAM, with Emotional Clarity emerging as a modest predictor of auditory retention. No notable associations were observed for Emotional Attention or Emotional Repair. These results suggest that the ability to understand one’s emotions may subtly facilitate the processing and retention of auditory information. From neuroscientific and technological viewpoints, the study highlights the potential benefits of integrating emotional education and digital tools in the classroom to enhance student well-being and cognitive development, while calling for cautious interpretation due to the multifaceted nature of these variables. Full article
(This article belongs to the Special Issue Educational Technology for a Multimodal Society)
Back to TopTop