Next Article in Journal
Preliminary Diagnostic Seismic Analysis of an In-Service Curved Prestressed Concrete Box Girder Bridge with a Mid-Span Hinge
Previous Article in Journal
Field Experimental Study on the Influence of Different Grouting Methods on the Bearing Performance of Bored Piles in Soft Soil Areas
 
 
Font Type:
Arial Georgia Verdana
Font Size:
Aa Aa Aa
Line Spacing:
Column Width:
Background:
Article

Upper Bunk or Lower Bunk, Which Will You Choose? How Bed Position Shapes University Students’ Physiological and Psychological Well-Being in China

School of Civil Engineering and Architecture, Ningbo University College of Science and Technology, Ningbo 315300, China
*
Author to whom correspondence should be addressed.
Buildings 2026, 16(3), 622; https://doi.org/10.3390/buildings16030622
Submission received: 1 January 2026 / Revised: 24 January 2026 / Accepted: 28 January 2026 / Published: 2 February 2026

Abstract

University dormitories, as crucial living spaces for students, significantly influence their physical and mental health based on the quality of spatial design. However, whether the use of an upper bunk (UB) or lower bunk (LB) induces differential physiological and psychological effects remains unclear. This study aimed to measure participants’ physiological and psychological responses in UB and LB environments to explore the differential impact of bunk bed positions on student comfort. A crossover experiment was conducted with 28 participants (14 male, 14 female). Dormitory scenes were recreated using point cloud scanning and virtual reality technology, and a crossover experimental design was implemented. Physiological and psychological responses during the use of UB and LB spaces were measured via heart rate variability (HRV), electroencephalography (EEG), and the Profile of Mood States (POMS). Key findings indicated that the UB space promoted a state of deeper relaxation, evidenced by significantly higher Delta activity (p = 0.039) and lower heart rate (p = 0.042) compared to the LB. Psychologically, participants reported significantly higher vitality (Vigor, p = 0.032) and lower total mood disturbance (TMD, p = 0.038) in the UB. Conversely, the LB environment tended to trigger neural alertness, with significantly elevated High Beta waves (p = 0.009). Furthermore, gender significantly moderated emotional responses, particularly for Vigor (p = 0.045). Overall, from the perspective of promoting physical and mental health, the UB space provided greater comfort than the LB. These findings offer empirical evidence to inform the optimization of dormitory spatial design.

1. Introduction

The built environment, as a primary setting for human activity, plays a pivotal role in shaping occupants’ health, well-being, and overall quality of life. Numerous studies have demonstrated that indoor environmental factors, including acoustic [1], light [2], thermal [3,4], and air quality [5], significantly impact students’ cognitive performance and mental health. For instance, Pellegatti et al. indicated that ventilation-related noise in classrooms interferes with speech perception and attention, negatively affecting learning outcomes [6]. Bhattacharya et al. emphasized that optimizing educational space lighting is a key factor influencing student cognitive performance [7]. Du et al. found that the school ventilation systems directly impact indoor air quality and student health [8]. These studies reveal the importance of Indoor Environmental Quality (IEQ) in educational settings, where suboptimal conditions can harm physical health [9], induce psychological stress, and decrease academic performance [10,11]. However, such research has predominantly focused on learning spaces such as classrooms and libraries, with far less attention given to dormitory environments. University dormitories, as essential components of the higher education environment, serve not only as core living spaces for students [12,13] but also as crucial venues for studying, socializing, and personal development [14]. Consequently, contemporary dormitory design has evolved from merely “economical and practical” [2] to broader consideration of IEQ’s comprehensive impact on occupants’ well-being and learning efficiency [13,14,15].
Existing research on dormitory environments has primarily concentrated on assessing IEQ. For example, Liu et al. investigated the influence of window orientation, floor level, and time on indoor ventilation rates in dormitories, identifying window orientation and seasonal variations as key determinants of natural ventilation effectiveness [16]. Yang et al. analyzed ventilation conditions in dormitory corridors, finding that natural ventilation was superior in external corridors compared to internal ones [14]. Wu et al. explored the effect of long-term indoor thermal history on students’ physiological and psychological responses, finding no significant impact of thermal history on physiological reactions or induced psychological adaptation [17]. And Wang et al. studied PM2.5-related heavy metal components in dormitories, indicating that heavy metals primarily originated from coal and industrial combustion [12]. While these studies have enhanced our understanding of dormitory IEQ from various perspectives, they primarily address the environment at a macro-scale. Potential micro-environmental variations and their corresponding physiological and perceptual impacts, particularly those arising from ubiquitous bunk bed layouts, remain inadequately investigated.
Bunk beds are a prevalent spatial arrangement in Chinese university dormitories, addressing high-density accommodation needs [18]. This layout creates potential micro-environmental differences between the upper bunk and lower bunk, which may include, but are not limited to (1) thermal gradients [19,20], where warmer air may accumulate near the ceiling (closer to the upper bunk) and cooler air settles near the floor (closer to the lower bunk), potentially affecting thermal comfort; (2) light exposure intensity and distribution [2,21], as the upper bunk is typically closer to overhead lighting, which may influence circadian rhythms and alertness; (3) local airflow and ventilation rates [16,22], which may vary with vertical position, impacting air quality perception; (4) the acoustic environment [23,24], where the upper bunk might be farther from floor-level noise sources; and (5) spatial perception and privacy [25,26], with the upper bunk offering a more elevated, overarching field of view. These physical disparities might exert distinct physiological effects and influence psychological perception, ultimately affecting overall comfort. However, current research involving bunk beds often focuses on their impact on infectious diseases and mental health issues [27] or explores satisfaction solely from a spatial layout perspective. For example, Loder et al. showed that bunk bed use is associated with fall risks, particularly in prison settings for individuals with conditions like epilepsy [28]. Zhao et al. evaluated various dormitory types, including those with bunk beds, finding higher student satisfaction with single and double rooms with balconies [13]. Consequently, while the existing literature addresses the overall dormitory environment or the macro-design of bunk beds, a critical gap exists in systematically quantifying and comparing the physiological and psychological comfort experienced by occupants of the upper versus lower bunk, taking into account the integrated effect of these micro-environmental factors.
To explore the specific impact of this particular spatial layout on students, a review of prevalent research methodologies is warranted. Current methodologies can be broadly categorized into subjective reporting and objective measurement. For instance, van den Bogerd et al. used questionnaires to measure students’ perceptual evaluations in three natural classroom environments, finding a preference for classrooms with indoor plant properties [29]. Liu et al. employed questionnaires to investigate student perceptions of temperature and air quality in seven different classroom types, suggesting that occupants’ acceptability of indoor air quality is primarily influenced by thermal sensation [30]. While these methods effectively capture user satisfaction with spaces, they are susceptible to social desirability bias, transient mood fluctuations, and recall bias [31]. On the other hand, some studies focus on objective physiological indicators. For example, C.A. Tamura et al. analyzed the potential effects of different lighting conditions on human skin temperature (Tsk), finding that suppressing the brightness and color temperature of natural light affected the Tsk change rate [32]. Kim et al. investigated the association between indoor thermal environment and human blood glucose and cortisol levels to propose a high-accuracy thermal comfort prediction model [33]. A key limitation of the existing research is the predominant reliance on either subjective or objective methods, seldom combining them. This disconnect hinders a comprehensive understanding of the mechanisms underlying environmental impacts on users’ psychophysiological responses.
To bridge this gap and capture a more holistic response, the present study introduces a methodological approach by combining immersive virtual reality (VR) simulation with synchronized multimodal measurement. This approach aims to overcome the limitations of singular research methods and achieve a synergistic analysis of subjective perception and objective physiological responses. Specifically, this study addresses the following core questions: (1) Do bunk bed positions (upper bunk versus lower bunk) induce significantly different physiological reactions in users? (2) How does bed position affect users’ psychological states? (3) Are there correlations between the measured physiological and psychological indicators? To this end, this study integrates subjective psychological scales with objective physiological indicators for data triangulation and cross-validation. Recent interdisciplinary studies have successfully combined EEG, HRV, and POMS to assess human responses to indoor environments [34,35,36,37]. Following this integrative paradigm, the study employs electroencephalography (EEG), heart rate variability (HRV), and the Profile of Mood States (POMS) to holistically investigate the impact of bunk bed position on users’ physical and psychological comfort. Through a controlled experiment, differences in various indicators were compared among participants in simulated upper bunk and lower bunk environments. Twenty-eight healthy university students were recruited, and a crossover design was employed to control for inter-individual variability. Ultimately, it tested whether there were statistically significant differences in the physiological and psychological indicators of participants under different bunk conditions. The detailed experimental design, key findings regarding physical and psychological comfort, and their implications are discussed in subsequent sections.

2. Materials and Methods

2.1. Virtual Design of Dormitory Environment

To achieve precise control over experimental conditions and mitigate confounding effects from uncontrollable real-environment factors (e.g., fluctuations in light, noise, temperature, and humidity), a virtual reality (VR) environment was employed. To this end, a typical dormitory from a Chinese university was randomly selected, and its interior space was scanned using point cloud technology to construct a high-fidelity dormitory spatial model. Point cloud scanning has become an important tool for high-precision reconstruction of indoor spaces, using active sensing devices like LiDAR to acquire 3D coordinates of the indoor environment, thereby constructing accurate spatial geometric representations [38]. This technology is particularly suitable for capturing detailed features of complex indoor environments, including furniture layout, structural elements, and spatial relationships, ensuring scene scale accuracy. A RobotSLAM scanner (RobotSLAM mobile laser scanner, South Surveying & Mapping Instrument Co., Ltd., Guangzhou, China), which uses Simultaneous Localization and Mapping (SLAM) technology to generate point cloud models in real-time without GPS signals, was employed to collect the geometric data. SLAM is widely used in fields such as Building Information Modeling and indoor spatial reconstruction [39,40]. Figure 1 illustrates the acquisition and processing workflow for point cloud scanning.
To investigate the differential impact of upper bunk (UB) and lower bunk (LB) on user comfort, this study used SketchUp Pro (2021 version) to create separate virtual scenes for the UB and LB. Apart from the bed height, all other environmental elements (e.g., wall color and material, light source type and position, furniture layout) were kept consistent between the two scenes. Subsequently, to enhance scene realism, Enscape (version 3.3) was used for rendering, with all output images in high-definition 1920 × 1080 pixel format. Figure 2 shows the rendered panoramic image and the floor plan of the dormitory room.
The virtual UB and LB experimental scenes were then presented using VR technology, which provides a highly immersive environment [41] suitable for capturing participants’ authentic reactions to environmental differences. VR devices have been adopted in numerous environmental behavior and architectural studies for constructing controlled experimental scenes [42,43]. Pico VR head-mounted (manufactured by Pico Technology Co., Ltd., Beijing, China) displays were used for this purpose to present the dormitory environments [44]. Weighing approximately 395 g, the device features an adjustable head strap to ensure comfort during prolonged use [39,40]. Figure 3 shows the dormitory floor plan and the eye-level scenes for LB and UB. To strictly control extraneous variables, fixed observation points were set (red dot in Figure 3), and all visual scenes were rendered strictly from the perspective of the human eye at the head of the bed. Participants were instructed to lean their heads against the headboard during the experiment to simulate a realistic resting posture in the dormitory bed, aiming to standardize the visual field and body posture for all participants.

2.2. Experimental Design

As architecture students are more sensitive to spatial perception and environmental layout [34], which helps capture more pronounced psychological and physiological responses, this study specifically recruited students with this academic background to enhance data observability and comparative validity. Initially, 150 students registered for a pre-test, where they had 5 min to complete 10 multiple-choice questions on spatial cognition and drawing; only those with an accuracy rate above 60% were invited to participate in the subsequent experiment. This threshold was set to ensure that participants possessed a baseline level of spatial understanding necessary to meaningfully perceive and navigate the VR environments, thereby reducing noise in the physiological and psychological data due to poor spatial comprehension. Additionally, participants had to meet the following criteria: (1) Chinese nationality to avoid influences from lifestyle or cultural differences; (2) normal or corrected-to-normal vision to ensure clear perception of visual stimuli and prevent discomfort from VR device use; (3) age between 18 and 25 years to reduce variability due to age-related differences in physiological state or spatial experience. Finally, 28 students (14 males, 14 females) participated as subjects. All participants provided informed consent before formally participating in the study.
To avoid any sequence effects, a crossover grouping design was implemented, assigning all participants to experimental groups with different testing orders, as shown in Table 1. The 28 participants were divided into 4 groups, each with 7 participants, randomly assigned to experience either the UB or LB first.
Before the experiment, participants were instructed to refrain from alcohol, hormonal, or psychoactive substances for 24 h and to ensure 8–10 h of adequate sleep the previous night. Strenuous exercise was prohibited within 2 h before the experiment to maintain stable physical and mental states [36]. During the experiment, participants wore comfortable casual clothing and were encouraged to remain as natural and relaxed as possible. To control for potential confounding effects from varying ambient conditions, the experiment was conducted in a climate-controlled laboratory. Temperature and humidity were maintained at a comfortable, constant level throughout all sessions, ensuring that any observed differences in responses could be attributed to the manipulated variable (bunk position) rather than fluctuations in the physical environment.
To prevent potential confounds, the experiment was divided into two separate sessions: physiological testing and psychological testing. This was performed because VR experiences exceeding 20 min can cause visual fatigue and dizziness, potentially confounding autonomic nervous system responses [45], and because completing the POMS self-assessment simultaneously with EEG recording might overload cognition and affect spatial perception judgments.
The physiological experimental procedure is shown in Figure 4 and described as follows: (1) As human adaptation to a new environment requires at least 15 min [46], participants sat quietly for 15 min to acclimatize. During this time, physiological monitoring devices and the VR headset were correctly fitted, ensuring signal stability. (2) Participants were randomly assigned to experience one of the two bunk perspectives (UB or LB) first. In the VR environment, participants were instructed to lie on the bed in the room and slowly turn their heads to observe the virtual scene from different angles for 6 min [47], while physiological data were recorded synchronously. (3) Participants removed the VR equipment and sat quietly with eyes closed for a 5 min rest to eliminate residual effects from the previous stimulus [36]. (4) Participants put the VR equipment back on, laid down, and slowly turned their heads to experience the other bunk perspective for 6 min, again recording physiological data.
The psychological experimental procedure is shown in Figure 5 and described as follows: (1) Participants sat quietly for 15 min to acclimatize. Only the VR equipment was worn during this phase, without physiological sensors. (2) Participants were randomly assigned to experience one of the two bunk perspectives (UB or LB) first. Similarly to the physiological experiment, participants were instructed to observe the VR scene from different angles for 6 min. Immediately after the experience, they completed the POMS assessment with verbal assistance from researchers. (3) Participants removed the VR equipment and sat quietly with eyes closed for a 5 min rest. (4) Participants put the VR equipment back on, laid down, slowly turned their heads to observe the surroundings, experienced the other bunk perspective for 6 min, and completed the POMS assessment again.
Figure 6 shows the experimental setup. Participants laid on the provided bed in a relaxed posture to simulate resting in a real dormitory bed. They were informed that they could end the session at any time if they felt uncomfortable, in which case the data would be excluded from analysis.

2.3. Measurements

2.3.1. Heart Rate Variability (HRV) and Electroencephalogram (EEG)

This study utilized heart rate variability (HRV) and electroencephalogram (EEG) data as references for physiological detection. Research indicates that HRV measures autonomic nervous system function of the heart, providing information on the participant’s physiological state [48]. Higher HRV is generally associated with better environmental adaptation ability and relaxation [49]. Meanwhile, heart rate (HR), as a fundamental and sensitive physiological indicator, directly reflects the overall cardiac load. Environmental stressors (e.g., noise, spatial pressure) can lead to significant increases in HR [50], while restorative environments contribute to HR reduction [51]. Therefore, HR can serve as an effective indicator for assessing immediate individual responses to environmental comfort.
EEG provides a powerful means to study the relationship between higher brain functional activities and neural oscillations [52]. EEG can be divided into 5 main frequency bands: Theta waves typically dominate during deep sleep and deep relaxation states [53]; Delta waves increase significantly during cognitive activities like drowsiness, meditation, and light sleep [54]; Alpha waves are the primary rhythm during awake, eyes-closed, resting states [46]; conversely, Beta waves are more active during thinking, concentration, anxiety, and states requiring sustained alertness [55]; Gamma waves are closely related to higher brain functions like focused attention and conscious experience [56].
A BrainLink portable EEG device (BrainLink-Pro, from Macrotellect, Shenzhen, China) was used to record HRV, HR, and EEG data dynamically. The headset includes a dry electrode positioned at the Fp1 location on the participant’s forehead according to the international 10–20 system. The EEG signal sampling rate was 512 Hz, transmitted via Bluetooth to a computer. The device weighs less than 50 g, causing minimal interference to participants. The BrainLink device has been used in previous studies to measure physiological states [42,57,58], demonstrating its application in brain science, medicine, and design fields.

2.3.2. Profile of Mood States (POMS)

The Profile of Mood States (POMS) is a scale used to assess transient emotional states [59]. Due to its sensitivity to short-term, variable mood states, it is often used to evaluate the psychological impact of indoor physical environments on users [34,35,43]. The POMS consists of 65 subjective mood adjectives corresponding to five negative and one positive emotion: Tension (T), Anger (A), Fatigue (F), Confusion (C), and Vigor (V). Participants rated their bunk experience on a 5-point Likert scale (0: Not at all; 4: Extremely). In addition to the individual mood scores, the scale yields a Total Mood Disturbance (TMD) score, where higher scores indicate stronger negative emotions. TMD is calculated as follows: TMD = (T + A + F + C) − V. The specific POMS questionnaire is presented in the Table A1.

3. Results

3.1. Results of Physiology

3.1.1. Results of HRV and HR

Statistical analysis was performed using SPSS (IBM SPSS Statistics 26) to investigate whether there are changes in physiological data of participants affected by UB and LB dormitory spaces, and whether these changes are related to gender. The t-test results for HRV and HR are presented in Table 2. No significant difference was observed for HRV; however, a significant difference was found for HR (p = 0.042). Specifically, the mean HR for the UB (74.55) was lower than that for the LB (76.45), indicating a calmer heart rate in the UB environment. These data suggest that the UB and LB environments differentially affect participants physiologically, with the most pronounced effect observed in HR.
As shown in Table 2, males exhibited lower HRV and HR values in the UB compared to females. To investigate whether gender moderates individual physiological sensitivity to bunk changes, the magnitude of change (Δ values) in physiological indicators during the transition between UB and LB was compared across genders. Data analysis (Table 3) indicated that when transitioning from UB to LB, the absolute values of change in HRV and HR for males (ΔHRV = −15.15, ΔHR = −2.58) were higher than those for females (ΔHRV = −5.8, ΔHR = −1.21). However, these differences in the magnitude of change between genders were not statistically significant.

3.1.2. Results of EEG

Table 4 presents the t-test results for EEG indices. Significant differences were observed in Delta (p = 0.039), Low Beta (p = 0.034), High Beta (p = 0.009), and Low Gamma (p = 0.040). Specifically, the mean Delta value for the UB (64.71) was higher than for the LB (61.94), suggesting that the UB may promote a state of deeper relaxation. The Delta value for males in the UB (59.12) was significantly lower than for females (70.29). When the environment changed, the decrease in Delta for females (from 70.29 to 66.96) was more pronounced than for males (from 59.12 to 56.92). Regarding cognitive load, the Low Beta value for the LB (3.48) was significantly higher than for the UB (2.93), indicating that the LB might enhance cognitive processing activity, thereby affecting physiological comfort. The increase in Low Beta waves for females in the LB environment was greater than for males, suggesting a potential moderating role of gender in the environmental impact on cognitive comfort. A significant difference was also found for High Beta (p = 0.009), with the UB value (2.92) being lower than the LB value (3.62), further supporting the role of the UB in reducing alertness and potentially facilitating psychological relaxation. Additionally, Low Gamma was significantly reduced in the UB (p = 0.04), also supporting the UB’s advantage in promoting neural relaxation. In summary, UB and LB spaces significantly affected participants’ EEG, specifically Delta, Beta, and Low Gamma values, revealing the UB’s advantage in promoting comfort at the physiological level.
Table 5 presents the analysis of gender differences in EEG change values (Δ). The data show that gender did not exhibit significant differences in EEG Δ values. Males showed a slight increase in High Alpha in the UB (Δ = 0.1), whereas females exhibited higher High Alpha in the LB (Δ = −0.64); males showed a more pronounced decrease in Attention value in the UB (Δ = −3.42). Furthermore, both males and females showed synchronous increases in Delta and decreases in Beta. These findings illustrate the similarities and differences in physiological responses between males and females to the UB and LB environments.

3.2. Results of Psychology (POMS)

In the POMS experiment, the differential impact of UB and LB environments on individual mood states was analyzed. Significant differences were observed for Vigor and Total Mood Disturbance (TMD). Specifically, the Vigor value for the UB was significantly higher than for the LB (p = 0.032), indicating that the UB environment may enhance subjective vitality perception, thereby improving psychological comfort. Conversely, TMD was significantly higher for the LB (p = 0.038), indicating that the LB induces stronger negative emotions, further affecting emotional comfort. These results are mutually consistent with the aforementioned EEG physiological data, collectively indicating the UB’s advantage in promoting emotional relaxation. In this experiment, no significant between-group differences were found for Tension, Depression, Anger, Fatigue, and Confusion. Relevant data are summarized in Table 6.
To explore gender effects on emotional responses in more detail, Table 7 shows the t-test for the impact of UB and LB environments on mood states by gender group. Data analysis indicated that for the Vigor dimension, the gender difference reached significance (p = 0.045). The change magnitude (Δ) for the female group (5.500) was significantly higher than for the male group (0.357), suggesting that the UB’s positive impact on female emotional comfort is more prominent. For Tension, Depression, Anger, Fatigue, Confusion, and TMD dimensions, differences between male and female groups did not reach statistical significance.

3.3. Correlation Between Psychophysiological Responses

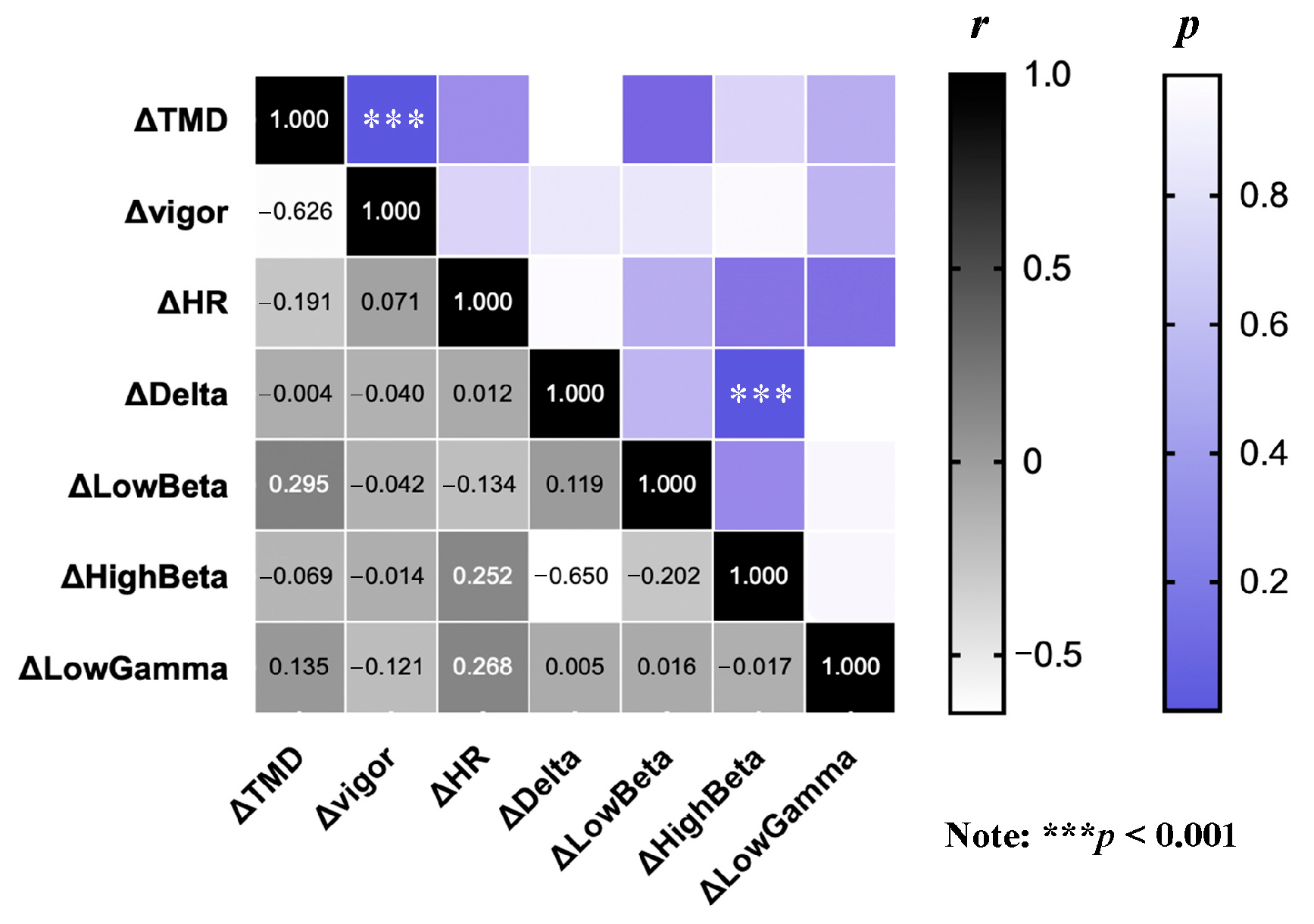
Based on the physiological and psychological indicators that showed significant differences, the internal correlations between these indicators were further explored using Spearman correlation analysis, with results shown in Figure 7. The analysis revealed a significant negative correlation between ΔTMD and ΔVigor (r = −0.626, p < 0.001), indicating that reduced mood disturbance is closely related to increased vitality. This reflects a negative correlation between emotional distress and vitality states in the UB and LB environments. For physiological indicators, ΔDelta and ΔHigh Beta showed a negative correlation (r = −0.650, p < 0.001), indicating a clear inverse relationship between the deep relaxation state represented by Delta and the high alertness or cognitive load corresponding to High Beta. However, no significant correlations were found between psychological indicators (ΔTMD, ΔVigor) and physiological indicators (ΔHR, ΔDelta, ΔHigh Alpha, ΔLow Beta, ΔHigh Beta, ΔLow Gamma).

4. Discussion

By measuring physiological (EEG, HRV, HR) and psychological (POMS) indicators of participants in the UB and LB, this study systematically revealed the differential impact of bed position on physical and psychological comfort. The results suggest that the UB is associated with significant advantages in promoting physiological relaxation and positive psychological emotions under the experimental conditions. These associations may contribute to enhanced overall student comfort. Furthermore, gender was found to moderate individual comfort responses to the UB and LB to some extent.
To provide a clear overview of the differential impact of bunk position, Table 8 synthesizes the physiological and psychological indicators that showed statistically significant differences between the UB and LB. Indicators without significant differences are not included for conciseness.
In the physiological dimension, the UB significantly enhanced the relaxation state. It is proposed that the top-down view from the UB provides occupants with visual dominance over the room, potentially enhancing their sense of environmental control. This, in turn, may reduce sympathetic nervous system excitation and promote physiological calm [60], a mechanism consistent with the observation of a significantly lower HR in the UB (p = 0.042). Additionally, compared to the obstructed LB, the UB typically enjoys more sufficient lighting conditions. The significant increase in Delta waves in the UB (p = 0.039) suggests a more relaxed state in this environment. This finding aligns with the concept of Perceived Environmental Control, which posits that a sense of mastery over one’s surroundings—such as the broader visual field and greater spatial dominance afforded by the UB—can reduce stress and promote relaxation [61], offering a coherent explanation for the observed neural state within the context of our short-term, visually driven experiment. Conversely, the LB, due to its lower ceiling height and greater openness, may cause individuals to maintain a vigilant state to guard against potential disturbances, potentially activating neural pathways related to spatial pressure [62,63], manifested as a significant increase in High Beta (p = 0.009) and elevated HR. Furthermore, although the environmental change between UB and LB did not cause significant changes in HRV indicators in this experiment, the observed trend of a higher mean HRV in the UB could be interpreted as it being more conducive to autonomic balance, consistent with restorative environment theories. The significant change in HR, however, might suggest that HR is a more immediately sensitive indicator to the specific visual-spatial change manipulated in this study [64].
Psychologically, the UB was found to help enhance positive emotions and psychological vitality. The significant increase in Vigor (p = 0.032) and significant decrease in TMD (p = 0.038) in the UB indicate that students felt psychologically more at ease. This could be because the relative isolation of the UB distances individuals from activity interference in the dormitory aisle, helping to alleviate psychological fatigue caused by the overuse of directed attention [65], thereby enhancing psychological comfort. Conversely, the increased average Depression and TMD values for participants in the LB further indicate the LB’s negative impact on emotional comfort.
This study also found that gender moderate the perception of comfort in bunks. Physiologically, males exhibited more stable physiological states in the UB, but their HR fluctuation amplitude between UB and LB was greater than that of females. This suggests that males’ physiological responses to environmental changes may be more sensitive, a result consistent with the findings of Jin’s study [34]. Psychologically, males’ emotional changes were relatively moderate, while females showed increased Depression and TMD values in the LB, and the gender difference in ΔVigor reached a significant level (p = 0.045), reflecting females’ higher emotional sensitivity to spatial openness and social exposure. This finding aligns with Taylor et al.’s “tend-and-befriend” stress model [66], which posits that females have evolved a heightened sensitivity to environmental threats, potentially explaining the greater limbic system sensitivity to exposed spaces like the LB observed here.
Although some indicators in this study did not reach statistical significance, the observed trends in the data allow for exploratory discussion and may generate hypotheses for understanding the impact of UB and LB. For example, High Alpha waves (associated with relaxation) showed a non-significant but notable tendency to be higher in the UB than the LB (p = 0.075). This trend, while requiring cautious interpretation, might tentatively align with findings from Jin et al.’s study, which found significantly enhanced High Alpha activity in participants in perceived more “harmonious” indoor environments when investigating Fengshui layouts [34]. One plausible explanation for the lack of statistical significance could be that the VR technology replicating the visual space but failing to fully restore multidimensional experiences like material sensation and security in real living environments, limiting its stimulation intensity for brain relaxation states. Similarly, the mean HRV was higher in the UB, suggesting that the UB might be more conducive to autonomic nervous system balance, as restorative environments can increase HRV, consistent with Ulrich’s findings [51]. However, compared to Wu et al.’s study tracking participants’ states over the long term in real dormitories [17], this study found fewer physiological indicators reaching significance. This difference might be attributed to the experimental duration: as a short-term experiment, this study might be insufficient to induce significant changes in the autonomic nervous system, whereas the cumulative effect of micro-environmental differences over long-term residence is more pronounced. These near-significant trends indicate that the differential impact of UB and LB objectively exists, but its effect size might be influenced by the realism of the simulation, experimental duration, and individual differences.
Finally, correlation analysis showed significant co-variation relationships within psychological indicators (between ΔTMD and ΔVigor) and within physiological indicators (between ΔDelta and ΔHigh Beta). However, in the current study, no statistically significant correlation was detected between psychological and physiological indicators. This result suggests that UB and LB environments might affect users through two relatively independent pathways: one is a physiological pathway, where factors such as better lighting and broader view in the UB trigger physiological recovery through fast physiological pathways [67]; the other is a psychological cognitive pathway, where the privacy and sense of control provided by the UB are perceived by the individual, subsequently enhancing psychological vitality [65]. The dissociation observed between subjective comfort and objective physiological measurements suggests that these dimensions may be influenced by indoor environments through partially independent pathways. Therefore, future research could employ more complex models to explore the interaction mechanisms between environment, physiology, and psychology. Furthermore, the absence of significant correlations between the psychological and physiological indicators should be interpreted with consideration of statistical power. While this does not invalidate the observed dissociation between these measurement domains, it suggests that a larger sample might have detected weaker relationships. Future studies with larger cohorts are warranted to confirm the independence of these pathways.

5. Conclusions

As core areas for students’ long-term living and learning, the spatial design of dormitories impacts their daily life and academic performance. However, the implications of micro-environmental differences inherent in bunk beds, a common configuration in Chinese dormitories, for student comfort have not been sufficiently explored. This study systematically analyzed differences in users’ physiological and psychological comfort in UB and LB spaces by combining point cloud scanning, VR technology, and physiological and psychological data assessment.
In summary, the quantitative data provide evidence for several key findings. First, the UB space was associated with significantly higher EEG Delta activity (p = 0.039) and lower heart rate (p = 0.042) than the LB, suggesting a physiological state of greater relaxation. Second, psychologically, participants reported significantly higher Vigor scores (p = 0.032) and lower Total Mood Disturbance (p = 0.038) in the UB, indicating better emotional well-being. Third, the LB environment tended to induce higher neural alertness, as shown by significantly elevated High Beta waves (p = 0.009). Furthermore, gender appeared to moderate individual responses in sample: males tended to show greater physiological reactivity to the environmental change, while females exhibited more pronounced changes in emotional state, particularly in Vigor (p = 0.045).
To enhance student well-being in high-density living environments, future dormitory designs should prioritize micro-environmental privacy and personalization. Specifically, for the LB, design interventions such as retractable privacy screens or curtains should be incorporated to mitigate the visual exposure and neural alertness associated with lower-level occupancy. Designers should also include entrance buffer zones or hallways to prevent the main living area from being directly exposed upon entry, which addresses a significant source of psychological discomfort for residents. For the UB, designs should ensure direct lighting to maintain an unobstructed visual field to enhance the occupant’s sense of environmental control and relaxation. Finally, integrating flexible elements like pin-up boards and modular storage solutions can foster a sense of user autonomy, allowing students to successfully negotiate spatial limitations and express their personal identity.
However, the study has several limitations. Firstly, the experiment was conducted in a highly controlled virtual reality scene. While this effectively excluded interference from real environments, the experience was primarily visual and could not fully simulate tactile, olfactory, and other sensory experiences of real dormitory environments. Furthermore, although environmental factors such as air quality, temperature, and humidity were not measured in real-time during the experiment, we ensured that these conditions remained constant and within a comfortable range (maintained by the building’s HVAC system) for each participant across both the UB and LB sessions. This control was implemented to isolate the effect of visual-spatial perspective, which was the primary variable of interest. Consequently, participants’ psychophysiological responses might differ from those in real scenarios. Furthermore, due to constraints of experimental equipment and duration, tracking physiological data for long-term effects was challenging. Future studies should aim to expand sample size, allowing participation of students with different ages, majors, or physiological characteristics. Finally, the conclusions of this study are based on the Chinese university dormitory environment, and their generalizability needs verification considering the spatial layout characteristics of different countries.

Author Contributions

Y.Z.: Writing—original draft, Data curation, Visualization. Z.J.: Writing—original draft, review and editing, Methodology, Conceptualization, Supervision, Resources. Z.Y.: Investigation, Software, Data curation. J.C.: Investigation, Software, Data curation. X.Y.: Investigation, Software, Data curation. All authors have read and agreed to the published version of the manuscript.

Funding

This work was supported by the 2024 Regular Subjects of Philosophy and Social Science Planning of Zhejiang Province (Grant No. 24NDJC071YB) and the 2024 Ningbo Higher Education Institutions MOOC Consortium Special Project (No. 2024ZX-MKYB15).

Institutional Review Board Statement

The study was conducted in accordance with the Declaration of Helsinki. Ethical oversight and approval for this research were provided by the Research Management Office of Ningbo University College of Science and Technology (approval date: 18 July 2025), which serves as the institutional body responsible for the ethical review of non-invasive behavioral studies. Formal approval codes are issued by the institution primarily for large-scale funded projects; for this academic study, ethical compliance was confirmed via official review and stamped documentation from the aforementioned Office (approval date: 20 August 2025).

Informed Consent Statement

Informed consent was obtained from all subjects involved in the study. Written informed consent for publication has been obtained from the participants, including consent for the use of non-identifiable images in which faces are obscured by research equipment.

Data Availability Statement

The original contributions presented in this study are included in the article. Further inquiries can be directed to the corresponding author.

Conflicts of Interest

The authors declare no conflicts of interest.

Abbreviations

The following abbreviations are used in this manuscript:
UBupper bunk
LBlower bunk
VRvirtual reality
HRVheart rate variability
EEGelectroencephalography
POMSProfile of Mood States

Appendix A

The questionnaire consists of 65 emotional adjectives, each with a score ranging from 0 to 4. Please read each one carefully and circle the one that best describes your current feelings.
Table A1. POMS questionnaire.
Table A1. POMS questionnaire.
GFriendly01234TNervous01234
TTense01234DLonely01234
AAngry01234DMiserable01234
FWorn out01234CMuddled01234
DUnpleasant01234VCheerful01234
GClear-headed01234ABitter01234
VLively01234FExhausted01234
CConfused01234TAnxious01234
DSorry for things done01234AAggressive01234
TDistracted01234GGood-temper01234
FListless01234DGloomy01234
AA bit annoyed01234DPessimistic01234
GConsiderate 01234FSluggish01234
DFeeling of sadness01234AStubborn01234
VActive01234DHelpless01234
TIrritable01234FWeary01234
AAngry01234CBewildered01234
DBlue01234VAlert01234
VEnergetic01234ADeceived01234
TPanicky01234AFurious01234
DHopeless01234CEfficient01234
TRelaxed01234GTrusting01234
DUnworthy01234VFull of pep01234
ASpiteful01234ABad-temper01234
GSympathetic01234DWorthless01234
TRestless01234OForgetful01234
TFidgety01234VCarefree01234
CInattentive01234DTerrified01234
FFatigued01234DGuilty01234
GHelpful01234VVigorous01234
AAngry01234CLack of judgment on things0 1
2
3
4
DDiscouraged01234
AResentful01234FAt a loss01234
0: Not at all; 1: A little; 2: Moderately; 3: Quite; 4: Extremely.

References

  1. Kurukose Cal, H.; Aletta, F.; Kang, J. Perception of Indoor and Outdoor School Soundscapes: A Large-Scale Cross-Sectional Survey with UK Teachers. Appl. Acoust. 2025, 227, 110219. [Google Scholar] [CrossRef]
  2. Li, Y.; Cheng, F.; Wei, R. Optimization Evaluation Model of Student Dormitory Design Scheme Based on Multiple Evaluation Principles. Expert Syst. Appl. 2023, 219, 119605. [Google Scholar] [CrossRef]
  3. Janssen, H.; Ford, K.; Gascoyne, B.; Hill, R.; Roberts, M.; Bellis, M.A.; Azam, S. Cold Indoor Temperatures and Their Association with Health and Well-Being: A Systematic Literature Review. Public Health 2023, 224, 185–194. [Google Scholar] [CrossRef]
  4. Liu, G.; Chen, H.; Yuan, Y.; Song, C. Indoor Thermal Environment and Human Health: A Systematic Review. Renew. Sustain. Energy Rev. 2024, 191, 114164. [Google Scholar] [CrossRef]
  5. Ge, B.; Tieskens, K.; Vyas, P.; Botana Martinez, M.P.; Yuan, Y.; Walsh, K.H.; Main, L.; Bolton, L.; Yajima, M.; Fabian, M.P. Decision Tools for Schools Using Continuous Indoor Air Quality Monitors: A Case Study of CO2 in Boston Public Schools. Lancet Reg. Health—Am. 2025, 48, 101148. [Google Scholar] [CrossRef]
  6. Pellegatti, M.; Torresin, S.; Visentin, C.; Babich, F.; Prodi, N. Indoor Soundscape, Speech Perception, and Cognition in Classrooms: A Systematic Review on the Effects of Ventilation-Related Sounds on Students. Build. Environ. 2023, 236, 110194. [Google Scholar] [CrossRef]
  7. Bhattacharya, S.; Bhattacharya, S.; Das, A.; Mahata, S.; Biswas, S. A Novel Framework for the Assessment of Indoor Lighting Solutions and Its Application for Model Learning Spaces of a Higher Educational Institution Considering Energy Efficiency and Human Factors. Energy Build. 2025, 336, 115625. [Google Scholar] [CrossRef]
  8. Du, B.; Rey, J.F.; Cesari, M.; Roulet, C.-A.; Favreau, P.; Perret, V.; Suarez, G.; Hager Jörin, C.; Goyette Pernot, J.; Licina, D. Indoor Air Quality in Swiss Primary Schools: Impacts of Mechanical Ventilation and Seasonal Variation. Build. Environ. 2025, 280, 113146. [Google Scholar] [CrossRef]
  9. Turunen, M.; Toyinbo, O.; Putus, T.; Nevalainen, A.; Shaughnessy, R.; Haverinen-Shaughnessy, U. Indoor Environmental Quality in School Buildings, and the Health and Wellbeing of Students. Int. J. Hyg. Environ. Health 2014, 217, 733–739. [Google Scholar] [CrossRef]
  10. Simons, E.; Lin, S.; Hwang, S. The Impact of School Building Conditions on Student Absenteeism and Performance in Upstate New York. J. Allergy Clin. Immunol. 2009, 123, S21. [Google Scholar] [CrossRef]
  11. Haverinen-Shaughnessy, U.; Shaughnessy, R.J.; Cole, E.C.; Toyinbo, O.; Moschandreas, D.J. An Assessment of Indoor Environmental Quality in Schools and Its Association with Health and Performance. Build. Environ. 2015, 93, 35–40. [Google Scholar] [CrossRef]
  12. Wang, F.; Wang, J.; Han, M.; Jia, C.; Zhou, Y. Heavy Metal Characteristics and Health Risk Assessment of PM2.5 in Students’ Dormitories in a University in Nanjing, China. Build. Environ. 2019, 160, 106206. [Google Scholar] [CrossRef]
  13. Dong, Z.; Zhao, K.; Ren, M.; Ge, J.; Chan, I.Y.S. The Impact of Space Design on Occupants’ Satisfaction with Indoor Environment in University Dormitories. Build. Environ. 2022, 218, 109143. [Google Scholar] [CrossRef]
  14. Yang, D.; Jiang, L. Simulation Study on the Natural Ventilation of College Student’ Dormitory. Procedia Eng. 2017, 205, 1279–1285. [Google Scholar] [CrossRef]
  15. Juan, Y.K.; Chen, Y. The Influence of Indoor Environmental Factors on Learning: An Experiment Combining Physiological and Psychological Measurements. Build. Environ. 2022, 221, 109299. [Google Scholar] [CrossRef]
  16. Liu, L.; Wang, L.; Zhang, Y.; Dong, B.; Song, B. Study on Ventilation Rates at University Dormitories in Winter. Procedia Eng. 2015, 121, 743–748. [Google Scholar] [CrossRef]
  17. Wu, Z.; Li, N.; Peng, J.; Li, J. Effect of Long-Term Indoor Thermal History on Human Physiological and Psychological Responses: A Pilot Study in University Dormitory Buildings. Build. Environ. 2019, 166, 106425. [Google Scholar] [CrossRef]
  18. Huang, Y. Research on the Design of University Dormitory Bed Based on Kansei Engineering. Design 2024, 9, 533. [Google Scholar] [CrossRef]
  19. Çelik, M.; Didikoğlu, A.; Kazanasmaz, T. Optimizing Lighting Design in Educational Settings for Enhanced Cognitive Performance: A Literature Review. Energy Build. 2025, 328, 115180. [Google Scholar] [CrossRef]
  20. Lan, L.; Lian, Z. Ten Questions Concerning Thermal Environment and Sleep Quality. Build. Environ. 2016, 99, 252–259. [Google Scholar] [CrossRef]
  21. Kallawicha, K.; Boonvisut, S.; Chao, H.J.; Nitmetawong, T. Bedroom Environment and Sleep Quality of Apartment Building Residents in Urban Bangkok. Build. Environ. 2021, 188, 107474. [Google Scholar] [CrossRef]
  22. Moschetti, R.; Carlucci, S. The Impact of Design Ventilation Rates on the Indoor Air Quality in Residential Buildings: An Italian Case Study. Indoor Built Environ. 2016, 26, 1397–1419. [Google Scholar] [CrossRef]
  23. Torresin, S.; Albatici, R.; Aletta, F.; Babich, F.; Kang, J. Assessment Methods and Factors Determining Positive Indoor Soundscapes in Residential Buildings: A Systematic Review. Sustainability 2019, 11, 5290. [Google Scholar] [CrossRef]
  24. Hossain, M.R.; Manohare, M.; King, E.A. Systematic Review of Indoor Soundscape Assessments: Activity-Based Psycho-Acoustics Analysis. Build. Acoust. 2025, 32, 123–141. [Google Scholar] [CrossRef]
  25. Abu-Obeid, N.N.; Ibrahim, A.F. The Effect of Dormitory Type and Room View on the Perception of Privacy and Territoriality by Female Residents. Archit. Sci. Rev. 2002, 45, 231–241. [Google Scholar] [CrossRef]
  26. Song, X.; Dincer, D. Spatial Constraints and User Adaptation: A Mixed-Methods Study of High-Density Students Dormitories. Buildings 2025, 15, 4330. [Google Scholar] [CrossRef]
  27. Pan, D.; Lan, R.; Graviss, E.A.; Lin, D.; Liang, D.; McNeil, E.; Lin, M.; Chongsuvivatwong, V. Adolescent Tuberculosis Associated with Tuberculosis Exposure in Classrooms and Dorm Rooms in Guangxi, China. Int. J. Infect. Dis. 2019, 78, 8–14. [Google Scholar] [CrossRef]
  28. Loder, R.T.; Young, J.C. Injuries Associated with Bunk Beds That Occur in Jail. J. Forensic Leg. Med. 2018, 53, 13–16. [Google Scholar] [CrossRef]
  29. van den Bogerd, N.; Dijkstra, S.C.; Tanja-Dijkstra, K.; de Boer, M.R.; Seidell, J.C.; Koole, S.L.; Maas, J. Greening the Classroom: Three Field Experiments on the Effects of Indoor Nature on Students’ Attention, Well-Being, and Perceived Environmental Quality. Build. Environ. 2020, 171, 106675. [Google Scholar] [CrossRef]
  30. Liu, J.; Yang, X.; Jiang, Q.; Qiu, J.; Liu, Y. Occupants’ Thermal Comfort and Perceived Air Quality in Natural Ventilated Classrooms during Cold Days. Build. Environ. 2019, 158, 73–82. [Google Scholar] [CrossRef]
  31. Schweiker, M.; Andersen, R.K.; Carlucci, S.; Chinazzo, G.; Hodder, S.; Mahdavi, A.; Palella, B.I.; Pisello, A.L.; d’Ambrosio Alfano, F.R.; Vellei, M. Ten Questions Concerning the Usage of Subjective Assessment Scales in Research on Indoor Environmental Quality. Build. Environ. 2025, 283, 113393. [Google Scholar] [CrossRef]
  32. Tamura, C.A.; Krüger, E.L.; Wagner, A.; Strauhs, F.R. Analyzing Potential Correlations between Light Exposure and Skin Temperature in a Climate Chamber. Build. Environ. 2021, 205, 108242. [Google Scholar] [CrossRef]
  33. Kim, H.; Jung, D.; Choi, H.; Hong, T. Advanced Prediction Model for Individual Thermal Comfort Considering Blood Glucose and Salivary Cortisol. Build. Environ. 2022, 224, 109551. [Google Scholar] [CrossRef]
  34. Jin, Z.; Juan, Y.-K. Is Fengshui a Science or Superstition? A New Approach Combining the Physiological and Psychological Measurement of Indoor Environments. Build. Environ. 2021, 201, 107992. [Google Scholar] [CrossRef]
  35. Juan, Y.-K.; Chen, Y. Not or Yes in My Back Yard? A Physiological and Psychological Measurement of Urban Residents in Taiwan. Landsc. Urban Plan. 2025, 255, 105256. [Google Scholar] [CrossRef]
  36. Zhang, N.; Liu, C.; Zhang, M.; Guan, Y.; Wang, W.; Liu, Z.; Gao, W. Effects of Traffic Noise on the Psychophysiological Responses of College Students: An EEG Study. Build. Environ. 2025, 267, 112171. [Google Scholar] [CrossRef]
  37. Wang, Q.; Wang, Y.; Wang, L.; Weschler, L.B.; Zhang, Y. The Effects of Indoor Intermittent Sweet Orange Smell on Human Relaxation. Build. Environ. 2025, 274, 112755. [Google Scholar] [CrossRef]
  38. Zhai, R.; Han, X.; Wan, P.; Li, J.; He, Y.; Ding, B. Closed and Structural Optimization for 3D Line Segment Extraction in Building Point Clouds. Remote Sens. 2025, 17, 3234. [Google Scholar] [CrossRef]
  39. Yang, L.; Ye, J.; Zhang, Y.; Wang, L.; Qiu, C. A Semantic SLAM-Based Method for Navigation and Landing of UAVs in Indoor Environments. Knowl.-Based Syst. 2024, 293, 111693. [Google Scholar] [CrossRef]
  40. Keitaanniemi, A.; Rönnholm, P.; Kukko, A.; Vaaja, M.T. Drift Analysis and Sectional Post-Processing of Indoor Simultaneous Localization and Mapping (SLAM)-Based Laser Scanning Data. Autom. Constr. 2023, 147, 104700. [Google Scholar] [CrossRef]
  41. Ibrahim, A.; Ali, H.; Yasin, A.; Abusafieh, S. The Role of Fractal Patterns in Modulating Stress Response and Recovery in Virtual Indoor Environments. Build. Environ. 2025, 286, 113705. [Google Scholar] [CrossRef]
  42. Wang, S.; Qu, C.; Yu, M.; Zhou, C.; Wang, Y.; Wen, Y.-H.; Shi, Y.; Liu, Y.-J. VAction: A Lightweight and Integrated VR Training System for Authentic Film-Shooting Experience. In Proceedings of the 2025 CHI Conference on Human Factors in Computing Systems, Yokohama, Japan, 26 April–1 May 2025; Association for Computing Machinery: New York, NY, USA, 2025; pp. 1–16. [Google Scholar]
  43. Zhang, X.; Lian, Z.; Ding, Q. Investigation Variance in Human Psychological Responses to Wooden Indoor Environments. Build. Environ. 2016, 109, 58–67. [Google Scholar] [CrossRef]
  44. Pico Neo3 Pro|Snapdragon XR2 Platform|Qualcomm. Available online: https://www.qualcomm.com/products/mobile/snapdragon/xr-vr-ar/xr-vr-ar-device-finder/pico-neo3-pro (accessed on 1 October 2025).
  45. ISO 9241-151:2008; Ergonomics of Human-System Interaction—Part 151: Guidance on World Wide Web User Interfaces [Withdrawn]. International Organization for Standardization (ISO): Geneva, Switzerland, 2008. Available online: https://www.iso.org/standard/37031.html (accessed on 2 August 2025).
  46. Ghahramani, A.; Castro, G.; Becerik-Gerber, B.; Yu, X. Infrared Thermography of Human Face for Monitoring Thermoregulation Performance and Estimating Personal Thermal Comfort. Build. Environ. 2016, 109, 1–11. [Google Scholar] [CrossRef]
  47. Malik, M.; Bigger, J.T.; Camm, A.J.; Kleiger, R.E.; Malliani, A.; Moss, A.J.; Schwartz, P.J. Heart Rate Variability. Standards of Measurement, Physiological Interpretation, and Clinical Use. Task Force of the European Society of Cardiology and the North American Society of Pacing and Electrophysiology. Eur. Heart J. 1996, 17, 354–381. [Google Scholar] [CrossRef]
  48. Song, Y.; Lin, G. Environmental Thermal Efficiency Analysis and Indoor Green Landscape Design Based on Point Cloud Model. Therm. Sci. Eng. Prog. 2025, 57, 103166. [Google Scholar] [CrossRef]
  49. Kim, H.-G.; Cheon, E.-J.; Bai, D.-S.; Lee, Y.H.; Koo, B.-H. Stress and Heart Rate Variability: A Meta-Analysis and Review of the Literature. Psychiatry Investig. 2018, 15, 235–245. [Google Scholar] [CrossRef]
  50. Jahncke, H.; Hygge, S.; Halin, N.; Green, A.M.; Dimberg, K. Open-Plan Office Noise: Cognitive Performance and Restoration. J. Environ. Psychol. 2011, 31, 373–382. [Google Scholar] [CrossRef]
  51. Ulrich, R.S.; Simons, R.F.; Losito, B.D.; Fiorito, E.; Miles, M.A.; Zelson, M. Stress Recovery during Exposure to Natural and Urban Environments. J. Environ. Psychol. 1991, 11, 201–230. [Google Scholar] [CrossRef]
  52. Cohen, M.X. Analyzing Neural Time Series Data: Theory and Practice; MIT Press: Cambridge, MA, USA, 2014. [Google Scholar]
  53. Mantini, D.; Perrucci, M.G.; Del Gratta, C.; Romani, G.L.; Corbetta, M. Electrophysiological Signatures of Resting State Networks in the Human Brain. Proc. Natl. Acad. Sci. USA 2007, 104, 13170–13175. [Google Scholar] [CrossRef]
  54. Klimesch, W. EEG Alpha and Theta Oscillations Reflect Cognitive and Memory Performance: A Review and Analysis. Brain Res. Rev. 1999, 29, 169–195. [Google Scholar] [CrossRef]
  55. Engel, A.K.; Fries, P. Beta-Band Oscillations—Signalling the Status Quo? Curr. Opin. Neurobiol. 2010, 20, 156–165. [Google Scholar] [CrossRef]
  56. Herrmann, C.S.; Fründ, I.; Lenz, D. Human Gamma-Band Activity: A Review on Cognitive and Behavioral Correlates and Network Models. Neurosci. Biobehav. Rev. 2010, 34, 981–992. [Google Scholar] [CrossRef] [PubMed]
  57. Luo, T.; Chen, G.; Wen, Y.; Wang, P.; Fan, Y.; Han, T.; Tian, F. Exploring the Effects of Sensory Conflicts on Cognitive Fatigue in VR Remappings. In Proceedings of the 37th Annual ACM Symposium on User Interface Software and Technology, Pittsburgh, PA, USA, 13–16 October 2024; Association for Computing Machinery: New York, NY, USA, 2024; pp. 1–16. [Google Scholar]
  58. Cheng, C.-F.; Lin, C.J. Building a Low-Cost Wireless Biofeedback Solution: Applying Design Science Research Methodology. Sensors 2023, 23, 2920. [Google Scholar] [CrossRef]
  59. Curran, S.L.; Andrykowski, M.A.; Studts, J.L. Short Form of the Profile of Mood States (POMS-SF): Psychometric Information. Psychol. Assess. 1995, 7, 80–83. [Google Scholar] [CrossRef]
  60. Cacioppo, J.T.; Tassinary, L.G.; Berntson, G. (Eds.) Handbook of Psychophysiology, 3rd ed.; Cambridge University Press: Cambridge, UK, 2007. [Google Scholar]
  61. Evans, G.W. The Built Environment and Mental Health. J. Urban Health-Bull. N. Y. Acad. Med. 2003, 80, 536–555. [Google Scholar] [CrossRef]
  62. Griebel, G.; Simiand, J.; Serradeil-Le Gal, C.; Wagnon, J.; Pascal, M.; Scatton, B.; Maffrand, J.P.; Soubrie, P. Anxiolytic- and Antidepressant-like Effects of the Non-Peptide Vasopressin V1b Receptor Antagonist, SSR149415, Suggest an Innovative Approach for the Treatment of Stress-Related Disorders. Proc. Natl. Acad. Sci. USA 2002, 99, 6370–6375. [Google Scholar] [CrossRef] [PubMed]
  63. Knyazev, G.G. EEG Delta Oscillations as a Correlate of Basic Homeostatic and Motivational Processes. Neurosci. Biobehav. Rev. 2012, 36, 677–695. [Google Scholar] [CrossRef] [PubMed]
  64. Salsano, I.; Giulietti, G.; Ottaviani, C.; Tain, R.; Williams, D.P.; Antonucci, G.; Santangelo, V.; Thayer, J.F. HRV Modulates Dorsomedial Prefrontal Cortex Activity during Emotionally Enhanced Memory-Guided Attention in a Visual Search Task. Int. J. Psychophysiol. 2025, 216, 113249. [Google Scholar] [CrossRef]
  65. Kaplan, S. The Restorative Benefits of Nature: Toward an Integrative Framework. J. Environ. Psychol. 1995, 15, 169–182. [Google Scholar] [CrossRef]
  66. Taylor, S.E.; Klein, L.C.; Lewis, B.P.; Gruenewald, T.L.; Gurung, R.A.; Updegraff, J.A. Biobehavioral Responses to Stress in Females: Tend-and-Befriend, Not Fight-or-Flight. Psychol. Rev. 2000, 107, 411–429. [Google Scholar] [CrossRef]
  67. Ulrich, R.S. Aesthetic and Affective Response to Natural Environment. In Behavior and the Natural Environment; Altman, I., Wohlwill, J.F., Eds.; Springer: Boston, MA, USA, 1983; pp. 85–125. ISBN 978-1-4613-3539-9. [Google Scholar]
Figure 1. Workflow of point cloud modeling.
Figure 1. Workflow of point cloud modeling.
Buildings 16 00622 g001
Figure 2. Rendered panoramic images of the virtual dormitory (a), and renderings of the dormitory and furniture (b).
Figure 2. Rendered panoramic images of the virtual dormitory (a), and renderings of the dormitory and furniture (b).
Buildings 16 00622 g002
Figure 3. Dormitory plan and scenarios for the lower bunk (LB) and upper bunk (UB) setups.
Figure 3. Dormitory plan and scenarios for the lower bunk (LB) and upper bunk (UB) setups.
Buildings 16 00622 g003
Figure 4. Flowchart of the physiological experiment.
Figure 4. Flowchart of the physiological experiment.
Buildings 16 00622 g004
Figure 5. Flowchart of the psychological experiment.
Figure 5. Flowchart of the psychological experiment.
Buildings 16 00622 g005
Figure 6. Photograph of the experimental setup.
Figure 6. Photograph of the experimental setup.
Buildings 16 00622 g006
Figure 7. Correlation between psychophysiological responses change values (Δ).
Figure 7. Correlation between psychophysiological responses change values (Δ).
Buildings 16 00622 g007
Table 1. Participant information and experimental grouping.
Table 1. Participant information and experimental grouping.
GroupNumber of SubjectsGenderFirst BunkLast BunkAge
MeanStd.
17MaleUBLB21.001.30
27MaleLBUB20.921.49
37FemaleUBLB21.761.48
47FemaleLBUB21.071.79
Table 2. Comparison of HRV and HR responses between UB and LB.
Table 2. Comparison of HRV and HR responses between UB and LB.
IndicesMeans of UBMeans of LBtpUBLB
MaleFemaleMaleFemale
HRV114.30122.77−0.940.18101.41123.18116.56128.98
HR74.5576.45−1.800.042 *71.4377.6874.0178.89
Note: * p < 0.05, UB and LB mean upper bunk and lower bunk, respectively. The same below.
Table 3. t-test result for gender comparison of HRV and HR change values (Δ).
Table 3. t-test result for gender comparison of HRV and HR change values (Δ).
IndicesMaleFemaletp
ΔHRV−15.15−5.80.7330.477
ΔHR−2.58−1.210.7630.459
Note: Δ denotes the values of indices in UB and the values of indices in LB. The same below.
Table 4. Comparison of EEG responses between UB and LB.
Table 4. Comparison of EEG responses between UB and LB.
IndicesMeans of UBMeans of LBtpUBLB
MaleFemaleMaleFemale
Delta64.7161.941.830.039 *59.1270.2956.9266.96
Low Beta2.933.48−1.900.034 *3.712.154.152.80
High Beta2.923.62−2.500.009 **3.192.653.803.43
Attention46.7548.63−0.990.16445.6847.8249.1048.16
Meditation54.1754.87−0.370.36056.5651.7855.3154.43
Theta17.7718.35−0.780.22319.2016.3419.8116.88
Low Alpha4.684.95−1.140.1325.423.955.384.51
High Alpha3.403.69−1.490.0754.112.694.013.33
Low Gamma2.062.35−1.810.040 *2.501.632.771.94
Middle Gamma1.591.64−0.190.4261.531.661.931.34
Note: * p < 0.05, ** p < 0.01.
Table 5. t-test results for gender comparison of EEG change values.
Table 5. t-test results for gender comparison of EEG change values.
IndicesMaleFemaletp
ΔDelta2.23.330.370.71
ΔLow Beta−0.44−0.65−0.390.70
ΔHigh Beta−0.61−0.78−0.310.76
ΔAttention−3.42−0.340.820.43
ΔMeditation1.25−2.65−0.870.40
ΔTheta−0.61−0.54−0.140.90
ΔLow Alpha0.04−0.56−1.490.16
ΔHigh Alpha0.1−0.64−1.790.098
ΔLow Gamma0.27−0.31−0.150.82
ΔMiddle Gamma−0.40.321.510.15
Note: Δ denotes the values of indices in UB and the values of indices in LB.
Table 6. Comparison of POMS responses between UB and LB.
Table 6. Comparison of POMS responses between UB and LB.
IndicesMeans of UBMeans of LBtpUBLB
MaleFemaleMaleFemale
Tension8.969.75−0.810.2148.59.438.2111.29
Depression7.079.11−1.400.0877.56.648.369.85
Anger4.935.75−0.720.2384.295.575.006.50
Vigor14.9612.321.940.032 *11.4318.511.0713.57
Fatigue26.7928.21−1.030.15615.7137.8616.5039.93
Confusion8.0368.25−0.360.3627.148.937.219.29
TMD22.2930.96−1.850.038 *23.9320.6426.4335.50
Note: * p < 0.05.
Table 7. t-test results for gender comparison of POMS change values (Δ).
Table 7. t-test results for gender comparison of POMS change values (Δ).
IndicesMaleFemaletp
ΔTension0.285−1.857−0.9680.175
ΔDepression−0.857−3.214−0.8210.213
ΔAnger−0.714−0.928−0.0940.463
ΔVigor0.3575.5001.8340.045 *
ΔFatigue−0.786−2.071−0.3710.358
ΔConfusion−0.071−0.357−0.2060.420
ΔTMD−2.500−14.857−1.3130.106
Note: * p < 0.05, Δ denotes the values of indices in UB and the values of indices in LB.
Table 8. Summary of significant psychophysiological differences between UB and LB environments.
Table 8. Summary of significant psychophysiological differences between UB and LB environments.
CategoryIndicatorUB MeanLB Meantp
PhysiologicalHR74.5576.45−1.800.042 *
Delta64.7161.941.830.039 *
Low Beta2.933.48−1.900.034 *
High Beta2.923.62−2.500.009 **
Low Gamma2.062.35−1.810.040 *
PsychologicalVigor14.9612.321.940.032 *
TMD22.2930.96−1.850.038 *
Note: * p < 0.05, ** p < 0.01. This table only includes indicators with significant differences.
Disclaimer/Publisher’s Note: The statements, opinions and data contained in all publications are solely those of the individual author(s) and contributor(s) and not of MDPI and/or the editor(s). MDPI and/or the editor(s) disclaim responsibility for any injury to people or property resulting from any ideas, methods, instructions or products referred to in the content.

Share and Cite

MDPI and ACS Style

Zhang, Y.; Jin, Z.; Yuan, Z.; Chen, J.; Yang, X. Upper Bunk or Lower Bunk, Which Will You Choose? How Bed Position Shapes University Students’ Physiological and Psychological Well-Being in China. Buildings 2026, 16, 622. https://doi.org/10.3390/buildings16030622

AMA Style

Zhang Y, Jin Z, Yuan Z, Chen J, Yang X. Upper Bunk or Lower Bunk, Which Will You Choose? How Bed Position Shapes University Students’ Physiological and Psychological Well-Being in China. Buildings. 2026; 16(3):622. https://doi.org/10.3390/buildings16030622

Chicago/Turabian Style

Zhang, Yiyao, Zikai Jin, Zijie Yuan, Junhui Chen, and Xinke Yang. 2026. "Upper Bunk or Lower Bunk, Which Will You Choose? How Bed Position Shapes University Students’ Physiological and Psychological Well-Being in China" Buildings 16, no. 3: 622. https://doi.org/10.3390/buildings16030622

APA Style

Zhang, Y., Jin, Z., Yuan, Z., Chen, J., & Yang, X. (2026). Upper Bunk or Lower Bunk, Which Will You Choose? How Bed Position Shapes University Students’ Physiological and Psychological Well-Being in China. Buildings, 16(3), 622. https://doi.org/10.3390/buildings16030622

Note that from the first issue of 2016, this journal uses article numbers instead of page numbers. See further details here.

Article Metrics

Article metric data becomes available approximately 24 hours after publication online.
Back to TopTop