Sign in to use this feature.

Years

Between: -

Subjects

remove_circle_outline
remove_circle_outline
remove_circle_outline
remove_circle_outline
remove_circle_outline
remove_circle_outline
remove_circle_outline
remove_circle_outline
remove_circle_outline

Journals

Article Types

Countries / Regions

remove_circle_outline
remove_circle_outline
remove_circle_outline

Search Results (72)

Search Parameters:
Keywords = standardized streamflow index

Order results
Result details
Results per page
Select all
Export citation of selected articles as:
38 pages, 12785 KB  
Article
Development of the Niger Basin Drought Monitor (NBDM) for Early Warning and Concurrent Tracking of Meteorological, Agricultural and Hydrological Droughts
by Juddy N. Okpara, Kehinde O. Ogunjobi and Elijah A. Adefisan
Meteorology 2026, 5(1), 2; https://doi.org/10.3390/meteorology5010002 - 19 Jan 2026
Viewed by 124
Abstract
Drought remains a phenomenal disaster of critical concerns in West Africa, particularly within the Niger River Basin, due to its insidious, multifaceted, and long-lasting nature. Its continuous severe impacts on communities, combined with the limitations of existing univariate index-based monitoring methods, worsen the [...] Read more.
Drought remains a phenomenal disaster of critical concerns in West Africa, particularly within the Niger River Basin, due to its insidious, multifaceted, and long-lasting nature. Its continuous severe impacts on communities, combined with the limitations of existing univariate index-based monitoring methods, worsen the challenge. This paper introduces and evaluates a Hybrid Drought Resilience Empirical Model (DREM) that integrates meteorological, agricultural, and hydrological indicators to improve their concurrent monitoring and early warning for effective decision-making in the region. Using reanalysis hydrometeorological data (1980–2016) and community vulnerability records, results show that the DREM-based composite index detects drought earlier than the Standardized Precipitation Index (SPI), with stronger alignment to soil moisture and streamflow variations. The model identifies drought onset when thresholds range from −0.26 to −1.19 over three consecutive months, depending on location, and signals drought termination when thresholds rise between −0.08 and −0.82. The study concludes that the DREM-based composite index provides a more reliable and integrated framework for early drought detection and decision-making across the Niger River Basin, and hence, has proven to be a suitable drought monitor for stakeholders in the Niger Basin which can be relied upon and trusted with high confidence. Full article
(This article belongs to the Special Issue Early Career Scientists' (ECS) Contributions to Meteorology (2025))
Show Figures

Figure 1

21 pages, 3405 KB  
Article
Spatiotemporal Dynamics and Lagged Hydrological Impacts of Compound Drought and Heatwave Events in the Poyang Lake Basin
by Ningning Li, Yang Yang, Zikang Xing, Yi Zhao, Jianhui Wei, Miaomiao Ma and Xuejun Zhang
Hydrology 2026, 13(1), 16; https://doi.org/10.3390/hydrology13010016 - 30 Dec 2025
Viewed by 425
Abstract
Compound drought and heatwave (CDHW) events pose a rising threat to global water security and ecosystem stability. While their increased frequency under global warming is recognized, their spatiotemporal evolution and subsequent cascading impacts on hydrological processes in monsoonal lake basins remain poorly quantified. [...] Read more.
Compound drought and heatwave (CDHW) events pose a rising threat to global water security and ecosystem stability. While their increased frequency under global warming is recognized, their spatiotemporal evolution and subsequent cascading impacts on hydrological processes in monsoonal lake basins remain poorly quantified. This study investigates the characteristics and hydrological impacts of CDHW in the Poyang Lake Basin, China’s largest freshwater lake, from 1981 to 2016. Using a daily rolling-window approach with the Standardized Precipitation Index (SPI) and Standardized Temperature Index (STI), we identified CDHW events and characterized them with metrics of frequency, severity, and intensity. Event coincidence analysis (ECA) was employed to quantify the trigger relationship between CDHW and subsequent hydrological droughts (streamflow and lake water level). Our results reveal a paradigmatic shift in the CDHW regime post-2000, marked by statistically significant increases in all three metrics and a fundamental alteration in their statistical distributions. ECA demonstrated that intensified CDHW events significantly enhance hydrological drought risk, primarily through a robust and increasing lagged influence at seasonal timescales (peaking at 40–90 days). Decomposition of compound events attributes this protracted impact predominantly to the heatwave component, which imposes prolonged hydrological stress, in contrast to the more immediate but rapidly decaying influence of drought alone. This study highlights the necessity of integrating compound extremes and their non-stationary, lagged impacts into water resource management and climate adaptation strategies for monsoonal basins. Full article
Show Figures

Figure 1

26 pages, 2991 KB  
Article
Hydro-Meteorological Drought Dynamics in the Lower Mekong River Basin and Their Downstream Impacts on the Vietnamese Mekong Delta (1992–2021)
by Dang Thi Hong Ngoc, Nguyen Van Toan, Nguyen Phuoc Cong, Bui Thi Bich Lien, Nguyen Thanh Tam, Nigel K. Downes, Pankaj Kumar and Huynh Vuong Thu Minh
Resources 2026, 15(1), 3; https://doi.org/10.3390/resources15010003 - 23 Dec 2025
Viewed by 953
Abstract
Climate change and river flow alterations in the Mekong River have significantly exacerbated drought conditions in the Vietnamese Mekong Delta (VMD). Understanding the temporal dynamics and propagation mechanisms of drought, coupled with the compounded impacts of human activities, is crucial. This study analyzed [...] Read more.
Climate change and river flow alterations in the Mekong River have significantly exacerbated drought conditions in the Vietnamese Mekong Delta (VMD). Understanding the temporal dynamics and propagation mechanisms of drought, coupled with the compounded impacts of human activities, is crucial. This study analyzed meteorological (1992–2021) and hydrological (2000–2021) drought trends in the Lower Mekong River Basin (LMB) using the Standardized Precipitation Index (SPI) and the Streamflow Drought Index (SDI), respectively, complemented by Mann–Kendall (MK) trend analysis. The results show an increasing trend of meteorological drought in Cambodia and Lao PDR, with mid-Mekong stations exhibiting a strong positive correlation with downstream discharge, particularly Tan Chau (Pearson r ranging from 0.60 to 0.70). A key finding highlights the complexity of flow regulation by the Tonle Sap system, evidenced by a very strong correlation (r = 0.71) between Phnom Penh and the 12-month SDI lagged by one year. Crucially, the comparison revealed a shift in drought severity since 2010: hydrological drought has exhibited greater severity (reaching severe levels in 2020–2021) compared to meteorological drought, which remained moderate. This escalation is substantiated by a statistically significant discharge reduction (95% confidence level) at the Chau Doc station during the wet season, indicating a decline in peak flow due to upstream dam operations. These findings provide a robust database on the altered hydrological regime, underlining the increasing vulnerability of the VMD and motivating the urgent need for comprehensive, adaptive water resource management strategies. Full article
Show Figures

Figure 1

25 pages, 5011 KB  
Article
New Insights into Meteorological and Hydrological Drought Modeling: A Comparative Analysis of Parametric and Non-Parametric Distributions
by Ahmad Abu Arra and Eyüp Şişman
Atmosphere 2025, 16(7), 846; https://doi.org/10.3390/atmos16070846 - 11 Jul 2025
Cited by 10 | Viewed by 1155
Abstract
Accurate drought monitoring depends on selecting an appropriate cumulative distribution function (CDF) to model the original data, resulting in the standardized drought indices. In the numerous research studies, while rigorous validation was not made by scrutinizing the model assumptions and uncertainties in identifying [...] Read more.
Accurate drought monitoring depends on selecting an appropriate cumulative distribution function (CDF) to model the original data, resulting in the standardized drought indices. In the numerous research studies, while rigorous validation was not made by scrutinizing the model assumptions and uncertainties in identifying theoretical drought CDF models, such oversights lead to biased representations of drought evaluation and characteristics. This research compares the parametric theoretical and empirical CDFs for a comprehensive evaluation of standardized Drought Indices. Additionally, it examines the advantages, disadvantages, and limitations of both empirical and theoretical distribution functions in drought assessment. Three drought indices, Standardized Precipitation Index (SPI), Streamflow Drought Index (SDI), and Standardized Precipitation Evapotranspiration Index (SPEI), cover meteorological and hydrological droughts. The assessment spans diverse applications, covering different climates and regions: Durham, United Kingdom (SPEI, 1868–2021); Konya, Türkiye (SPI, 1964–2022); and Lüleburgaz, Türkiye (SDI, 1957–2015). The findings reveal that theoretical and empirical CDFs demonstrated notable discrepancies, particularly in long-term hydrological drought assessments, where underestimations reached up to 50%, posing risks of misinformed conclusions that may impact critical drought-related decisions and policymaking. Root Mean Squared Error (RMSE) for SPI3 between empirical and best-fitted CDF was 0.087, and between empirical and Gamma it was 0.152. For SDI, it ranged between 0.09 and 0.143. The Mean Absolute Error (MAE) for SPEI was approximately 0.05 for all timescales. Additionally, it concludes that empirical CDFs provide more reliable and conservative drought assessments and are free from the constraints of model assumptions. Both approaches gave approximately the same drought duration with different intensities regarding drought characteristics. Due to the complex process of drought events and different definitions of drought events, each drought event must be studied separately, considering its effects on different sectors. Full article
(This article belongs to the Special Issue Drought Monitoring, Prediction and Impacts (2nd Edition))
Show Figures

Figure 1

27 pages, 9650 KB  
Article
Impact of Spatio-Temporal Variability of Droughts on Streamflow: A Remote-Sensing Approach Integrating Combined Drought Index
by Anoma Srimali, Luminda Gunawardhana, Janaka Bamunawala, Jeewanthi Sirisena and Lalith Rajapakse
Hydrology 2025, 12(6), 142; https://doi.org/10.3390/hydrology12060142 - 7 Jun 2025
Cited by 2 | Viewed by 1968
Abstract
Understanding how spatial drought variability influences streamflow is critical for sustainable water management under changing climate conditions. This study developed a novel Combined Drought Index (CDI) and a method to assess spatial drought impacts on different flow components by integrating remote sensing and [...] Read more.
Understanding how spatial drought variability influences streamflow is critical for sustainable water management under changing climate conditions. This study developed a novel Combined Drought Index (CDI) and a method to assess spatial drought impacts on different flow components by integrating remote sensing and hydrological modelling frameworks with generic applicability. The CDI was constructed using Principal Component Analysis to merge multiple standardized indicators: the Standardized Precipitation Evapotranspiration Index, Temperature Condition Index, Vegetation Condition Index, and Soil Moisture Condition Index. The developed framework was applied to the Giriulla sub-basin of the Maha Oya River Basin, Sri Lanka. The CDI strongly correlated with standardized streamflow with a Pearson correlation coefficient of 0.74 and successfully captured major drought and flood events between 2015 and 2023. A semi-distributed hydrological model was used to simulate streamflow variations across sub-catchments under varying drought conditions. Results show upstream sub-catchments were more sensitive to droughts, with sharper declines in specific discharge. Spatial drought variability had different impacts under high- and low-flow conditions: wetter sub-catchments contributed more during high flows, while resilience during low flows varied with catchment characteristics. This integrated approach provides a valuable framework that can be generically applicable for enhanced drought impact assessments. Full article
Show Figures

Figure 1

22 pages, 11656 KB  
Article
Hydrologic Decision Support in the Nile Basin: Creating Status Products from the GEOGLOWS Hydrologic Model
by Rachel Huber Magoffin, Riley C. Hales, E. James Nelson, Calvince Wara, Gustavious P. Williams, Andrew South and Zeleke K. Challa
Hydrology 2025, 12(3), 43; https://doi.org/10.3390/hydrology12030043 - 25 Feb 2025
Cited by 1 | Viewed by 1759
Abstract
Effective decision-making in water resource management requires timely and reliable streamflow information. This study demonstrates how the GEOGLOWS Hydrologic Model, River Forecast System (RFS), can generate actionable hydrologic status products, focusing on a case study in the Nile River Basin. Through collaboration with [...] Read more.
Effective decision-making in water resource management requires timely and reliable streamflow information. This study demonstrates how the GEOGLOWS Hydrologic Model, River Forecast System (RFS), can generate actionable hydrologic status products, focusing on a case study in the Nile River Basin. Through collaboration with stakeholders at the Nile Basin Initiative (NBI), we identify key information needs and apply standardized low flow calculations, including the Standardized Streamflow Index (SSI) and the 95th percentile (Q95) threshold, to assess stream conditions. Additionally, we apply the World Meteorological Organization’s (WMO) Hydrologic Status and Outlook System (HydroSOS) method for streams and generate the associated HydroSOS-styled graphs and maps. We present the hydrologic status products in a customized web application for stakeholders in the Nile Basin. We discuss how RFS can be applied globally to provide hydrologic information. Full article
Show Figures

Figure 1

18 pages, 1162 KB  
Article
Modelling Hydrological Droughts in Canadian Rivers Based on Markov Chains Using the Standardized Hydrological Index as a Platform
by Tribeni C. Sharma and Umed S. Panu
Hydrology 2025, 12(2), 23; https://doi.org/10.3390/hydrology12020023 - 31 Jan 2025
Viewed by 1209
Abstract
The standardized hydrological index (SHI) is the standardized but not normalized (normal probability variate) value of the streamflow used to characterize a hydrological drought, akin to the standardized precipitation index (SPI, which is both standardized and normalized) in the [...] Read more.
The standardized hydrological index (SHI) is the standardized but not normalized (normal probability variate) value of the streamflow used to characterize a hydrological drought, akin to the standardized precipitation index (SPI, which is both standardized and normalized) in the realm of the meteorological drought. The time series of the SHI can be used as a platform for deriving the longest duration, LT, and the largest magnitude, MT (in standardized form), of a hydrological drought over a desired return period of T time units (year, month, or week). These parameters are predicted based on the SHI series derived from the annual, monthly, and weekly flow sequences of Canadian rivers. An important point to be reckoned with is that the monthly and weekly sequences are non-stationary compared to the annual sequences, which fulfil the conditions of stochastic stationarity. The parameters, such as the mean, standard deviation (or coefficient of variation), lag 1 autocorrelation, and conditional probabilities from SHI sequences, when used in Markov chain-based relationships, are able to predict the longest duration, LT, and the largest magnitude, MT. The product moment and L-moment ratio analyses indicate that the monthly and weekly flows in the Canadian rivers fit the gamma probability distribution function (pdf) reasonably well, whereas annual flows can be regarded to follow the normal pdf. The threshold level chosen in the analysis is the long-term median of SHI sequences for the annual flows. For the monthly and weekly flows, the threshold level represents the median of the respective month or week and hence is time varying. The runs of deficit in the SHI sequences are treated as drought episodes and thus the theory of runs formed an essential tool for analysis. This paper indicates that the Markov chain-based methodology works well for predicting LT on annual, monthly, and weekly SHI sequences. Markov chains of zero order (MC0), first order (MC1), and second order (MC2) turned out to be satisfactory on annual, monthly, and weekly scales, respectively. The drought magnitude, MT, was predicted satisfactorily via the model MT = Id × Lc, where Id stands for drought intensity and Lc is a characteristic drought length related to LT through a scaling parameter, ɸ (= 0.5). The Id can be deemed to follow a truncated normal pdf, whose mean and variance when combined implicitly with Lc proved prudent for predicting MT at all time scales in the aforesaid relationship. Full article
(This article belongs to the Section Statistical Hydrology)
Show Figures

Figure 1

21 pages, 5107 KB  
Article
Spatiotemporal Dynamics of Drought in the Huai River Basin (2012–2018): Analyzing Patterns Through Hydrological Simulation and Geospatial Methods
by Yuanhong You, Yuhao Zhang, Yanyu Lu, Ying Hao, Zhiguang Tang and Haiyan Hou
Remote Sens. 2025, 17(2), 241; https://doi.org/10.3390/rs17020241 - 11 Jan 2025
Cited by 2 | Viewed by 1494
Abstract
As climate change intensifies, extreme drought events have become more frequent, and investigating the mechanisms of watershed drought has become highly significant for basin water resource management. This study utilizes the WRF-Hydro model in conjunction with standardized drought indices, including the standardized precipitation [...] Read more.
As climate change intensifies, extreme drought events have become more frequent, and investigating the mechanisms of watershed drought has become highly significant for basin water resource management. This study utilizes the WRF-Hydro model in conjunction with standardized drought indices, including the standardized precipitation index (SPI), standardized soil moisture index (SSMI), and Standardized Streamflow Index (SSFI), to comprehensively investigate the spatiotemporal characteristics of drought in the Huai River Basin, China, from 2012 to 2018. The simulation performance of the WRF-Hydro model was evaluated by comparing model outputs with reanalysis data at the regional scale and site observational data at the site scale, respectively. Our results demonstrate that the model showed a correlation coefficient of 0.74, a bias of −0.29, and a root mean square error of 2.66% when compared with reanalysis data in the 0–10 cm soil layer. Against the six observational sites, the model achieved a maximum correlation coefficient of 0.81, a minimum bias of −0.54, and a minimum root mean square error of 3.12%. The simulation results at both regional and site scales demonstrate that the model achieves high accuracy in simulating soil moisture in this basin. The analysis of SPI, SSMI, and SSFI from 2012 to 2018 shows that the summer months rarely experience drought, and droughts predominantly occurred in December, January, and February in the Huai River Basin. Moreover, we found that the drought characteristics in this basin have significant seasonal and interannual variability and spatial heterogeneity. On the one hand, the middle and southern parts of the basin experience more frequent and severe agricultural droughts compared to the northern regions. On the other hand, we identified a time–lag relationship among meteorological, agricultural, and hydrological droughts, uncovering interactions and propagation mechanisms across different drought types in this basin. Finally, we concluded that the WRF-Hydro model can provide highly accurate soil moisture simulation results and can be used to assess the spatiotemporal variations in regional drought events and the propagation mechanisms between different types of droughts. Full article
(This article belongs to the Special Issue Remote Sensing for Terrestrial Hydrologic Variables)
Show Figures

Figure 1

30 pages, 9777 KB  
Article
Distributed Composite Drought Index Based on Principal Component Analysis and Temporal Dependence Assessment
by João F. Santos, Nelson Carriço, Morteza Miri and Tayeb Raziei
Water 2025, 17(1), 17; https://doi.org/10.3390/w17010017 - 25 Dec 2024
Cited by 9 | Viewed by 3497
Abstract
A variety of drought indices were developed to monitor different types of drought, a significant natural hazard with multidimensional impacts. However, no single drought index can capture all dimensions of drought, necessitating a composite drought index (CDI) that integrates a range of indicators. [...] Read more.
A variety of drought indices were developed to monitor different types of drought, a significant natural hazard with multidimensional impacts. However, no single drought index can capture all dimensions of drought, necessitating a composite drought index (CDI) that integrates a range of indicators. This study proposes a CDI using principal component analysis (PCA) and a temporal dependence assessment (TDA) applied to time series of drought indices in a spatially distributed approach at the basin level. The indices considered include the Simplified Standardized Precipitation Index (SSPI), Simplified Standardized Precipitation-Evapotranspiration Index (SSPEI), soil moisture (SM), Normalized Difference Vegetation Index (NDVI), and streamflow (SF) from two climatically distinct small-sized basins in Portugal. Lag correlation analyses revealed a high contemporaneous correlation between SSPI and SSPEI (r > 0.8) and weaker but significant lagged correlations with SF (r > 0.5) and SM (r > 0.4). NDVI showed lagged and negligible correlations with the other indices. PCA was iteratively applied to the lag correlation-removed matrix of drought indices for all grid points, repeating the procedure for several SSPI/SSPEI time scales. The first principal component (PC1), capturing the majority of the matrix’s variability, was extracted and represented as the CDI for each grid point. Alternatively, the CDI was computed by combining the first and second PCs, using their variances as contribution weights. As PC1 shows its highest loadings on SSPI and SSPEI, with median loading values above 0.52 in all grid points, the proposed CDI demonstrated the highest agreement with SSPI and SSPEI across all grid cells, followed by SM, SF, and NDVI. Comparing the CDI’s performance with an independent indicator such as PDSI, which is not involved in the CDI’s construction, validated the CDI’s ability to comprehensively monitor drought in the studied basins with different hydroclimatological characteristics. Further validation is suggested by including other drought indicators/variables such as crop yield, soil moisture from different layers, and/or groundwater levels. Full article
(This article belongs to the Special Issue Drought Monitoring and Risk Assessment)
Show Figures

Figure 1

22 pages, 5895 KB  
Article
Optimizing the Master Recession Curve for Watershed Characterization and Drought Preparedness in Eastern Cape, South Africa
by Solomon Temidayo Owolabi and Johanes A. Belle
Hydrology 2024, 11(12), 206; https://doi.org/10.3390/hydrology11120206 - 28 Nov 2024
Cited by 2 | Viewed by 2082
Abstract
Regions grappling with water scarcity are compelled to fortify their hydrological analytical protocols for efficacious drought disaster preparedness, considering the escalating influence of climate change on river periodicity and the sustainable management of water resources. Hence, this study presents a novel optimization and [...] Read more.
Regions grappling with water scarcity are compelled to fortify their hydrological analytical protocols for efficacious drought disaster preparedness, considering the escalating influence of climate change on river periodicity and the sustainable management of water resources. Hence, this study presents a novel optimization and standardization approach for master recession curve (MRC) parameterization to improve the existing MRC computation for environmental flow (EF) parameterization. The study framework is based on constructing MRC using the RECESS computational tool. The concept involved normalizing quadratic improvement in the digitally filtered, smoothed, and automatically extracted MRC parameters from 24 long-term winter streamflows (2001–2020) in South Africa. The optimum recession length suitable for MRC computation obtained was ten days based on the significant proportion of the variance in streamflow as a function of flow timing (R2 > 0.935), EF consistency in most watersheds (p-value < 0.00), optimum standard error, and the appreciable years of significant discharge. The study obtained the MRC index, EF threshold, and the probable diminution period of 3.81–73.2, 0.001–20.19 m3/s, and 3.78 to 334 days based on the periods of significant discharge ranging between 4 and 20 years, respectively. The concurrent agreement of rainfall trend and baseflow (p-value < 0.05) with MRC parameters validate their performance as tools for EF conservation. The intra-variation in MRC across the 24 stations alluded to the overriding influence of river aquifer connectivity on watershed viability. The study provides profound insight into perennial and ephemeral rivers’ viability/vulnerability, indispensable for watershed prioritization, policy formulation, early warning systems, and drought preparedness. Full article
Show Figures

Figure 1

22 pages, 5572 KB  
Article
Application of Machine Learning and Hydrological Models for Drought Evaluation in Ungauged Basins Using Satellite-Derived Precipitation Data
by Anjan Parajuli, Ranjan Parajuli, Mandip Banjara, Amrit Bhusal, Dewasis Dahal and Ajay Kalra
Climate 2024, 12(11), 190; https://doi.org/10.3390/cli12110190 - 17 Nov 2024
Cited by 6 | Viewed by 6778
Abstract
Drought is a complex environmental hazard to ecosystems and society. Decision-making on drought management options requires evaluating and predicting the extremity of future drought events. In this regard, quantifiable indices such as the standardized precipitation index (SPI), the standardized precipitation evapotranspiration index (SPEI), [...] Read more.
Drought is a complex environmental hazard to ecosystems and society. Decision-making on drought management options requires evaluating and predicting the extremity of future drought events. In this regard, quantifiable indices such as the standardized precipitation index (SPI), the standardized precipitation evapotranspiration index (SPEI), and the standardized streamflow index (SSI) have been commonly used to characterize meteorological and hydrological drought. In general, the estimation and prediction of the indices require an extensive range of precipitation (SPI and SPEI) and discharge (SSI) datasets in space and time domains. However, there is a challenge for long-term and spatially extensive data availability, leading to the insufficiency of data in estimating drought indices. In this regard, this study uses satellite precipitation data to estimate and predict the drought indices. SPI values were calculated from the precipitation data obtained from the Centre for Hydrometeorology and Remote Sensing (CHRS) data portal for a study water basin. This study employs a hydrological model for calculating discharge and drought in the overall basin. It uses random forest (RF) and support vector regression (SVR) as machine learning models for SSI prediction for time scales of 1- and 3-month periods, which are widely used for establishing interactions between predictors and predictands that are both linear and non-linear. This study aims to evaluate drought severity variation in the overall basin using the hydrological model and compare this result with the machine learning model’s results. The results from the prediction model, hydrological model, and the station data show better correlation. The coefficients of determination obtained for 1-month SSI are 0.842 and 0.696, and those for the 3-month SSI are 0.919 and 0.862 in the RF and SVR models, respectively. These results also revealed more precise predictions of machine learning models in the longer duration as compared to the shorter one, with the better prediction result being from the SVR model. The hydrological model-evaluated SSI has 0.885 and 0.826 coefficients of determination for the 1- and 3-month time durations, respectively. The results and discussion in this research will aid planners and decision-makers in managing hydrological droughts in basins. Full article
(This article belongs to the Special Issue Coping with Flooding and Drought)
Show Figures

Figure 1

18 pages, 3764 KB  
Article
Multifractal Analysis of Standardized Precipitation Evapotranspiration Index in Serbia in the Context of Climate Change
by Tatijana Stosic, Ivana Tošić, Irida Lazić, Milica Tošić, Lazar Filipović, Vladimir Djurdjević and Borko Stosic
Sustainability 2024, 16(22), 9857; https://doi.org/10.3390/su16229857 - 12 Nov 2024
Cited by 6 | Viewed by 2009
Abstract
A better understanding of climate change impact on dry/wet conditions is crucial for agricultural planning and the use of renewable energy, in terms of sustainable development and preservation of natural resources for future generations. The objective of this study was to investigate the [...] Read more.
A better understanding of climate change impact on dry/wet conditions is crucial for agricultural planning and the use of renewable energy, in terms of sustainable development and preservation of natural resources for future generations. The objective of this study was to investigate the impact of climate change on temporal fluctuations of dry/wet conditions in Serbia on multiple temporal scales through multifractal analysis of the standardized precipitation evapotranspiration index (SPEI). We used the well-known method of multifractal detrended fluctuation analysis (MFDFA), which is suitable for the analysis of scaling properties of nonstationary temporal series. The complexity of the underlying stochastic process was evaluated through the parameters of the multifractal spectrum: position of maximum α0 (persistence), spectrum width W (degree of multifractality) and skew parameter r dominance of large/small fluctuations). MFDFA was applied on SPEI time series for the accumulation time scale of 1, 3, 6 and 12 months that were calculated using the high-resolution meteorological gridded dataset E-OBS for the period from 1961 to 2020. The impact of climate change was investigated by comparing two standard climatic periods (1961–1990 and 1991–2020). We found that all the SPEI series show multifractal properties with the dominant contribution of small fluctuations. The short and medium dry/wet conditions described by SPEI-1, SPEI-3, and SPEI-6 are persistent (0.5<α0<1); stronger persistence is found at higher accumulation time scales, while the SPEI-12 time series is antipersistent (0<α01<0.5). The degree of multifractality increases from SPEI-1 to SPEI-6 and decreases for SPEI-12. In the second period, the SPEI-1, SPEI-3, and SPEI-6 series become more persistent with weaker multifractality, indicating that short and medium dry/wet conditions (which are related to soil moisture and crop stress) become easier to predict, while SPEI-12 changed toward a more random regime and stronger multifractality in the eastern and central parts of the country, indicating that long-term dry/wet conditions (related to streamflow, reservoir levels, and groundwater levels) become more difficult for modeling and prediction. These results indicate that the complexity of dry/wet conditions, in this case described by the multifractal properties of the SPEI temporal series, is affected by climate change. Full article
(This article belongs to the Special Issue The Future of Water, Energy and Carbon Cycle in a Changing Climate)
Show Figures

Figure 1

21 pages, 15711 KB  
Article
Temporal Variability of Hydroclimatic Extremes: A Case Study of Vhembe, uMgungundlovu, and Lejweleputswa District Municipalities in South Africa
by Christina M. Botai, Jaco P. de Wit and Joel O. Botai
Water 2024, 16(20), 2924; https://doi.org/10.3390/w16202924 - 14 Oct 2024
Cited by 1 | Viewed by 1619
Abstract
The current study investigated hydroclimatic extremes in Vhembe, Lejweleputswa, and uMgungundlovu District Municipalities based on streamflow data from 21 river gauge stations distributed across the study site for the period spanning 1985–2023. Statistical metrics such as the annual mean and maximum streamflow, as [...] Read more.
The current study investigated hydroclimatic extremes in Vhembe, Lejweleputswa, and uMgungundlovu District Municipalities based on streamflow data from 21 river gauge stations distributed across the study site for the period spanning 1985–2023. Statistical metrics such as the annual mean and maximum streamflow, as well as trends in annual, maximum, seasonal, and high/low flow, were used to evaluate the historical features of streamflow in each of the three district municipalities. Moreover, the Standardized Streamflow Index (SSI) time series computed from streamflow observations at 3- and 6-month accumulation periods were used to assess hydroclimatic extremes, including drought episodes, proportion of wet/dry years and trends in SSI, drought duration (DD), and drought severity (DS). The results indicate that the three district municipalities have experienced localized and varying degrees of streamflow levels and drought conditions. The uMgungundlovu District Municipality in particular has experienced a significant decline in annual and seasonal streamflow as well as an increase in drought conditions during the 38-year period of analysis. This is supported by the negative trends observed in most of the assessed metrics (e.g., annual, maximum, seasonal, low/high flow, and SSI), whereas DD and DS showed positive trends in all the stations, suggesting an increase in prolonged duration and severity of drought. The Lejweleputswa District Municipality depicted positive trends in most of the assessed metrics, suggesting that streamflow increased, whereas drought decreased in the region over the 38-year period of study. Moreover, the Vhembe District Municipality experienced both negative and positive trends, suggesting localized variations in dry and wet conditions. The results presented in this study contribute towards drought monitoring and management efforts in support of policy- and decision-making that aim to uplift water resources management and planning at local and district municipality levels. Full article
(This article belongs to the Section Water and Climate Change)
Show Figures

Figure 1

22 pages, 2427 KB  
Article
Assessing Spatio-Temporal Hydrological Impacts of Climate Change in the Siliana Watershed, Northwestern Tunisia
by Imen El Ghoul, Haykel Sellami, Slaheddine Khlifi and Marnik Vanclooster
Atmosphere 2024, 15(10), 1209; https://doi.org/10.3390/atmos15101209 - 10 Oct 2024
Cited by 5 | Viewed by 1829
Abstract
Climate change is one of the most critical factors impacting hydrological dynamic systems. This study investigated how climate change influences the hydrological dynamics within the Siliana watershed in northwestern Tunisia, employing the Soil and Water Assessment Tool (SWAT) model. The analysis compared streamflow [...] Read more.
Climate change is one of the most critical factors impacting hydrological dynamic systems. This study investigated how climate change influences the hydrological dynamics within the Siliana watershed in northwestern Tunisia, employing the Soil and Water Assessment Tool (SWAT) model. The analysis compared streamflow patterns for the future period (2046–2072) with a baseline period (1979–2005). Simulations were carried out using four combinations of regional and global climate models from EURO-CORDEX, based on two Representative Concentration Pathways (RCP4.5 and RCP8.5). The results indicate a projected annual precipitation decrease of 22% with RCP4.5 and 27% with RCP8.5, accompanied by a temperature rise of up to 7 °C under RCP8.5. Streamflow is anticipated to decrease by 44% under RCP4.5 and 69% under RCP8.5. Extreme events show intensified high flows of shorter durations and increased low flows. Analysis using the Standardized Precipitation Evapotranspiration Index (SPEI) revealed longer and more intense droughts. Under the RCP8.5 scenario, 24% of the watershed faces extreme drought, while 76% experiences severe drought conditions. These findings highlight notable changes in hydrological indicators, emphasizing the urgent need for adaptive strategies in water resource management within the Siliana Basin to mitigate the effects of climate change. Full article
(This article belongs to the Special Issue Climate Change and Regional Sustainability in Arid Lands)
Show Figures

Figure 1

20 pages, 3666 KB  
Article
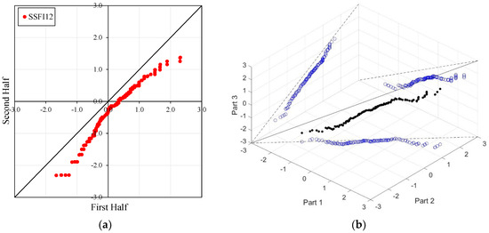
Trend Stability Assessment for Hydrological Drought in Euphrates Basin (Türkiye) Using Triple Wilcoxon Test and Innovative Trend Analysis Methods
by İbrahim Halil Demirel, Erdal Kesgin, Yavuz Selim Güçlü, R. İlayda Tan and Büşra Başaran
Water 2024, 16(19), 2823; https://doi.org/10.3390/w16192823 - 4 Oct 2024
Cited by 13 | Viewed by 2138
Abstract
This study investigates the stability of hydrological drought trends in the Euphrates Basin from 1960 to 2020 using three-dimensional (3D) graphical representations based on innovative trend analysis (ITA) and triple Wilcoxon test (WT) methods. Unlike traditional ITA and WT, which are widely used [...] Read more.
This study investigates the stability of hydrological drought trends in the Euphrates Basin from 1960 to 2020 using three-dimensional (3D) graphical representations based on innovative trend analysis (ITA) and triple Wilcoxon test (WT) methods. Unlike traditional ITA and WT, which are widely used for trend identification but do not inherently provide trend stability information, this study employs a novel approach to assess and visualize trend stability. The Triple WT method divides the data into three equal segments, examining differences without altering the time series. Drought indices are calculated for 3-month, 6-month, and 12-month time scales using historical streamflow data from five stations. The research identifies trends and their stabilities across three distinct periods: 1967–1984, 1985–2002, and 2003–2020. Results show that as the time scale increases, trend differences between extreme drought conditions diminish. One station consistently exhibits significantly decreasing trends, while three stations show unstable trends with notable variations in the standardized streamflow index (SSFI). The use of 3D-ITA and Triple WT effectively captures the dynamics and stability of drought trends, offering a deeper understanding of hydrological drought in the Euphrates Basin. These findings provide a reference for future studies on drought trend mechanisms in various climatic regions. Full article
(This article belongs to the Section Water and Climate Change)
Show Figures

Figure 1

Back to TopTop