Abstract
Drought remains a phenomenal disaster of critical concerns in West Africa, particularly within the Niger River Basin, due to its insidious, multifaceted, and long-lasting nature. Its continuous severe impacts on communities, combined with the limitations of existing univariate index-based monitoring methods, worsen the challenge. This paper introduces and evaluates a Hybrid Drought Resilience Empirical Model (DREM) that integrates meteorological, agricultural, and hydrological indicators to improve their concurrent monitoring and early warning for effective decision-making in the region. Using reanalysis hydrometeorological data (1980–2016) and community vulnerability records, results show that the DREM-based composite index detects drought earlier than the Standardized Precipitation Index (SPI), with stronger alignment to soil moisture and streamflow variations. The model identifies drought onset when thresholds range from −0.26 to −1.19 over three consecutive months, depending on location, and signals drought termination when thresholds rise between −0.08 and −0.82. The study concludes that the DREM-based composite index provides a more reliable and integrated framework for early drought detection and decision-making across the Niger River Basin, and hence, has proven to be a suitable drought monitor for stakeholders in the Niger Basin which can be relied upon and trusted with high confidence.
1. Introduction
Drought remains one of the most severe threats to human well-being and ecological stability across Africa, especially in West Africa. It is a form of extreme climatic variability [1], long hypothesized to be deeply rooted in the region’s climate system [2,3]. Its creeping and cumulative nature makes both the onset and termination difficult to determine [4], often becoming noticeable only after substantial impacts emerge [4,5]. In the Niger Basin, drought is the most complex and least understood natural hazard, historically triggering famine, displacement, and substantial economic losses. Major crises in the 1970s, 1980s, and 2010–2013, when the 2012 episode left 18.7 million people food insecure, demonstrate the depth of this challenge [2,4,6,7,8,9,10]. The high number and spatial extent of the affected people shown in Figure 1 are clear evidence of the failure of existing approaches to drought monitoring and early warning systems in the Niger Basin, which are driven majorly by univariate drought indicators. As [11] reported, the 2010 Sahel drought reduced agricultural output by more than 40% and displaced communities across northern Nigeria, Niger, and Mali, underscoring weaknesses in existing early-warning systems.
Figure 1.
Distribution of drought-affected population between 2010 and 2012 in West Africa. Adapted from FAO (2012) [10]. The white solid line indicates the national boundaries, while the white dashed line indicates the prevalence border line of acute malnutrition level over Chad Republic. The green color area indicates the Sahel belt region of West Africa.
Drought disregards political boundaries and affects all countries irrespective of their development levels [12]. Thus, basin-wide analysis of the Niger Basin is essential in a changing climate. Elsewhere in Africa, Southern and Eastern Africa are also experiencing extreme drought episodes; for example, El Niño-driven drought in 2023–2024 left more than 61 million people in urgent need of food aid [13,14,15]. Recent analysis further identifies densely populated agricultural zones as drought hotspots across Southern Africa, heightening vulnerability in the absence of strong monitoring and early-warning systems [16].
The Niger Basin, an important hydrological and socio-economic corridor, is under threat by projected drying trends [6]. Climate change modifies rainfall patterns and intensifies evapotranspiration, thereby amplifying drought frequency and severity [1,17,18,19]. As [17] notes, shifts in rainfall timing, delayed rainy seasons, and increased dry spells pose substantial risks to agriculture, water management, and health. Rising temperatures also accelerate soil and surface-water moisture loss [18,19], supporting projections that meteorological drought will increasingly evolve into agricultural and hydrological droughts as global warming intensifies [20,21,22]. As meteorological drought evolves into soil moisture or agricultural and hydrological droughts, its cascading impacts further magnify regional vulnerability. According to [23], future projections show a strong increase in SPEI-based drought intensity over Southern Africa, while SPI projections show no notable change, highlighting the sensitivity of drought assessments to evapotranspiration and index choice. Globally, the World Meteorological Organization (WMO) noted that droughts have increased by 29% since 2000 and remain particularly deadly in Africa [24], according to its Report on State of Global Climate 2021, underscoring the urgency for improved monitoring tools.
The WMO further reports that late-2023 to early-2024 dry conditions caused major droughts across north-western Africa, severely affecting agriculture and hydropower [25]. Research shows that changes in drought intensity and frequency disproportionately degrade hydrological ecosystem services [26]. Defining drought remains inherently challenging because it is multidimensional and varies across climatic, hydrological, and socio-economic settings [4,27]. There are four categories of drought, namely, meteorological, agricultural, hydrological, and socio-economic drought [28], illustrating its multifaceted nature and management complexity. As ref. [4] emphasized, it is difficult to effectively manage drought without clear identification, detection, and measurement. Hence, the authors argued that if you cannot define drought, you cannot detect and measure it, and if you cannot measure it, you cannot effectively manage it.
Traditionally, drought monitoring relies on univariate indicators derived from precipitation, soil moisture, or streamflow anomalies. Meteorological droughts, often characterized by rainfall deficits, may progress into soil moisture and hydrological droughts, leading to water scarcity across sectors [28,29,30]. Soil moisture plays a critical role in crop production and land–atmosphere interactions [31]. Although these single-variable approaches track individual aspects of the hydrologic system, they miss interactions across components and fail to represent drought propagation. Increasingly, drought is a multi-stage phenomenon requiring tools that consider evaporative demand of the atmosphere, vegetation stress, water-storage anomalies, and land-surface feedback simultaneously [32,33].
Index-based drought monitoring has become central to operational drought assessment due to its ability to simplify complex climatic interactions [34]. Over the past five decades, drought managers have relied on a diverse suite of drought indices for early warning and decision-support [35,36,37]. These indices, derived from precipitation, temperature, streamflow, groundwater, soil moisture, or crop yield data, provide a structured means of identifying drought onset, end, severity, and duration [38,39,40,41]. Drought thresholds, single-value indicators used to define drought characteristics, are especially important for decision-makers [34,42]. According to [39,43,44], thresholds must be impact- and location-specific; as [4] stresses, West Africa can benefit from objective SPI-based thresholds tailored to local impacts. Hence, the authors argued in this study that linking drought thresholds to impacts of drought over a specific region makes them more robust and effective triggers of unfolding drought events. By implication, the effectiveness of an established drought threshold in drought depiction or detection is dependent on the quality of the dataset used.
More than 150 drought indices exist [45,46,47,48,49], but those widely used in the Niger Basin, SPI, SPEI, PDSI, RAI, SAI, and BMDI, rely primarily on precipitation or temperature [3,26,35,36,37,46]. These indices are valuable but have documented weaknesses [15,47]. Studies show inconsistencies across indices, which can mislead decision-making. For example, ref. [48] found substantial discrepancies between SAI, BMDI, and SPI in the Upper Niger Basin, illustrating how index choice may distort impact assessments [50]. Other studies document how variations in datasets and indices produce divergent drought signals, introducing uncertainty into monitoring systems [51,52,53]. Index selection therefore critically influences early warning systems and policy actions [54].
A critical major limitation in the Niger Basin is the continued dependence on univariate drought assessments [40,55,56], resulting in fragmented monitoring and inconsistent evaluations of drought risk [57]. Moreover, policy makers often use these indices without fully understanding their assumptions, data requirements, or structural weaknesses [36]. Even widely used indices such as SPI and SPEI often neglect essential components such as soil moisture, groundwater, and runoff [58].
Additionally, there has been increasing interest recently for a regional dimension to the management of the recurrent Sahelian droughts in the Niger basin. As ref. [59] emphasized, improved techniques are needed with urgency to accurately determine drought occurrence in the region. This is because current univariate-based drought indicator techniques employed in the management of the drought disasters have not yielded the desired solution, nor have they been effective in addressing the problem [4]. The failure stems from the fact that first, droughts affect the entire hydrologic system and a wide variety of disciplines and socio-economic sectors. Second, the series of timescales drought is known to be operating on and diverse geographical and temporal distribution of the phenomenon, which makes it difficult to establish both a universal definition of drought and an index to measure it. This univariate dependence has persisted despite technological advances that offer improved monitoring capabilities. Despite advances in remote sensing (NDVI, VCI, SMOS/SMAP soil moisture), reanalysis datasets (ERA5, MERRA-2), hydrological models, and blended indicators [60,61,62,63,64], these tools remain underutilized in Niger Basin drought monitoring. Leveraging these datasets is essential for transitioning from fragmented assessments to integrated, evidence-based early-warning systems. Continuous and simultaneous monitoring of multiple indicators is indeed highly needed [65], achievable through composite drought indices (CDIs).
Globally, CDIs have emerged as best practice for multivariate drought assessment. Systems such as the U.S. Drought Monitor (USDM) and North American Drought Monitor (NADM) integrate SPI, PDSI, soil moisture, streamflow, and other metrics using linear combinations and percentile thresholds to characterize drought severity across scales [66,67]. Although data limitations hinder full implementation of USDM outside the United States, adaptations of the approach have been successful in Morocco, Spain, South Korea, and other regions [68,69,70]. Additional CDI-based systems exist in China [71], the European Drought Observatory [57], and Kenya [72]. Recent regional advances include multivariate wavelet coherence analysis for West Africa [73] and a weighted composite index using entropy and Euclidean distance in Niger [74]. In an earlier study over the West African Sahel (WAS), ref. [75] developed a remote-sensing-based composite drought index (CDI) and found the CDI to be more sensitive in detecting drought over the region than the SPI and SPEI. The authors further revealed that CDI exhibits a good correlation with millet, maize, and sorghum production data. Hence, it is effective for detecting agricultural drought, but not hydrological drought. These global models demonstrate the feasibility and benefits of CDI frameworks, though data scarcity and monitoring infrastructure remain a major drawback in their implementation in most African basins.
Despite these developments, the Niger Basin still lacks a basin-wide, integrated early-warning system capable of jointly capturing meteorological, agricultural, and hydrological droughts [76,77]. Limited institutional capacity and insufficient monitoring infrastructure further widen the gap between scientific knowledge and operational response [78,79]. Current efforts, though valuable, remain insufficient for fully integrating diverse drought types and emerging datasets into a coherent decision-support framework [80,81,82,83]. Effective drought management requires harmonized, multi-indicator approaches capable of reducing contradictions between indices and providing actionable, real-time information to all stakeholders.
This raises important questions for decision-makers: Is holistic drought monitoring possible across sectors like meteorological, agricultural, and hydrological domains? What form should integrate thresholds take for early drought detection? How operationally practical are composite tools for multi-sector drought management? To address these gaps, this study develops a multivariate Objective Drought Resilience Empirical Model (DREM) for the Niger Basin, an approach designed to diagnose multiple drought types simultaneously and benchmark performance against widely used standard indices such as SPI.
2. Materials and Methods
2.1. Study Area
The study focuses on the Niger River Basin (NRB) of West Africa located roughly between longitudes 12° W and 15° E, and latitude 4° and 17° N, and covering approximately 7.5% of the continent of Africa [84]. With the headwaters located at the fringes of the Guinean moist forests, the Niger River traverses almost all the possible ecosystem zones in West Africa, especially along its course. It is a trans-boundary river basin shared by nine riparian countries (Figure 2), geographically spanning over Guinea, Mali, Niger, Nigeria, Benin, Burkina Faso, Cameroon, Chad, and Côte d’Ivoire. It has a total population of over 100 million people depending on the river for their livelihoods, such as agricultural production, food security, transportation, trade, hydropower, and recreation [85]. In terms of drainage area including the flow regime, the Niger River is the third longest river in Africa, after Nile and Congo, with its 4200 km length and drains through a hydrologically active catchment area of 1.5 million km2. Figure 2 provides succinct description of major vegetation belts and drainage networks of the Niger Basin [86].
Figure 2.
The Niger River Basin of West Africa, showing the major vegetation belts and the drainage network. Adapted from Tarhule et al. (2014) [86].
Furthermore, the tropical climate of Niger Basin witnesses 7 months of cropping season (i.e., April to October) every year, during which more than 95% of the total annual rainfall is experienced [87]. Usually, rainfall in West Africa is produced through Meso-Scale Convective System (MCS) and West African Monsoon (WAM) from the Atlantic Ocean, giving normal annual rainfall ranging from about 100 mm in the Sahel zone to more than 2500 mm along the pure tropical areas in the Guinea zone [2]. The basin regularly experiences alternating wet and dry seasons that characterize the climate of the region and comprises two sub-areas, the semi-arid Sahelian region (12° N–20° N) and humid Guinean coast (south of 10° N). The Sahel region represents an ecotone or transition between the Saharan desert and the wet climate of Guinea coast.
Additionally, because of its heterogeneous nature and large size, as well as its topographical and hydrological characteristics, the basin is often divided into four sub-basins, namely, the Upper Niger, inner delta, Middle Niger, and Lower Niger [88]. Figure 3 is a schematic map of the four (4) Niger River sub-basins. These sub-basins provide a better understanding of the biophysical, hydrological, and socio-economic processes affecting the basin’s water resources [89,90].
Figure 3.
The four watersheds of the Niger River Basin, West Africa. Adapted from Abrate et al. (2010) [90].
2.2. The Reanalysis Data
The data required and analyzed in this study comprise principally long-term monthly hydro-meteorological reanalysis datasets from the African Drought and Flood Monitor (ADFM) database covering the period 1980–2016 as shown in Table 1.
Table 1.
Summary of reanalysis hydro-meteorological data used.
The ADFM was developed by [91] and is updated daily and provides multiple hydrologic variables at both continental and basin scales. The suite of univariate drought indicators from the ADFM was produced using Variable Infiltration Capacity (VIC) model. The VIC model is a large-scale, semi-distributed land surface hydrologic model [92]. This suite of indicators includes precipitation, temperature, soil moisture, and streamflow datasets. Normally, to display and view the data of a desired variable, the location or a point for which the data is to be extracted was first selected [4,93]. Typically, the data extraction is performed graphically by clicking on the map or by entering the location coordinates (i.e., latitude and longitude). Accordingly, by selecting point data section on the system and the time interval, clicking on data download and answering ’yes’ on creating a corresponding data file question, and manually entering the coordinates (i.e., the latitudes and longitudes) of each of the selected locations, respectively, the datasets were obtained at point scale.
Following the procedure, the datasets were extracted for 60 stations scattered across the nine countries of the Niger River Basin shown in Figure 4. With regard to the study period, it has been selected to bring major drought episodes that occurred after the 1970s and the recovery years from the 1990s into historical context, as well as to ensure that the minimum of 30 years of continuous records required for the computation of robust drought indices is conformed with [94].
Figure 4.
Country-wise distribution of number of stations in the study area.
Historically, drought assessment usually relies on limited ground-based meteorological precipitation and temperature measurements. However, it is well-known that these have never captured the full complexity of drought impacts on vegetation, soil moisture, agriculture, and water resources [95]. In this study, therefore, the reanalysis dataset has been preferred because of the (a) paucity of the observational dataset that has been a major problem to drought depiction in the region [4,96,97]. For example, according to [98] the percentage of data gaps found from a preliminary analysis carried out ranges from 13.2 to 50.5% depending on the location, especially the streamflow datasets, which may lead to wrong inference and scientific conclusions about drought events and their characteristics. Underscoring the recent call by WMO for better network monitoring [99], (b) the database provides a hydro-meteorological series of high resolution and quality. In addition, they have global and long-term coverage, suitable for data-scarce regions such as Africa and the variables are physically consistent. Usually, the AFDM reanalysis datasets are made available to the public through a web-based interactive interface, which is based on Google maps. Such setting allows a user to interact with the system, zoom in to a specific location, display maps and time series, as well as download the data. The source of the AFDM dataset was cited in the work of [4] with the link https://doi.org/10.1007/s11069-022-05273-3. However, this has long been updated in December 2021, with a new version of the African Flood and Drought Monitor launched with the link https://www.princetonclimateinstitute.org/news/new-version-of-the-african-flood-and-drought-monitor-live, accessed on 4 January 2026. Unfortunately, with the new version of the African Flood and Drought Monitor, datasets are available only for the current date and the past 1 months and can be accessed via http://hydrology.soton.ac.uk/apps/afdm/ on 4 January 2026.
2.3. In Situ Observational Station and Ancillary Data
The in situ observational records used in this study for bias correction of the AFDM datasets were extracted from the database of the Global Historical Climatology Networks (GHCN-NOAA), which was cited in the earlier work of [2] with the link https://doi.org/10.1007/s11069-017-2980-6 and available for the period 1950–2001. The choice of the database hinged on its well-known high-quality data. The link has been updated and data currently accessed via https://www.ncei.noaa.gov/cdo-web/api/v2/data on 4 January 2026. Another source of observed station data considered to cover the study period was air temperature and rainfall data (1980–2020) from Nigerian Meteorological Agency (NiMet). Also used is the community-based drought-related vulnerability data such as losses in agricultural yields, losses in hydropower production, income, migration of affected population, etc., collected through research questionnaire instruments.
The ancillary data used in this study includes the Digital Elevation Model (DEM) and Normalized Difference Vegetation Index (NDVI). The DEM was sourced from HYDRO1k, a geographic database developed by the U.S. Geological Survey’s EROS Data Center which was cited in the earlier published work with the link https://doi.org/10.3389/fcosc.2024.1481791. It was used for delineating and describing the study area using Spatial Analyst Tool in ArcMap Geographic Information System (GIS). It was manufactured by Environmental Systems Research Institute (Esri), an American multinational company based in Redlands, California, known as the leading provider of GIS technology for mapping and spatial analysis. The ArcMap software (10.8.2) was sourced from Abuja, Federal Capital Territory (FCT) Nigeria. The NDVI dataset was extracted from the ADFM database and used for the performance evaluation of the CDI. The performance evaluations were based on exploratory data analysis and use of some statistical tools, which include Mean Absolute Error (MAE), Coefficient of Determination (R2), Nash Sutcliff Efficiency (NSE), Percent Bias (PBIAS), and Index of Agreement (d).
2.4. Methodology
2.4.1. Data Quality Control: Bias Correction of Reanalysis Dataset
Climate models and their associated reanalysis outputs are inherently prone to systematic biases. Despite notable advances in reanalysis techniques, substantial uncertainties persist in the representation of extreme precipitation events. For instance, reanalysis products often underestimate precipitation extremes (e.g., heavy rainfall), particularly when the pronounced temporal and spatial variability of global precipitation patterns is considered [100]. Such underestimation can adversely affect accurate detection, monitoring, and early warning of drought termination. Moreover, reanalysis performance varies across regions and climatic variables, underscoring persistent methodological limitations and ongoing challenges in addressing regional-scale precipitation data gaps [100]. These limitations highlight the necessity of rigorous data quality control procedures [4].
Data quality control is commonly implemented through bias correction techniques. A wide range of bias correction methods has been documented in the literature, including Mean Bias Correction, linear scaling (seasonal bias correction), Delta Change (change factor method), Quantile Mapping (QM), Empirical Quantile Mapping (EQM), Quantile Delta Mapping (QDM), machine-learning-based approaches, and hybrid or multi-source bias correction methods [101,102,103,104,105,106,107]. However, the plurality of available methods can complicate the selection of an appropriate approach, as each method exhibits distinct strengths and limitations. High-performing techniques such as QM, EQM, and machine-learning-based methods generally offer improved representation of variability and extremes but are often associated with increased computational demand, methodological complexity, and time-intensive implementation [102,106,108].
The AFDM reanalysis datasets, namely, precipitation, air temperature, soil moisture, and streamflow, were therefore subjected to quality control to correct the biases and improve on the quality of the datasets using the linear scaling method [109]. This method was preferred to delta and quantile mapping methods of bias correction, because it accounts for seasonal variability and is easy to implement, relative to other methods that are computationally demanding. Its strength is also in its simplicity, robustness, and straightforward application in dealing with observed and predicted probability distribution functions (PDFs)/CDFs. In addition, linear scaling usually corrects biases separately for each month or season, thereby accounting for seasonal differences in model performance, which is relevant in drought depiction [104]. The approach is also well-suited for handling both bounded variables such as precipitation and unbounded variables like temperatures [110]. In this study, probability distribution functions (PDFs) broadly refer to any function that describes how probabilities are distributed over possible outcomes of a random variable, while cumulative distribution functions (CDFs) refer to the total probability accumulated up to a certain value of a random variable or the integral of the PDF from negative infinity up to point x. To apply the bias correction factor (BCF), we argued that the bias behavior of climate models does not change with time and the transfer function is time independent. Hence, any bias correction factor can be applied in the future. The BCF was obtained as the difference between the monthly mean of observed and model data or the monthly mean observed data divided by the monthly mean model data, which is applied to the model data to obtain bias-corrected climate data. Usually, precipitation is corrected with a multiplier (x) and temperature with an additive term [111,112]. Subsequently, the obtained BCF was used to correct the reanalysis dataset for the 2002–2016 periods. The mathematical expression of the linear scaling method is as stated below.
A key assumption of linear scaling (LS) approach is that the correction factors estimated from the historical period remain valid in the future. However, several studies have shown that this assumption can fail, especially if model errors change with climate state; LS can distort trends or produce unrealistic future signals. Moreover, extreme events such as drought and flood remain poorly represented even after correction, because the method assumes stationary seasonal bias and does not correct distribution shape [104]. These are central critiques in the literature as their limitations [112,113]. Nevertheless, the LS method is more realistic than global mean correction approach [104]. The quality of the reanalysis data before and after bias correction is shown in Table 2 as adjudged by the values of the Succliff Efficiency (NSE) and Coefficient of Determination (R2), Mean Absolute Error (MAE), and Percent Bias (PBIAS). Thus, the accuracy of reanalysis-based drought depiction is dependent on the quality of the dataset, which in turn depends on the choice of the bias correction approach implemented.
Table 2.
Linear scaling bias correction performance assessment of precipitation reanalysis data.
More recently, ref. [100] proposed a Global Spatiotemporal Precipitation Imputation and Correction model based on Regional-Scale Intelligent Optimization and Topography analysis (GSPIC-RT) to address the above-mentioned limitations, to reduce uncertainty in satellite/reanalysis precipitation fields in data-scarce, complex regions such as Africa, especially over the West African region. The framework integrates multi-source precipitation datasets to bridge historical data gaps and enhance overall model performance. Central to the GSPIC-RT approach is an intelligent spatial clustering module that optimizes regional-scale precipitation imputation by constructing tailored models that capture the distinct spatial and temporal variability patterns unique to each region with the intent to improve drought depiction.
2.4.2. Understanding the Climatology of Niger River Basin Based on Station Data
Knowledge of the climatology of a place is critical in establishing an objective operational threshold for defining and distinguishing dry spells from actual drought conditions; thus, it needs to be analytically elucidated. Additionally, being able to recognize an emerging drought, or knowing whether drought is over, entails understanding what is normal for a given season or location and considering longer time frames. For instance, if an area has been in drought for a while it naturally takes more than one or two rains of significant values to end it, although one rain may be all that is needed to awaken inactive vegetation or spur growth of crops (https://drought.unl.edu/Education/Tutorials/usdm.aspx, accessed on 19 November 2018). To this effect, analyses of the spatial characteristics of rainfall of the region from 1980 to 2016 have been carried out.
2.4.3. Conceptual Framework of Design of Niger Basin Drought Monitor (NBDM)
The Niger Basin Drought Monitor (NBDM) functions as a Drought Resilience Empirical Model (DREM), represented in Figure 5. The Figure is a schematic representation of the conceptual framework of the process of development of different types of droughts. Hence, it is a simplified visual diagram used to explain or illustrate relationships, processes, or concepts in this study. It connects the main drought types, namely, meteorological, agricultural, hydrological, and socio-economic, showing how precipitation acts as the carrier of drought signals [114,115,116] through the hydrological cycle. Reduced rainfall leads to soil moisture deficits, plant stress, groundwater decline, and streamflow reduction, resulting in agricultural and hydrological droughts [18,117,118]. For example, ref. [118] found a substantial seasonal correlation between meteorological and agricultural droughts in spring, summer, and autumn, as evidenced by cross-wavelet coherence analysis.
Figure 5.
The conceptual framework of study.
Meteorological drought arises from prolonged precipitation shortages. These shortages, worsened by rising temperature or evapotranspiration, trigger agricultural drought when soil moisture falls below levels needed for crop growth, leading to reduced yields. Hydrological drought occurs when surface and subsurface water resources runoff and groundwater recharge fall below normal. Socio-economic drought emerges when these water deficits disrupt human activities.
Previous studies show that meteorological droughts are often asynchronous with other drought types, with agricultural and hydrological droughts typically lagging behind by varying periods. This temporal lag enables the propagation of drought signals from one type to another [18,19,20,119,120]. Drought response time is primarily controlled by hydrometeorological factors, while environmental characteristics (e.g., terrain and land-cover types) play secondary roles. Areas with higher precipitation, soil moisture, or runoff generally experience shorter response times, whereas regions with higher elevations or steeper slopes show longer delays, especially for the propagation of meteorological to agricultural drought (PMAD) and shorter delays for meteorological to hydrological drought (PMHD) [119]. Regions with less cropland and more forest cover also tend to exhibit shorter response times. Furthermore, ref. [121] describes drought response time (or propagation time) as season-dependent, noting faster propagation from meteorological to hydrological drought during the hot season (June–September) and slower propagation during the cold season (December–March) in the Weihe River Basin, China. A clear understanding of these drought propagation drivers and characteristics is therefore critical for effective drought early warning systems and reducing societal impacts.
Two concepts, namely, timescale and inertia, underpin drought behavior and monitoring [35]. Inertia reflects delays in system responses to drought signals, while timescale refers to the lag between water shortages and their impacts [118,122]. For instance, soil moisture reacts quickly to rainfall deficits, while groundwater responds slowly. Monitoring requires capturing these lags to provide early warning and action [123]. To integrate predictors, multiple regression models generate a weighted linear combination (https://pmc.ncbi.nlm.nih.gov/articles/PMC2772215/pdf/nihms139290.pdf, accessed on 20 July 2018) as illustrated in Figure 6.
Figure 6.
Concept of the working of the linear combination model.
The figure is a schematic representation of the working of the linear combination model used to integrate the different independent predictor indices highlighted in green color, the new linear predictor highlighted in orange color, and the dependent predictand highlighted in blue color.
The mathematical formulation for the empirical derivation of the DREM or NBDM model based on the objective blend of drought indicators (OBDI) is as expressed below:
where represents the selected input drought indices and/or indicators, is the weight for each index, and N is the number of input drought indices
where β1, β2, and β3 represent the weightings (Wj) of the Meteorological Drought Index (Met. DI), Agricultural Drought Index (Agric. DI), and Hydrological Drought Index (Hydro. DI), respectively. The weights β1, β2, and β3, as shown in Equation (4), is constraint to 1 to minimize error, and hence β1+ β2 + β3 = 1.
2.4.4. The Development Process of the Niger Basin Drought Monitor (NBDM)
The Niger Basin Drought Monitor (NBDM) was developed in the form of Objective Blend of Burden of Drought Disaster Indicator (OBBDDI), similar to USDM Objective Blend Drought Indicators (OBDI). The OBBDDI is a Drought Resilience Empirical Model (DREM) established from a linear combination equation. The OBBDDI was created by integrating three input indices, namely, the Standardized Effective Precipitation Index (SEPI), Soil Moisture Index (SMI), and the Streamflow Index (SFI) representing indices for the three biophysical forms of drought, i.e., meteorological, agricultural, and hydrological drought to establish an “All-in-One drought Model” for concurrent tracking of anomalies of three components of the hydrological cycle (i.e., precipitation, soil moisture, and streamflow) with the view to monitor drought evolution in the basin holistically.
With regard to the commonly used meteorological drought indicator, the SPI, the lack of consideration for the effect of temperature on drought constitutes one of the limitations of SPI model. Hence, instead of using SPI as input indicator, the Standardized Effective Precipitation Index (SEPI) was introduced as indicator of meteorological drought. Therefore, to account for the effect of temperature or potential evapotranspiration, effective precipitation was considered and transformed into Standardized Effective Precipitation Index (SEPI) following the SPI approach by replacing precipitation with effective precipitation as input data. The other input indicators into the CDI were soil moisture (SM) and streamflow (SF) which were transformed into Soil Moisture Index (SMI) and Streamflow Index (SFI) using the Normal Curve Equivalent (NCE) method, because the units of measurement of the indicators were in percentiles. The computation of the potential evapotranspiration and effective precipitation parameters and of the standardization process are detailed below under general methodological framework.
Following the standardization of the input indicators, the independent variable coefficients or weightings, i.e., (Wi) = W1, W2, and W3, were determined for the Niger River Basin, and on average they were W1 = 0.278, W2 = 0.322, W3 = 0.400, representing the weight for the meteorological, agricultural, and hydrological drought indices.
Thereafter, drought category thresholds and weights for each individual index were assigned.
The higher weight assigned to hydrological drought reflects its greater societal impacts compared to meteorological and agricultural droughts. This aligns with findings by [124] in the Jinghe River Basin, where hydrological drought is projected to worsen while meteorological drought may ease. Although meteorological drought typically occurs first, several studies note that its catastrophic impacts are lower than those of agricultural and hydrological droughts [17,21,22,125]
Hence, the NBDM is a worksheet model and mathematically expressed as
The weight coefficients of each of the three input indicators or variables (SEPI, SMI, and SFI) in the Objective Blend of Burden of Drought Disaster Index (OBBDDI) was established using the concept of drought disaster burden (DDB) resulting from exposure of the society to different biophysical forms of drought events. The Burden Of Drought Disaster (BDD) or drought disaster burden (DDB) measures the weight of the impacts of the different types of droughts on society based on drought disaster damage indicators or simply disaster damage indicators (DDI). The concept of BDD was adapted from the World Health Organization (WHO) concept of Disability-Adjusted Life Years (DALYs) Measure of the Direct Impact of Natural Disasters. Thus, the weight of each input indicator component was empirically determined. This was achieved using the obtained community-level drought vulnerability data collected through research questionnaire instruments. This weighting technique was selected because drought thresholds must be impact-specific and location-specific, as no universal operational drought definition exists. To address this, the concept of Burden of Drought Disaster (BDD) was applied to estimate the relative importance of the three biophysical drought types, namely, meteorological, agricultural, and hydrological drought experienced in the study region during the 1980s drought-induced famine, being a worst-case scenario of drought episodes in the region. This approach allowed us to identify which drought type imposed the greatest societal burden. Our framework adapts the World Health Organization’s (WHO) Disability-Adjusted Life Years (DALYs) concept, which measures the burden of disease disasters (BDD) on society, to guide the weighting of drought impacts in the empirical model.
2.4.5. Description of the General Methodological Framework of NBDM Development
The general methodological framework for the development of the NBDM is described in Figure 7. There are six (6) different modules, namely, the (i) input data/database management module, (ii) the potential evapotranspiration (PET) computation module, (iii) the indicators standardization module, (iv) dry spell/drought triggers module, (v) Objective Blend of Burden of Drought Indices (OBBDI) module, and (vi) integrated dry spell and drought detection module. Provided below is a brief description of each module.
Figure 7.
Study general methodological framework.
- i.
- The input data module: It comprises all the monthly hydrometeorological data used in the analysis, which includes precipitation, temperature, soil moisture, and streamflow. Hence, the database contains 60 stations with 4 different parameters as highlighted above.
- ii.
- The potential evapotranspiration (PET) computation module: It consists of two different approaches for computing the PET for the purpose of comparing results. They are the Thornthwaite method and Hargreaves and Samani method using Mean surface air temperature, maximum, and minimum temperatures.
Usually, the Thornthwaite method uses air temperature as an index of the energy available for evapotranspiration, with the assumption that air temperature has a correlation with the integrated effects of net radiation and other controls of evapotranspiration, and the available energy is being shared in fixed proportions between heating the atmosphere and evapotranspiration.
The empirical equation relating the evapotranspiration to the air temperature is expressed below [126].
where PET is the monthly potential evapotranspiration, T is the monthly mean air temperature (°C), I is a heat index for the station imposed by the local normal climatic temperature regime and the exponent a is a function of I, µ is the number of days in the month under consideration, and N is the mean number of daylight hours in a particular month. The Thornthwaite method was selected in this study because it provides the best results on the regional level [127,128] and less data is required. The major drawback of this method is that the computation of PET ceases as soon as temperature becomes below zero. This condition is not visible for a tropical hot type of climate in West Africa.
With regard to the [129] equation, it is an empirical radiation-based method that is extensively used in the conditions of limited weather data, such as the study region. It has been found to also give better results relative to other methods [128]. It requires only maximum and minimum air temperatures and extra-terrestrial radiation (Ra). It is mathematically expressed as
where PET is the potential evapotranspiration (mm/month); is extraterrestrial radiation (mm/month) and the values of gotten from table depending on the latitude position of each station or location; is the monthly mean air temperature (°C); is the monthly maximum air temperature (°C); is the monthly minimum air temperature (°C); and is the empirical radiation adjustment coefficient.
- iii.
- Effective precipitation module: With the computation of PET, all the precipitation data were converted to an “effective precipitation”. The effective precipitation (Ep) was computed using the combination of precipitation and PET. For comparison of results two approaches were considered in this study and built into the DREM, namely, the (i) Multivariable Regression Model method or (ii) the United States Department of Agriculture, Soil Conservation Service [130] method, which is applicable under irrigation condition or assumption.
- iv.
- The drought indicators standardization module: It uses percentile method to transform all input data into a standardized scale. To achieve this, two options were considered: the Standardized Precipitation Index (SPI) model approach [4], if the indicator measurement was in international system units (i.e., S.I unit), or the Normal Curve Equivalent (NCE) method, if the unit of measurement of the indicator was in percentile. The SPI model was selected because of its widespread acceptance and recognition as the standard index for the monitoring of drought events [131].
The mathematical expression for the SPI model used in this study is as stated below.
where
C0 = 2.515517, C1 = 0.802853, C2 = 0.010328, d1 = 1.432788, d2 = 0.189269, and d3 = 0.001308.
The mathematical expression of the NCE method used in this study is as shown below.
where z is z-score, NCE is the Normal Curve Equivalent value in percentile.
- v.
- The dry spell and drought conditions triggers module: It comprises the various drought definitions or drought initiation (onset) thresholds for each of the respective indices considered in this study, namely, SPI, SEPI, SMI, SFI, and CDI. It also consists of the threshold(s) for the phase change or transition from dry spell to actual drought phase.
- vi.
- Objective Blend of Burden of Drought Indices (OBBDI) module: It determines first the relative weight of the impacts of each type of droughts (i.e., meteorological, agricultural, and hydrological droughts) on the society based on available drought disaster damage indicators, and then, thereafter, established the OBBDDI hinged on the concept of drought disaster burden (DDB) resulting from exposure of the society to different biophysical forms of drought events.
- vii.
- The last module is the integrated dry spell and drought detection module: It identifies and categorizes the severity of the detected drought events using the established thresholds.
2.4.6. Determination of Percentile-Based Drought Threshold
To determine operational objective drought thresholds for defining and measuring drought episodes in the Niger Basin, a “Baseline Assessment Analysis (BAA)” of the region’s precipitation behavior when known historical drought-induced famine with serious impact on the society occurred was carried out by determining the percentiles of the precipitation anomalies. To achieve this, the precipitation behavior during the well-known 1980s drought-induced famine was examined. All the precipitation records were first rendered as percentiles with respect to the selected study period 1980–2016 using the “Percentile Rank (PR)” method. Normally, the PR method returns the rank of value in a data set as a percentage of the data set. Thus, within a dataset, this function can be used to evaluate the relative standing of a value in a time series 7 (https://support.microsoft.com/en-us/office/percentrank-function-f1b5836c-9619-4847-9fc9-080ec9024442, accessed on 8 December 2022). The analyses were carried out using Excel for Microsoft 365.
Based on the annual averages, the precipitation deficits percentile for each year was determined to identify the drought months and years and their percentile values. This is with the view to ascertaining the relative standing of the 1980s rainfall values at different locations recorded in the drought chronology of the region that caused famine during the period. The Microsoft Excel PR method adopted in this study is defined as the number of values in the dataset (y) smaller than x divided by the sum of the number of values in a dataset (y) smaller than x and the number of values in a dataset (z) larger than x. The PR approach is mathematically expressed as below.
where x is the value for which you want to know the rank, Y is the number of values in the variable dataset smaller than x, and Z is the number of values in the variable dataset larger than x.
The PR approach has been preferred in this study because of its simplicity, and it has been successfully applied in US Drought Monitor (USDM), which is the first composite drought index that is widely known to have successful application and has become, at least in the North American continent, the golden standard in multivariate drought analysis. Also, the 1980s period was chosen to bring the major drought-induced famine events after the 1970s drought and the recovery years from 1990s into historic context. Moreover, the drought events of 1980s eclipsed that of 1970s as the worst drought ever recorded in history of the region, resulting in the region witnessing the worst rainfall deficit since instrumental records began [132]. Therefore, in this study, “an objective threshold(s) for defining the onset of a moderate drought is being established as the corresponding index values of the CDI associated with the established precipitation deficits percentiles during the 1980s when drought-induced famine occurred in the region for each of the months and for the annual average”. The CDI-based threshold for defining drought has been computed by determining the CDI values corresponding to the already established percentiles for drought occurrence in the study region and its various severity categories accordingly. The thresholds were established for both monthly and annual average timescales. Subsequently, based on runs theory concept, the CDI values were less than the computed index thresholds, which were identified as drought and their severity categorized accordingly.
2.4.7. Operational Application of the Established Drought Definition Thresholds
To apply the obtained CDI thresholds to define or detect and characterize drought conditions the principle of runs theory proposed by [133] and recommended by [134] was followed using the threshold method of drought definition. Figure 8 is an illustration of the application of runs theory by [135]. According to [133], a run is defined as a sequence of consecutive values of a variable below given or defined thresholds that are preceded and followed by at least one value of the variable. Below is the procedure to characterize drought events using threshold approach [135].
Figure 8.
Illustration of the application of runs theory (adapted from Dracup and Paulson, 1980 [135]).
Precipitation deficit (dt), which could also be expressed in normalized form, was obtained as a difference in precipitation record (Pt) from the expected threshold (Te). The logic and rationale behind the application of runs theory in drought detection is mathematically expressed below.
In this study, we argued that agricultural and water resources activities within a region are usually adapted to a norm that can be approximated by long-term averages of precipitation. As a result, defining Xo as the mean or median of the time series (X) from Figure 8 usually results in about 50% of the time periods being “droughts”. By implication, one is analyzing dryness or dry periods rather than drought. But all dryness is not drought; some could be dry spells. In this study, therefore, the term “drought” is restricted to the more extended and severe dry periods [135]. Thus, this underscores why long-term averages cannot be a suitable truncation level for drought definition. In this study, therefore,
Expected threshold (Te) = Long-term average
For the impact of the dt to be felt in a region, the precipitation deficit must have cumulative effect, which can be estimated using mathematical expression below.
Drought initiation occurs when the cumulative deficit is less than the critical threshold (Tc), i.e., the objective drought thresholds being determined in this study. Thus, the Tc becomes the ideal truncation level (threshold) for defining drought occurrence.
Thus, once is determined, each period for which X < constitutes a “drought” and each “drought” is characterized by the following:
(a) Duration (D) is defined as length of period for which X < ;
(b) Severity (S) is defined as cumulative deviation from ;
(c) Intensity (or magnitude) (I) is defined as S/D.
2.4.8. NBDM as Visual Basic Application-Driven Drought Early Warning System (DEWS)
To seamlessly operate NBDM represented as DREM, a hybrid drought monitoring and earning system tool, Microsoft Excel Visual Basic Application (VBA) program 7.1 was used to execute and connect all the various modules that are involved in computational tasks. The VBA programming language was selected because in the DREM application for the computation of the CDI it required several macros of writing to handle different aspects of the application tasks [136]. Usually, the rule is, when developing an Excel-based application that will span several worksheets, that it is advisable to use macro to handle several procedures rather than writing formulas in the Excel cells. Normally, when a new value is entered into a worksheet cell, Excel will recalculate all the cells that refer to it. If the macro is writing values into the worksheet, VBA will need to wait until the worksheet is performed with recalculating each entry before it can resume. Hence, it is advisable to use VBA when one needs to accomplish tedious tasks such as those involved in this study [136,137]. With VBA therefore, even if the CDI database grows bigger and heavier it will still run fast since there are no Excel formulas written inside cells. Microsoft also adds a lot of code at the background for VB projects to make them easier for any coder.
2.4.9. Evaluation of Performance of NBDM Outputs
The NBDM performance was evaluated against SEPI, SMI, SFI, and Normalized Difference Vegetation Index (NDVI). The performance evaluations were based on exploratory data analysis and use of some statistical tools, which include Mean Absolute Error (MAE), Coefficient of Determination (R2), Nash Sutcliff Efficiency (NSE), Percent Bias (PBias), and Index of Agreement (d).
3. Results and Discussion
3.1. Model Development Outputs
Niger Basin Drought Monitor represented as Drought Resilience Empirical Model (DREM) has been developed as a hybrid composite drought index (CDI) for defining and concurrent monitoring of the different aspects and biophysical forms of drought and the characterization of historical droughts. The DREM’s Login interface, Menu interface, output format, and typical CDIs generated results using DREM are all displayed in Figure 9, Figure 10 and Figure 11, respectively. The Login user interface is for inputting the user’s ID to ensure that user’s information and work are secure. The Menu interface shows the various functionalities and computations that could be performed using DREM including the display of number of stations in the database and date a particular task was carried out. Hence, it is an interface where the user can select any task to be executed by DREM. The format of the CDI output from DREM is shown in Figure 11, and drought occurrence is detected on monthly basis and the category of the severity of drought identified shown using colored codes—whether it is moderate (MOD DRGT), severe (SEV DRGT), extreme (EXTR DRGT), or exceptional (EXCPT DRGT) drought.
Figure 9.
The Login interface of DREM.
Figure 10.
The Menu interface of DREM.
Figure 11.
Typical of drought detection and severity categorization by DREM for Abuja station where MOD DRGT (light yellow color represents moderate drought), SEV DRGT (deep yellow color represents severe drought), EXTR DRGT (light red color represents extreme drought) and EXCPT DRGT (deep red color represents exceptional drought).
3.2. Thresholds and Detection of Drought Onset and Cessation
To identify the occurrence of drought events in the study region, CDI thresholds were computed using DREM which were in the range −0.26 to −1.19, −0.42 to −1.60, −0.58 to −1.76, and −0.73 to −1.96. The index-based thresholds were computed corresponding to the established precipitation deficit percentiles defining drought occurrence at each location in the study region, that is, 20th, 10th, 5th, and 2nd percentiles representing moderate (D1), severe (D2), extreme (D3), and exceptional (D4) drought, respectively, which are also distinguished by color codes. Thus, to concurrently monitor the different aspects of drought, namely, meteorological, agricultural, and hydrological drought in different socio-economic sectors of the Niger Basin, DREM defines and identifies the onset of drought of moderate intensity when the CDI values fall below the threshold range of −0.26 to −1.19 over a period of three consecutive months depending on the location. However, when it comes to knowing drought cessation over an area, DREM computed CDI values were in the range of thresholds of −0.08 to −0.82 depending on the location corresponding to precipitation deficits of 30 percentile representing an abnormally dry condition (D0), that is, not yet drought. Normally, D0 is a “heads-up” stage, which is simply saying two things. First, it says “pay attention, because if it stays dry, the region or area could slide into a real drought” represented as D1, D2, D3, or D4 depending on the severity. Second, it can also mean the area is just coming out of a drought, but the soil and water supply have not fully recovered yet. Possible physical signs could be grass turning brown early, small streams low, early stress on crops, and need for more watering.
Furthermore, for easy identification of drought threshold at any location within the basin, for moderate drought severity level, the spatial distribution of the moderate drought level threshold (D1) was computed and is depicted in Figure 12. It defines the 20th percentile precipitation deficits relative to the climatology of the basin. This is with the view that being able to recognize emerging drought, or knowing whether drought is over, entails understanding what is normal for a given location or season (https://droughtmonitor.unl.edu/data/docs/USDM_brochure.pdf, accessed on 4 January 2026). The corresponding index-based thresholds for initiation or onset of drought of moderate severity in different locations of the Niger basin are, for example, Bamako (−0.71) Koulikoro (−0.90), Dire (−0.74), Gao (−0.90), Dori (−0.84), Ouagadougou (−0.96), Niamey (−0.98), Tahoua (−0.79), Malaville (−1.04), Kandi (−1.02), Abuja (−0.64), Makurdi (−0.69), Numan (−0.59), and Yola (−0.70). Thus, there are variations in the drought thresholds even within the same sub-basin and country, thereby affirming the fact that drought definition thresholds are always location-specific as asserted by [28]. Additionally, it is observed in the figure that even the same amount of rainfall does not translate to moderate, severe, extreme, or exceptional drought events in different parts of the basin at the same time. This corroborates well with the equiprobability transformation of rainfall distribution in the basin. Further results revealed that relative to the rainfall climatology of the basin, areas with wetter climate require lower drought index threshold values or higher precipitation deficits values to initiate onset of drought, while areas known for drier climate regimes require higher drought index thresholds or lesser precipitation deficits values to define drought events in those regions. By rainfall climatology, it refers to the systematic study of long-term patterns, frequency, intensity, and distribution of rainfall across spatial and temporal scales. Usually, rainfall climatology integrates multi-decadal observations, atmospheric dynamics, and statistical methods to characterize the spatial and temporal patterns of rainfall. Therefore, understanding these patterns and their evolution is crucial for climate science, environmental management, and societal resilience to hydroclimatic extremes [138,139,140,141].
Figure 12.
Distribution of CDI-based threshold for the detection of moderate drought relative to the basin’s climatology.
3.3. Equiprobability Transformation Analysis for Drought Detection
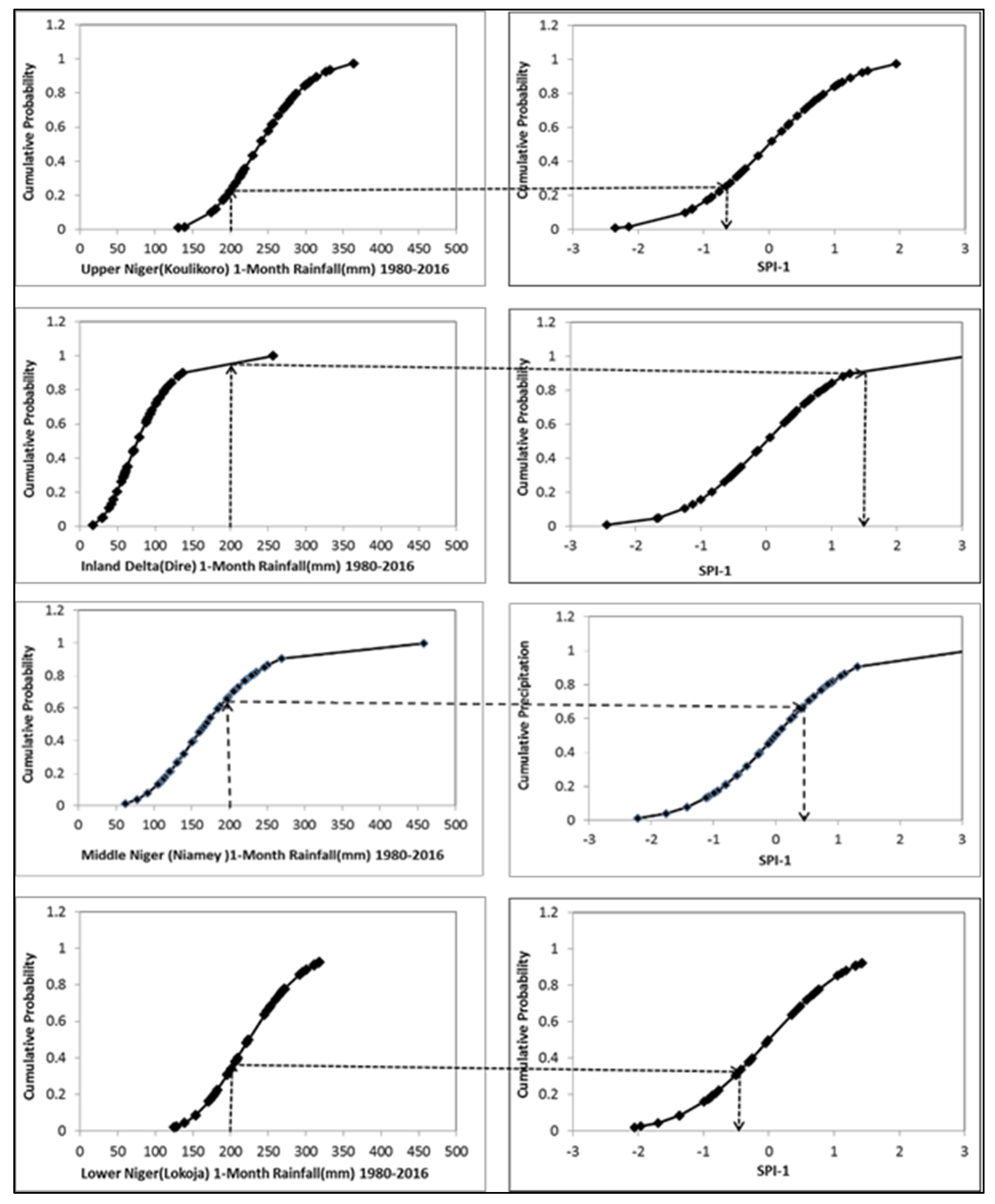
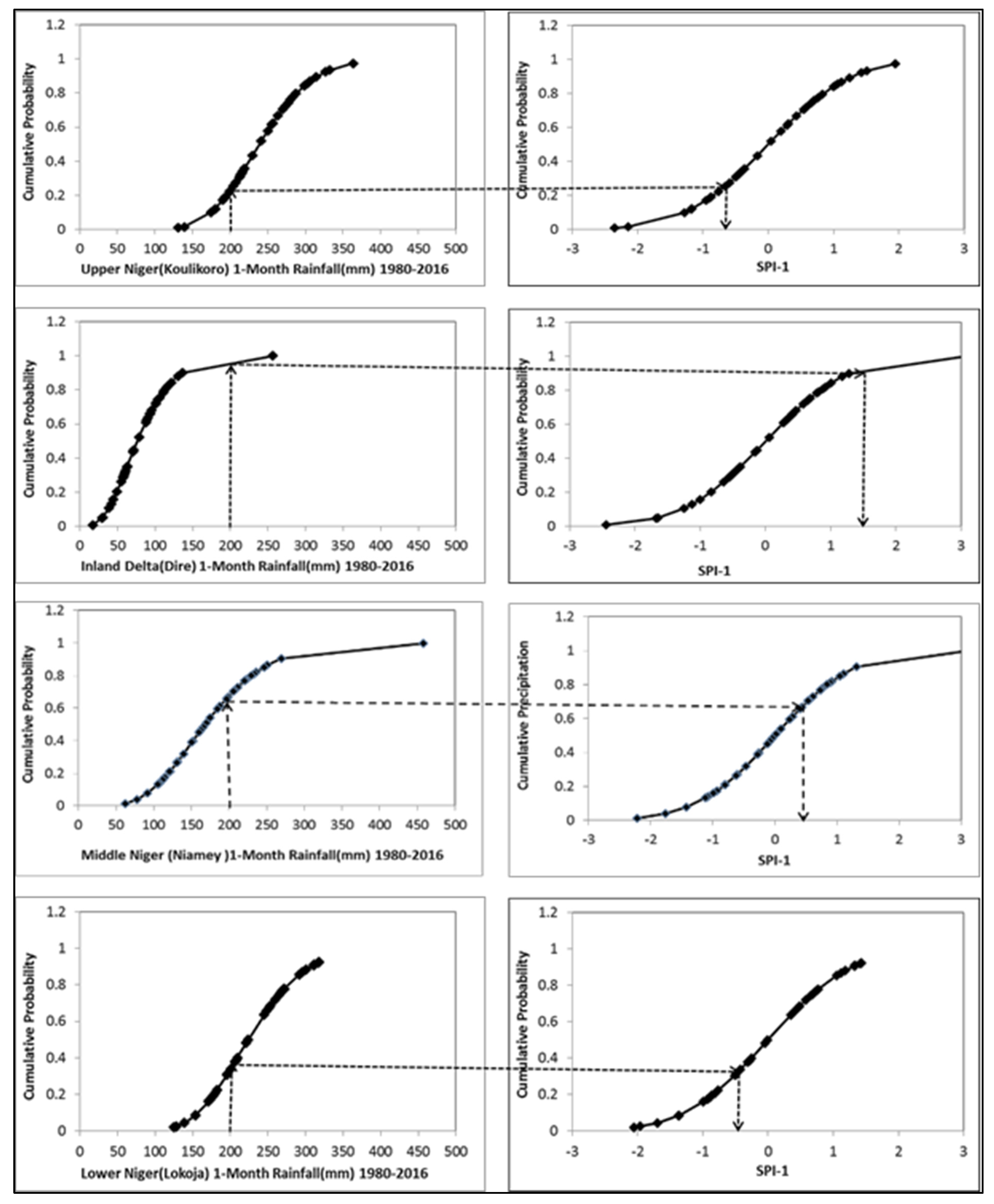
The NBDM-CDI result was further substantiated through an SPI equiprobability transformation analysis of rainfall distribution in the Niger. As evidenced in the conceptual graph in Figure 13, the same amount of August monthly precipitation of 200 mm, for example, produced different index values and cumulative probabilities in different parts of the basin (i.e., Upper Niger, Inland Delta, Middle Niger, and Lower sub-basins).
Figure 13.
Equiprobability transformation of reanalysis rainfall distribution in the Niger basin.
These SPI values and the cumulative probabilities obtained for each of the sub-basins are −0.765, 2.37, 0.435, and −0.421 and 0.224, 0.960, 0.670, and 0.315, respectively. By implication, drought episodes in different locations of the basin are comparable in space and time, which agrees very well with the findings over United States by [142]. It, therefore, demonstrates one of the strengths of application of SPI metrics in drought management analysis. The consequence of the result is that farmers in different parts of the basin will experience differently the effects of the same amount of rainfall. Thus, the use of varying drought thresholds remains critical for objective drought identification and planning in the Niger River Basin.
3.4. Spatial Characteristics of the Major Droughts of 1980s in the Niger Basin
The result of the capability of NBDM to reproduce the occurrence of the well-known drought-induced famine in the Niger Basin revealed through spatial analysis that during the 1980s period, a large portion of the Middle Niger and Inland Delta sub-basins were under extreme to exceptional drought conditions, while most other parts of the Upper Niger and Lower sub-basins within the rain forest climatic zones were under moderate drought conditions as shown in Figure 14. Additionally, relative to the univariate or single indicator subjective drought threshold proposed by [26] and the objective SPI-based thresholds established in this study, the NBDM-CDI-based drought thresholds are higher values and would require lesser cumulative precipitation deficits to be attained, as shown in Table 2. So, on average, across the whole basin, the NBDM-CDI-based thresholds are higher (requiring smaller precipitation deficits) than single variable SPI-based ones, because the NBDM-CDI are designed based on multi-indicator approach. It incorporates soil moisture and streamflow as inputs. As a result, CDI flags drought with less rainfall deficit than SPI alone. Additionally, the NBDM-CDI allows for a holistic view of drought conditions [143]. This makes it particularly useful for decision-making, as it captures not only meteorological deficits but also hydrological and agricultural impacts.
Figure 14.
CDI-based drought severity distribution over the Niger Basin (1980s).
3.5. Effectiveness in Early Detection and Cessation of Drought
The CDI threshold values are the bold figures highlighted in Table 3. With CDI-based thresholds established in this study, research findings reveal that impending drought events or outbreak of drought would be detected earlier, faster, and more accurately than the SPI-based objective thresholds and much earlier than the SPI-based subjective thresholds from the literature developed by [27] that will require more precipitation deficits. The same holds for the cessation of drought in the region. The study findings are in consistent with the results of [144] over India, where the CDI was found to provide a more accurate reflection of crop stress than SPI alone. According to the authors, the Indian Meteorological Department tested the CDI by integrating rainfall, soil moisture, and vegetation indices to improve monitoring of agricultural droughts in states such as Maharashtra. Similarly, over China, ref. [145] developed a CDI by integrating soil moisture and evapotranspiration data for northern China. The CDI captured agricultural drought impacts better than SPI, especially during high-temperature summers. In the Sahelian region of West Africa, SPI sometimes identifies drought even when irrigated agriculture maintains stable crop yields, highlighting its limitations [146]. Likewise, ref. [28] in their study over Europe posited that SPI may indicate drought even when impacts are mitigated by irrigation or groundwater, something composite indices such as the USDM would account for.
Table 3.
Comparison between the subjective and objective drought definition thresholds (SPI and CDI).
However, in the United States, scientific studies consistently show that SPI is more effective in detecting drought onset, especially short-term agricultural and meteorological droughts [147]. Its simplicity and sensitivity to rainfall deficits allow it to signal early warnings before broader impacts manifest. On the contrary, SPI struggles with drought cessation detection, as recovery in precipitation does not always align with soil moisture or hydrological recovery. Also, in 2017 for example, parts of the Northern Plains of United States experienced a flash drought. But SPI alone failed to detect the early onset, because rainfall deficits were minor, but USDM captured rapid soil moisture depletion, proving more effective for early warning [148]. In addition, the USDM was also found to be more effective in monitoring drought persistence and cessation, as it integrates soil moisture, streamflow, and other factors that reflect recovery more accurately [40,148]. According to [149] USDM provides a more accurate picture of drought recovery, since it considers lagging indicators like groundwater and vegetation health, whereas SPI may signal recovery as soon as rainfall resumes, but this can be misleading if soil moisture or hydrology remain stressed. For example, in California’s 2012–2016 drought, SPI signaled recovery earlier than reality, while USDM correctly indicated ongoing hydrological stress [150]. Generally, SPI is more effective for rapid, rainfall-driven drought onset detection, especially in data-sparse regions such as West Africa, because it detects rainfall anomalies quickly, thereby making it effective for meteorological drought onset [26]. However, CDI is more accurate for drought persistence and cessation monitoring, particularly in agricultural systems and regions where evapotranspiration plays a major role, such as West African region, because it detects drought onset more reliably than SPI, when temperature and evapotranspiration drive soil moisture stress, even without rainfall deficits [147,148].
3.6. NBDM-CDI Performance Evaluation
The NBDM CDI-based time series performance was evaluated sub-basin-wise, based on the ability of the CDI to reproduce the meteorological, agricultural, and hydrological drought conditions represented by SEPI 6-month timescale, soil moisture index (SMI), and streamflow index (SFI), respectively. The result of the exploratory data analysis obtained based on the Coefficient of Determination (R2) for example showed that CDI can explain about 70%, 84%, and 92% of variances in SEPI 6-month, SMI, and SFI, respectively, over the Upper Niger sub-basin, as shown in Table 4.
Table 4.
DREM CDI model performance evaluation.
Further results based on other statistical evaluation analyses showed strong agreement between DREM-CDI values and SEPI, SMI, and SFI representing meteorological, agricultural, and hydrological drought indicators, respectively. Especially, stronger agreement exists with soil moisture (SMI) and streamflow (SFI) over the Upper Niger, Middle Niger, and Lower Niger sub-basins, where the Nash Sutcliff Efficiency (NSE) values were 0.946 and 0.922, 0.889 and 0.935, and 0.864 and 0.906, respectively, and Index of Agreement (d) values were 0.953 and 0.978, 0.914 and 0.932, and 0.890 and 0.910, respectively, thereby making DREM a suitable Niger Basin Drought Monitor abd an effective early warning tool decision-makers that stakeholders can trust and rely upon for effective management of drought in the basin. Other results of the statistical tools used, namely, Mean Absolute Error (MAE) and Percent Bias (PBias), are shown in Table 3.
The DREM CDI tool has therefore proven to have the capability to simultaneously track meteorological drought (if measured using SEPI), agricultural drought (if measured using SMI), and hydrological drought (if measured using SFI) at a minimal error. Thus, it can serve as an all-purpose useful tool for concurrent monitoring and early warnings of impending different aspects of drought hazards in the Niger Basin.
3.7. Validation of Performance of NBDM CDI
To ascertain the suitability of the NBDM represented as Drought Resilience Empirical Model (DREM) as a decision-support tool, the composite drought index (CDI) was validated country-wise against historical drought records from the EM-DAT/UN-FAO chronology database and ENSO-related drought years from the International Research Institute (IRI) for the nine Niger Basin countries (1980–2016). Drought years were identified or defined when CDI values fell at or below established objective thresholds. Validation measured agreement between CDI-defined droughts and historical events was expressed as hit/success rates. Results displayed in Table 5 showed 67–100% success with historical drought events captured by NBDM CDI and 62–77% with ENSO-related droughts captured by NBDM CDI. The strong agreement and high success rate of the DREM-CDI outputs with ENSO-induced droughts align with the findings of [151] on the 2023 West African drought and its link to food insecurity. Typically, farmers anticipate rainfall in early April to begin the planting season. However, the 2023 drought brought early rains in March, followed by high temperatures, reduced precipitation, and vegetation loss between April and June. These conditions, driven by ENSO and amplified by global temperature rise and Atlantic circulation, disrupted the agricultural cycle and heightened food insecurity across West Africa.
Table 5.
Country-wise NBDM CDI performance validation.
The strong performance of NBDM CDI and its ability to further distinguish dry spells from genuine droughts suggest it is more practical and objective than indices using subjective thresholds to define drought events, making it highly suitable for drought alert triggers, decision-making, and early warning in the Niger Basin.
Further, the NBDM CDI time series was validated sub-basin-wise against the Standardized NDVI (SNDVI). Correlations ranged from –0.231 to 0.522, with negative values over Niamey, a semi-arid region influenced by microclimatic changes due to the Kandaji Dam. Since CDI is temperature-related and NDVI is sensitive to air temperature, especially during summer or warm months of the year (April–October), then, negative correlations are expected [152,153]. High temperatures increase evapotranspiration and reduce soil moisture and vegetation vigor, which in turn lowers NDVI [154,155]. This confirms the close relationship between soil moisture and vegetation health in arid and semi-arid areas [152].
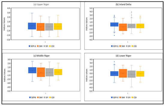
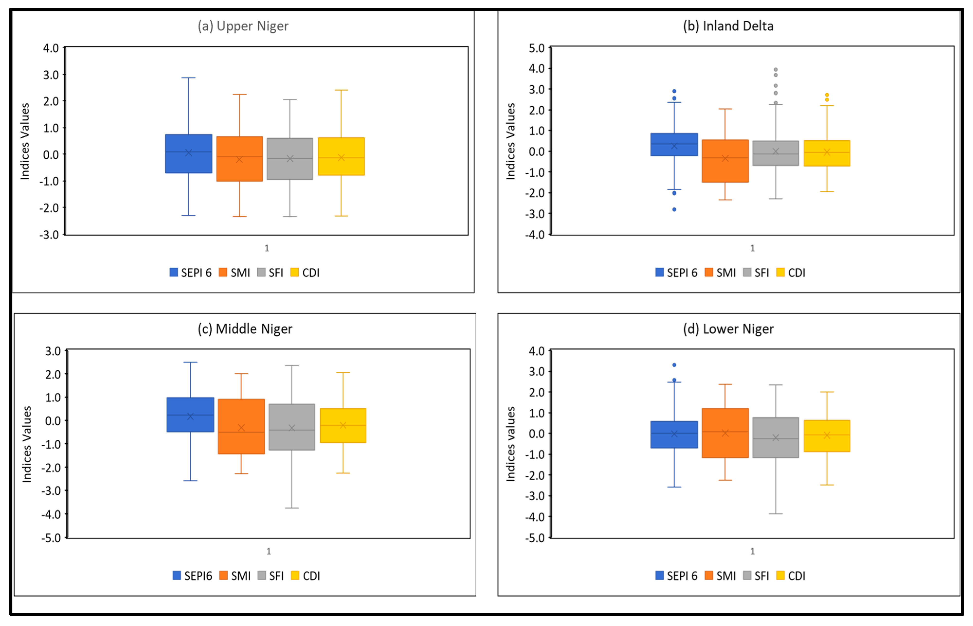
In terms of potential limitations, the NBDM-CDI requires multiple reliable datasets, such as soil moisture and streamflow datasets that are often lacking in developing regions such as West Africa. In constructing the NBDM OBDDDI, I had to rely on reanalysis datasets. Also, it is region-specific, with weights assigned to the input components based on local conditions and data availability. So, the weighting of components can vary, leading to inconsistent results across studies, especially if the region outside its region of development is more vulnerable to agricultural drought than hydrological drought. Additionally, in terms of calibration and validation, both historical drought event comparison and remote sensing validation approaches were used which may potentially have some limitations. For instance, the approaches are dependent on quality of historical drought records, which may be incomplete or subjective and the NDVI Satellite data, which may be influenced by non-drought factors (e.g., pests, land-use changes), respectively. Moreover, while composite indices can capture drought complexly, they can also mask individual drought signals unlike the single-variable-based indices. The robustness of the new CDI (i.e., NBDM) as an operational all-in-one early warning tool was examined by comparing the statistical properties of the blended indices (a) Meteorological Drought Index (SEPI 6-month), (b) Agricultural Drought Index (SMI) (c) Hydrological Drought Index (SFI), and (d) composite drought index (CDI) using a boxplot analysis. The result shown in Figure 15 showed that the NBDM captured well the variations in the respective input drought indices, as well as the extent and strength of the relationship existing among them.
Figure 15.
Boxplot analysis of variations in drought indices (Meteorological Drought Index (SEPI 6-month), Agricultural Drought Index (SMI), Hydrological Drought Index (SFI)).
3.8. Comparison Between NBDM, USDM, and China CDI
In comparison to the USDM OBDI, the NBDM OBDDBI is computed at a station-level (finite resolution) with minimal complexity and subjectivity. NBDM has minimal subjectivity. Its construction combines subjective community-level vulnerability datasets (e.g., income, migration, dependence on rainfed agriculture, yield losses) collected through research questionnaire instruments and used mainly for weighting indicators, with minimal objective hydrometeorological indicators, namely, precipitation, soil moisture, and streamflow. This makes it applicable in regions highly vulnerable to hydrological and agricultural drought. The NBDM OBDDBI is scalable and replicable just like SPI, as it can be applied at local or station, regional, or global scales with consistent methodology, though further verification is needed.
By contrast, the USDM is more flexible, in the sense that any number of inputs can be used, integrating up to 40–50 inputs that include objective hydrometeorological datasets and subjective sources such as expert judgment, farmer/community impact reports, citizen science observations, and local agency input. This wide input base makes USDM highly robust and adaptable to diverse user needs but also more complex and subjective [156]. The USDM is a weekly, expert-blend product that emphasizes confirmed impacts and local reports, which makes it credible but it typically yields less pure lead time than automated indicator-first systems. In fact, study has been shown that soil moisture observations consistently identify rapid-onset drought events earlier than the U.S. Drought Monitor [157]. The authors observed that soil moisture percentiles provide a 2–3-week lead time over the U.S. Drought Monitor. In terms of temporal scale, the USDM is issued weekly but can be adapted for monthly use. However, when fewer inputs are available, its robustness weakens, though it remains functional. Spatially, USDM OBDI values are computed at a climate-division level (coarser resolution), aimed at consistently assessing drought severity across multiple timescales [157,158]. Further results shown in Table 6 revealed that NBDM based on the established drought magnitude category thresholds has the capability to detect an impending drought event or outbreak much earlier, faster, and more accurately than USDM and China meteorological composite index (China CDI). For example, for drought magnitude level with 20th percentile chance of occurring, that is, moderate drought intensity, NBDM detects it with higher drought thresholds of range −1.60 to −1.19. On the contrary, the China CDI and USDM detect the same drought level with lower thresholds of −1.8 to −1.2 and −1.90 to −1.42, respectively. To implement this comparison, the USDM drought category percentile chance threshold was first standardized using the Normal Curve Equivalent (NCE) technique. By implication, NBDM will require lesser or lower cumulative precipitation deficits for the thresholds to be attained and will detect drought initiation much earlier compared to the China CDI and USDM thresholds that will require more or higher cumulative precipitation deficits before being attained. The findings are also in agreement with results of earlier studies [4,158,159].
Table 6.
Comparison of the drought magnitude category thresholds of the NBDM, USDM, and China CDI.
Arguably, the findings of this study, which also align with the findings of [157], have shown that careful selection and blending of 2–4 right indicators that adequately represent the key components of the hydrological cycle such as precipitation, evapotranspiration, soil moisture, and streamflow or even less can give a better result in terms of early drought detection than the more complicated and heavy data demanding composite indices.
Although data constraints in the study region are acknowledged, however, in terms of future research, there may be need to consider the following areas. These may include, for example, validating NBDM CDI with ground observations or extending the study period to more recent years to strengthen the study outcome and conclusions. Another area for further research consideration is in verification and validation of the scalability of the NBDM OBDDBI.
4. Conclusions
Drought remains one of the most persistent and damaging climate-related hazards in the Niger River Basin, where its cascading impacts across meteorological, agricultural, and hydrological systems continue to undermine livelihoods, water security, ecological stability, and regional development. Despite decades of research and the availability of more than 150 drought indices, current drought monitoring practices in the Basin remain largely univariate, fragmented, and insufficient for capturing the full spectrum of drought propagation. This limitation, compounded by the region’s high climatic vulnerability, weak early-warning infrastructure, and growing exposure to climate-induced extremes, continues to leave communities and institutions without timely or actionable information.
In response to these challenges, this study develops the Objective Blend of Burden of Drought Index (OBBDI), a composite, index-based early-warning framework designed to concurrently diagnose meteorological, agricultural, and hydrological drought conditions across the Basin. By integrating multiple drought indicators through empirically derived weights based on the relative burden imposed by each drought type, the OBBDI provides a holistic representation of drought evolution and propagation across the hydrologic cycle. The model’s linear formulation allows clear interpretation, operational simplicity, and adaptability while maximizing the information content embedded in diverse drought signals.
The OBBDI/Niger Basin Drought Monitor (NBDM) establishes a foundation for an objective, basin-wide early-warning system capable of identifying drought severity category transition thresholds, an essential advancement for anticipatory planning and climate risk management. By enabling simultaneous tracking of multiple drought dimensions, this model addresses longstanding deficiencies in existing monitoring systems and advances the Basin toward a more proactive, data-driven, and resilient drought management architecture.
The NBDM framework represents a significant step toward harmonizing drought monitoring across West Africa. Also, it offers decision-makers, farmers, water-resource managers, and regional institutions a more reliable basis for preparedness, mitigation, and long-term adaptation in an era of intensifying climate variability and change. The key findings, conclusions, and recommendations of this study are the following:
- i.
- The Niger Basin Drought Monitor (NBDM) has been developed to effectively integrate three hydrometeorological indicators, precipitation, soil moisture, and streamflow to provide a single ‘average’ drought designation at station level with the intent to have a composite drought index (CDI) that captures local drought conditions.
- ii.
- The percentile rank approach was used to transform first all input datasets into a standardized scale to which drought category thresholds and weights for each individual index were assigned. The CDI-based thresholds of range −0.26 to −1.19 for defining drought of moderate intensities were established and found to be consistently higher than the single variable SPI-based ones, implying earlier detection of any impending drought for a given rainfall deficit.
- iii.
- In terms of evaluation of the NBDM-CDI, high Nash Sutcliff Efficiency and Index of Agreement values show NBDM-CDI tracks soil moisture and streamflow drought well.
- iv.
- The model validation showed 67–100% success with historical drought events captured by NBDM-CDI and 62–77% with ENSO-related droughts captured by NBDM-CDI. Also, NBDM-CDI time series were further validated sub-basin-wise against the Standardized NDVI (SNDVI); the result further confirms the close relationship between soil moisture and vegetation health in arid and semi-arid areas.
- v.
- The NBDM offers a robust all-in-one drought early-warning tool for the basin region and is therefore being recommended for use as drought alert triggers in decision-making and early warning in the Niger Basin.
- vi.
- Future research directions should include investigating the temporal scaling of the analysis, use of satellite vegetation layers or evapotranspiration products, as well as testing the NBDM model in a variety of climatic situations to assess the model transferability.
Author Contributions
Research conceptualization, J.N.O. and K.O.O.; Methodology, J.N.O.; Software J.N.O.; validation, J.N.O., K.O.O., and E.A.A.; formal analysis, J.N.O.; investigation, J.N.O.; resources, J.N.O.; data curation, J.N.O.; writing, J.N.O.; writing—review and editing, K.O.O. and E.A.A.; visualization, E.A.A.; supervision, K.O.O. and E.A.A.; project administration, J.N.O. All authors have read and agreed to the published version of the manuscript.
Funding
This research received no external funding.
Institutional Review Board Statement
Not applicable.
Informed Consent Statement
Not applicable.
Data Availability Statement
The original contributions presented in this study are included in the article. Further inquiries can be directed to the corresponding author.
Conflicts of Interest
The authors of this paper did not receive financial support from any organization for the submitted work to be carried out. Also, there is no conflict of interests from any source.
References
- Calvin, K.; Dasgupta, D.; Krinner, G.; Mukherji, A.; Thorne, P.W.; Trisos, C.; Romero, J.; Aldunce, P.; Barret, K.; Blanco, G.; et al. IPCC Summary for Policymakers. In Climate Change 2023: Synthesis Report. Contribution of Working Groups I, II and III to the Sixth Assessment Report of the Intergovernmental Panel on Climate Change; Core Writing Team, Lee, H., Romero, J., Eds.; IPCC: Geneva, Switzerland, 2023; pp. 1–34. [Google Scholar] [CrossRef]
- Okpara, J.N.; Afiesimama, E.A.; Anuforom, A.C.; Owino, A.; Ogunjobi, K.O. The applicability of standardized precipitation index: Drought characterization for early warning system and weather index insurance in West Africa. Nat. Hazards 2017, 89, 555–583. [Google Scholar] [CrossRef]
- Sarr, B. Present and future climate change in the semi-arid region of West Africa: A crucial input for practical adaptation in agriculture. Atmos. Sci. Lett. 2012, 13, 108–112. [Google Scholar] [CrossRef]
- Okpara, J.N.; Ogunjobi, K.O.; Adefisan, E.A. Developing objective dry spell and drought triggers for drought monitoring in the Niger Basin of West Africa. Nat. Hazards 2022, 112, 2465–2492. [Google Scholar] [CrossRef]
- Wilhite, D.A. Drought Monitoring, Mitigation, and Preparedness in the United States: An End-to-End Approach, Paper Presented at the Task Force on Socio-Economic Application of Public Weather Services; WMO: Geneva, Switzerland, 2006. [Google Scholar]
- World Meteorological Organization. High Level Meeting on National Drought Policies. Towards More Drought Resilient Societies. Geneva, 11–15 March 2013. Available online: https://community.wmo.int/events/high-level-meeting-national-drought-policy-hmndp (accessed on 20 November 2020).
- Benson, C.; Clay, E. The Impact of Drought on Sub-Saharan African Economies. In World Bank Technical Paper No. 401; The World Bank: Washington, DC, USA, 1998; 80p. [Google Scholar]
- Tarhule, A. Damaging Rainfall and Flooding: The Other Sahel Hazards. Clim. Chang. 2005, 72, 355–377. [Google Scholar] [CrossRef]
- Boyd, E.; Rosalind, J.C.; Lamb, P.J.; Tarhule, A.; Lele, M.I.; Brouder, A. Building resilience to face recurring environmental crisis in African Sahel. Nat. Clim. Chang. 2013, 3, 631–637. [Google Scholar] [CrossRef]
- Food and Agriculture Organization of the United Nations. FAO’s Response to the 2012 Sahel Crisis; Food and Agriculture Organization of the United Nations: Rome, Italy, 2013. [Google Scholar]
- UN-OCHA Sahel Drought Crisis Humanitarian Update, 2011. Available online: https://www.unocha.org/publications/report/benin/consolidated-appeals-process-cap-appeal-2011-west-africa (accessed on 16 January 2018).
- Wens, M.; van Loon, A.F.; Siemons, A.-S.; de Moel, H. World Drought Atlas; United Nations Convention to Combat Desertification (UNCCD): Bonn, Germany, 2024. [Google Scholar]
- Kuvawoga, P. Nature rises: Southern Africa Turns to Natural Solutions amid Drought Crisis. 20 September 2024. Available online: https://www.ifaw.org/journal/southern-africa-natural-solutions-drought-crisis (accessed on 20 March 2025).
- OCHA. Southern Africa is in the Grip of a Severe Drought. 2024. Available online: https://www.unocha.org/publications/report/madagascar/southern-africa-grip-severe-drought (accessed on 4 January 2026).
- Toreti, A.; Bavera, D.; Acosta Navarro, J.; Acquafresca, L.; Asega, C.; Barbosa, P.; Collivignarelli, F.; Combere, W.S.; de Jager, A.; Fioravanti, G.; et al. Drought in Southern Africa; Publications Office of the European Union: Luxembourg, 2024. [Google Scholar] [CrossRef]
- Chivangulula, F.M.; Amraoui, M.; Pereira, M.G. The Drought Regime in Southern Africa and Recent Climate Change: Long-Term Trends in Climate Elements, Drought Indices and Descriptors. Water 2025, 17, 3031. [Google Scholar] [CrossRef]
- Konapala, G.; Mishra, A.K.; Wada, Y.; Mann, M.E. Climate change will affect global water availability through compounding changes in seasonal precipitation and evaporation. Nat. Commun. 2020, 11, 3044. [Google Scholar] [CrossRef]
- Condon, L.E.; Atchley, A.L.; Maxwell, R.M. Evapotranspiration depletes groundwater under warming over the contiguous United States. Nation Commun. 2020, 11, 873. [Google Scholar] [CrossRef] [PubMed]
- Findell, K.L.; Keys, P.W.; Van Der Ent, R.J.; Lintner, B.R.; Berg, A.L.; Krasting, J.O. Rising Temperatures Increase Importance of Oceanic Evaporation as a Source for Continental Precipitation. J. Clim. J. Clim. 2019, 32, 7713–7726. [Google Scholar] [CrossRef]
- Sheffield, J.; Wood, E.F.; Roderick, M.L. Little change in global drought over the past 60 years. Nature 2012, 491, 435–438. [Google Scholar] [CrossRef]
- Xu, L.; Chen, N.; Zhang, X. Global drought trends under 1.5 and 2 °C warming. Int. J. Climatol. 2019, 39, 2375–2385. [Google Scholar] [CrossRef]
- Feng, G.; Chen, Y.; Mansaray, L.R.; Xu, H.; Shi, A.; Chen, Y. Propagation of Meteorological Drought to Agricultural and Hydrological Droughts in the Tropical Lancang–Mekong River Basin. Remote Sens. 2023, 15, 5678. [Google Scholar] [CrossRef]
- Abiodun, B.J.; Makhanya, N.; Petja, B.; Abatan, A.A.; Oguntunde, P.G. Future projection of droughts over major river basins in Southern Africa at specific global warming levels. Theor. Appl. Climatol. 2019, 137, 1785–1799. [Google Scholar] [CrossRef]
- World Meteorological Organization (WMO). State of Global Climate Report. 2021; WMO-No. 1290; World Meteorological Organization (WMO): Geneva, Switzerland, 2025. [Google Scholar]
- World Meteorological Organization (WMO). State of Global Climate Report. 2024; WMO-No. 1368; World Meteorological Organization (WMO): Geneva, Switzerland, 2025. [Google Scholar]
- Tegegne, G.; Melesse, A.M. Quantifying Spatiotemporal Drought Dynamics Under Climate Change in the Abbay River Basin, Ethiopia. In Abbay River Basin; Melesse, A., Gessesse, B., Zewdie, W., Eds.; Springer Geography: Cham, Switzerland, 2025. [Google Scholar] [CrossRef]
- Wilhite, D.A. Drought: A Global Assessment; Routledge: London, UK, 2000. [Google Scholar]
- Li, H.; Yin, Y.; Zhou, J.; Li, F. Improved Agricultural Drought Monitoring with an Integrated Drought Condition Index in Xinjiang, China. Water 2024, 16, 325. [Google Scholar] [CrossRef]
- Fowé, T.; Yonaba, R.; Mounirou, L.A.; Ouédraogo, E.; Ibrahim, B.; Niang, D.; Karambiri, H.; Yacouba, H. From meteorological to hydrological drought: A case study using standardized indices in the Nakanbe River Basin, Burkina Faso. Nat. Hazards 2023, 119, 1941–1965. [Google Scholar] [CrossRef]
- Le, H.M.; Corzo, G.; Medina, V.; Diaz, V.; Nguyen, B.L.; Solomatine, D.P. A Comparison of Spatial–Temporal Scale Between Multiscalar Drought Indices in the South-Central Region of Vietnam. In Spatiotemporal Analysis of Extreme Hydrological Events; Elsevier: Amsterdam, The Netherlands, 2019; pp. 143–169. [Google Scholar]
- Abubakar, M.L.; Abdussalam, A.F.; Ahmed, M.S.; Wada, A.I. Spatiotemporal variability of rainfall and drought characterization in Kaduna, Nigeria. Discov. Environ. 2024, 2, 72. [Google Scholar] [CrossRef]
- Dinsa, A.B.; Wakjira, F.S.; Demmiese, E.T.; Negash, T.T. Forecasting Seasonal Drought Using Spatio-SPI and Machine Learning Algorithm: The Case of Borana Plateau of Southern Oromia, Ethiopia. J. Earth Sci. Clim. Chang. 2023, 14, 713. [Google Scholar]
- Agwata, J. A review of some indices used for drought studies. Civil. Environ. Res. 2014, 6, 14–21. [Google Scholar]
- Tsakiris, G.; Pangalou, D.; Vangelis, H. Regional Drought Assessment Based on the Reconnaissance Drought Index (RDI). Water Resour. Manag. 2007, 21, 821–833. [Google Scholar] [CrossRef]
- Palmer, W.C. Meteorological Drought; US Department of Commerce, Weather Bureau: Washington, DC, USA, 1965; p. 18.
- McKee, T.B.; Doesken, N.J.; Kleist, J. The relationship of drought frequency and duration to time scales. In Proceedings of the Ninth Conference on Applied Climatology, Anaheim, CA, USA, 17–22 January 1993; American Meteorological Society: Boston, MA, USA, 1993; pp. 179–184. [Google Scholar]
- Vicente-Serrano, S.M.; Begueria, S.; Lopaz-Moreno, J.I. A multiscalar drought index sensitive to global warming: The standardized precipitation evapotranspiration index. J. Clim. 2010, 23, 1696–1718. [Google Scholar] [CrossRef]
- Aktürk, G.; Çıtakoğlu, H.; Demir, V.; Beden, N. Meteorological Drought Analysis and Regional Frequency Analysis in the Kızılırmak Basin: Creating a Framework for Sustainable Water Resources Management. Water 2024, 16, 2124. [Google Scholar] [CrossRef]
- Wilhite, D.A.; Glantz, M.H. Understanding the drought phenomenon: The role of definitions. Water Int. 1985, 10, 111–120. [Google Scholar] [CrossRef]
- Environmental Protection Agency (EPA). Climate Change Indicators in the United States, 2014; Environmental Protection Agency (EPA): Washington, DC, USA, 2025.
- Sivakumar Mannava, V.K.; Raymond, P.M.; Wilhite, D.A.; Wood, D.A. (Eds.) Agricultural Drought Indices. In Proceedings of the WMO/UNISDR Expert Group Meeting on Agricultural Drought Indices, Murcia, Spain, 2–4 June 2010; AGM-11, WMO/TD No. 1572 WAOB-2011. World Meteorological Organization: Geneva, Switzerland, 2011. 197p. [Google Scholar]
- Quiring, S. Developing objective operational definitions for monitoring drought. J. Appl. Meteorol. Clim. 2009, 48, 1217–1229. [Google Scholar] [CrossRef]
- Changnon, S.A. Detecting Drought Conditions in Illinois; Illinois State Water Survey: Champaign, IL, USA, 1987; 169p. [Google Scholar]
- Changnon, S.A. Removing the Confusion over Droughts and Floods: The Interface Between Scientists and Policy Makers. Water Int. 1980, 5, 10–18. [Google Scholar] [CrossRef]
- Zargar, A.; Sadiq, R.; Naser, B.; Khan, F.I. A review of drought indices. Environ. Rev. 2011, 19, 333–349. [Google Scholar] [CrossRef]
- Heim, R.R., Jr. A Review of Twentieth Century Drought Indices Used in the United States. Bull. Am. Meteorol. Soc. 2002, 83, 1149–1165. [Google Scholar] [CrossRef]
- Keyantash, J.A.; Dracup, J.A. The Quantification of Drought: An Evaluation of Drought Indices. Bull. Am. Meteorol. Soc. 2002, 83, 1167–1180. [Google Scholar] [CrossRef]
- Okpara, J.N.; Tarhule, A. Evaluation of drought indices in the Niger River Basin, West Africa. J. Geogr. Earth Sci. 2015, 3, 1–32. [Google Scholar]
- Hayes, M.; Svoboda, D.M.; LeComte, K.R.; Pasteris, P. Drought monitoring: New tools for the 21st century. In Drought and Water Crises: Science, Technology, and Management Issues; Wilhite, D., Ed.; CRC Press: Boca Raton, FL, USA, 2005; pp. 53–69. [Google Scholar]
- Bhalme, H.N.; Mooley, D.A. Large scale droughts/floods and monsoon circulation. Mon. Weather. Rev. 1980, 108, 1197–1211. [Google Scholar] [CrossRef]
- Hoffmann, D.; Gallant, A.J.E.; Arblaster, J.M. Uncertainties in drought from index and data selection. J. Geophys. Res. Atmos. 2020, 125, e2019JD031946. [Google Scholar] [CrossRef]
- Parsons, D.J.; Rey, D.; Tanguy, M.; Holman, I.P. Regional variations in the link between drought indices and reported agricultural impacts of drought. Agric. Syst. 2019, 173, 119–129. [Google Scholar] [CrossRef]
- Gonçalves, S.T.N.; de Souza, A.; da Silva, D.F. Comparative analysis of drought indices in hydrological monitoring in Ceará’s Semi-Arid Basins, Brazil. Water 2023, 15, 1259. [Google Scholar] [CrossRef]
- Kchouk, S.; Tramblay, Y.; Kouadio, K.; Servat, É. Mismatch between indicators of drought and its impacts: A review. Nat. Hazards Earth Syst. Sci. Discuss. 2022, 22, 323–344. [Google Scholar] [CrossRef]
- Khedun, C.P.; Chowdhary, H.; Giardino, J.R.; Mishra, A.K.; Singh, V.P. Analysis of Drought Severity and Duration Based on Runoff Derived from the Noah Land Surface Model. In 2011 Symposium on Data-Driven Approaches to Droughts; Paper 42; Purdue University: West Lafayette, IN, USA, 2011; Available online: http://docs.lib.purdue.edu/ddad2011/42 (accessed on 23 June 2013).
- Ali, A.; Lebel, T. The Sahelian standardized rainfall index revisited. Int. J. Climatol. 2009, 29, 1705–1714. [Google Scholar] [CrossRef]
- Sepulcre-Canto, G.; Horion, S.; Singleton, A.; Carrao, H.; Vogt, J. Development of a Combined Drought Indicator to detect agricultural drought in Europe. Nat. Hazards Earth Syst. Sci. 2012, 12, 3519–3531. [Google Scholar] [CrossRef]
- Keyantash, J. Indices for Meteorological and Hydrological Drought. In Hydrological Aspects of Climate Change; Springer: Berlin/Heidelberg, Germany, 2021. [Google Scholar] [CrossRef]
- Abaje, I.B.; Ati, O.F.; Iguisi, E.O.; Jidauna, G.G. Droughts in the Sudano Sahelian ecological zone of Nigeria: Implications for agriculture and water resources development. Glob. J. Hum. Soc. Sci. 2013, 13, 12–23. [Google Scholar]
- Veysi, S.; Nouri, M.; Jabbari, A. Reference evapotranspiration estimation using ERA5, MERRA-2, and other reanalysis systems. Sci. Rep. 2024, 14, 1–20. [Google Scholar]
- Alahacoon, N.; Edirisinghe, M. A comprehensive assessment of remote sensing and traditional based drought monitoring indices at global and regional scale. Geomat. Nat. Hazards Risk 2022, 13, 762–799. [Google Scholar] [CrossRef]
- Abbaszadeh, P.; Behrangi, A.; Chen, H. High-resolution soil moisture observations from SMAP: Opportunities and challenges. Bull. Am. Meteorol. Soc. 2021, 102, E2261–E2277. [Google Scholar] [CrossRef]
- Mishra, S.K.; Vu, T.; Entekhabi, D. Drought monitoring with SMAP soil moisture: A review of recent advances. Remote Sens. Environ. 2017, 198, 69–77. [Google Scholar]
- Quiring, S.M.; Morales, S.A. The vegetation condition index as a drought indicator. Agric. For. Meteorol. 2010, 150, 330–339. [Google Scholar] [CrossRef]
- Anderson, M.C.; Hain, C.; Pimstein, A.; Mecikalski, J.R.; Kustas, W.P. Evaluation of Drought Indices Based on Thermal Remote Sensing of Evapotranspiration over the Continental United States. J. Clim. 2011, 24, 2025–2044. [Google Scholar] [CrossRef]
- Svoboda, M.; LeComte, D.; Hayes, M.; Heim, R.; Gleason, K.; Angel, J.; Rippey, B.; Tinker, R.; Palecki, M.; Stooksbury, D.; et al. The drought monitor. Bull. Am. Meteor. Soc. 2002, 83, 1181–1189. [Google Scholar] [CrossRef]
- He, X.; Estes, L.; Konar, M.; Tian, D.; Anghileri, D.; Baylis, K. Integrated approaches to understanding and reducing drought impact on food security across scales. Curr. Opin. Environ. Sustain. 2019, 40, 43–54. [Google Scholar] [CrossRef]
- Hayes, M. The Newsletter of the National Drought Mitigation Center; University of Nebraska: Lincoln, NE, USA, 2014. [Google Scholar]
- Bijaber, N.; Hadani, D.; Saidi, M.; Svoboda, M.D.; Wardlow, B.D.; Hain, C.R.; Poulsen, C.C.; Yessef, M.; Rochdi, A. Developing a Remotely Sensed Drought Monitoring Indicator for Morocco. Geosciences 2018, 8, 55. [Google Scholar] [CrossRef]
- Nam, W.H.; Tadesse, T.; Wardlow, B.D.; Hayes, M.J.; Svoboda, M.D.; Hong, E.M. Developing the vegetation drought response index for South Korea (VegDRI-SKorea) to assess the vegetation condition during drought events. Int. J. Remote Sens. 2018, 39, 1548–1574. [Google Scholar] [CrossRef]
- Zhao, H.Y.; Gao, G.; Zhang, P.Q.; Yan, X.D. The modification of meteorological drought composite index and its application in Southwest China. J. Appl. Meteor. Sci. 2011, 22, 698–705. (In Chinese) [Google Scholar]
- Balint, Z.; Mutua, F.; Muchri, P.; Omuto, C.T. Monitoring drought with the combined drought index in Kenya. Dev. Earth Surf. Process. 2013, 16, 341–355. [Google Scholar]
- Ogunrinde, A.T.; Adigun, P.; Xue Xian, X.; Yu, H.; Koji, D.; Adeyemi Adebiyi, A.; Ahmad ASabo, A. Multi-scale drought variability over West Africa and the associated large-scale circulation patterns. Geomat. Nat. Hazards Risk 2024, 15, 2409199. [Google Scholar] [CrossRef]
- Garba, I.; Abdourahamane, Z.S.; Mirzabaev, A. A Drought Dataset Based on a Composite Index for the Sahelian Climate Zone of Niger. Data 2023, 8, 28. [Google Scholar] [CrossRef]
- Abdourahamane, Z.S.; Garba, I.; Gambo Boukary, A.; Mirzabaev, A. Spatiotemporal characterization of agricultural drought in the Sahel region using a composite drought index. J. Arid. Environ. 2022, 204, 104789. [Google Scholar] [CrossRef]
- Pulwarty, R.S.; Sivakumar, M.V.K. Information systems in a changing climate: Early Warnings and drought risk management. Weather Clim. Extrem. 2014, 3, 14–21. [Google Scholar] [CrossRef]
- Oguntunde, P.G.; Abiodun, B.J.; Lischeid, G.; Abatan, A.A. Droughts projection over the Niger and Volta River basins of West Africa at specific global warming levels. J. Climatol. 2020, 40, 5688–5699. [Google Scholar] [CrossRef]
- Quenum, G.M.L.D.; Klutse, N.A.; Alamuo, E.A.; Lawin, E.A.; Oguntunde, P.G. Precipitation variability in West Africa in the Context of Global Warming and Adaptation recommendations. In African Handbook of Climate Change Adaptation; Springer: Berlin/Heidelberg, Germany, 2020; pp. 1533–1554. [Google Scholar] [CrossRef]
- Quenum, G.M.L.D.; Klutse, N.A.B.; Dieng, D.; Laux, P.; Arnault, J.; Kodja, J.D.; Oguntunde, P.G. Identification of potential drought areas in west Africa under climate change and variability. Earth Syst. Environ. 2019, 3, 429–444. [Google Scholar] [CrossRef]
- Karavitis, C.A. Decision support systems for drought management strategies in metropolitan Athens. Water Int. 1999, 24, 10–21. [Google Scholar] [CrossRef]
- Tadesse, T.; Brown, J.F.; Hayes, M.J. A new approach for predicting drought-related vegetation stress: Integrating satellite, climate, and biophysical data over the U.S. central plains. ISPRS J. Photogramm. Remote Sens. 2005, 59, 244–253. [Google Scholar] [CrossRef]
- Tadesse, T.; Haile, M.; Senay, G.; Knutson, C.; Wardlow, B.D. Building integrated drought monitoring and food security systems in sub-Saharan Africa. Nat. Resour. Forum 2008, 32, 245–279. [Google Scholar] [CrossRef]
- Masih, I.; Maskey, S.; Muss, F.E.F.; Trambaue, P. A review of droughts on the African continent: A geospatial and long-term perspective. Hydrol. Earth Syst. Sci. 2014, 18, 3635–3649. [Google Scholar] [CrossRef]
- Davis, T. (Ed.) Agricultural Water Use River Basin Conservation; A summary report compiled; WWF–World Wide Fund For Nature: Gland, Switzerland, 2003. [Google Scholar]
- World Bank. The Niger River Basin: A Vision for Sustainable Management; Golitzen, K.G., Ed.; World Bank: Washington, DC, USA, 2005. [Google Scholar]
- Tarhule, A.; Zume, J.T.; Grijsen, J.; Talbi-Jordan, A.; Guero, A.; Dessouassi, R.Y.; Doffou, H.; Kone, S.; Coulibaly, B.; Harshadeep, N.R. Exploring temporal hydroclimatic variability in the Niger Basin (1901–2006) using observed and gridded data. Int. J. Clim. 2014, 35, 520–539. [Google Scholar] [CrossRef]
- Oladipo, E.O. A Comparative Performance Analysis of Three Meteorological Drought Indices. Int. J. Climatol. 1985, 5, 655–664. [Google Scholar] [CrossRef]
- Lienou, G. Integrated Future Needs and Climate Change on the River Niger Water Availability. J. Water Resour. Prot. 2013, 5, 887–893. [Google Scholar] [CrossRef]
- Namara, R.E.; Barry, B.; Owusu, E.S.; Ogilvie, A. An Overview of the Development Challenges and Constraints of the Niger Basin and Possible Intervention Strategies; IWMI Working Paper 144; Sri Lanka International Water Management Institute: Colombo, Sri Lanka, 2011; 34p. [Google Scholar]
- Abrate, T.; Hubert, P.; Sighomnou, D. A study on hydrological series of the Niger River. Hydrol. Sci. J. 2013, 58, 271–279. [Google Scholar] [CrossRef]
- Liang, X.; Wood, E.F.; Lettenmaier, D.P. Surface soil moisture parameterization of the VIC-2L evaluation and modification. Glob. Planet. Chang. 1996, 13, 195–206. [Google Scholar] [CrossRef]
- Sheffield, J.; Wood, E.J.F.; Chaney, N.; Guan, K.; Sardi, S.; Yuan, X.; Olang, L.; Amani, A.; Ali, A.; Demuth, S.; et al. A drought monitoring and forecasting system for sub-Sahara African water resources and food security. Bull. Am. Meteorol. Soc. 2014, 95, 861–882. [Google Scholar] [CrossRef]
- Kgabi, N.A.; Irenge, D.I.; Reju, S.A. Effective utilisation of the Africa Flood and Drought Monitor. In Integrated Transboundary Water–Climate Management Tools (Water Security and Climate Adaptation in Southern Africa Volume 1); Kgabi, N.A., Ed.; AOSIS: Cape Town, South Africa, 2020; pp. 39–60. [Google Scholar] [CrossRef]
- Seiler, R.A.; Hayes, M.; Bressan, L. Using the standardized precipitation index for flood risk monitoring. Int. J. Clim. 2002, 22, 1365–1376. [Google Scholar] [CrossRef]
- Abah, E.O.; Ayodele, A.P.; Precious, E.; Noguchi, R.; Omale, P.A. Drought Assessment over Northern Africa Using Multi-source Satellite Product. In Remote Sensing Application II; Ahamed, T., Ed.; New Frontiers in Regional Science: Asian Perspectives, Vol. 77; Springer: Singapore, 2024. [Google Scholar] [CrossRef]
- Quagraine, K.A.; Nkrumah, F.; Klein, C.; Klutse, N.A.B.; Quagraine, K.T. West African Summer Monsoon Precipitation Variability as Represented by Reanalysis Datasets. J. Clim. 2020, 8, 111. [Google Scholar] [CrossRef]
- Zhan, W.; Guan, K.; Sheffield, J.; Wood, E.F. Depiction of drought over sub-Saharan Africa using reanalysis precipitation data sets. J. Geophys. Res. Atmos. 2016, 121, 10555–10574. [Google Scholar] [CrossRef]
- Okpara, J.N.; Ogunjobi, K.O.; Adefisan, A.A. Challenges of Hydrometeorological Data in Drought Depiction in a Shared River Basin, West Africa. In Proceedings of the WMO Data Conference, Virtual, 16–19 November 2020. [Google Scholar]
- Taalas. WMO Calls for Better Monitoring of Increasingly Erratic Water Cycle; World Meteorological Organization: Geneva, Switzerland, 2023. [Google Scholar]
- Wang, J.; Chen, J.; Shen, P.; Guan, X.; Wang, Q.; Lu, Y.; Wang, Y. Regional-scale intelligent optimization and topography impact in restoring global precipitation data gaps. Commun. Earth Environ. 2025, 6, 671. [Google Scholar] [CrossRef]
- Baño-Medina, J.; Manzanas, R.; Gutiérrez, J.M. Configuration and intercomparison of deep learning neural models for statistical downscaling. Geosci. Model Dev. 2020, 13, 2109–2124. [Google Scholar] [CrossRef]
- Sun, Q.; Miao, C.; Duan, Q.; Ashouri, H.; Sorooshian, S.; Hsu, K. A Review of Global Precipitation Data Sets: Data Sources, Estimation, and Intercomparisons. Rev. Geophys. 2018, 56, 79–107. [Google Scholar] [CrossRef]
- Maraun, D. Bias Correcting Climate Change Simulations—A Critical Review. Curr. Clim. Chang. Rep. 2016, 2, 211–220. [Google Scholar] [CrossRef]
- Gudmundsson, L.; Bremnes, J.B.; Haugen, J.E.; Engen-Skaugen, T. Technical Note: Downscaling RCM precipitation to the station scale using statistical transformations—A comparison of methods. Hydrol. Earth Syst. Sci. 2012, 16, 3383–3390. [Google Scholar] [CrossRef]
- Teutschbein, C.; Seibert, J. Bias correction of regional climate model simulations for hydrological climate-change impact studies: Review and evaluation of different methods. J. Hydrol. 2012, 456, 12–29. [Google Scholar] [CrossRef]
- Teutschbein, C.; Seibert, J. Is bias correction of regional climate model (RCM) simulations possible for non-stationary conditions? Hydrol. Earth Syst. Sci. 2013, 17, 5061–5077. [Google Scholar] [CrossRef]
- Arnell, N.W. Uncertainty in the relationship between climate forcing and hydrological response in UK catchments. Hydrol. Earth Syst. Sci. 2011, 15, 897–912. [Google Scholar] [CrossRef]
- Maraun, D.; Wetterhall, F.; Ireson, A.M.; Chandler, R.E.; Kendon, E.J.; Widmann, M.; Brienen, S.; Rust, H.W.; Sauter, T.; Themeßl, M.; et al. Precipitation downscaling under climate change: Recent developments to bridge the gap between dynamical models and the end user. Rev. Geophys. 2010, 48, 1–34. [Google Scholar] [CrossRef]
- M’pO, Y.N.; Lawin, A.E.; Oyerinde, G.T.; Yao, B.K.; Afouda, A.A. Comparison of Daily Precipitation Bias Correction Methods Based on Four Regional Climate Model Outputs in Ouémé Basin, Benin. Hydrology 2016, 4, 58–71. [Google Scholar] [CrossRef]
- Wetterhall, F.; Pappenberger, F.; He, Y.; Freer, J.; Cloke, H. Conditioning model output statistics of regional climate model precipitation on circulation patterns. Nonlinear Process. Geophys. 2012, 19, 623–633. [Google Scholar] [CrossRef]
- Fang, G.H.; Yang, J.; Chen, Y.N.; Zammit, C. Comparing bias correction methods in downscaling meteorological variables for a hydrologic impact study in an arid area in China. Hydrol. Earth Syst. Sci. 2015, 19, 2547–2559. [Google Scholar] [CrossRef]
- Shrestha, M.; Acharya, S.C.; Shrestha, P.K. Bias correction of climate models for hydrological modelling–are simple methods still useful? Meteorol. Appl. 2017, 24, 531–539. [Google Scholar] [CrossRef]
- Jaiswal, R.; Mall, R.K.; Singh, N.; Lakshmi Kumar, T.V.; Niyogi, D. Evaluation of bias correction methods for regional climate models: Downscaled rainfall analysis over diverse agroclimatic zones of India. Earth Space Sci. 2022, 9, e2021EA001981. [Google Scholar] [CrossRef]
- Changnon, D.; Changnon, S.A. Unexpected Impacts of Drought 2005 on Illinois Crop Yields: Are Weather-Crop Relationships Changing? Trans. Ill. State Acad. Sci. 2006, 99, 37–50. [Google Scholar]
- Mishra, A.K.; Singh, V.P. A review of drought concepts. J. Hydrol. 2010, 391, 202–216. [Google Scholar] [CrossRef]
- Tallaksen, L.M.; Van Lanen, H.A.J. Hydrological Drought. Processes and Estimation Methods for Streamflow and Groundwater. In Developments in Water Science; Elsevier Science B.V.: Amsterdam, The Netherlands, 2004; Volume 48, 579p. [Google Scholar]
- Zhang, Y.; Zhang, H.; Ye, Z.; Lyu, J.; Ma, H.; Zhang, X. Spatiotemporal Dynamics of Drought Propagation in the Loess Plateau: A Geomorphological Perspective. Water 2025, 17, 2447. [Google Scholar] [CrossRef]
- Vicente-Serrano, S.M.; Célia Gouveia, C.; Camarero, J.J.; Begueríae, S.; Trigo, R.; López-Moreno, J.I.; Azorín-Molina, C.; Pasho, E.; Lorenzo-Lacruz, J.; Revueltoa, J.; et al. Response of vegetation to drought time-scales across global land biomes. Proc. Natl. Acad. Sci. USA 2013, 110, 52–57. [Google Scholar] [CrossRef]
- Luo, X.; Luo, X.; Ji, X.; Ming, W.; Wang, L.; Xiao, X.; Xu, J.; Liu, Y.; Li, Y. Meteorological and hydrological droughts in the Lancang-Mekong River Basin: Spatiotemporal patterns and propagation. Atmos. Res. 2023, 293, 106913. [Google Scholar] [CrossRef]
- Ding, Y.; Gong, X.; Xing, Z.; Cai, H.; Zhou, Z.; Zhang, D.; Sun, P.; Shi, H. Attribution of meteorological, hydrological and agricultural drought propagation in different climatic regions of China. Agric. Water Manag. 2021, 255, 106996. [Google Scholar] [CrossRef]
- Du, M.; Liu, Y.; Huang, S.; Zheng, H.; Huang, Q. Probability- Based Propagation Characteristics from Meteorological to Hydrological Drought and Their Dynamics in the Wei River Basin, China. Water 2024, 16, 1999. [Google Scholar] [CrossRef]
- IPCC. Climate Change: Synthesis Report A Contribution of Working Groups I, II, and III to the Third Assessment Report of the Intergovernmental Panel on Climate Change; Watson, R.T., the Core Writing Team, Eds.; Cambridge University Press: Cambridge, UK; New York, NY, USA, 2001; 398p. [Google Scholar]
- Wilhite, D.A.; Sivakumar, M.V.K.; Pulwarty, R. Managing drought risk in a changing climate: The role of national drought policy. Weather Clim. Extrem. 2014, 3, 4–13. [Google Scholar] [CrossRef]
- Huang, T.; Wu, Z.; Xiao, P.; Sun, Z.; Liu, Y.; Wang, J.; Wang, Z. Possible Future Climate Change Impacts on the Meteorological and Hydrological Drought Characteristics in the Jinghe River Basin, China. Remote Sens. 2023, 15, 1297. [Google Scholar] [CrossRef]
- Robleh, H.B.; Yuce, M.I.; Esit, M.; Deger, I.H. Meteorological drought monitoring in Kızılırmak Basin, Türkiye. Environ. Earth Sci. 2024, 83, 265. [Google Scholar] [CrossRef]
- Thornthwaite, C.W.; Mather, J.R. Instructions and tables for computing potential evapotranspiration and the water balance. Publ. Climatol. 1957, 10, 311. [Google Scholar]
- Vlahinić, M. Land Reclamation and Agrohydrological Monograph of Popovo Polje; Department of Natural Sciences and Mathematics: Sarajevo, Bosnia and Herzegovina, 2004; Volume 6. (In Bosnian) [Google Scholar]
- Čadro, S.; Uzunović, M.; Žurovec, J.; Žurovec, O. Validation and calibration of various reference evapotranspiration alternative methods under the climate conditions of Bosnia and Herzegovina. Int. Soil Water Conserv. Res. 2017, 5, 309–324. [Google Scholar] [CrossRef]
- Hargreaves, G.H.; Samani, Z.A. Reference Crop Evapotranspiration from Temperature. Appl. Eng. Agric. 1985, 1, 96–99. [Google Scholar] [CrossRef]
- United States Department of Agriculture, Soil Conservation Service. Irrigation Water Requirements; Technical release; United States Department of Agriculture, Soil Conservation Service: Washington, DC, USA, 1970; Volume 88.
- World Meteorological Organization (WMO). Standardized Precipitation Index User Guide; WMO-No. 1090; World Meteorological Organization (WMO): Geneva, Switzerland, 2012. [Google Scholar]
- Nicholson, S.E. Sub-saharan rainfall 1981–1984. J. Appl. Meteorol. Climatol. 1985, 24, 1388–1391. [Google Scholar] [CrossRef]
- Yevjevich, V. An Objective Approach to Definitions And Investigations of Continental Hydrologic Droughts; Hydrology papers no. 23; Colorado State University Natural Hazards: Fort Collins, CO, USA, 1967; Volume 1, 25p. [Google Scholar]
- World Meteorological Organization (WMO). Experts Agree on a Universal Drought Index to Cope with Climate Risks; World Meteorological Organization (WMO): Geneva, Switzerland, 2009. [Google Scholar]
- Dracup, J.A.; Lee, K.S.; Paulson, E.G., Jr. On the definitions of droughts. Water Resour. Res. 1980, 16, 297–302. [Google Scholar] [CrossRef]
- Ruqoyyah, S.; Murni, S.; Fasha, L.H. Microsoft Excel VBA on mathematical resilience of primary school teacher education students. J. Phys. Conf. Ser. 2020, 1657, 012010. [Google Scholar] [CrossRef]
- Kulworatit, C.; Tuntiwongwanich, S. The use of digital intelligence and association analysis with data mining methods to determine the factors affecting digital safety among Thai adolescents. Int. J. Innov. Creat. Chang. 2020, 14, 1120–1134. [Google Scholar]
- Lombardo, K.; Bitting, M. A Climatology of Convective Precipitation over Europe. Mon. Weather. Rev. 2024, 152, 1555–1585. [Google Scholar] [CrossRef]
- Becker, A.; Finger, P.; Meyer-Christoffer, A.; Rudolf, B.; Schamm, K.; Schneider, U.; Ziese, M. A description of the global land-surface precipitation data products of the Global Precipitation Climatology Centre with sample applications including centennial (trend) analysis from 1901–present. Earth Syst. Sci. Data 2013, 5, 71–99. [Google Scholar] [CrossRef]
- Overeem, A.; Holleman, I.; Buishand, A. Derivation of a 10-year radar-based rainfall climatology. J. Appl. Meteorol. Clim. 2009, 48, 1448–1463. [Google Scholar] [CrossRef]
- Adler, R.F.; Huffman, G.J.; Chang, A.; Ferraro, R.; Xie, P.P.; Janowiak, J.; Rudolf, B.; Schneider, U.; Curtis, S.; Bolvin, D. The version-2 global precipitation climatology project (GPCP) monthly precipitation analysis (1979–present). J. Hydrometeorol. 2003, 4, 1147–1167. [Google Scholar] [CrossRef]
- Guttman, N. Accepting the standardized precipitation index: A calculation algorithm. J. Am. Water Resour. Assoc. 1999, 35, 311–322. [Google Scholar] [CrossRef]
- Wilhite, D.A.; Pulwarty, R.S. Drought and Water Crises: Integrating Science, Management, and Policy, 2nd ed.; CRC Press: Boca Raton, FL, USA, 2017. [Google Scholar]
- Rao, G.S.; Srinivas, V.V.; Subba Rao, M. Development of a composite drought index for agricultural impact assessment in India. Nat. Hazards 2013, 65, 1627–1647. [Google Scholar]
- Hao, Z.; Zhang, J.; Yao, F. Integrated drought monitoring for agricultural drought in North China. Nat. Hazards 2014, 70, 799–815. [Google Scholar]
- Gebrehiwot, T.; van der Veen, A.; Maathuis, B. Spatial and temporal assessment of drought in the Northern highlands of Ethiopia. Int. J. Appl. Earth Obs. 2011, 13, 309–321. [Google Scholar] [CrossRef]
- Hao, Z.; Singh, V.P. Drought characterization from a multivariate perspective: A review. J. Hydrol. 2015, 527, 668–678. [Google Scholar] [CrossRef]
- Otkin, J.A.; Anderson, M.C.; Hain, C.; Svoboda, M. Examining the relationship between drought development and rapid changes in the Evaporative Stress Index. J. Hydrometeorol. 2018, 19, 787–802. [Google Scholar] [CrossRef]
- Yatheendradas, S.; Mocko, D.M.; Peters-Lidard, C.; Kumar, S. Quantifying the importance of selected drought indicators for the United States drought monitor. J. Hydrometeorol. 2023, 24, 1457–1478. [Google Scholar] [CrossRef]
- Diffenbaugh, N.S.; Swain, D.L.; Touma, D. Anthropogenic warming has increased drought risk in California. Proc. Natl. Acad. Sci. USA 2015, 112, 3931–3936. [Google Scholar] [CrossRef]
- Kongo, V.O.; Arreyndip, N.A. The 2023 drought in West Africa and associated vulnerability to food insecurity. Sci. Rep. 2025, 15, 34959. [Google Scholar] [CrossRef] [PubMed]
- Sun, D.; Kafatos, M. Note on the NDVI-LST Relationship and the Use of Temperature-Related Drought Indices over North America. Geophys. Res. Lett. 2007, 34, L24406. [Google Scholar] [CrossRef]
- Pei, W.; Fu, Q.; Liu, D.; Li, T. A drought index for Rainfed agriculture: The Standardized Precipitation Crop Evapotranspiration Index (SPCEI). Hydrol. Process. 2019, 33, 803–815. [Google Scholar] [CrossRef]
- Prihodko, L.; Goward, S.N. Estimation of air temperature from remotely sensed surface observations. Remote Sens. Environ. 1997, 60, 335–346. [Google Scholar] [CrossRef]
- Boegh, E.; Soegaard, H.; Hanan, N.; Kabat, P.; Lesch, L. A remote sensing study of the NDVI-Ts relationship and the transpiration from sparse vegetation in the Sahel based on high-resolution satellite data. Remote Sens. Environ. 1998, 69, 224–240. [Google Scholar] [CrossRef]
- Chen, S.; Zhong, W.; Pan, S.; Xie, Q.; Kim, T.-W. Comprehensive Drought Assessment Using a Modified Composite Drought index: A Case Study in Hubei Province, China. Water 2020, 12, 462. [Google Scholar] [CrossRef]
- Ford, T.W.; McRoberts, D.B.; Quiring, S.M.; Hall, R.E. On the utility of in situ soil moisture observations for flash drought early warning in Oklahoma, USA. Geophys. Res. Lett. 2015, 42, 9790–9798. [Google Scholar] [CrossRef]
- National Drought Mitigation Center (NDMC). How the Drought Monitor is Made. 2023. Available online: https://droughtmonitor.unl.edu/About/WhatistheUSDM.aspx (accessed on 5 October 2025).
- National Drought Mitigation Center (NDMC). U.S. Drought Monitor. 2020. Available online: https://droughtmonitor.unl.edu (accessed on 5 October 2025).
Disclaimer/Publisher’s Note: The statements, opinions and data contained in all publications are solely those of the individual author(s) and contributor(s) and not of MDPI and/or the editor(s). MDPI and/or the editor(s) disclaim responsibility for any injury to people or property resulting from any ideas, methods, instructions or products referred to in the content. |
© 2026 by the authors. Licensee MDPI, Basel, Switzerland. This article is an open access article distributed under the terms and conditions of the Creative Commons Attribution (CC BY) license.














