Sign in to use this feature.

Years

Between: -

Subjects

remove_circle_outline
remove_circle_outline
remove_circle_outline
remove_circle_outline
remove_circle_outline
remove_circle_outline
remove_circle_outline

Journals

Article Types

Countries / Regions

Search Results (35)

Search Parameters:
Keywords = spent hen

Order results
Result details
Results per page
Select all
Export citation of selected articles as:
25 pages, 3002 KB  
Article
Monitoring Night-Time Activity Patterns of Laying Hens in Response to Poultry Red Mite Infestations Using Night-Vision Cameras
by Sam Willems, Hanne Nijs, Nathalie Sleeckx and Tomas Norton
Animals 2025, 15(19), 2928; https://doi.org/10.3390/ani15192928 - 9 Oct 2025
Viewed by 646
Abstract
The poultry red mite (PRM) feeds on hens’ blood at night, disrupting sleep, harming welfare, and reducing productivity. Effective control may lie in dynamic Integrated Pest Management (IPM), which relies on routine monitoring and adaptation to farm conditions. This study investigated how PRM [...] Read more.
The poultry red mite (PRM) feeds on hens’ blood at night, disrupting sleep, harming welfare, and reducing productivity. Effective control may lie in dynamic Integrated Pest Management (IPM), which relies on routine monitoring and adaptation to farm conditions. This study investigated how PRM infestations affect the night-time activity of hens. Three groups of eight hens, housed in enriched cages, were monitored with night-vision cameras over a two-month period, both before and after artificial PRM introduction, while PRM levels were simultaneously recorded. To quantify changes in behaviour, we developed an activity-monitoring algorithm that extracts both group-level and individual night-time activity patterns from video recordings. Group activity between 18:00 and 03:00 was analyzed hourly, and individual activity between 21:00 and 00:00 was classified into four activity categories. Before infestation, group activity declined after 19:00, remained low from 20:00 to 01:00, and peaked just before the end of the dark period. After infestation, activity remained elevated with no anticipatory activity peak towards the end of the dark period. Individual data showed an increase in time spent in the most active activity category from 24% to 67% after infestation. The rise in calculated activity was supported by a nearly 23-fold increase in annotated PRM-related behaviours, specifically head shaking and head scratching. These findings suggest that PRM mostly disrupted sleep from two hours after lights-off to two hours before lights-on and may have acted as a chronic stressor. Automated video-based monitoring could strengthen dynamic IPM in commercial systems. Full article
Show Figures

Figure 1

22 pages, 13265 KB  
Article
Beneficial Effects of Fermented Blueberry Pomace Supplementation on Carcass Traits, Meat Quality, and Antioxidant Capacity of Spent Hens
by Binghua Qin, Ting Chen, Zhihua Li, Wei Lan, Yadong Cui, Md. Abul Kalam Azad and Xiangfeng Kong
Animals 2025, 15(19), 2799; https://doi.org/10.3390/ani15192799 - 25 Sep 2025
Viewed by 968
Abstract
This study aimed to evaluate the effects of fermented blueberry pomace (FBP) supplementation on carcass traits, meat quality, and antioxidant capacity in spent hens and further investigated underlying mechanisms using network pharmacology and molecular docking analyses. A total of 320 Yukou Jingfen No. [...] Read more.
This study aimed to evaluate the effects of fermented blueberry pomace (FBP) supplementation on carcass traits, meat quality, and antioxidant capacity in spent hens and further investigated underlying mechanisms using network pharmacology and molecular docking analyses. A total of 320 Yukou Jingfen No. 8 spent hens (345 days old) were fed a basal diet supplemented with 0, 0.25, 0.5, or 1.0% FBP for 56 days. Each group contained eight replicates with ten hens per replicate. Results showed that 0.25% FBP reduced the percentage of thigh muscle, whereas 0.5% FBP reduced drip loss at 24 h post-mortem in the breast muscle compared to the control group (p < 0.05). Additionally, 0.5% FBP enhanced the total antioxidant capacity compared to the 0.25% group and increased superoxide dismutase activity compared to the control and 0.25% FBP groups (p < 0.05). In the breast muscle, 0.25 and 0.5% FBP reduced drip loss compared to the control group at 48 h post-mortem, while 0.25% FBP upregulated glutathione peroxidase 1 expression more than the other groups (p < 0.05). Network pharmacology analysis identified 302 targets related to the potential bioactive compounds in FBP and 401 targets associated with meat quality, such as core targets of insulin, protein kinase cAMP-activated catalytic subunit beta, steroid receptor coactivator, etc. The identified key signaling pathways included JAK-STAT and PI3K-Akt signaling pathways, which were related to protein synthesis and muscle growth. Molecular docking analysis confirmed strong binding activity between bioactive compounds of FBP and meat quality. In conclusion, dietary FBP supplementation enhances the breast muscle quality of spent hens through the potential bioactive compounds targeting insulin and modulating JAK-STAT and PI3K-Akt signaling pathways, without affecting carcass traits. Moreover, 0.5% FBP exhibited better effects than other treatment groups in spent hens. Full article
(This article belongs to the Section Poultry)
Show Figures

Graphical abstract

14 pages, 235 KB  
Article
Assessment of the Effects of Stocking Density on Laying Hens Raised in Colony Cages: Part I—The Effect of Density, Time of Day and Hen Age on Behavior and Aggression
by Benjamin N. Alig, Kenneth E. Anderson and Ramon D. Malheiros
Poultry 2025, 4(3), 27; https://doi.org/10.3390/poultry4030027 - 20 Jun 2025
Viewed by 964
Abstract
The amount of space provided to laying hens has been an animal welfare topic of concern from consumers, special interest groups, and lawmakers. The freedom to perform normal behaviors is one component of animal welfare, and, therefore, the objective of this study was [...] Read more.
The amount of space provided to laying hens has been an animal welfare topic of concern from consumers, special interest groups, and lawmakers. The freedom to perform normal behaviors is one component of animal welfare, and, therefore, the objective of this study was to assess behavior at different stocking densities. Shaver White laying hens were housed in colony cages at five stocking densities. Video recordings of three cages/treatment were taken at 30, 46, and 62 weeks of age in the morning, afternoon, and night. At each age, a 20 min segment of video from each time of day was analyzed. Every minute was annotated to identify the behavior that hens spent the majority of their time performing. Data were averaged to calculate the percentage of hens engaged in each behavior per cage. The total count of aggressive bouts was recorded across the 20 min period. Data were analyzed with a general linear model utilizing the variables time of day, density, age, and the full factorial of interactions. Intermediate stocking densities displayed the lowest percentage of crouching (p = 0.009) and aggressive acts per hen (p < 0.0001). Hens stocked at 1341.93 cm2 walked the most (p < 0.0001). Hens were seen standing and preening (p < 0.0001) more in the morning, crouching and sham dust bathing (p < 0.0001) more in the afternoon, stretching less while feeding and drinking, and being more aggressive at night (p < 0.0001). Finally, as hens aged, they began to stand and crouch more (p < 0.0001) and preen (p = 0.013), walk (p < 0.0001), and demonstrate aggressive behaviors (p = 0.007) less. In conclusion, the majority of behaviors assessed were not influenced by stocking density. However, the different amounts of aggression between the treatments could indicate higher stress and frustration, which warrants more investigation. Full article
15 pages, 521 KB  
Article
Effects of Dandelion Flavonoid Extract on the Accumulation of Flavonoids in Layer Hen Meat, Slaughter Performance and Blood Antioxidant Indicators of Spent Laying Hens
by Yuyu Wei, Jingwen Zhang, Yiming Zhang, Dingkuo Liu, Chunxue You, Wenjuan Zhang, Chaoqi Ren, Xin Zhao, Liu’an Li and Xiaoxue Yu
Animals 2025, 15(6), 886; https://doi.org/10.3390/ani15060886 - 20 Mar 2025
Cited by 2 | Viewed by 1606
Abstract
This study aimed to investigate the effects of different supplemental amounts of dandelion flavonoid extracts (DFE) in diets on nutrients in chicken, slaughtering performance, blood biochemical indexes and antioxidant capacity of spent laying hens. A total of 180 560-day-old spent Hy-Line Brown laying [...] Read more.
This study aimed to investigate the effects of different supplemental amounts of dandelion flavonoid extracts (DFE) in diets on nutrients in chicken, slaughtering performance, blood biochemical indexes and antioxidant capacity of spent laying hens. A total of 180 560-day-old spent Hy-Line Brown laying hens were randomly divided into five groups. The control group was fed the basal diet, while the experimental groups were supplemented with DFE at levels of 1000, 2000, 4000, and 8000 mg/kg (as T1, T2, T3, and T4 group) in the basal diet, respectively. The variables measured included the content of dandelion flavonoids in layer hen thigh meat and breast meat, slaughter performance, blood biochemical indexes, and antioxidant capacity. Data were subjected to a one-way analysis of variance (one-way ANOVA) to assess the impact of DFE supplementation compared to the control group on study outcomes. The results showed that dietary supplementation with DFE can increase the content of dandelion flavonoids in layer hen meat. The contents of rutin in layer hen breast meat of groups T1, T2, T3, and T4 were 1.37, 4.41, 16.26, and 36.03 ng/g, respectively, and the contents of quercetin was 2.58, 1.36, 4.98, 12.48 ng/g. In layer hen thigh meat of groups T1, T2, T3, and T4, the contents of rutin were 11.48, 15.98, 44.43, 122.32 ng/g, and the contents of quercetin were 9.96, 13.14, 23.15, 38.09 ng/g, respectively. The addition of DFE increased the total phenol content of the feed and highly significantly elevated the total phenol content of layer hen meat (p < 0.01), and the total phenol content of chicken meat was strongly and positively correlated with the total phenol content of the feed. DFE supplementation significantly decreased abdominal fat percentage (p < 0.05) and increased crude fat content in chicken (p < 0.05). The addition of DFE reduced aspartate aminotransferase (AST) and alanine aminotransferase (ALT) activities (p < 0.05), decreased triglyceride (TG), total cholesterol (TC), low-density lipoprotein (LDL) cholesterol (LDL-C), glucose (GLU), and malondialdehyde (MDA) contents (p < 0.05), and increased the content of albumin (ALB), total antioxidant (T-AOC) capacity and total superoxide dismutase (T-SOD), glutathione peroxidase (GSH-Px) activity (p < 0.05). Dietary supplementation of DFE at different concentrations could significantly increase the content of dandelion flavonoids in the muscle of spent laying hens, reduce the abdominal fat rate in hens, effectively reduce blood lipid levels, effectively increase crude fat content in thigh muscle, and enhance the body’s antioxidant capacity and liver function. Full article
(This article belongs to the Section Poultry)
Show Figures

Figure 1

9 pages, 2697 KB  
Case Report
Do Laying Hens Form Stable Social Networks?—A Case Study
by Louise Hedlund, Dominic Wright and Per Jensen
Poultry 2025, 4(1), 7; https://doi.org/10.3390/poultry4010007 - 30 Jan 2025
Viewed by 2112
Abstract
A social network is a group of individuals forming a non-random social structure where the number of interactions systematically vary among individuals. The Red Junglefowl, the ancestor of all domesticated chickens, has been shown to form social structures within a larger group; however, [...] Read more.
A social network is a group of individuals forming a non-random social structure where the number of interactions systematically vary among individuals. The Red Junglefowl, the ancestor of all domesticated chickens, has been shown to form social structures within a larger group; however, how poultry in egg production are socially organised is poorly understood. Egg layers in groups of thousands of individuals are suggested to either, just as Red Junglefowl, form subgroups or to lose social affiliations and replace these with a system of social tolerance. In this case study, a stable group of 20 laying hens with known genetic relationships housed in an outdoor aviary were observed for 3 h per day, during 20 days, in order to determine the social structure in the group. Social affiliations and centralisation measurements were assessed by proximity. The results show that some individuals were consistently more centralised compared to others, which indicates a stable individual variation in sociality. Furthermore, no individual spent more than 10% of her total number of interactions with a particular individual, i.e., little consistency in social affiliations could be found. The results of this case study support the theory of a higher social tolerance rather than a consistent social organisation in domesticated egg layers. Full article
Show Figures

Figure 1

15 pages, 1157 KB  
Article
Survey of Flemish Poultry Farmers on How Birds Fit for Transport to the Slaughterhouse Are Selected, Caught, and Crated and Their Opinions Regarding the Pre-Transport Process
by Femke Delanglez, Anneleen Watteyn, Bart Ampe, An Garmyn, Evelyne Delezie, Gunther Antonissen, Nathalie Sleeckx, Ine Kempen, Niels Demaître, Hilde Van Meirhaeghe and Frank André Maurice Tuyttens
Animals 2024, 14(22), 3241; https://doi.org/10.3390/ani14223241 - 12 Nov 2024
Cited by 2 | Viewed by 1549
Abstract
The pre-transport phase induces stress, fear, and injury in poultry, but management choices greatly influence this. Pre-transport practices for spent hens and broilers in Flanders (Belgium) were studied. Poultry farmers (31 of 156 layers and 48 of 203 broiler farmers completed the survey) [...] Read more.
The pre-transport phase induces stress, fear, and injury in poultry, but management choices greatly influence this. Pre-transport practices for spent hens and broilers in Flanders (Belgium) were studied. Poultry farmers (31 of 156 layers and 48 of 203 broiler farmers completed the survey) were surveyed on the selection of unfit chickens, catching and crating, and farmer opinion. A minority of farmers made a specific selection of chickens unfit for transport prior to catching (layers 25%: 5.1 ± 5.9 h, broilers 39%: 6.8 ± 7.0 h). More layer (69%) than broiler farmers (19%) withdrew feed too early (EU regulations stipulate max. 12 h before expected slaughter time). Layer farmers withdrew water earlier than broiler farmers (47.9 ± 51.1 min vs. 20.6 ± 23.3 min). More broiler than layer farmers believed that the container type affects the birds’ welfare (48% vs. 27%; p < 0.05). On broiler farms, mechanical catching was preferred for catchers’ well-being, while upright catching was considered better for animal welfare than catching more than three chickens by one/two legs, wings, or mechanically. Poultry farmers should be sensitized about the need for additional selection before catching, including clear guidelines about judging which birds are fit for transport. Full article
(This article belongs to the Section Poultry)
Show Figures

Figure 1

15 pages, 3178 KB  
Article
Quantifying Nesting Behavior Metrics of Broiler Breeder Hens with Computationally Efficient Image Processing Algorithms and Big Data Analytics
by Aravind Mandiga, Guoming Li, Jeanna L. Wilson, Tianming Liu, Venkat Umesh Chandra Bodempudi and Jacob Hunter Mason
AgriEngineering 2024, 6(4), 3672-3685; https://doi.org/10.3390/agriengineering6040209 - 8 Oct 2024
Cited by 5 | Viewed by 1800
Abstract
Nesting behaviors are important to understand facility design, resource allowance, animal welfare, and the health of broiler breeder hens. How to automatically extract informative nesting behavior metrics of broiler breeder hens remains a question. The objective of this work was to quantify the [...] Read more.
Nesting behaviors are important to understand facility design, resource allowance, animal welfare, and the health of broiler breeder hens. How to automatically extract informative nesting behavior metrics of broiler breeder hens remains a question. The objective of this work was to quantify the nesting behavior metrics of broiler breeder hens using computationally efficient image algorithms and big data analytics. Here, 20 broiler breeder hens and 1–2 roosters were raised in an experimental pen, and four pens equipped with six-nest-slot nest boxes were used for analyzing the nesting behaviors of broiler hens over the experimental period. Cameras were installed on the top of the nest boxes to monitor the hens’ behaviors, such as the time spent in the nest slot, frequency of visits to the nest slot, simultaneous nesting pattern, hourly time spent by the hens in each nest slot, and time spent before and after feed withdrawal, and videos were continuously recorded for nine days for nine hours a day when the hens were 56 weeks of age. Image processing algorithms, including template matching, thresholding, and contour detection, were developed and applied to quantify the hen nesting behavior metrics frame by frame. The results showed that the hens spent significantly different amounts of time and frequencies in different nest slots (p < 0.001). A decrease in the time spent in all nest slots from 1 pm to 9 pm was observed. The nest slots were not used 60.1% of the time. Overall, the proposed method is a helpful tool to quantify the nesting behavior metrics of broiler breeder hens and support precision broiler breeder management. Full article
(This article belongs to the Special Issue The Future of Artificial Intelligence in Agriculture)
Show Figures

Figure 1

10 pages, 639 KB  
Article
Olfactory Responses of Asproparthenis punctiventris Germar to Leaf Odours of Amaranthaceae Plants
by Elisabeth H. Koschier, Lena Dittmann and Bernhard Spangl
Insects 2024, 15(4), 297; https://doi.org/10.3390/insects15040297 - 22 Apr 2024
Cited by 1 | Viewed by 1816
Abstract
Understanding the stimuli used by insect pests to find their food plants can be a first step towards manipulating their behaviour and, thus, controlling them. We investigated the responses of the sugar beet weevil Asproparthenis punctiventris (Coleoptera: Curculionidae) to the volatile leaf odours [...] Read more.
Understanding the stimuli used by insect pests to find their food plants can be a first step towards manipulating their behaviour and, thus, controlling them. We investigated the responses of the sugar beet weevil Asproparthenis punctiventris (Coleoptera: Curculionidae) to the volatile leaf odours of its food plants, including Beta vulgaris subsp. vulgaris (Altissima and Cicla groups), Atriplex hortensis, Chenopodium album, and Amaranthus retroflexus, in a four-arm olfactometer. A bioassay procedure was developed, and the frequency of visits and time spent by adult weevils in the quadrant of the olfactometer with leaf volatiles was recorded, as was their first choice of quadrant. Females and males were equally attracted to the leaf odours of young B. vulgaris subsp. vulgaris plants, i.e., sugar beet and chard, as indicated by the overall picture of the behavioural parameters analysed. Males, but not females, responded positively to the leaf odour of the garden orache (A. hortensis), and no response was observed when the weevils were tested with the leaf odours of fat hen (C. album) or common amaranth (A. retroflexus). These results suggest that A. punctiventris uses leaf odours to locate sugar beet and other food plants. Knowledge of the olfactory responses of this pest can provide a basis for improved monitoring or mass trapping strategies. Full article
(This article belongs to the Section Insect Pest and Vector Management)
Show Figures

Figure 1

19 pages, 2507 KB  
Article
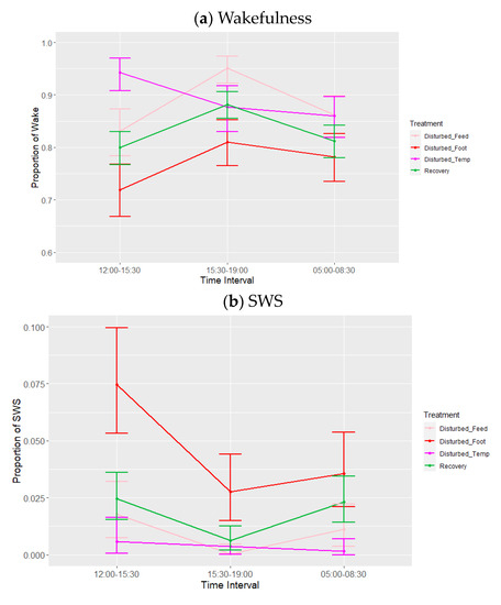
The Effects of Commercially-Relevant Disturbances on Sleep Behaviour in Laying Hens
by Endre Putyora, Sarah Brocklehurst and Victoria Sandilands
Animals 2023, 13(19), 3105; https://doi.org/10.3390/ani13193105 - 5 Oct 2023
Cited by 2 | Viewed by 2007
Abstract
Ensuring the welfare of commercially kept animals is a legal and ethical responsibility. Sleep behaviour can be sensitive to environmental perturbations and may be useful in assessing welfare state. The objective of this study was to use behavioural and electrophysiological (EEG) measures to [...] Read more.
Ensuring the welfare of commercially kept animals is a legal and ethical responsibility. Sleep behaviour can be sensitive to environmental perturbations and may be useful in assessing welfare state. The objective of this study was to use behavioural and electrophysiological (EEG) measures to observe the effects of 24 h stressors followed by periods of no stressors on laying hen sleep behaviour, and to investigate the use of sleep behaviour as a means of welfare assessment in commercial poultry. Ten laying hens surgically implanted with EEG devices to record their brain activity over four batches were used. Hens were subjected to undisturbed, disturbed and recovery periods for 24 h. Disturbed periods consisted of either feed deprivation, increased ambient temperature (28 °C) or simulated footpad pain via injection of Freund’s adjuvant into the footpad. Sleep state was scored using behaviour data from infrared cameras and EEG data. Over all periods, hens engaged in both SWS (average 60%) and REM sleep (average 12%) during the lights-off period. Feed deprivation and footpad pain had little to no effect on sleep states, while increased ambient temperature significantly reduced REM sleep (to near elimination, p < 0.001) and SWS (p = 0.017). During the lights-on period, footpad pain increased the proportion of time spent resting (p = 0.008) and in SWS (p < 0.001), with feed deprivation or increased ambient temperature (p > 0.05) having no effect. Increasing ambient temperatures are likely to affect sleep and welfare in commercially-kept laying hens in the face of global climate change. Full article
(This article belongs to the Section Poultry)
Show Figures

Figure 1

11 pages, 275 KB  
Article
Effect of Genotype and Sex on Chemical Composition, Physicochemical Properties, Texture and Microstructure of Spent Broiler Breeder Meat
by Marcin Wegner, Dariusz Kokoszyński, Joanna Żochowska-Kujawska and Marek Kotowicz
Agriculture 2023, 13(9), 1848; https://doi.org/10.3390/agriculture13091848 - 21 Sep 2023
Cited by 12 | Viewed by 2501
Abstract
The aim of this research is to compare the carcass composition and meat quality characteristics of spent Cobb 500 and Ross 308 broiler breeders. A total of 28 carcasses were evaluated—7 female and 7 male carcasses from each genotype. Dissection was performed, and [...] Read more.
The aim of this research is to compare the carcass composition and meat quality characteristics of spent Cobb 500 and Ross 308 broiler breeders. A total of 28 carcasses were evaluated—7 female and 7 male carcasses from each genotype. Dissection was performed, and the percentages of neck, wings, skin with subcutaneous fat, abdominal fat, residual components, breast and leg muscles were calculated relative to the eviscerated carcass weight. The breast and leg muscles were evaluated for their chemical composition, color attributes (Lab), acidity (pH24), and electrical conductivity (EC24). Analysis of the structure and texture of the pectoralis major muscle was performed. The genotype of the birds had an impact on the eviscerated carcass weight, percentage of skin with subcutaneous fat, leg muscles, wings, and neck. Broiler breeder genotypes differed in terms of the chemical composition of the breast and leg muscles, except for the water content in the breast muscle and the collagen content in both the breast and leg muscles. The breast muscles of Cobb 500 exhibited lower cooking loss, pH24, redness, and yellowness, while the leg muscles of Ross 308 had lower EC24 but higher cooking loss and lightness values. The pectoralis major muscle of Cobb 500 was firmer and more tender, with a smaller cross-sectional area of the muscle fiber and a smaller vertical (V) diameter of the muscle fiber. Males were characterized by a greater carcass weight and a higher percentage of leg muscles, neck, and carcass remains. On the other hand, females had a higher percentage of breast muscles, skin with subcutaneous fat, and abdominal fat. The sex of the birds affected the chemical composition of the breast and leg muscles, with the exception of the water content in the breast muscles and collagen content in the breast and leg muscles. The breast muscles of females were characterized by higher values of yellowness, although they also exhibited lower pH and cooking loss. In terms of texture analysis of the pectoralis major muscle, the meat of females was characterized by higher tenderness and firmness. However, the analysis of the structure showed that males had a thicker perimysium and endomysium. Regardless of broiler origin and sex, significant differences were found between the breast and leg muscles in terms of the assessed physicochemical features (pH24, EC24, cooking loss), color attributes (Lab) and chemical composition (protein, intramuscular fat, and collagen contents). Genotype and sex interactions were significant for the chemical composition of the breast muscles (protein, fat, collagen) and leg muscles (fat), as well as for the yellow color saturation of the breast muscles and springiness of the pectoralis major muscle. The study produced results that showed the meat and carcasses of spent hens and roosters to be suitable for processing due to their favorable chemical composition, high nutritional value and good technological properties, as assessed based on the results of meat texture and structure. Full article
(This article belongs to the Section Agricultural Product Quality and Safety)
16 pages, 2184 KB  
Article
The Circular Economy Potential of Spent Hens’ Co-Products and By-Products in Italy by Material Flow Analysis
by Vera Amicarelli, Paola Geatti and Christian Bux
Environments 2023, 10(8), 137; https://doi.org/10.3390/environments10080137 - 2 Aug 2023
Cited by 3 | Viewed by 5137
Abstract
Eggs represent one of the most consumed animal products worldwide. In Europe, over 366 million laying hens and 6.1 Mt of derived eggs have been estimated in 2020, and Italy represents the fourth largest producer (41 million hens and 0.79 Mt of eggs). [...] Read more.
Eggs represent one of the most consumed animal products worldwide. In Europe, over 366 million laying hens and 6.1 Mt of derived eggs have been estimated in 2020, and Italy represents the fourth largest producer (41 million hens and 0.79 Mt of eggs). Egg production has been identified as relatively environmental-friendly, but several environmental concerns have been recently raised considering the inefficient spent hens’ management. Spent hens are generally euthanized and composted or incinerated, producing greenhouse gases while at the same time significant nutrients are lost. First, the research reviews the egg supply chain characteristics and the alternative spent hens’ valorization pathways. Then, using the material flow analysis, the research quantifies and qualifies the consistencies of laying hens and protein content included in spent hens across Italy, providing a comprehensive assessment of the national scenario under an environmental and circular perspective. Furthermore, the research develops an inventory of the spent hens’ co-products and by-products in Italy, focusing on the flows of proteins for further environmental studies. The research has highlighted that over 13,948 t of proteins could be extracted, distinguishing between those embedded within offal, feathers and blood. In addition, spent hens can be used for human consumption, as well as for material or energy recovery through anaerobic digestion or microbial fermentation. Results are addressed to farmers, who are required to boost their environmental performances, and public authorities, who must implement sustainable strategies to collect spent hens. Full article
(This article belongs to the Special Issue Deployment of Green Technologies for Sustainable Environment II)
Show Figures

Figure 1

18 pages, 3163 KB  
Article
Effects of Extraction Methods on the Characteristics, Physicochemical Properties and Sensory Quality of Collagen from Spent-Hens Bones
by Changwei Cao, Hailang Wang, Jinyan Zhang, Huan Kan, Yun Liu, Lei Guo, Huiquan Tong, Yinglong Wu and Changrong Ge
Foods 2023, 12(1), 202; https://doi.org/10.3390/foods12010202 - 3 Jan 2023
Cited by 23 | Viewed by 6342
Abstract
The present study used acetic acid, sodium hydroxide, and pepsin extract acid-soluble collagen (ASC), alkali-soluble collagen (ALSC), and pepsin-soluble collagen (PSC) from the bones of spent-hens, and the effects of three extraction methods on the characteristics, processing properties, antioxidant properties and acceptability of [...] Read more.
The present study used acetic acid, sodium hydroxide, and pepsin extract acid-soluble collagen (ASC), alkali-soluble collagen (ALSC), and pepsin-soluble collagen (PSC) from the bones of spent-hens, and the effects of three extraction methods on the characteristics, processing properties, antioxidant properties and acceptability of chicken bone collagen were compared. The results showed that the extraction rates of ASC, ALSC and PSC extracted from bones of spent-hens were 3.39%, 2.42% and 9.63%, respectively. The analysis of the amino acid composition, sodium dodecyl sulfate polyacrylamide gel electrophoresis (SDS-PAGE), Fourier transform infrared spectroscopy (FTIR), and ultraviolet full spectrum showed that the collagen extracted by the three methods had typical collagen characteristics and stable triple-helix structure, but the triple helical structure of PSC is more stable, and acid and alkaline extraction seems to have adverse effects on the secondary structure of chicken bone collagen. Differential scanning calorimetry (DSC) and scanning electron microscopy (SEM) scanning showed that PSC had higher thermal stability and more regular, loose, and porous microstructure. In addition, PSC has good processing properties, in vitro antioxidant activity, and organoleptic acceptability. Therefore, enzymatic hydrolysis was still one of the best methods to prepare collagen from bones of spent-hens, and enzyme-soluble collagen has wider application prospects in functional food and medicine and also provides an effective way for the high-value comprehensive utilization of waste chicken bone by-products. Full article
Show Figures

Figure 1

13 pages, 2591 KB  
Article
Effects of Body-Mounted Inertial Measurement Unit (IMU) Backpacks on Space Use and Behaviors of Laying Hens in a Perchery System
by Luwei Nie, Qian Hu, Qin Tong, Chao Liang, Baoming Li, Mingxia Han, Yuling You, Xingyan Yue, Xiao Yang and Chaoyuan Wang
Agriculture 2022, 12(11), 1898; https://doi.org/10.3390/agriculture12111898 - 11 Nov 2022
Cited by 3 | Viewed by 2614
Abstract
Body-mounted sensors have significantly enhanced our understanding of individual animals through location tracking, behavior monitoring, and activity determination. However, attaching sensors may alter the behavior of the tested animals, which would, potentially, invalidate the collected data. The objective of this study was to [...] Read more.
Body-mounted sensors have significantly enhanced our understanding of individual animals through location tracking, behavior monitoring, and activity determination. However, attaching sensors may alter the behavior of the tested animals, which would, potentially, invalidate the collected data. The objective of this study was to evaluate the effects of wearable backpacks on space use (feeder, nest box, and perch) and behaviors (aggressive, comfort, and locomotion behaviors) of laying hens in a perchery system. Nineteen laying hens were reared for 21 days, and each was fitted with a lightweight inertial measurement unit (IMU) backpack on day 0. Instantaneous scan samples were adopted to record the number of laying hens, using each space at a 5-min interval over the 16 h lights-on period at −6 d to −1 d, 1 d to 4 d, and 10 d to 15 d. Six hens were randomly selected for observation of behaviors during six 20-min periods at −5 d to −3 d, and 13 d to 15 d. Feeder use reduced at 1 d to 4 d, 11 d, and 13 d to 15 d, and nest box use reduced at 1 d, 3 d, and 10 d to 12 d, while it increased on 15 d. Hens perched more often at 1 d to 4 d and 10 d to 14 d. Space use was affected by wearing a backpack in the first few days after installation. As hens gradually accustomed to the devices, the effects on feeder, nest box, and perch use disappeared at 10 d, 13 d and 15 d, respectively. The diurnal pattern of hens using the nest box largely returned to the state before being backpacked, and there were slight recoveries in the use of feeder and perch use during the 15-day trial period. There was no observed difference in the amount of pecking, preening bouts, aerial ascent/descent, or the time spent on preening and walking at −5 d to −3 d and 13 d to 15 d. No differences were found in body weight and plumage condition score between 0 d and 16 d. The results demonstrated that the IMU backpack only had marginal and non-lasting effects on space use and behaviors of laying hens, and it seems suitable for further behavioral research after short-term acclimation. However, when the diurnal pattern serves as the variable of interest, researchers need to re-evaluate the effect of the device on birds, rather than implying there is no effect. Full article
Show Figures

Figure 1

17 pages, 10603 KB  
Article
Improving the Structural Changes, Electrophoretic Pattern, and Quality Attributes of Spent Hen Meat Patties by Using Kiwi and Pineapple Extracts
by Heba H. S. Abdel-Naeem, Amal G. Abdelrahman, Kálmán Imre, Adriana Morar, Viorel Herman and Nabil A. Yassien
Foods 2022, 11(21), 3430; https://doi.org/10.3390/foods11213430 - 29 Oct 2022
Cited by 6 | Viewed by 3873
Abstract
Spent broiler hen meat is sold at a lower price, owing to its poor texture and lower acceptability, in comparison with broiler meat. The tenderization of spent hen meat using kiwi and pineapple extracts will encourage meat processors to use this less expensive [...] Read more.
Spent broiler hen meat is sold at a lower price, owing to its poor texture and lower acceptability, in comparison with broiler meat. The tenderization of spent hen meat using kiwi and pineapple extracts will encourage meat processors to use this less expensive meat as a new source of raw materials for the production of different chicken meat-derived products, particularly when solving the problem associated with a great shortage of raw chicken meat materials. Therefore, the present study was undertaken to investigate the effect of kiwi extracts (5 and 7%), pineapple extracts (5 and 7%), and a combination between the two (5% kiwi and 5% pineapple) on the structural changes, electrophoretic pattern, and quality attributes of spent hen meat patties. The results demonstrated that all extract-treated meat patties exhibited a significant decrease in collagen content and shear force value, a significant increase in collagen solubility percentage, and significant improvements to all sensory attributes, in contrast to their counterpart control samples. Additionally, a non-significant change in lightness and yellowness values and a significant increase in redness value were observed in all extract-treated specimens. Moreover, the treatment of spent hen meat patties with kiwi and pineapple extracts resulted in marked degenerative changes of the muscle fiber and connective tissue, as well as a decrease in protein bands, with subsequent enhancement in tenderness. The effect was more highlighted in specimens treated with pineapple extracts (7%) and with kiwi (5%) and pineapple extracts mixture (5%). Full article
(This article belongs to the Special Issue Sensory and Quality Assessments of Foods of Animal Origin)
Show Figures

Figure 1

16 pages, 5309 KB  
Article
Examination of Nesting Behavior of Laying Hens of Different Genotypes Housed in Indoor Alternative Pens Using a Video System
by Tamás Péter Farkas, Sándor Szász, Attila Orbán, Dávid Mezőszentgyörgyi, Lilla Pető and Zoltán Sütő
Appl. Sci. 2022, 12(18), 9093; https://doi.org/10.3390/app12189093 - 9 Sep 2022
Cited by 3 | Viewed by 2998
Abstract
The aim of the research was to examine how the nest selection preference of laying hens with different genotypes differed, the proportion of eggs laid in the litter, eggs laid in the upper and bottom nests, and the number and duration of nest [...] Read more.
The aim of the research was to examine how the nest selection preference of laying hens with different genotypes differed, the proportion of eggs laid in the litter, eggs laid in the upper and bottom nests, and the number and duration of nest visits. The experiment was conducted with laying hen genotypes provided by Bábolna TETRA Ltd. (Babolna, Hungary) (Commercial hybrid (C); pure-line maternal (Maternal); pure-line paternal offspring group (Paternal)). N = 318; n = 106 hen/genotype; and 53 hens/pen. We placed 53 19-week-old, non-beak-trimmed hens in each of the six 5.52 m2 alternative pens. We provided 14 nests for the hens at two levels per pen (3.8 hens/nest). We recorded the number of eggs laid in the nests on the bottom and upper levels, as well as within the litter. Infrared cameras were installed above the pens, and we conducted recordings on a test day at the beginning of the third production month. In our results, we found a significant difference in the proportion of litter eggs overall during the 12 months of production (C. hybrid: 30.7%; Paternal: 41.1%; Maternal: 10.2%). A significant difference was found between all genotypes in the proportions of eggs laid at the bottom (B) and upper (U) level during the 12 months of production (C. hybrid: B: 72.2%, U: 27.8%; Paternal: B: 88.0%, U: 12.0%; Maternal: B: 71.4%, U: 28.6%). The evaluation of the video recordings revealed that the C. hybrid and Paternal genotypes visited the bottom nests in 97.2% and 96.0% of the cases, respectively, and the Maternal genotype individuals in a significantly lower proportion, 72.5% of the cases; the Paternal genotype spent significantly more time (13.4 min) on average in the bottom nests compared with the C. hybrid (7.9 min) and the Maternal genotypes (8.6 min). Our conclusion is that it is not enough to ensure the desired ratio of egg nests in egg production, as laying hens may not use nests in certain positions at all. This generates a relative shortage of egg nests and can increase the ratio of eggs laid in the litter, which in turn involves human health risks. Full article
(This article belongs to the Special Issue Animal Behavior in Intensive Culture Environment)
Show Figures

Figure 1

Back to TopTop