Sign in to use this feature.

Years

Between: -

Subjects

remove_circle_outline
remove_circle_outline
remove_circle_outline
remove_circle_outline
remove_circle_outline
remove_circle_outline

Journals

Article Types

Countries / Regions

Search Results (11)

Search Parameters:
Keywords = solifluction

Order results
Result details
Results per page
Select all
Export citation of selected articles as:
35 pages, 13854 KB  
Article
Middle Paleolithic Neanderthal Open-Air Camp and Hyena Den Westeregeln (D)—Competition for Prey in a Mammoth Steppe Environment of Northern Germany (Central Europe)
by Cajus G. Diedrich
Quaternary 2025, 8(4), 52; https://doi.org/10.3390/quat8040052 - 24 Sep 2025
Viewed by 39
Abstract
A gypsum karst sinkhole at Westeregeln (north-central Germany) was filled during the Late Pleistocene, first by fluvial flooding, then by solifluctation, and finally with wind-transported loess. Pleistocene mollusks and bones of snakes, birds, micro- and macromammals, and hyena coprolites were accumulated, often mixed [...] Read more.
A gypsum karst sinkhole at Westeregeln (north-central Germany) was filled during the Late Pleistocene, first by fluvial flooding, then by solifluctation, and finally with wind-transported loess. Pleistocene mollusks and bones of snakes, birds, micro- and macromammals, and hyena coprolites were accumulated, often mixed in gravel or sand layers with Middle Paleolithic artifacts, whereas ice wedges reach deep into the sinkhole. The high amount of small flint debris prove on-site tool production by using 99% local Saalian transported brownish-to-dark Upper Cretaceous flint, which could have been collected from the Bode River gravels near-site. Only a single quartzite and one jasper flake prove other local gravel sources or importation. A large bifacial flaked knife of layer 4 dates to the early/middle Weichselian/Wuermian (MIS 5-4), similar to two triangular handaxes in the MTA tradition and an absolutely dated woolly rhinoceros bone (50,310 + 1580/−1320 BP). A cold period of Late Pleistocene glacial mammoth steppe megafauna is represented, but the material is mostly strongly fragmented and smashed by humans. Neanderthal camp use on the gypsum hill is indicated also by small charcoal pieces, burned bone fragments, and fire-dehydrated flint fragments. Crocuta crocuta spelaea (Goldfuss) hyenas are well known from Westeregeln, with an open-air commuting den site, which was marked with feces. Full article
Show Figures

Figure 1

21 pages, 10407 KB  
Article
Detecting the Occurrence and Explaining the Origin of Lithologic Discontinuities in Low-Mountain Soils: An Example from the Carpathians, Southern Poland
by Andrzej Kacprzak and Marek Kasprzak
Geosciences 2025, 15(8), 326; https://doi.org/10.3390/geosciences15080326 - 20 Aug 2025
Viewed by 542
Abstract
This study investigates the internal structure and lithologic variability of slope deposits in a small catchment in the Polish Outer Carpathians using pedological methods supported by geochemical analyses and Electrical Resistivity Tomography (ERT). It addresses the occurrence of lithologic discontinuities in the soils [...] Read more.
This study investigates the internal structure and lithologic variability of slope deposits in a small catchment in the Polish Outer Carpathians using pedological methods supported by geochemical analyses and Electrical Resistivity Tomography (ERT). It addresses the occurrence of lithologic discontinuities in the soils of flysch-dominated mountain areas. Diagnostic criteria from the WRB system—based on particle-size distribution and the content and lithology of coarse fragments—were applied to identify lithologic discontinuities, complemented by computation of sand and silt separates on a clay-free basis. Geochemical analyses and ERT were then used to assess their likely origin. Three major vertical sections were distinguished, separated by discontinuities: an uppermost unit consisting of aeolian material mixed with solifluctional deposits; a middle unit dominated by solifluctional materials; and a lowermost unit composed of colluvial deposits. The study confirms the utility of ERT in detecting subsurface differentiation of stratified slope sediments and provides a model for interpreting pedosedimentary sequences in Carpathian low-mountain environments. Full article
Show Figures

Figure 1

23 pages, 4661 KB  
Article
Evaluation of Moraine Sediment Dam Stability Under Permafrost Thawing in Glacial Environments: A Case Study of Gurudongmar Lake, Sikkim Himalayas
by Anil Kumar Misra, Amit Srivastava, Kuldeep Dutta, Soumya Shukla, Rakesh Kumar Ranjan and Nishchal Wanjari
Appl. Sci. 2025, 15(11), 5892; https://doi.org/10.3390/app15115892 - 23 May 2025
Viewed by 951
Abstract
This study assesses the risks of glacial lake outburst floods (GLOFs) from moraine sediment dams around Gurudongmar Lake in the Northern Sikkim Himalayas at an elevation of 17,800 feet. It focuses on three moraine sediment dams, analysing the implications of slope failure on [...] Read more.
This study assesses the risks of glacial lake outburst floods (GLOFs) from moraine sediment dams around Gurudongmar Lake in the Northern Sikkim Himalayas at an elevation of 17,800 feet. It focuses on three moraine sediment dams, analysing the implications of slope failure on the upstream side and the downstream stability under steady seepage conditions, as well as the risks posed by permafrost thawing. Using a comprehensive methodology that includes geotechnical evaluations, remote sensing, and digital elevation models (DEMs), the research employs finite element analysis via PLAXIS2D for the stability assessment. The main findings indicate a stratification of sediment types: the upper layers are loose silty sand, while the lower layers are dense silty sand, with significant variations in shear strength, permeability, and other geotechnical properties. Observations of solifluctions suggest that current permafrost conditions enhance the dams’ stability and reduce seepage. However, temperature trends show a warming climate, with the average days below 0 °C decreasing from 314 (2004–2013) to 305 (2014–2023), indicating potential permafrost thawing. This thawing could increase seepage and destabilise the dams, raising the risk of GLOFs. Numerical simulations reveal that scenarios involving water level rises of 5 and 10 m could lead to significant deformation and reduced safety factors on both the upstream lateral dams and downstream front dams. The study emphasises the urgent need for ongoing monitoring and risk assessment to address the potential hazards associated with GLOFs. Full article
(This article belongs to the Special Issue Soil-Structure Interaction in Structural and Geotechnical Engineering)
Show Figures

Figure 1

17 pages, 26389 KB  
Article
Surface Displacement of Hurd Rock Glacier from 1956 to 2019 from Historical Aerial Frames and Satellite Imagery (Livingston Island, Antarctic Peninsula)
by Gonçalo Prates and Gonçalo Vieira
Remote Sens. 2023, 15(14), 3685; https://doi.org/10.3390/rs15143685 - 24 Jul 2023
Cited by 3 | Viewed by 1881
Abstract
In the second half of the 20th century, the western Antarctic Peninsula recorded the highest mean annual air temperature rise in the Antarctic. The South Shetland Islands are located about 100 km northwest of the Antarctic Peninsula. The mean annual air temperature at [...] Read more.
In the second half of the 20th century, the western Antarctic Peninsula recorded the highest mean annual air temperature rise in the Antarctic. The South Shetland Islands are located about 100 km northwest of the Antarctic Peninsula. The mean annual air temperature at sea level in this Maritime Antarctic region is close to −2 °C and, therefore, very sensitive to permafrost degradation following atmospheric warming. Among geomorphological indicators of permafrost are rock glaciers found below steep slopes as a consequence of permafrost creep, but with surficial movement also generated by solifluction and shallow landslides of rock debris and finer sediments. Rock glacier surface velocity is a new essential climate variable parameter by the Global Climate Observing System, and its historical analysis allows insight into past permafrost behavior. Recovery of 1950s aerial image stereo-pairs and structure-from-motion processing, together with the analysis of QuickBird 2007 and Pleiades 2019 high-resolution satellite imagery, allowed inferring displacements of the Hurd rock glacier using compression ridge-and-furrow morphology analysis over 60 years. Displacements measured on the rock glacier surface from 1956 until 2019 were from 7.5 m to 22.5 m and surface velocity of 12 cm/year to 36 cm/year, measured on orthographic images, with combined deviation root-mean-square of 2.5 m and 2.4 m in easting and northing. The inferred surface velocity also provides a baseline reference to assess today’s displacements. The results show patterns of the Hurd rock glacier displacement velocity, which are analogous to those reported within the last decade, without being possible to assess any displacement acceleration. Full article
(This article belongs to the Special Issue Remote Sensing of Cryosphere and Related Processes)
Show Figures

Graphical abstract

31 pages, 11680 KB  
Article
A Spatially Detailed Projection of Environmental Conditions in the Arctic Initiated by Climate Change
by Alexander Kislov, Ali Alyautdinov, Alisa Baranskaya, Nataliya Belova, Daria Bogatova, Marina Vikulina, Irina Zheleznova and Galina Surkova
Atmosphere 2023, 14(6), 1003; https://doi.org/10.3390/atmos14061003 - 9 Jun 2023
Cited by 9 | Viewed by 2125
Abstract
The environmental conditions of the Arctic are vulnerable to the effects of climate change. We focus on the territory of the Yamalo-Nenets Autonomous Okrug (YaNAO). The objective of this study is to project mid-21st century climate-driven changes in the state of climate and [...] Read more.
The environmental conditions of the Arctic are vulnerable to the effects of climate change. We focus on the territory of the Yamalo-Nenets Autonomous Okrug (YaNAO). The objective of this study is to project mid-21st century climate-driven changes in the state of climate and the natural environment in the YaNAO. For this purpose, the CMIP6 data models with the climate change scenario SSP5-8.5 were used. Climate change directly affects the statistics of extreme events and climatically driven phenomena, such as frosts and thaws, as well as avalanches and slush flows. Climate change causes changes in the Arctic environment, primarily due to permafrost degradation, leading to important modifications in events such as mudflows, cryogenic landslides, abrasion, erosion, suffusion, frost heave, solifluction, thermokarst, and others. In some cases, the intensity and area of these processes increase, such as heaving processes and thermokarst becoming more active by 2050. In other cases, the solifluction processes decrease in the south part of the YaNAO due to the discontinuous or sporadic permafrost distribution. Projected climatic changes will inevitably lead to the restructuring of the geosystems in YaNAO, creating risks for infrastructure in economically active territories. Full article
(This article belongs to the Special Issue Arctic Weather and Climate Change)
Show Figures

Figure 1

27 pages, 12202 KB  
Article
Daily High-Resolution Land Surface Freeze/Thaw Detection Using Sentinel-1 and AMSR2 Data
by Jian Wang, Lingmei Jiang, Kimmo Rautiainen, Cheng Zhang, Zhiqiang Xiao, Heng Li, Jianwei Yang and Huizhen Cui
Remote Sens. 2022, 14(12), 2854; https://doi.org/10.3390/rs14122854 - 14 Jun 2022
Cited by 4 | Viewed by 2908
Abstract
High-resolution surface freeze/thaw (F/T) information is valuable for hydrological, frost creep and gelifluction/solifluction, and climate prediction studies. Currently, large-scale, high-resolution F/T detection is restricted by low spatial resolution of passive microwave remote sensing sensors or low temporal resolution of synthetic aperture radar (SAR) [...] Read more.
High-resolution surface freeze/thaw (F/T) information is valuable for hydrological, frost creep and gelifluction/solifluction, and climate prediction studies. Currently, large-scale, high-resolution F/T detection is restricted by low spatial resolution of passive microwave remote sensing sensors or low temporal resolution of synthetic aperture radar (SAR) data. In this study, we propose a new method for detecting daily land surface F/T state at 1 km spatial resolution by combining the Sentinel-1 radar and the Advanced Microwave Scanning Radiometer 2 (AMSR2) with leaf area index (LAI) data. A non-linear relationship is established between the 1 km F/T index from Sentinel-1 with 1 km F/T index from AMSR2 (FTI) and 1 km LAI data. The 1 km FTI is a disaggregation of the 25 km FTI obtained from AMSR2. This non-linear relationship is then applied to daily 1 km FTI and LAI data to predict the 1 km daily F/T index, based on which the F/T status is detected with grid-cell-based F/T thresholds. The overall accuracy of this daily 1 km F/T is more than 88.1% when evaluated with the in situ 5 cm soil temperature over China and Canada. This study is valuable for detecting daily, high-resolution F/T status and is helpful for studies related to disaster and climate prediction. Full article
Show Figures

Figure 1

18 pages, 4754 KB  
Article
Leaf Traits and Water-Use Characteristics of Impatiens hainanensis, a Limestone-Endemic Plant under Different Altitudes in Dry and Foggy Seasons
by Weixia Huang, Yunfang Zhong, Cuili Zhang, Mingxun Ren, Yanjun Du and Xiqiang Song
Water 2022, 14(2), 139; https://doi.org/10.3390/w14020139 - 6 Jan 2022
Cited by 6 | Viewed by 2536
Abstract
The southwestern mountains of Hainan Island are distributed in the southernmost tropical karst landscape of China, and the unique hydrological structure and frequent solifluction droughts lead to double water stress for local plants. Highly heterogeneous water environments affect the water–use characteristics of plants. [...] Read more.
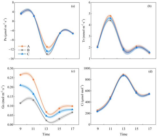
The southwestern mountains of Hainan Island are distributed in the southernmost tropical karst landscape of China, and the unique hydrological structure and frequent solifluction droughts lead to double water stress for local plants. Highly heterogeneous water environments affect the water–use characteristics of plants. Plants develop local adaptative mechanisms in response to changes in the external environment. In this paper, hydrogen–oxygen and carbon stable isotope technology, and physiological index measurements were applied to determine the leaf traits, water–use efficiency, and photosynthetic characteristics of Impatiens hainanensis leaves in dry and foggy seasons, hoping to expound the adaptation mechanism of I. hainanensis leaves to the water dynamics in dry and foggy seasons. In dry and foggy seasons (November 2018 to April 2019), the leaves of I. hainanensis at low and medium altitudes have the following combination of traits: larger leaf dry weights, leaf areas, and specific leaf areas; smaller leaf thicknesses and leaf dry matter contents; and higher chlorophyll contents. In comparison, the leaves of I. hainanensis at high altitudes have the following combination of traits: smaller leaf dry weights, leaf areas, and specific leaf areas; larger leaf thicknesses and leaf dry matter contents; and lower chlorophyll contents. The leaves of I. hainanensis can absorb fog water through their leaves. When the leaves are sprayed with distilled water, the water potential is low, the water potential value gradually increases, and the leaves have a higher rate of water absorption. The leaves of I. hainanensis at low and medium altitudes have the following water–use characteristics: high photosynthesis, high transpiration, and low water–use efficiency. At high altitudes, the Pn of I. hainanensis decreases by 8.43% relative to at low altitudes and by 7.84% relative to at middle altitudes; the Tr decreased by 4.21% relative to at low altitudes and by 3.38% relative to at middle altitude; the WUE increased by 16.61% relative to at low altitudes and increased by 40.79% relative to at middle altitudes. The leaves of I. hainanensis at high altitudes have the following water–use characteristics: low photosynthesis, low transpiration, and high water–use efficiency. I. hainanensis develop different physiological mechanisms of water adaptation by weighing the traits of the leaves and their use of light and water to obtain resources during dry and foggy seasons. Full article
(This article belongs to the Section Ecohydrology)
Show Figures

Figure 1

32 pages, 33143 KB  
Article
Long-Term Evolution and Monitoring at High Temporal Resolution of a Rapidly Retreating Cliff in a Cold Temperate Climate Affected by Cryogenic Processes, North Shore of the St. Lawrence Gulf, Quebec (Canada)
by Pascal Bernatchez, Geneviève Boucher-Brossard, Maude Corriveau, Charles Caulet and Robert L. Barnett
J. Mar. Sci. Eng. 2021, 9(12), 1418; https://doi.org/10.3390/jmse9121418 - 12 Dec 2021
Cited by 4 | Viewed by 3948
Abstract
This article focuses on the quantification of retreat rates, geomorphological processes, and hydroclimatic and environmental drivers responsible for the erosion of an unconsolidated fine-sediment cliff along the north shore of the Gulf of St. Lawrence (Quebec, Canada). Annual monitoring using field markers over [...] Read more.
This article focuses on the quantification of retreat rates, geomorphological processes, and hydroclimatic and environmental drivers responsible for the erosion of an unconsolidated fine-sediment cliff along the north shore of the Gulf of St. Lawrence (Quebec, Canada). Annual monitoring using field markers over a period of twenty years, coupled with photo interpretation and historical archive analysis, indicates an average annual erosion rate of 2.2 m per year between 1948 and 2017. An acceleration in retreat occurred during the last 70 years, leading to a maximum between 1997 and 2017 (3.4 m per year) and 2000–2020 (3.3 m per year). Daily observations based on six monitoring cameras installed along the cliff between 2008 and 2012 allowed the identification of mechanisms and geomorphological processes responsible for cliff retreat. Data analysis reveals seasonal activity peaks during winter and spring, which account for 75% of total erosional events. On an annual basis, cryogenic processes represent 68% of the erosion events observed and subaerial and hydrogeological processes account for 73%. Small-scale processes, such as gelifraction, solifluction, suffosion, debris collapse, and thermoabrasion, as well as mass movement events, such as slides and mudflows, induced rapid cliff retreat. Lithostratigraphy and cliff height exert an important control on erosion rates and retreat modes, which are described by three main drivers (hydrogeologic, cryogenic, and hydrodynamic processes). Critical conditions promoting high erosion rates include the absence of an ice-foot in winter, the absence of snow cover on the cliff face allowing unrestricted solar radiation, the repetition of winter warm spells, snow melting and sediment thawing, and high rainfall conditions (>30 mm or SPI > 2). The relationships between hydroclimatic forcing and retreat rates are difficult to establish without taking into account the quantification of the geomorphological processes involved. The absence of quantitative data on the relative contribution of geomorphological processes can constitute a major obstacle in modeling the retreat of cliffs with regard to climate change. Full article
(This article belongs to the Special Issue Coastal Hazards Assessment in Cold Regions)
Show Figures

Figure 1

24 pages, 14419 KB  
Article
Increasing Spatio-Temporal Resolution for Monitoring Alpine Solifluction Using Terrestrial Laser Scanners and 3D Vector Fields
by Christoph Holst, Jannik Janßen, Berit Schmitz, Martin Blome, Malte Dercks, Anna Schoch-Baumann, Jan Blöthe, Lothar Schrott, Heiner Kuhlmann and Tomislav Medic
Remote Sens. 2021, 13(6), 1192; https://doi.org/10.3390/rs13061192 - 20 Mar 2021
Cited by 21 | Viewed by 4026
Abstract
This article investigates the usage of terrestrial laser scanner (TLS) point clouds for monitoring the gradual movements of soil masses due to freeze–thaw activity and water saturation, commonly referred to as solifluction. Solifluction is a geomorphic process which is characteristic for hillslopes in [...] Read more.
This article investigates the usage of terrestrial laser scanner (TLS) point clouds for monitoring the gradual movements of soil masses due to freeze–thaw activity and water saturation, commonly referred to as solifluction. Solifluction is a geomorphic process which is characteristic for hillslopes in (high-)mountain areas, primarily alpine periglacial areas and the arctic. The movement can reach millimetre-to-centimetre per year velocities, remaining well below the typical displacement mangitudes of other frequently monitored natural objects, such as landslides and glaciers. Hence, a better understanding of solifluction processes requires increased spatial and temporal resolution with relatively high measurement accuracy. To that end, we developed a workflow for TLS point cloud processing, providing a 3D vector field that can capture soil mass displacement due to solifluction with high fidelity. This is based on the common image-processing techniques of feature detection and tracking. The developed workflow is tested on a study area placed in Hohe Tauern range of the Austrian Alps with a prominent assemblage of solifluction lobes. The derived displacements were compared with the established geomonitoring approach with total station and signalized markers and point cloud deformation monitoring approaches. The comparison indicated that the achieved results were in the same accuracy range as the established methods, with an advantage of notably higher spatial resolution. This improvement allowed for new insights considering the solifluction processes. Full article
Show Figures

Figure 1

24 pages, 12146 KB  
Article
Climate Sensitivity of High Arctic Permafrost Terrain Demonstrated by Widespread Ice-Wedge Thermokarst on Banks Island
by Robert H. Fraser, Steven V. Kokelj, Trevor C. Lantz, Morgan McFarlane-Winchester, Ian Olthof and Denis Lacelle
Remote Sens. 2018, 10(6), 954; https://doi.org/10.3390/rs10060954 - 15 Jun 2018
Cited by 82 | Viewed by 12748
Abstract
Ice-wedge networks underlie polygonal terrain and comprise the most widespread form of massive ground ice in continuous permafrost. Here, we show that climate-driven thaw of hilltop ice-wedge networks is rapidly transforming uplands across Banks Island in the Canadian Arctic Archipelago. Change detection using [...] Read more.
Ice-wedge networks underlie polygonal terrain and comprise the most widespread form of massive ground ice in continuous permafrost. Here, we show that climate-driven thaw of hilltop ice-wedge networks is rapidly transforming uplands across Banks Island in the Canadian Arctic Archipelago. Change detection using high-resolution WorldView images and historical air photos, coupled with 32-year Landsat reflectance trends, indicate broad-scale increases in ponding from ice-wedge thaw on hilltops, which has significantly affected at least 1500 km2 of Banks Island and over 3.5% of the total upland area. Trajectories of change associated with this upland ice-wedge thermokarst include increased micro-relief, development of high-centred polygons, and, in areas of poor drainage, ponding and potential initiation of thaw lakes. Millennia of cooling climate have favoured ice-wedge growth, and an absence of ecosystem disturbance combined with surface denudation by solifluction has produced high Arctic uplands and slopes underlain by ice-wedge networks truncated at the permafrost table. The thin veneer of thermally-conductive mineral soils strongly links Arctic upland active-layer responses to summer warming. For these reasons, widespread and intense ice-wedge thermokarst on Arctic hilltops and slopes contrast more muted responses to warming reported in low and subarctic environments. Increasing field evidence of thermokarst highlights the inherent climate sensitivity of the Arctic permafrost terrain and the need for integrated approaches to monitor change and investigate the cascade of environmental consequences. Full article
(This article belongs to the Special Issue Remote Sensing of Dynamic Permafrost Regions)
Show Figures

Graphical abstract

11 pages, 3396 KB  
Article
The Influence of Cryogenic Mass Exchange on the Composition and Stabilization Rate of Soil Organic Matter in Cryosols of the Kolyma Lowland (North Yakutia, Russia)
by Alexey Lupachev, Evgeny Abakumov and Stanislav Gubin
Geosciences 2017, 7(2), 24; https://doi.org/10.3390/geosciences7020024 - 11 Apr 2017
Cited by 20 | Viewed by 5648
Abstract
Soil organic matter (SOM) was studied in different types of organo-mineral material (from surface horizons and partially isolated materials—cryoturbated or buried horizons) sampled from the surface horizons, the central parts of the Cryosol profiles, and the lower active layer. We found that the [...] Read more.
Soil organic matter (SOM) was studied in different types of organo-mineral material (from surface horizons and partially isolated materials—cryoturbated or buried horizons) sampled from the surface horizons, the central parts of the Cryosol profiles, and the lower active layer. We found that the humic acids (HAs) of the cryoturbated and buried horizons showed an increased degree of oxidation and an increment of alkylaromatic and protonized aromatic fraction content. In contrast, the HAs of the surface horizons showed increased values of alkylic carbon components. The content of free radicals was essentially higher in the surface layers than in the cryoturbated and buried layers. While the bulk soil organic matter composition (total organic carbon, total nitrogen, and aromatic/aliphatic values) was not essentially different between surface, cryoturbated, and buried horizons, there were essential differences in elemental composition, carbon species, and free radical content. This indicates that the degree of humification in cryoturbated and buried organo-mineral material is higher than in surface horizons and that partial isolation results in relative stabilization of such material in soil profiles. Full article
(This article belongs to the Special Issue Cryosphere)
Show Figures

Figure 1

Back to TopTop