Sign in to use this feature.

Years

Between: -

Subjects

remove_circle_outline
remove_circle_outline
remove_circle_outline
remove_circle_outline
remove_circle_outline
remove_circle_outline
remove_circle_outline
remove_circle_outline
remove_circle_outline

Journals

remove_circle_outline
remove_circle_outline
remove_circle_outline
remove_circle_outline
remove_circle_outline
remove_circle_outline
remove_circle_outline
remove_circle_outline
remove_circle_outline
remove_circle_outline
remove_circle_outline
remove_circle_outline
remove_circle_outline
remove_circle_outline
remove_circle_outline
remove_circle_outline

Article Types

Countries / Regions

remove_circle_outline
remove_circle_outline
remove_circle_outline
remove_circle_outline
remove_circle_outline
remove_circle_outline

Search Results (916)

Search Parameters:
Keywords = similarity attack

Order results
Result details
Results per page
Select all
Export citation of selected articles as:
24 pages, 861 KB  
Article
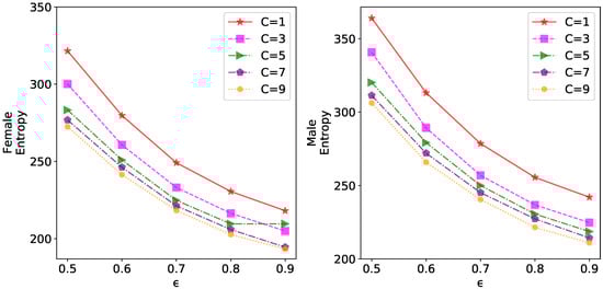
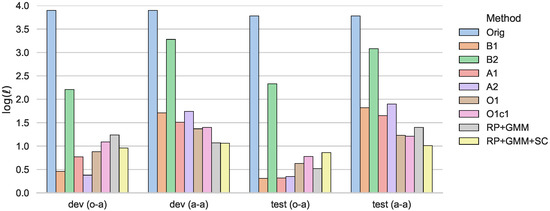
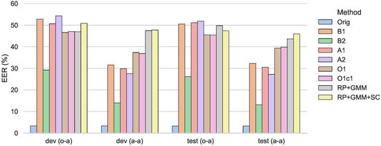
Distinguishability-Driven Voice Generation for Speaker Anonymization via Random Projection and GMM
by Chunxia Wang, Qiuyu Zhang, Yingjie Hu and Huiyi Wei
Big Data Cogn. Comput. 2026, 10(2), 43; https://doi.org/10.3390/bdcc10020043 - 29 Jan 2026
Abstract
Speaker anonymization effectively conceals speaker identity in speech signals to protect privacy. To address issues in existing anonymization systems, including reduced voice distinguishability, limited anonymized voices, reliance on an external speaker pool, and vulnerability to privacy leakage against strong attackers, a novel distinguishability-driven [...] Read more.
Speaker anonymization effectively conceals speaker identity in speech signals to protect privacy. To address issues in existing anonymization systems, including reduced voice distinguishability, limited anonymized voices, reliance on an external speaker pool, and vulnerability to privacy leakage against strong attackers, a novel distinguishability-driven voice generation for speaker anonymization via random projection and the Gaussian Mixture Model (GMM) is proposed. This method first applies the random projection to lower the dimensionality of the X-vectors from an external speaker pool, and then constructs a GMM in the reduced dimensional space to fit the generative model. By sampling from this generative model, anonymous speaker identity representations are generated, ultimately synthesizing anonymized speech that maintains both intelligibility and distinguishability. To ensure the anonymized speech remains sufficiently distinguishable from the original and prevents excessive similarity, a cosine similarity check is implemented between the original X-vector and pseudo-X-vector. Experimental results on the VoicePrivacy Challenge datasets demonstrate that the proposed method not only effectively protects speaker privacy across different attack scenarios but also preserves speech content integrity while significantly enhancing speaker distinguishability between original speakers and their corresponding pseudo-speakers, as well as among different pseudo-speakers. Full article
(This article belongs to the Topic Generative AI and Interdisciplinary Applications)
Show Figures

Figure 1

17 pages, 2681 KB  
Article
Durability of One-Part Alkali-Activated Binder Made with Alternative Sodium Silicate
by Rodrigo H. Geraldo, Jardel P. Gonçalves and Gladis Camarini
Constr. Mater. 2026, 6(1), 8; https://doi.org/10.3390/constrmater6010008 - 28 Jan 2026
Viewed by 28
Abstract
Recent studies have highlighted the potential for production of an alternative sodium silicate in powder obtained by mixing NaOH with rice husk ash, followed by a dissolution and drying process. This alternative sodium silicate, when mixed with metakaolin and dried under special conditions, [...] Read more.
Recent studies have highlighted the potential for production of an alternative sodium silicate in powder obtained by mixing NaOH with rice husk ash, followed by a dissolution and drying process. This alternative sodium silicate, when mixed with metakaolin and dried under special conditions, results in an eco-friendly one-part alkali-activated binder (OPAAB). However, the durability performance of OPAAB incorporating RHA-derived sodium silicate remains largely unexplored. This study focuses on an experimental investigation of OPAAB mortar durability, analyzing permeability, high-temperature exposure, wet-and-dry cycles, and resistance to aggressive environments (sulfate and acid attack). A two-part mix mortar made with the same precursors was used as a reference. It was found that the OPAAB mortars were not affected by the wet-and-dry cycles nor the sulfate attack. Exposure to high temperature (900 °C for 1 h) did not cause specimen failure, which had a residual compressive strength higher than 5 MPa. Finally, exposure to sulfuric acid for 56 days decreased the mechanical strength of the mortars, but all the specimens maintained a residual compressive strength higher than 4 MPa. The durability performance of the mortars produced with OPAAB incorporating RHA-derived sodium silicate was similar to the two-part mix mortars (reference), demonstrating technical feasibility and advancing the understanding of durability aspects for application in civil construction. Full article
Show Figures

Figure 1

18 pages, 519 KB  
Article
Topology Robustness of State Estimation Against False Data Injection and Network Parameter Attacks on Power Monitoring and Control Systems
by Yunhao Yu, Yu Wang, Fuhua Luo, Meiling Dicha, Song Li and Zhenyong Zhang
Electronics 2026, 15(3), 550; https://doi.org/10.3390/electronics15030550 - 27 Jan 2026
Viewed by 69
Abstract
With the integration of information and communication systems, cyberattacks threaten the normal operation of the power grid. As a critical function, state estimation in the power monitoring and control system is an attractive target for attackers. There are two typical cyberattacks—false data injection [...] Read more.
With the integration of information and communication systems, cyberattacks threaten the normal operation of the power grid. As a critical function, state estimation in the power monitoring and control system is an attractive target for attackers. There are two typical cyberattacks—false data injection attack (FDIA) and network parameter attack (NPA)—that produce incorrect state estimation results, threatening the control and operation of the power system. This paper introduces the first theoretical framework for analyzing the topology robustness of state estimation against FDIA, NPA, and coordinated FDIA+NPA, quantifying the inherent tolerance to injected errors under the DC model. Novel contributions include the following: (1) derivation of analytical bounds on relative state errors for FDIA and similar expressions for NPA and coordinated attacks; (2) proof that sensor measurements, network topology, and branch parameters are key factors influencing robustness, with larger robustness factor amplifying errors in dense or partially measured systems; and (3) validation through extensive MATPOWER simulations on IEEE 14-, 30-, 57-, 118-, and 300-bus systems, confirming bound tightness across scales. These insights enable preventive grid design to enhance resilience against cyber-physical threats. Full article
(This article belongs to the Section Systems & Control Engineering)
16 pages, 1117 KB  
Article
Algebraic Prediction of Pressure and Lift for High-Angle-of-Attack Supersonic Asymmetric Delta Wings Based on Geometric Similarity
by Xue-Ying Wang, Jie Peng and Zi-Niu Wu
Fluids 2026, 11(2), 30; https://doi.org/10.3390/fluids11020030 - 24 Jan 2026
Viewed by 113
Abstract
In this paper, we explore the feasibility of deriving a simple, physically meaningful, and compact formulation for the pressure distribution and lift of an asymmetric delta wing at high angles of attack with an attached shock wave. Such a model would be valuable [...] Read more.
In this paper, we explore the feasibility of deriving a simple, physically meaningful, and compact formulation for the pressure distribution and lift of an asymmetric delta wing at high angles of attack with an attached shock wave. Such a model would be valuable for rapid engineering analysis. Our approach begins with a compact pressure approximation in the linear regime, which is then extended to the nonlinear case through a geometric transformation and the assumption of functional similarity between linear and nonlinear solutions. This method bridges the solution in the central nonuniform flow region to the exact solutions in the uniform flow regions near the leading-edge shock waves, in a manner analogous to methods used for supersonic starting flow. The model is shown to reproduce existing results for both symmetric and yawed delta wings within an acceptable error margin, providing a compact explicit expression for the normal force coefficient as a weighted average of pressure coefficients from the two uniform flow regions. Additionally, we outline how the approach may be extended to the upper surface, where the uniform flow is described by swept Prandtl–Meyer relations. Full article
(This article belongs to the Special Issue High-Speed Processes in Continuous Media)
Show Figures

Figure 1

17 pages, 3395 KB  
Article
Performance Analysis and Mix Proportion Optimization of Coal Gangue Concrete Under Sulfate Dry–Wet Cycling Conditions
by Mingtao Gao, Chengyang Guo, Zhenhua Hu, Minhui Li, Zihao Guo, Hongyun Ren and Jiaxin Cui
Processes 2026, 14(2), 385; https://doi.org/10.3390/pr14020385 - 22 Jan 2026
Viewed by 62
Abstract
The performance degradation of concrete structures in underground water sumps within the Ordos mining area has become increasingly prominent due to environmental factors, particularly the sulfate-induced dry–wet cycles. These conditions lead to the development of cracks, spalling, and structural instability, which poses significant [...] Read more.
The performance degradation of concrete structures in underground water sumps within the Ordos mining area has become increasingly prominent due to environmental factors, particularly the sulfate-induced dry–wet cycles. These conditions lead to the development of cracks, spalling, and structural instability, which poses significant safety risks. This issue must be addressed with consideration of the regional hydrogeological characteristics and the current requirements for safe, sustainable, and environmentally responsible coal mining practices. The study investigates the concrete employed in the underground central water reservoir of Bulianta Coal Mine in the Ordos mining area. A novel approach is proposed for developing sulfate-resistant concrete capable of withstanding dry–wet cyclic conditions in underground environments through the utilization of coal gangue sourced from the same mining operation. Considering concrete performance, cost-effectiveness, and coal gangue utilization, a laboratory mix optimization study was conducted and the optimal mixture proportion was determined to be a 60% gangue content, a 30% fly ash content, a water–binder ratio of 0.38, which produced concrete with a compressive strength of 31 MPa. Sulfate resistance tests were conducted on the optimal mixture of dry–wet cycle-resistant concrete. The effect of different dry–wet cycle counts on the compressive strength of the coal gangue concrete was investigated, and the evolution patterns of the ascending segment shape coefficient a and descending segment shape coefficient b under sulfate-induced dry–wet cycling were analyzed. Combining the Guo Zhenhai concrete constitutive model, a concrete constitutive model suitable for the dry–wet cycle conditions of sulfate was established. Based on the proposed constitutive model, the uniaxial compressive mechanical behavior of coal gangue concrete subjected to sulfate attack was investigated through numerical simulations using the Abaqus (2020) software. The simulation results are basically consistent with the laboratory results, which proves the applicability of the constitutive model and confirms the performance of the optimal proportioning scheme for preparing sulfate-resistant dry–wet cycle concrete using coal gangue from underground mines. This study provides a new type of concrete for similar underground conditions in this mining area and offers a new approach for the comprehensive utilization of coal gangue. Full article
(This article belongs to the Section Energy Systems)
Show Figures

Figure 1

41 pages, 1318 KB  
Article
Probabilistic Bit-Similarity-Based Key Agreement Protocol Employing Fuzzy Extraction for Secure and Lightweight Wireless Sensor Networks
by Sofia Sakka, Vasiliki Liagkou, Yannis Stamatiou and Chrysostomos Stylios
J. Cybersecur. Priv. 2026, 6(1), 22; https://doi.org/10.3390/jcp6010022 - 22 Jan 2026
Viewed by 115
Abstract
Wireless sensor networks comprise many resource-constrained nodes that must protect both local readings and routing metadata. The sensors collect data from the environment or from the individual to whom they are attached and transmit it to the nearest gateway node via a wireless [...] Read more.
Wireless sensor networks comprise many resource-constrained nodes that must protect both local readings and routing metadata. The sensors collect data from the environment or from the individual to whom they are attached and transmit it to the nearest gateway node via a wireless network for further delivery to external users. Due to wireless communication, the transmitted messages may be intercepted, rerouted, or even modified by an attacker. Consequently, security and privacy issues are of utmost importance, and the nodes must be protected against unauthorized access during transmission over a public wireless channel. To address these issues, we propose the Probabilistic Bit-Similarity-Based Key Agreement Protocol (PBS-KAP). This novel method enables two nodes to iteratively converge on a shared secret key without transmitting it or relying on pre-installed keys. PBS-KAP enables two nodes to agree on a symmetric session key using probabilistic similarity alignment with explicit key confirmation (MAC). Optimized Garbled Circuits facilitate secure computation with minimal computational and communication overhead, while Secure Sketches combined with Fuzzy Extractors correct residual errors and amplify entropy, producing reliable and uniformly random session keys. The resulting protocol provides a balance between security, privacy, and usability, standing as a practical solution for real-world WSN and IoT applications without imposing excessive computational or communication burdens. Security relies on standard computational assumptions via a one-time elliptic–curve–based base Oblivious Transfer, followed by an IKNP Oblivious Transfer extension and a small garbled threshold circuit. No pre-deployed long-term keys are required. After the bootstrap, only symmetric operations are used. We analyze confidentiality in the semi-honest model. However, entity authentication, though feasible, requires an additional Authenticated Key Exchange step or malicious-secure OT/GC. Under the semi-honest OT/GC assumption, we prove session-key secrecy/indistinguishability; full entity authentication requires an additional AKE binding step or malicious-secure OT/GC. Full article
(This article belongs to the Special Issue Data Protection and Privacy)
Show Figures

Figure 1

30 pages, 6341 KB  
Article
MCS-VD: Alliance Chain-Driven Multi-Cloud Storage and Verifiable Deletion Scheme for Smart Grid Data
by Lihua Zhang, Jiali Luo, Yi Yang and Wenbiao Wang
Future Internet 2026, 18(1), 56; https://doi.org/10.3390/fi18010056 - 20 Jan 2026
Viewed by 113
Abstract
The entire system collapses due to the issues of inadequate centralized storage capacity, poor scalability, low storage efficiency, and susceptibility to single point of failure brought on by huge power consumption data in the smart grid; thus, an alliance chain-driven multi-cloud storage and [...] Read more.
The entire system collapses due to the issues of inadequate centralized storage capacity, poor scalability, low storage efficiency, and susceptibility to single point of failure brought on by huge power consumption data in the smart grid; thus, an alliance chain-driven multi-cloud storage and verifiable deletion method for smart grid data is proposed. By leveraging the synergy between alliance blockchain and multi-cloud architecture, the encrypted power data originating from edge nodes is dispersed across a decentralized multi-cloud infrastructure, which effectively mitigates the danger of data loss resulting from single-point failures or malicious intrusions. The removal of expired and user-defined data is guaranteed through a transaction deletion algorithm integrated into the indexed storage deletion chain and strengthens the flexibility and security of the storage architecture. Based on the Practical Byzantine Fault-Tolerant Consensus Protocol with Ultra-Low Storage Overhead (ULS-PBFT), by the hierarchical grouping of nodes, the system communication overhead and storage overhead are reduced. Security analysis proves that the scheme can resist tampering attacks, impersonation attacks, collusion attacks, double spend attacks, and replay attacks. Performance evaluation shows that the scheme improves compared to similar methods. Full article
(This article belongs to the Special Issue Security and Privacy in Blockchains and the IoT—3rd Edition)
Show Figures

Figure 1

29 pages, 6496 KB  
Article
Construction and Optimization of Ecological Network Based on SOM and XGBoost-SHAP: A Case Study of the Zhengzhou–Kaifeng–Luoyang Region
by Yunuo Chen, Pingyang Han, Pengfei Wang, Baoguo Liu and Yang Liu
Land 2026, 15(1), 173; https://doi.org/10.3390/land15010173 - 16 Jan 2026
Viewed by 362
Abstract
The ecological network serves as a vital spatial strategy for addressing climate change, biodiversity loss, and habitat fragmentation. Addressing limitations in existing ecological network studies—such as strong subjectivity and insufficient accuracy in structural element identification, cross-regional integration, and resistance surface weighting—this research uses [...] Read more.
The ecological network serves as a vital spatial strategy for addressing climate change, biodiversity loss, and habitat fragmentation. Addressing limitations in existing ecological network studies—such as strong subjectivity and insufficient accuracy in structural element identification, cross-regional integration, and resistance surface weighting—this research uses the Zhengzhou–Kaifeng–Luoyang region (ZKLR) as a case study. It introduces the self-organizing map (SOM) model to identify ecological sources and employs the XGBoost-SHAP model to optimize resistance surface weights, thereby reducing subjective weighting biases. Subsequently, the Linkage Mapper tool is utilized to construct the regional ecological network. The superiority of the SOM model for identifying ecological sources was confirmed by comparison with a traditional network based on morphological spatial pattern analysis (MSPA). Further integrating complex network topology theory, nodes attack the simulations-assessed network resilience and proposed optimization strategies. The results indicate the following: (1) The area of ecological sources identified by the SOM model is three times that of the MSPA model; (2) SHAP feature importance analysis revealed that elevation (DEM) exerted the greatest influence on the composite resistance surface, contributing over 40%, followed by land use and slope, with each contributing approximately 15%. High-resistance areas were primarily distributed in western and central mountainous regions and built-up urban areas, while low-resistance areas were concentrated in the central and eastern plains; (3) topological analysis indicates that the integrated ecological network (IEN) exhibits superior robustness compared to the structural ecological network (SEN). The edge-adding strategy generated 22 additional ecological corridors, significantly enhancing the overall resilience of the integrated ecological network; and (4) based on ecological network construction and optimization results, a territorial spatial protection strategy of “one belt, two cores, two zones, and three corridors” is proposed. This study provides a novel methodological framework for ecological network construction, with findings offering reference for ecological conservation and spatial planning in the ZKLR and similar areas. Full article
Show Figures

Figure 1

22 pages, 5928 KB  
Article
PromptTrace: A Fine-Grained Prompt Stealing Attack via CLIP-Guided Beam Search for Text-to-Image Models
by Shaofeng Ming, Yuhao Zhang, Yang Liu, Tianyu Han, Dengmu Liu, Tong Yu, Jieke Lu and Bo Xu
Symmetry 2026, 18(1), 161; https://doi.org/10.3390/sym18010161 - 15 Jan 2026
Viewed by 254
Abstract
The inherent semantic symmetry and cross-modal alignment between textual prompts and generated images have fueled the success of text-to-image (T2I) generation. However, this strong correlation also introduces security vulnerabilities, specifically prompt stealing attacks, where valuable prompts are reverse-engineered from images. In this paper, [...] Read more.
The inherent semantic symmetry and cross-modal alignment between textual prompts and generated images have fueled the success of text-to-image (T2I) generation. However, this strong correlation also introduces security vulnerabilities, specifically prompt stealing attacks, where valuable prompts are reverse-engineered from images. In this paper, we address the challenge of information asymmetry in black-box attack scenarios and propose PromptTrace, a fine-grained prompt stealing framework via Contrastive Language-Image Pre-training (CLIP)-guidedbeam search. Unlike existing methods that rely on single-stage generation, PromptTrace structurally decomposes prompt reconstruction into subject generation, modifier extraction, and iterative search optimization to effectively restore the visual–textual correspondence. By leveraging a CLIP-guided beam search strategy, our method progressively optimizes candidate prompts based on image–text similarity feedback, ensuring the stolen prompt achieves high fidelity in both semantic intent and stylistic representation. Extensive evaluations across multiple datasets and T2I models demonstrate that PromptTrace outperforms existing methods, highlighting the feasibility of exploiting cross-modal symmetry for attacks and underscoring the urgent need for defense mechanisms in the T2I ecosystem. Full article
(This article belongs to the Section Computer)
Show Figures

Figure 1

27 pages, 1930 KB  
Article
SteadyEval: Robust LLM Exam Graders via Adversarial Training and Distillation
by Catalin Anghel, Marian Viorel Craciun, Adina Cocu, Andreea Alexandra Anghel and Adrian Istrate
Computers 2026, 15(1), 55; https://doi.org/10.3390/computers15010055 - 14 Jan 2026
Viewed by 200
Abstract
Large language models (LLMs) are increasingly used as rubric-guided graders for short-answer exams, but their decisions can be unstable across prompts and vulnerable to answer-side prompt injection. In this paper, we study SteadyEval, a guardrailed exam-grading pipeline in which an adversarially trained LoRA [...] Read more.
Large language models (LLMs) are increasingly used as rubric-guided graders for short-answer exams, but their decisions can be unstable across prompts and vulnerable to answer-side prompt injection. In this paper, we study SteadyEval, a guardrailed exam-grading pipeline in which an adversarially trained LoRA filter (SteadyEval-7B-deep) preprocesses student answers to remove answer-side prompt injection, after which the original Mistral-7B-Instruct rubric-guided grader assigns the final score. We build two exam-grading pipelines on top of Mistral-7B-Instruct: a baseline pipeline that scores student answers directly, and a guardrailed pipeline in which a LoRA-based filter (SteadyEval-7B-deep) first removes injection content from the answer and a downstream grader then assigns the final score. Using two rubric-guided short-answer datasets in machine learning and computer networking, we generate grouped families of clean answers and four classes of answer-side attacks, and we evaluate the impact of these attacks on score shifts, attack success rates, stability across prompt variants, and alignment with human graders. On the pooled dataset, answer-side attacks inflate grades in the unguarded baseline by an average of about +1.2 points on a 1–10 scale, and substantially increase score dispersion across prompt variants. The guardrailed pipeline largely removes this systematic grade inflation and reduces instability for many items, especially in the machine-learning exam, while keeping mean absolute error with respect to human reference scores in a similar range to the unguarded baseline on clean answers, with a conservative shift in networking that motivates per-course calibration. Chief-panel comparisons further show that the guardrailed pipeline tracks human grading more closely on machine-learning items, but tends to under-score networking answers. These findings are best interpreted as a proof-of-concept guardrail and require per-course validation and calibration before operational use. Full article
Show Figures

Figure 1

11 pages, 419 KB  
Article
Comparison of Clinical Characteristics Between Hereditary Angioedema Patients Aged 65 Years and Older and Those Under 65: A Perspective on Elderly Patients
by Gülseren Tuncay, Ebru Damadoglu, Gül Karakaya and Ali Fuat Kalyoncu
Life 2026, 16(1), 122; https://doi.org/10.3390/life16010122 - 14 Jan 2026
Viewed by 334
Abstract
Background: This study aimed to comprehensively define the clinical profile of elderly patients with hereditary angioedema (HAE) caused by C1 esterase inhibitor (C1INH) deficiency and/or dysfunction (HAE-C1INH). Furthermore, it sought to reveal age-related differences in disease expression and management by comparing these [...] Read more.
Background: This study aimed to comprehensively define the clinical profile of elderly patients with hereditary angioedema (HAE) caused by C1 esterase inhibitor (C1INH) deficiency and/or dysfunction (HAE-C1INH). Furthermore, it sought to reveal age-related differences in disease expression and management by comparing these patients with their younger counterparts. Methods: In this retrospective study, seventy-six patients were included. All patients had been diagnosed with HAE-C1INH. Results: A total of 9 (12%) patients were ≥65 years, 7 (77%) of whom were female. The median age at the time of diagnosis was higher in the elderly group, whereas the median age at the first symptom was similar. There was a significant delay in diagnosis time in the elderly group. Hypertension was the most frequent comorbidity among elderly patients. The median number of angioedema attacks in the last year was 6, and similar to 10 in patients < 65 years. Angioedema control in the last three months was lower in older patients. The rate of laryngeal edema was similar in patients < 65 years and older patients. The use of short-term prophylaxis (STP) was higher in the elderly group. The most commonly used treatment for acute attacks was pdC1-INH. Two patients in the elderly group did not benefit from danazol. No adverse events with icatibant, pdC1-INH, danazol were encountered among patients. Conclusions: Compared to patients younger than 65 years of age, annual attack rates were similar, whereas elderly patients had lower angioedema control for the last three months. The use of STP rates was higher among elderly patients. Full article
(This article belongs to the Section Medical Research)
Show Figures

Figure 1

24 pages, 3950 KB  
Article
Temporal Tampering Detection in Automotive Dashcam Videos via Multi-Feature Forensic Analysis and a 1D Convolutional Neural Network
by Ali Rehman Shinwari, Uswah Binti Khairuddin and Mohamad Fadzli Bin Haniff
Sensors 2026, 26(2), 517; https://doi.org/10.3390/s26020517 - 13 Jan 2026
Viewed by 216
Abstract
Automotive dashboard cameras are widely used to record driving events and often serve as critical evidence in accident investigations and insurance claims. However, the availability of free and low-cost editing tools has increased the risk of video tampering, underscoring the need for reliable [...] Read more.
Automotive dashboard cameras are widely used to record driving events and often serve as critical evidence in accident investigations and insurance claims. However, the availability of free and low-cost editing tools has increased the risk of video tampering, underscoring the need for reliable methods to verify video authenticity. Temporal tampering typically involves manipulating frame order through insertion, deletion, or duplication. This paper proposes a computationally efficient framework that transforms high-dimensional video into compact one-dimensional temporal signals and learns tampering patterns using a shallow one-dimensional convolutional neural network (1D-CNN). Five complementary features are extracted between consecutive frames: frame-difference magnitude, structural similarity drift (SSIM drift), optical-flow mean, forward–backward optical-flow consistency error, and compression-aware temporal prediction error. Per-video robust normalization is applied to emphasize intra-video anomalies. Experiments on a custom dataset derived from D2-City demonstrate strong detection performance in single-attack settings: 95.0% accuracy for frame deletion, 100.0% for frame insertion, and 95.0% for frame duplication. In a four-class setting (non-tampered, insertion, deletion, duplication), the model achieves 96.3% accuracy, with AUCs of 0.994, 1.000, 0.997, and 0.988, respectively. Efficiency analysis confirms near real-time CPU inference (≈12.7–12.9 FPS) with minimal memory overhead. Cross-dataset tests on BDDA and VIRAT reveal domain-shift sensitivity, particularly for deletion and duplication, highlighting the need for domain adaptation and augmentation. Overall, the proposed multi-feature 1D-CNN provides a practical, interpretable, and resource-aware solution for temporal tampering detection in dashcam videos, supporting trustworthy video forensics in IoT-enabled transportation systems. Full article
Show Figures

Figure 1

16 pages, 1930 KB  
Article
Left Atrial Appendage Closure in Patients with Atrial Fibrillation and Intermediate-to-Borderline High Cardiovascular Risk: A Retrospective Propensity Match Cohort Study
by Jiayi Liu, Ningjing Qian, Ying Gao, Junyan Jin, Bingqi Wang, Muhua Luo and Yaping Wang
J. Cardiovasc. Dev. Dis. 2026, 13(1), 41; https://doi.org/10.3390/jcdd13010041 - 11 Jan 2026
Viewed by 355
Abstract
Background and objective: Evidence of percutaneous left atrial appendage closure (LAAC) and oral anticoagulants (OACs) in non-valvular atrial fibrillation (NVAF) patients with intermediate-to-borderline high stroke risk is scarce. We aimed to compare the efficacy and safety of these treatments in the latter clinical [...] Read more.
Background and objective: Evidence of percutaneous left atrial appendage closure (LAAC) and oral anticoagulants (OACs) in non-valvular atrial fibrillation (NVAF) patients with intermediate-to-borderline high stroke risk is scarce. We aimed to compare the efficacy and safety of these treatments in the latter clinical population. Methods: This retrospective cohort study included NVAF patients with CHA2DS2-VA scores of 1–2 and used 1:1 propensity score matching (184 patients per group) to compare efficacy and safety outcomes. The primary efficacy outcome was a composite of stroke, transient ischemic attacks, systemic embolism, and cardiovascular death during follow-up. Adverse safety events were categorized into peri-procedure (LAAC group) and non-procedural (both groups) events. Results: Over a mean follow-up of 48.93 ± 28.50 months, a total of 26 patients (7.07%) reached the primary composite efficacy endpoint. The LAAC group showed a significantly higher incidence of the efficacy endpoint compared to the OAC group (HR = 3.09; 95% CI 1.22–7.85; log-rank p = 0.01). Procedure-related events occurred in five LAAC patients (one contributing to primary endpoint), while non-procedural bleeding rates were similar (0.54% vs. 1.09%; p = 0.56). Subgroup analyses suggested concomitant ablation of NVAF in LAAC group did not significantly improve efficacy composite endpoints (HR = 0.47). Conclusions: In NVAF patients with intermediate-to-high stroke risk, OACs were more effective than LAAC in preventing thromboembolic events, with comparable rates of clinically relevant bleeding. Full article
(This article belongs to the Topic New Research on Atrial Fibrillation)
Show Figures

Figure 1

21 pages, 323 KB  
Article
PhishCluster: Real-Time, Density-Based Discovery of Malicious URL Campaigns from Semantic Embeddings
by Dimitrios Karapiperis, Georgios Feretzakis and Sarandis Mitropoulos
Information 2026, 17(1), 64; https://doi.org/10.3390/info17010064 - 9 Jan 2026
Viewed by 245
Abstract
The proliferation of algorithmically generated malicious URLs has overwhelmed traditional threat intelligence systems, necessitating a paradigm shift from reactive, single-instance analysis to proactive, automated campaign discovery. Existing systems excel at finding semantically similar URLs given a known malicious seed but fail to provide [...] Read more.
The proliferation of algorithmically generated malicious URLs has overwhelmed traditional threat intelligence systems, necessitating a paradigm shift from reactive, single-instance analysis to proactive, automated campaign discovery. Existing systems excel at finding semantically similar URLs given a known malicious seed but fail to provide a real-time, macroscopic view of emerging and evolving attack campaigns from high-velocity data streams. This paper introduces PhishCluster, a novel framework designed to bridge this critical gap. PhishCluster implements a two-phase, online–offline architecture that synergistically combines large-scale Approximate Nearest Neighbor (ANN) search with advanced density-based clustering. The online phase employs an ANN-accelerated maintenance algorithm to process a stream of URL embeddings at unprecedented throughput, summarizing the data into compact, evolving Campaign Micro-Clusters (CMCs). The offline, on-demand phase then applies a hierarchical density-based algorithm to these CMCs, enabling the discovery of arbitrarily shaped, varying-density campaigns without prior knowledge of their number. Our comprehensive experimental evaluation on a synthetic billion-point dataset, designed to mimic real-world campaign dynamics, demonstrates that PhishCluster’s architecture resolves the fundamental trade-off between speed and quality in streaming data analysis. The results validate that PhishCluster achieves an order-of-magnitude improvement in processing throughput over state-of-the-art streaming clustering baselines while simultaneously attaining a superior clustering quality and campaign detection fidelity. Full article
(This article belongs to the Section Information and Communications Technology)
Show Figures

Figure 1

20 pages, 5241 KB  
Article
Phishing Website Impersonation: Comparative Analysis of Detection and Target Recognition Methods
by Marcin Jarczewski, Piotr Białczak and Wojciech Mazurczyk
Appl. Sci. 2026, 16(2), 640; https://doi.org/10.3390/app16020640 - 7 Jan 2026
Viewed by 471
Abstract
With the rapid advancements in technology, there has been a noticeable increase in phishing attacks that exploit users by impersonating trusted entities. The primary attack vectors include fraudulent websites and carefully crafted emails. Early detection of such threats enables the more effective blocking [...] Read more.
With the rapid advancements in technology, there has been a noticeable increase in phishing attacks that exploit users by impersonating trusted entities. The primary attack vectors include fraudulent websites and carefully crafted emails. Early detection of such threats enables the more effective blocking of malicious sites and timely user warnings. One of the key elements in phishing detection is identifying the entity being impersonated. In this article, we conduct a comparative analysis of methods for detecting phishing websites that rely on website screenshots and recognizing their impersonation targets. The two main research objectives include binary phishing detection to identify malicious intent and multiclass classification of impersonated targets to enable specific incident response and brand protection. Three approaches are compared: two state-of-the-art methods, Phishpedia and VisualPhishNet, and a third, proposed in this work, which uses perceptual hash similarity as a baseline. To ensure consistent evaluation conditions, a dedicated framework was developed for the study and shared with the community via GitHub. The obtained results indicate that Phishpedia and the Baseline method were the most effective in terms of detection performance, outperforming VisualPhishNet. Specifically, the proposed Baseline method achieved an F1 score of 0.95 on the Phishpedia dataset for binary classification, while Phishpedia maintained a high Identification Rate (>0.9) across all tested datasets. In contrast, VisualPhishNet struggled with dataset variability, achieving an F1 score of only 0.17 on the same benchmark. Moreover, as our proposed Baseline method demonstrated superior stability and binary classification performance, it should be considered as a robust candidate for preliminary filtering in hybrid systems. Full article
Show Figures

Figure 1

Back to TopTop