Left Atrial Appendage Closure in Patients with Atrial Fibrillation and Intermediate-to-Borderline High Cardiovascular Risk: A Retrospective Propensity Match Cohort Study
Abstract
1. Introduction
2. Methods
2.1. Study Design and Criteria for Eligibility
2.2. Oral Anticoagulation and LAAC Procedures
2.3. Outcome Measure
2.4. Statistical Analysis
3. Results
3.1. Patient Characteristics and Propensity Score Matching
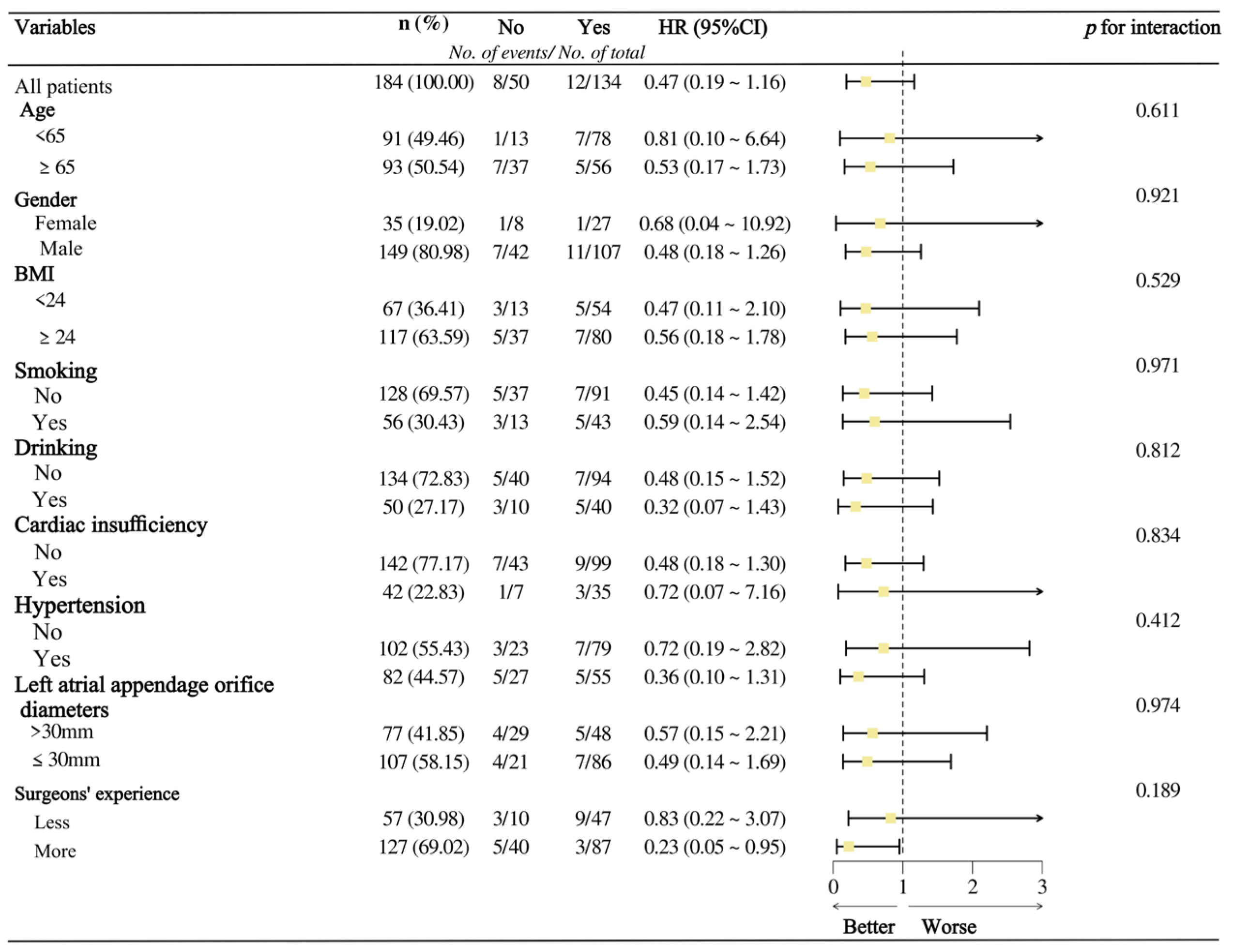
3.2. Oral Anticoagulants Outperform LAAC in Stroke Prevention Without Increasing Major Bleeding Risk in Moderate-to-Borderline High-Stroke-Risk NVAF Patients
3.3. Concomitant Ablation of AF in LAAC Group Did Not Significantly Improve Efficacy Composite Endpoints
4. Discussion
- (1)
- OACs were associated with a significantly lower incidence of the primary composite efficacy endpoint (TIA, TE, and cardiovascular death) compared to LAAC.
- (2)
- The incidence of non-procedural clinically relevant bleeding (defined as ISTH major bleeding) was similar between the OAC and LAAC groups.
5. Conclusions
Author Contributions
Funding
Institutional Review Board Statement
Informed Consent Statement
Data Availability Statement
Conflicts of Interest
Abbreviations
| AF | atrial fibrillation. |
| CTA | CT angiography. |
| INR | international normalized ratio. |
| LAAC | left atrial appendage closure. |
| DOACs | direct oral anticoagulants. |
| NVAF | non-valvular atrial fibrillation. |
| OACs | oral anticoagulants. |
| PSM | propensity score matching. |
| RCT | randomized controlled clinical trial. |
| RFCA | radiofrequency catheter ablation. |
| SE | systemic embolism. |
| TEE | transesophageal echocardiography. |
| TE | thromboembolic. |
| TIA | transient ischemic attack. |
References
- Hindricks, G.; Potpara, T.; Dagres, N.; Arbelo, E.; Bax, J.J.; Blomström-Lundqvist, C.; Boriani, G.; Castella, M.; Dan, G.A.; Dilaveris, P.E.; et al. 2020 ESC Guidelines for the diagnosis and management of atrial fibrillation developed in collaboration with the European Association for Cardio-Thoracic Surgery (EACTS): The Task Force for the diagnosis and management of atrial fibrillation of the European Society of Cardiology (ESC) Developed with the special contribution of the European Heart Rhythm Association (EHRA) of the ESC. Eur. Heart J. 2021, 42, 373–498. [Google Scholar] [CrossRef]
- Cheng, S.; He, J.; Han, Y.; Han, S.; Li, P.; Liao, H.; Guo, J. Global burden of atrial fibrillation/atrial flutter and its attributable risk factors from 1990 to 2021. Europace 2024, 26, euae195. [Google Scholar] [CrossRef]
- Scheitz, J.F.; Nolte, C.H.; Doehner, W.; Hachinski, V.; Endres, M. Stroke-heart syndrome: Clinical presentation and underlying mechanisms. Lancet Neurol. 2018, 17, 1109–1120. [Google Scholar] [CrossRef]
- Marini, C.; De Santis, F.; Sacco, S.; Russo, T.; Olivieri, L.; Totaro, R.; Carolei, A. Contribution of atrial fibrillation to incidence and outcome of ischemic stroke: Results from a population-based study. Stroke 2005, 36, 1115–1119. [Google Scholar] [CrossRef] [PubMed]
- Van Gelder, I.C.; Rienstra, M.; Bunting, K.V.; Casado-Arroyo, R.; Caso, V.; Crijns, H.; De Potter, T.J.R.; Dwight, J.; Guasti, L.; Hanke, T.; et al. 2024 ESC Guidelines for the management of atrial fibrillation developed in collaboration with the European Association for Cardio-Thoracic Surgery (EACTS). Eur. Heart J. 2024, 45, 3314–3414. [Google Scholar] [CrossRef]
- Cheng, C.Y.; Lian, T.Y.; Zhu, X.J.; Virdone, S.; Sun, K.; Camm, J.; Li, X.M.; Goto, S.; Pieper, K.; Kayani, G.; et al. Atrial fibrillation outcomes in patients from Asia and non-Asia countries: Insights from GARFIELD-AF. Open Heart 2025, 12, e003109. [Google Scholar] [CrossRef] [PubMed]
- Teppo, K.; Lip, G.Y.H.; Airaksinen, K.E.J.; Halminen, O.; Haukka, J.; Putaala, J.; Mustonen, P.; Linna, M.; Hartikainen, J.; Lehto, M. Comparing CHA(2)DS(2)-VA and CHA(2)DS(2)-VASc scores for stroke risk stratification in patients with atrial fibrillation: A temporal trends analysis from the retrospective Finnish AntiCoagulation in Atrial Fibrillation (FinACAF) cohort. Lancet Reg. Health Eur. 2024, 43, 100967. [Google Scholar] [CrossRef] [PubMed]
- Chan, Y.H.; Lee, H.F.; Wang, C.L.; Chang, S.H.; Yeh, C.H.; Chao, T.F.; Yeh, Y.H.; Chen, S.A.; Kuo, C.T. Comparisons of Rivaroxaban Following Different Dosage Criteria (ROCKET AF or J-ROCKET AF Trials) in Asian Patients with Atrial Fibrillation. J. Am. Heart Assoc. 2019, 8, e013053. [Google Scholar] [CrossRef]
- Collado, F.M.S.; Lama von Buchwald, C.M.; Anderson, C.K.; Madan, N.; Suradi, H.S.; Huang, H.D.; Jneid, H.; Kavinsky, C.J. Left Atrial Appendage Occlusion for Stroke Prevention in Nonvalvular Atrial Fibrillation. J. Am. Heart Assoc. 2021, 10, e022274. [Google Scholar] [CrossRef]
- Belgaid, D.R.; Khan, Z.; Zaidi, M.; Hobbs, A. Prospective randomized evaluation of the watchman left atrial appendage closure device in patients with atrial fibrillation versus long-term warfarin therapy: The PREVAIL trial. Int. J. Cardiol. 2016, 219, 177–179. [Google Scholar] [CrossRef]
- Holmes, D.R.; Reddy, V.Y.; Turi, Z.G.; Doshi, S.K.; Sievert, H.; Buchbinder, M.; Mullin, C.M.; Sick, P. Percutaneous closure of the left atrial appendage versus warfarin therapy for prevention of stroke in patients with atrial fibrillation: A randomised non-inferiority trial. Lancet 2009, 374, 534–542. [Google Scholar] [CrossRef] [PubMed]
- Lip, G.Y.; Nieuwlaat, R.; Pisters, R.; Lane, D.A.; Crijns, H.J. Refining clinical risk stratification for predicting stroke and thromboembolism in atrial fibrillation using a novel risk factor-based approach: The euro heart survey on atrial fibrillation. Chest 2010, 137, 263–272. [Google Scholar] [CrossRef]
- Carlin, S.; Cuker, A.; Gatt, A.; Gendron, N.; Hernández-Gea, V.; Meijer, K.; Siegal, D.M.; Stanworth, S.; Lisman, T.; Roberts, L.N. Anticoagulation for stroke prevention in atrial fibrillation and treatment of venous thromboembolism and portal vein thrombosis in cirrhosis: Guidance from the SSC of the ISTH. J. Thromb. Haemost. 2024, 22, 2653–2669. [Google Scholar] [CrossRef]
- Rezende, S.M.; Neumann, I.; Angchaisuksiri, P.; Awodu, O.; Boban, A.; Cuker, A.; Curtin, J.A.; Fijnvandraat, K.; Gouw, S.C.; Gualtierotti, R.; et al. International Society on Thrombosis and Haemostasis clinical practice guideline for treatment of congenital hemophilia A and B based on the Grading of Recommendations Assessment, Development, and Evaluation methodology. J. Thromb. Haemost. 2024, 22, 2629–2652. [Google Scholar] [CrossRef]
- Zhang, Z.; Zhou, J.; Lin, Q.; Wang, C.; Huang, Y.; Dai, Y.; Zuo, W.; Liu, N.; Xiao, Y.; Liu, Q. Overcoming barriers for left atrial appendage thrombus: A systematic review of left atrial appendage closure. BMC Cardiovasc. Disord. 2024, 24, 175. [Google Scholar] [CrossRef] [PubMed]
- Joglar, J.A.; Chung, M.K.; Armbruster, A.L.; Benjamin, E.J.; Chyou, J.Y.; Cronin, E.M.; Deswal, A.; Eckhardt, L.L.; Goldberger, Z.D.; Gopinathannair, R.; et al. 2023 ACC/AHA/ACCP/HRS Guideline for the Diagnosis and Management of Atrial Fibrillation: A Report of the American College of Cardiology/American Heart Association Joint Committee on Clinical Practice Guidelines. Circulation 2024, 149, e1–e156. [Google Scholar] [CrossRef]
- Anjum, M.; Ariansen, I.; Hjellvik, V.; Selmer, R.; Kjerpeseth, L.J.; Skovlund, E.; Myrstad, M.; Ellekjær, H.; Christophersen, I.E.; Tveit, A.; et al. Stroke and bleeding risk in atrial fibrillation with CHA2DS2-VASC risk score of one: The Norwegian AFNOR study. Eur. Heart J. 2024, 45, 57–66. [Google Scholar] [CrossRef]
- Ruff, C.T.; Giugliano, R.P.; Braunwald, E.; Hoffman, E.B.; Deenadayalu, N.; Ezekowitz, M.D.; Camm, A.J.; Weitz, J.I.; Lewis, B.S.; Parkhomenko, A.; et al. Comparison of the efficacy and safety of new oral anticoagulants with warfarin in patients with atrial fibrillation: A meta-analysis of randomised trials. Lancet 2014, 383, 955–962. [Google Scholar] [CrossRef] [PubMed]
- Yamashiro, K.; Kurita, N.; Tanaka, R.; Ueno, Y.; Miyamoto, N.; Hira, K.; Nakajima, S.; Urabe, T.; Hattori, N. Adequate Adherence to Direct Oral Anticoagulant is Associated with Reduced Ischemic Stroke Severity in Patients with Atrial Fibrillation. J. Stroke Cerebrovasc. Dis. 2019, 28, 1773–1780. [Google Scholar] [CrossRef]
- Hsu, J.C.; Maddox, T.M.; Kennedy, K.F.; Katz, D.F.; Marzec, L.N.; Lubitz, S.A.; Gehi, A.K.; Turakhia, M.P.; Marcus, G.M. Oral Anticoagulant Therapy Prescription in Patients with Atrial Fibrillation Across the Spectrum of Stroke Risk: Insights From the NCDR PINNACLE Registry. JAMA Cardiol. 2016, 1, 55–62. [Google Scholar] [CrossRef]
- Connolly, S.J.; Ezekowitz, M.D.; Yusuf, S.; Eikelboom, J.; Oldgren, J.; Parekh, A.; Pogue, J.; Reilly, P.A.; Themeles, E.; Varrone, J.; et al. Dabigatran versus warfarin in patients with atrial fibrillation. N. Engl. J. Med. 2009, 361, 1139–1151. [Google Scholar] [CrossRef]
- Patel, M.R.; Mahaffey, K.W.; Garg, J.; Pan, G.; Singer, D.E.; Hacke, W.; Breithardt, G.; Halperin, J.L.; Hankey, G.J.; Piccini, J.P.; et al. Rivaroxaban versus warfarin in nonvalvular atrial fibrillation. N. Engl. J. Med. 2011, 365, 883–891. [Google Scholar] [CrossRef]
- Giugliano, R.P.; Ruff, C.T.; Braunwald, E.; Murphy, S.A.; Wiviott, S.D.; Halperin, J.L.; Waldo, A.L.; Ezekowitz, M.D.; Weitz, J.I.; Špinar, J.; et al. Edoxaban versus warfarin in patients with atrial fibrillation. N. Engl. J. Med. 2013, 369, 2093–2104. [Google Scholar] [CrossRef] [PubMed]
- Sacks, D.; Baxter, B.; Campbell, B.C.V.; Carpenter, J.S.; Cognard, C.; Dippel, D.; Eesa, M.; Fischer, U.; Hausegger, K.; Hirsch, J.A.; et al. Multisociety Consensus Quality Improvement Revised Consensus Statement for Endovascular Therapy of Acute Ischemic Stroke. Int. J. Stroke 2018, 13, 612–632. [Google Scholar] [CrossRef]
- Saliba, W.; Nair, D.; Swarup, V.; Hall, T.; Iyer, V.; Pérez, G.C.; Weiner, S.; Shah, M.; Islam, N.; Grygier, M.; et al. Comparison of left atrial appendage closure and oral anti-coagulation after catheter ablation for atrial fibrillation: Concomitant and sequential cohorts of the OPTION randomized controlled trial. Heart Rhythm. 2025, 22, 2585–2594. [Google Scholar] [CrossRef] [PubMed]
- Beney, J.; Galea, R.; Siontis, G.; Gräni, C.; Kueffer, T.; Brugger, N.; Reichlin, T.; Räber, L.; Roten, L. Feasibility study on atrial fibrillation ablation with pulsed field ablation and concomitant occlusion of the left atrial appendage. Europace 2024, 26, euae176. [Google Scholar] [CrossRef]
- Osmancik, P.; Herman, D.; Neuzil, P.; Hala, P.; Taborsky, M.; Kala, P.; Poloczek, M.; Stasek, J.; Haman, L.; Branny, M.; et al. 4-Year Outcomes After Left Atrial Appendage Closure Versus Nonwarfarin Oral Anticoagulation for Atrial Fibrillation. J. Am. Coll. Cardiol. 2022, 79, 1–14. [Google Scholar] [CrossRef]
- Tzikas, A.; Holmes, D.R., Jr.; Gafoor, S.; Ruiz, C.E.; Blomström-Lundqvist, C.; Diener, H.C.; Cappato, R.; Kar, S.; Lee, R.J.; Byrne, R.A.; et al. Percutaneous left atrial appendage occlusion: The Munich consensus document on definitions, endpoints, and data collection requirements for clinical studies. Europace 2017, 19, 4–15. [Google Scholar] [CrossRef] [PubMed]
- Friedman, D.J.; Freeman, J.V.; Zimmerman, S.; Tan, Z.; Pereira, L.; Faridi, K.F.; Curtis, J.P. Watchman device migration and embolization: A report from the NCDR LAAO Registry. J. Cardiovasc. Electrophysiol. 2023, 34, 1192–1195. [Google Scholar] [CrossRef]
- Lakkireddy, D.; Nielsen-Kudsk, J.E.; Windecker, S.; Thaler, D.; Price, M.J.; Gambhir, A.; Gupta, N.; Koulogiannis, K.; Marcoff, L.; Mediratta, A.; et al. Mechanisms, predictors, and evolution of severe peri-device leaks with two different left atrial appendage occluders. Europace 2023, 25, euad237. [Google Scholar] [CrossRef]
- Magnocavallo, M.; Della Rocca, D.G.; Vetta, G.; Mohanty, S.; Gianni, C.; Polselli, M.; Rossi, P.; Parlavecchio, A.; Fazia, M.V.; Guarracini, F.; et al. Lower rate of major bleeding in very high risk patients undergoing left atrial appendage occlusion: A propensity score-matched comparison with direct oral anticoagulant. Heart Rhythm. 2024, 21, 1267–1276. [Google Scholar] [CrossRef] [PubMed]
- Chiang, C.E.; Chao, T.F.; Choi, E.K.; Lim, T.W.; Krittayaphong, R.; Li, M.; Chen, M.; Guo, Y.; Okumura, K.; Lip, G.Y.H. Stroke Prevention in Atrial Fibrillation: A Scientific Statement of JACC: Asia (Part 2). JACC Asia 2022, 2, 519–537. [Google Scholar] [CrossRef] [PubMed]
- Vanassche, T.; Hirsh, J.; Eikelboom, J.W.; Ginsberg, J.S. Organ-specific bleeding patterns of anticoagulant therapy: Lessons from clinical trials. Thromb. Haemost. 2014, 112, 918–923. [Google Scholar] [CrossRef] [PubMed]
- Carnicelli, A.P.; Hong, H.; Connolly, S.J.; Eikelboom, J.; Giugliano, R.P.; Morrow, D.A.; Patel, M.R.; Wallentin, L.; Alexander, J.H.; Cecilia Bahit, M.; et al. Direct Oral Anticoagulants Versus Warfarin in Patients with Atrial Fibrillation: Patient-Level Network Meta-Analyses of Randomized Clinical Trials with Interaction Testing by Age and Sex. Circulation 2022, 145, 242–255. [Google Scholar] [CrossRef]
- Galea, R.; Seiffge, D.; Räber, L. Atrial Fibrillation and Ischemic Stroke despite Oral Anticoagulation. J. Clin. Med. 2023, 12, 5784. [Google Scholar] [CrossRef]




| Before PSM | After PSM | |||||||
|---|---|---|---|---|---|---|---|---|
| LAAC (n = 202) | OACs (n = 860) | SMD | p | LAAC (n = 184) | OACs (n = 184) | SMD | p | |
| Age, n (%) | 0.53 | <0.01 | 0.23 | 0.09 | ||||
| ≤64 | 106 (52.48) | 660 (76.74) | 91 (49.46) | 111 (60.33) | ||||
| 65–74 | 85 (42.08) | 187 (21.74) | 84 (45.65) | 68 (36.96) | ||||
| ≥75 | 11 (5.45) | 13 (1.51) | 9 (4.89) | 5 (2.72) | ||||
| BMI, M (Q1, Q3) | 25.06 (22.68, 27.18) | 24.55 (22.51, 26.80) | 0.07 | 0.34 | 25.18 (22.84, 27.26) | 24.27 (22.51, 26.61) | 0.13 | 0.12 |
| Smoking, n (%) | 0.11 | 0.17 | 0.20 | 0.06 | ||||
| No | 140 (69.31) | 552 (64.19) | 128 (69.57) | 111 (60.33) | ||||
| Yes | 62 (30.69) | 308 (35.81) | 56 (30.43) | 73 (39.67) | ||||
| Drinking, n (%) | 0.06 | 0.46 | 0.07 | 0.49 | ||||
| No | 144 (71.29) | 635 (73.84) | 134 (72.83) | 128 (69.57) | ||||
| Yes | 58 (28.71) | 225 (26.16) | 50 (27.17) | 56 (30.43) | ||||
| Heart rate, M (Q1, Q3) | 76.00 (69.25, 89.00) | 77.00 (67.00, 88.00) | 0.09 | 0.21 | 76.00 (69.00, 89.25) | 75.00 (67.00, 86.25) | 0.08 | 0.24 |
| SBP, M (Q1, Q3) | 126.00 (114.00, 137.00) | 125.00 (114.75, 137.00) | 0.05 | 0.69 | 126.50 (114.00, 136.00) | 124.00 (115.00, 136.00) | 0.03 | 0.77 |
| DBP, M (Q1, Q3) | 78.00 (71.25, 86.00) | 78.00 (70.00, 86.00) | 0.07 | 0.39 | 78.00 (70.75, 85.25) | 78.00 (69.00, 87.00) | 0.01 | 0.79 |
| EF, M (Q1, Q3) | 61.60 (56.02, 67.38) | 63.70 (58.27, 68.60) | 0.14 | <0.01 | 61.65 (56.08, 67.12) | 62.60 (56.98, 67.12) | 0.01 | 0.52 |
| BNP, n (%) | 0.50 | <0.01 | 0.20 | 0.06 | ||||
| Normal | 80 (39.60) | 547 (63.60) | 70 (38.04) | 88 (47.83) | ||||
| Abnormal | 122 (60.40) | 313 (36.40) | 114 (61.96) | 96 (52.17) | ||||
| CHA2DS2-VA score, mean ± Standard deviation | 1.63 ± 0.48 | 1.32 ± 0.46 | 0.67 | <0.01 | 1.61 ± 0.49 | 1.53 ± 0.50 | 0.17 | 0.12 |
| HAS-BLED score, n (%) | 0.52 | <0.01 | 0.14 | 0.55 | ||||
| 0 | 30 (14.85) | 273 (31.74) | 30 (16.30) | 40 (21.74) | ||||
| 1 | 82 (40.59) | 371 (43.14) | 75 (40.76) | 71 (38.59) | ||||
| 2 | 68 (33.66) | 188 (21.86) | 60 (32.61) | 59 (32.07) | ||||
| 3 | 21 (10.40) | 27 (3.14) | 18 (9.78) | 14 (7.61) | ||||
| 4 | 1 (0.50) | 1 (0.12) | 1 (0.54) | 0 (0.00) | ||||
| Comorbidity | ||||||||
| Cardiac insufficiency, n (%) | 44 (21.78) | 135 (15.70) | 0.16 | 0.04 | 42 (22.83) | 37 (20.11) | 0.07 | 0.53 |
| Hypertension, n (%) | 83 (41.09) | 316 (36.74) | 0.09 | 0.25 | 82 (44.57) | 72 (39.13) | 0.11 | 0.29 |
| Diabetes mellitus, n (%) | 10 (4.95) | 48 (5.58) | 0.03 | 0.72 | 10 (5.43) | 10 (5.43) | 0.00 | 1.00 |
| Hx. of stroke/TIA/SE, n (%) | 19 (9.41) | 8 (0.93) | 0.39 | <0.01 | 6 (3.26) | 8 (4.35) | 0.06 | 0.59 |
| Vascular disease, n (%) | 2 (0.99) | 32 (3.72) | 0.18 | 0.05 | 2 (1.09) | 8 (4.35) | 0.20 | 0.05 |
| Drug Usage | ||||||||
| Aspirin, n (%) | 4 (1.98) | 11 (1.28) | 0.06 | 0.67 | 4 (2.17) | 1 (0.54) | 0.14 | 0.37 |
| Clopidogrel, n (%) | 3 (1.49) | 11 (1.28) | 0.02 | 1.00 | 3 (1.63) | 5 (2.72) | 0.08 | 0.72 |
| Diuretics, n (%) | 24 (11.88) | 106 (12.33) | 0.01 | 0.86 | 21 (11.41) | 32 (17.39) | 0.17 | 0.10 |
| Statin, n (%) | 91 (45.05) | 323 (37.56) | 0.15 | 0.05 | 83 (45.11) | 80 (43.48) | 0.03 | 0.75 |
| RAAS antagonist, n (%) | 67 (33.17) | 244 (28.37) | 0.10 | 0.18 | 64 (34.78) | 60 (32.61) | 0.05 | 0.66 |
| Beta inhibitor, n (%) | 109 (53.96) | 504 (58.60) | 0.09 | 0.23 | 102 (55.43) | 112 (60.87) | 0.11 | 0.29 |
| CCB, n (%) | 43 (21.29) | 138 (16.05) | 0.14 | 0.07 | 42 (22.83) | 32 (17.39) | 0.14 | 0.19 |
| Amiodarone, n (%) | 126 (62.38) | 679 (78.95) | 0.37 | <0.01 | 114 (61.96) | 139 (75.54) | 0.06 | <0.01 |
| Propafenone, n (%) | 2 (0.99) | 35 (4.07) | 0.20 | 0.03 | 1 (0.54) | 2 (1.09) | 0.06 | 1.00 |
| Digoxin, n (%) | 6 (2.97) | 29 (3.37) | 0.02 | 0.77 | 5 (2.72) | 10 (5.43) | 0.14 | 0.19 |
| LAAC Group (n = 184) | OAC Group (n = 184) | |||||||
|---|---|---|---|---|---|---|---|---|
| No. of Events | Percentage of Patients | Rate/1000 Person-Months | No. of Events | Percentage of Patients | Rate/1000 Person-Months | HR (95% CI) | Log-Rank p-Value | |
| Primary efficacy endpoints | 20 | 10.87 | 219.78 | 6 | 3.26 | 49.18 | 3.09 (1.22–7.85) | 0.01 |
| Thromboembolic events | 15 | 8.15 | 164.84 | 4 | 2.17 | 32.79 | 3.61 (1.17–11.11) | 0.02 |
| Stroke and TIA | 13 | 7.07 | 142.86 | 4 | 2.17 | 32.79 | 2.94 (0.93–9.28) | 0.05 |
| All stroke | 11 | 5.98 | 120.88 | 4 | 2.17 | 32.79 | 2.49 (0.77–8.07) | 0.12 |
| Ischemic stroke | 11 | 5.98 | 120.88 | 4 | 2.17 | 32.79 | 2.49 (0.77–8.07) | 0.12 |
| Hemorrhagic stroke | 0 | - | - | 0 | - | - | - | - |
| TIA | 2 | 1.09 | 21.98 | 0 | - | - | - | - |
| Systemic embolism | 2 | 1.09 | 21.98 | 0 | - | - | - | - |
| CV death | 5 | 2.72 | 54.95 | 2 | 1.09 | 16.39 | 2.00 (0.37–10.94) | 0.41 |
| All-cause death | 6 | 3.26 | 65.93 | 4 | 2.17 | 32.79 | 1.27 (0.34–4.71) | 0.72 |
| Non-procedural clinical-relevant bleeding | 1 | 0.54 | 10.99 | 2 | 1.09 | 16.39 | 0.500 (0.045–5.541) | 0.56 |
| Minor bleeding | 0 | - | - | 2 | 1.09 | 16.39 | - | - |
| Major bleeding | 1 | 0.54 | 10.99 | 0 | - | - | - | - |
| Variables | Univariate Cox Regression | Multivariable Cox Regression | ||
|---|---|---|---|---|
| p | HR (95% CI) | p | HR (95% CI) | |
| Therapy | ||||
| OACs | 1.00 (Reference) | 1.00 (Reference) | ||
| LAAC | 0.02 | 3.09(1.21~7.84) | 0.03 | 2.87(1.03~7.51) |
| Age | ||||
| <65 | 1.00 (Reference) | 1.00 (Reference) | ||
| ≥65 | 0.27 | 1.54 (0.71~3.34) | 0.74 | 1.18 (0.45~3.12) |
| CHA2DS2-VA Score | ||||
| 1 | 1.00 (Reference) | 1.00 (Reference) | ||
| 2 | 0.30 | 1.52 (0.69~3.36) | 0.60 | 0.76 (0.27~2.14) |
| HAS-BLED Score | ||||
| ≤2 | 1.00 (Reference) | 1.00 (Reference) | ||
| ≥3 | <0.01 | 4.28 (1.71~10.73) | 0.02 | 3.59 (1.24~10.33) |
| Pattern of AF | ||||
| Paroxysmal | 1.00 (Reference) | 1.00 (Reference) | ||
| Persistent | 0.12 | 2.05 (0.82~5.12) | 0.90 | 1.07 (0.39~2.95) |
| Ejection Fraction | 0.02 | 0.97 (0.94~0.99) | 0.04 | 0.96 (0.93~0.99) |
| BNP/NT-pro BNP | ||||
| Normal | 1.00 (Reference) | 1.00 (Reference) | ||
| Abnormal | <0.01 | 4.32 (1.48~12.54) | 0.06 | 3.08 (0.97~9.77) |
| LAAC Relevant Data | No. | Percentage (%) |
|---|---|---|
| LAAC device diameter (mm) | ||
| ≤30 | 107 | 58.15 |
| >30 | 77 | 41.85 |
| Success rate of LAAC | 183 | 99.46 |
| Device- or procedural-related events of LAAC | ||
| Device dislodgement | 1 | 0.54 |
| Pericardial effusion | 4 | 2.17 |
| No intervention | 1 | 0.54 |
| Pericardiocentesis required | 3 | 1.53 |
| Groin hematoma | 1 | 0.54 |
| Major bleeding | 3 | 1.53 |
| Procedural-related stroke/transient ischemic attack | 0 | 0.00 |
| Device/Air embolism | 1 | 0.54 |
| Procedural-related death | 0 | 0.00 |
| Nonclinical bleeding during the sequential anticoagulation period | 6 | 0.03 |
| Sequential anticoagulation therapy in 6 weeks after LAAC | ||
| OACs | 177 | 96.19 |
| OACs with single-antiplatelet therapy | 7 | 3.81 |
| Peri-device leakage > 5 mm post-LAAC | 2 | 1.09 |
| OAC group’s relevant data | ||
| Type of OACs | ||
| Warfarin | 64 | 34.78 |
| Direct oral anticoagulants | 120 | 65.22 |
| Side effects of OACs | ||
| Anticoagulant-related bleeding | 14 | 7.60 |
| Clinically relevant | 2 | 1.09 |
| Nonclinically relevant | 12 | 6.52 |
| Severe gastrointestinal symptoms | 2 | 1.09 |
| Drug-related headache/dizziness | 2 | 1.09 |
| Drug-related liver dysfunction | 4 | 2.17 |
Disclaimer/Publisher’s Note: The statements, opinions and data contained in all publications are solely those of the individual author(s) and contributor(s) and not of MDPI and/or the editor(s). MDPI and/or the editor(s) disclaim responsibility for any injury to people or property resulting from any ideas, methods, instructions or products referred to in the content. |
© 2026 by the authors. Licensee MDPI, Basel, Switzerland. This article is an open access article distributed under the terms and conditions of the Creative Commons Attribution (CC BY) license.
Share and Cite
Liu, J.; Qian, N.; Gao, Y.; Jin, J.; Wang, B.; Luo, M.; Wang, Y. Left Atrial Appendage Closure in Patients with Atrial Fibrillation and Intermediate-to-Borderline High Cardiovascular Risk: A Retrospective Propensity Match Cohort Study. J. Cardiovasc. Dev. Dis. 2026, 13, 41. https://doi.org/10.3390/jcdd13010041
Liu J, Qian N, Gao Y, Jin J, Wang B, Luo M, Wang Y. Left Atrial Appendage Closure in Patients with Atrial Fibrillation and Intermediate-to-Borderline High Cardiovascular Risk: A Retrospective Propensity Match Cohort Study. Journal of Cardiovascular Development and Disease. 2026; 13(1):41. https://doi.org/10.3390/jcdd13010041
Chicago/Turabian StyleLiu, Jiayi, Ningjing Qian, Ying Gao, Junyan Jin, Bingqi Wang, Muhua Luo, and Yaping Wang. 2026. "Left Atrial Appendage Closure in Patients with Atrial Fibrillation and Intermediate-to-Borderline High Cardiovascular Risk: A Retrospective Propensity Match Cohort Study" Journal of Cardiovascular Development and Disease 13, no. 1: 41. https://doi.org/10.3390/jcdd13010041
APA StyleLiu, J., Qian, N., Gao, Y., Jin, J., Wang, B., Luo, M., & Wang, Y. (2026). Left Atrial Appendage Closure in Patients with Atrial Fibrillation and Intermediate-to-Borderline High Cardiovascular Risk: A Retrospective Propensity Match Cohort Study. Journal of Cardiovascular Development and Disease, 13(1), 41. https://doi.org/10.3390/jcdd13010041

