Sign in to use this feature.

Years

Between: -

Subjects

remove_circle_outline
remove_circle_outline
remove_circle_outline
remove_circle_outline
remove_circle_outline
remove_circle_outline
remove_circle_outline

Journals

Article Types

Countries / Regions

Search Results (19)

Search Parameters:
Keywords = sequential characteristics based combination strategy

Order results
Result details
Results per page
Select all
Export citation of selected articles as:
10 pages, 1363 KB  
Article
Sequential Diagnostic Approach Using FIB-4 and ELF for Predicting Advanced Fibrosis in Metabolic Dysfunction-Associated Steatotic Liver Disease
by Yeo-Wool Kang, Yang-Hyun Baek and Sang-Yi Moon
Diagnostics 2024, 14(22), 2517; https://doi.org/10.3390/diagnostics14222517 - 11 Nov 2024
Cited by 4 | Viewed by 2828
Abstract
Background and Aims: Multiple non-invasive tests (NITs) for identifying advanced fibrosis in patients with non-alcoholic fatty liver disease (NAFLD) are available, but, due to the limitations of single NITs, the American Association for the Study of Liver Disease (AASLD) guidelines suggest a [...] Read more.
Background and Aims: Multiple non-invasive tests (NITs) for identifying advanced fibrosis in patients with non-alcoholic fatty liver disease (NAFLD) are available, but, due to the limitations of single NITs, the American Association for the Study of Liver Disease (AASLD) guidelines suggest a two-step strategy, combining the Fibrosis-4 Index (FIB-4) score with the Enhanced Liver Fibrosis (ELF) test to improve diagnostic accuracy and minimize unnecessary liver biopsies. However, few real-world studies have used such a sequential approach. We here evaluated the diagnostic accuracy of the ELF test in patients with recently established metabolic dysfunction-associated steatotic liver disease (MASLD) and assessed the clinical utility of applying a two-step strategy, including the ELF test following the FIB-4 score assessment, in patients with MASLD. Methods: We enrolled 153 patients diagnosed with MASLD who underwent liver biopsy at the Dong-A University Hospital between June 2018 and August 2023. The degree of fibrosis was determined based on liver biopsy results. Various NITs were used, including the Aminotransferase-to-Platelet Ratio Index (APRI), FIB-4 score, NAFLD Fibrosis score (NFS) and ELF test. The diagnostic efficacy of these NITs was evaluated based on the area under the receiver operating characteristic curve (AUROC). Additionally, the performance of each test was further examined both when applied individually and in a two-step approach, where FIB-4 was used followed by ELF testing. Key metrics such as sensitivity, specificity, positive predictive value (PPV), negative predictive value (NPV), and accuracy were used for this analysis. Results: Overall, 153 patients with MASLD (mean age: 46.62 years; 52.3% men; 28.1% with type 2 diabetes) were included. The performance of the NITs in identifying advanced fibrosis was as follows: the AUROC of the APRI, FIB-4, NFS, and ELF tests were 0.803 (95% confidence interval (CI), 0.713–0.863), 0.769 (95% CI, 0.694–0.833), 0.699 (95% CI, 0.528–0.796), and 0.829 (95% CI, 0.760–0.885), respectively. The combination of the FIB-4 score ≥ 1.30 and the ELF score ≥ 9.8 showed 67.86% sensitivity, 90.40% specificity, a PPV of 75.18%, an NPV of 86.78%, an accuracy of 83.64%, and an AUROC of 0.791 for predicting the diagnosis of advanced fibrosis. This approach excluded 28 patients (71.8%) from unnecessary liver biopsies. Conclusions: Our study demonstrated that ELF testing maintained diagnostic accuracy in assessing liver fibrosis in patients with MASLD in real-world practice. This test was used as a second step in the evaluation, reducing clinically unnecessary invasive liver biopsies and referrals to tertiary institutions. This approach allows assessment of MASLD severity in primary care settings without requiring additional equipment. Full article
(This article belongs to the Special Issue Advances in the Diagnosis of Steatotic Liver Disease)
Show Figures

Figure 1

29 pages, 3537 KB  
Article
Dynamic Integrated Scheduling of Production Equipment and Automated Guided Vehicles in a Flexible Job Shop Based on Deep Reinforcement Learning
by Jingrui Wang, Yi Li, Zhongwei Zhang, Zhaoyun Wu, Lihui Wu, Shun Jia and Tao Peng
Processes 2024, 12(11), 2423; https://doi.org/10.3390/pr12112423 - 2 Nov 2024
Cited by 10 | Viewed by 2726
Abstract
The high-quality development of the manufacturing industry necessitates accelerating its transformation towards high-end, intelligent, and green development. Considering logistics resource constraints, the impact of dynamic disturbance events on production, and the need for energy-efficient production, the integrated scheduling of production equipment and automated [...] Read more.
The high-quality development of the manufacturing industry necessitates accelerating its transformation towards high-end, intelligent, and green development. Considering logistics resource constraints, the impact of dynamic disturbance events on production, and the need for energy-efficient production, the integrated scheduling of production equipment and automated guided vehicles (AGVs) in a flexible job shop environment is investigated in this study. Firstly, a static model for the integrated scheduling of production equipment and AGVs (ISPEA) is developed based on mixed-integer programming, which aims to optimize the maximum completion time and total production energy consumption (EC). In recent years, reinforcement learning, including deep reinforcement learning (DRL), has demonstrated significant advantages in handling workshop scheduling issues with sequential decision-making characteristics, which can fully utilize the vast quantity of historical data accumulated in the workshop and adjust production plans in a timely manner based on changes in production conditions and demand. Accordingly, a DRL-based approach is introduced to address the common production disturbances in emergency order insertions. Combined with the characteristics of the ISPEA problem and an event-driven strategy for handling dynamic events, four types of agents, namely workpiece selection, machine selection, AGV selection, and target selection agents, are set up, which refine workshop production status characteristics as observation inputs and generate rules for selecting workpieces, machines, AGVs, and targets. These agents are trained offline using the QMIX multi-agent reinforcement learning framework, and the trained agents are utilized to solve the dynamic ISPEA problem. Finally, the effectiveness of the proposed model and method is validated through a comparison of the solution performance with other typical optimization algorithms for various cases. Full article
Show Figures

Figure 1

18 pages, 8093 KB  
Article
Multiphysics Optimization of a High-Speed Permanent Magnet Motor Based on Subspace and Sequential Strategy
by Honglin Yan, Guanghui Du, Wentao Gao, Yanhong Chen, Cunlong Cui and Kai Xu
Appl. Sci. 2024, 14(18), 8267; https://doi.org/10.3390/app14188267 - 13 Sep 2024
Viewed by 1222
Abstract
In the optimization of high-speed permanent magnet motors (HSPMMs), electromagnetic characteristics, rotor stress, rotor dynamics, and temperature characteristics must all be considered simultaneously, and there are numerous optimization parameters for both the stator and rotor. These factors pose significant challenges to the multiphysics [...] Read more.
In the optimization of high-speed permanent magnet motors (HSPMMs), electromagnetic characteristics, rotor stress, rotor dynamics, and temperature characteristics must all be considered simultaneously, and there are numerous optimization parameters for both the stator and rotor. These factors pose significant challenges to the multiphysics optimization of HSPMMs. Therefore, this paper presents a multiphysics optimization process for the HSPMM of 60 kW 30,000 rpm by combining subspace strategy and sequential strategy to mitigate the issues of high training volume and mutual coupling. Ten optimization parameters of stator and rotor are determined firstly. Then, using finite element analysis of rotor stress and rotor dynamics, the range of values for critical parameters of the rotor is established. Next, in the electromagnetic optimization, the process is divided into rotor parameter subspace and stator parameter subspace according to the subspace optimization strategy. The temperature field is also checked based on the optimization results. Finally, a prototype is manufactured and the comprehensive performance is tested to validate the multiphysics optimization process. Full article
Show Figures

Figure 1

26 pages, 15274 KB  
Article
Vehicle Control Strategy Evaluation Based on the Driving Stability Region
by Xianbin Wang, Zexuan Li, Fugang Zhang, Weifeng Li and Wenlong Bao
Appl. Sci. 2023, 13(11), 6703; https://doi.org/10.3390/app13116703 - 31 May 2023
Cited by 4 | Viewed by 2254
Abstract
Vehicle stability control strategies can improve driving safety effectively; however, there is still a lack of unified evaluation criteria for different control strategies. This paper proposes a vehicle control strategy evaluation method based on the driving stability region and is analyzed by using [...] Read more.
Vehicle stability control strategies can improve driving safety effectively; however, there is still a lack of unified evaluation criteria for different control strategies. This paper proposes a vehicle control strategy evaluation method based on the driving stability region and is analyzed by using direct yaw moment control (DYC) and four-wheel steering (4WS) as examples. Firstly, the five-degree-of-freedom (5DOF) vehicle system models including DYC and 4WS are established, and the effectiveness of the control strategies is verified by nonlinear analysis methods; the dynamic characteristics of the system are also analyzed. Following this, a hybrid algorithm combining the Genetic Algorithm (GA) and Sequential Quadratic Programming (SQP) methods is used to solve the system equilibrium points, and the driving stability regions under different control strategies are obtained. Finally, the driving stability regions are tested based on the CarSim and Simulink simulations, and the control performance is evaluated. The results indicate that DYC and 4WS can improve vehicle stability and expand the range of driving stability regions. When the initial longitudinal velocity is below 30 m/s, the driving stability regions under DYC and 4WS expand to different extents compared to the original driving stability region. The expanded driving stability regions show that the stability region of the vehicle with DYC is larger than that of 4WS; thus, the control effect of DYC is better than that of 4WS. The proposed method can be used to evaluate the effective range of different control strategies. Full article
Show Figures

Figure 1

20 pages, 5137 KB  
Article
Multi-Objective Hybrid Flow-Shop Scheduling in Parallel Sequential Mode While Considering Handling Time and Setup Time
by Yingjie Feng and Jili Kong
Appl. Sci. 2023, 13(6), 3563; https://doi.org/10.3390/app13063563 - 10 Mar 2023
Cited by 8 | Viewed by 2782
Abstract
Hybrid flow-shop scheduling based on the parallel sequential movement mode (HFSP-PSMM) is an extended application of hybrid flow-shop scheduling that ensures that the equipment works continuously during the processing cycle. However, current research has only investigated the flow-shop scheduling of single-equipment processing, and [...] Read more.
Hybrid flow-shop scheduling based on the parallel sequential movement mode (HFSP-PSMM) is an extended application of hybrid flow-shop scheduling that ensures that the equipment works continuously during the processing cycle. However, current research has only investigated the flow-shop scheduling of single-equipment processing, and ignores the effect of auxiliary time. Therefore, this paper investigates a multi-equipment hybrid flow-shop scheduling problem based on the parallel sequential movement mode and considers the setup time and handling time. The mathematical model of the HFSP-PSMM was developed with the handling and makespan numbers as the optimization objectives. The NSGA-II-V based on the NSGA-II was designed by combining the problem characteristics. New crossover, mutation, and selection strategies were proposed and variable neighborhood search operations were implemented for the optimal set of Pareto solutions. Finally, through an algorithm comparison, performance testing, and an example simulation, the effectiveness of the NSGA-II-V for solving the HFSP-PSMM was verified. Full article
Show Figures

Figure 1

19 pages, 2692 KB  
Article
Proof of Concept for Sustainable Manufacturing of Neural Electrode Array for In Vivo Recording
by Szu-Ying Li, Hsin-Yi Tseng, Bo-Wei Chen, Yu-Chun Lo, Huai-Hsuan Shao, Yen-Ting Wu, Ssu-Ju Li, Ching-Wen Chang, Ta-Chung Liu, Fu-Yu Hsieh, Yi Yang, Yan-Bo Lai, Po-Chun Chen and You-Yin Chen
Biosensors 2023, 13(2), 280; https://doi.org/10.3390/bios13020280 - 16 Feb 2023
Cited by 3 | Viewed by 4551
Abstract
Increasing requirements for neural implantation are helping to expand our understanding of nervous systems and generate new developmental approaches. It is thanks to advanced semiconductor technologies that we can achieve the high-density complementary metal-oxide-semiconductor electrode array for the improvement of the quantity and [...] Read more.
Increasing requirements for neural implantation are helping to expand our understanding of nervous systems and generate new developmental approaches. It is thanks to advanced semiconductor technologies that we can achieve the high-density complementary metal-oxide-semiconductor electrode array for the improvement of the quantity and quality of neural recordings. Although the microfabricated neural implantable device holds much promise in the biosensing field, there are some significant technological challenges. The most advanced neural implantable device relies on complex semiconductor manufacturing processes, which are required for the use of expensive masks and specific clean room facilities. In addition, these processes based on a conventional photolithography technique are suitable for mass production, which is not applicable for custom-made manufacturing in response to individual experimental requirements. The microfabricated complexity of the implantable neural device is increasing, as is the associated energy consumption, and corresponding emissions of carbon dioxide and other greenhouse gases, resulting in environmental deterioration. Herein, we developed a fabless fabricated process for a neural electrode array that was simple, fast, sustainable, and customizable. An effective strategy to produce conductive patterns as the redistribution layers (RDLs) includes implementing microelectrodes, traces, and bonding pads onto the polyimide (PI) substrate by laser micromachining techniques combined with the drop coating of the silver glue to stack the laser grooving lines. The process of electroplating platinum on the RDLs was performed to increase corresponding conductivity. Sequentially, Parylene C was deposited onto the PI substrate to form the insulation layer for the protection of inner RDLs. Following the deposition of Parylene C, the via holes over microelectrodes and the corresponding probe shape of the neural electrode array was also etched by laser micromachining. To increase the neural recording capability, three-dimensional microelectrodes with a high surface area were formed by electroplating gold. Our eco-electrode array showed reliable electrical characteristics of impedance under harsh cyclic bending conditions of over 90 degrees. For in vivo application, our flexible neural electrode array demonstrated more stable and higher neural recording quality and better biocompatibility as well during the 2-week implantation compared with those of the silicon-based neural electrode array. In this study, our proposed eco-manufacturing process for fabricating the neural electrode array reduced 63 times of carbon emissions compared to the traditional semiconductor manufacturing process and provided freedom in the customized design of the implantable electronic devices as well. Full article
Show Figures

Figure 1

18 pages, 4406 KB  
Article
A Hybrid Neural Network Model for Short-Term Wind Speed Forecasting
by Shengxiang Lv, Lin Wang and Sirui Wang
Energies 2023, 16(4), 1841; https://doi.org/10.3390/en16041841 - 13 Feb 2023
Cited by 17 | Viewed by 2972
Abstract
This study proposes an effective wind speed forecasting model combining a data processing strategy, neural network predictor, and parameter optimization method. (a) Variational mode decomposition (VMD) is adopted to decompose the wind speed data into multiple subseries where each subseries contains unique local [...] Read more.
This study proposes an effective wind speed forecasting model combining a data processing strategy, neural network predictor, and parameter optimization method. (a) Variational mode decomposition (VMD) is adopted to decompose the wind speed data into multiple subseries where each subseries contains unique local characteristics, and all the subseries are converted into two-dimensional samples. (b) A gated recurrent unit (GRU) is sequentially modeled based on the obtained samples and makes the predictions for future wind speed. (c) The grid search with rolling cross-validation (GSRCV) is designed to simultaneously optimize the key parameters of VMD and GRU. To evaluate the effectiveness of the proposed VMD-GRU-GSRCV model, comparative experiments based on hourly wind speed data collected from the National Renewable Energy Laboratory are implemented. Numerical results show that the root mean square error, mean absolute error, mean absolute percentage error, and symmetric mean absolute percentage error of this proposed model reach 0.2047, 0.1435, 3.77%, and 3.74%, respectively, which outperform the benchmark predictions using popular parameter optimization methods, data processing techniques, and hybrid neural network forecasting models. Full article
(This article belongs to the Section A3: Wind, Wave and Tidal Energy)
Show Figures

Figure 1

22 pages, 10166 KB  
Article
Energy Savings in Buildings Based on Image Depth Sensors for Human Activity Recognition
by Omar Mata, Juana Isabel Méndez, Pedro Ponce, Therese Peffer, Alan Meier and Arturo Molina
Energies 2023, 16(3), 1078; https://doi.org/10.3390/en16031078 - 18 Jan 2023
Cited by 25 | Viewed by 3616
Abstract
A smart city is a city that binds together technology, society, and government to enable the existence of a smart economy, smart mobility, smart environment, smart living, smart people, and smart governance in order to reduce the environmental impact of cities and improve [...] Read more.
A smart city is a city that binds together technology, society, and government to enable the existence of a smart economy, smart mobility, smart environment, smart living, smart people, and smart governance in order to reduce the environmental impact of cities and improve life quality. The first step to achieve a fully connected smart city is to start with smaller modules such as smart homes and smart buildings with energy management systems. Buildings are responsible for a third of the total energy consumption; moreover, heating, ventilation, and air conditioning (HVAC) systems account for more than half of the residential energy consumption in the United States. Even though connected thermostats are widely available, they are not used as intended since most people do not have the expertise to control this device to reduce energy consumption. It is commonly set according to their thermal comfort needs; therefore, unnecessary energy consumption is often caused by wasteful behaviors and the estimated energy saving is not reached. Most studies in the thermal comfort domain to date have relied on simple activity diaries to estimate metabolic rate and fixed values of clothing parameters for strategies to set the connected thermostat’s setpoints because of the difficulty in tracking those variables. Therefore, this paper proposes a strategy to save energy by dynamically changing the setpoint of a connected thermostat by human activity recognition based on computer vision preserving the occupant’s thermal comfort. With the use of a depth sensor in conjunction with an RGB (Red–Green–Blue) camera, a methodology is proposed to eliminate the most common challenges in computer vision: background clutter, partial occlusion, changes in scale, viewpoint, lighting, and appearance on human detection. Moreover, a Recurrent Neural Network (RNN) is implemented for human activity recognition (HAR) because of its data’s sequential characteristics, in combination with physiological parameters identification to estimate a dynamic metabolic rate. Finally, a strategy for dynamic setpoints based on the metabolic rate, predicted mean vote (PMV) parameter and the air temperature is simulated using EnergyPlus™ to evaluate the energy consumption in comparison with the expected energy consumption with fixed value setpoints. This work contributes with a strategy to reduce energy consumption up to 15% in buildings with connected thermostats from the successful implementation of the proposed method. Full article
(This article belongs to the Special Issue Optimal Planning, Integration, and Control of Energy in Smart Cities)
Show Figures

Figure 1

22 pages, 2491 KB  
Article
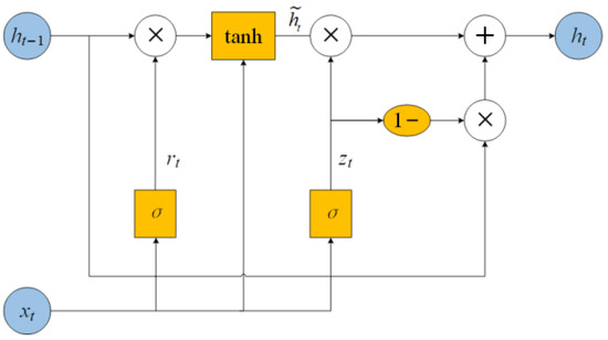
Sequential Characteristics Based Operators Disassembly Quantization Method for LSTM Layers
by Yuejiao Wang, Zhong Ma and Zunming Yang
Appl. Sci. 2022, 12(24), 12744; https://doi.org/10.3390/app122412744 - 12 Dec 2022
Cited by 6 | Viewed by 2253
Abstract
Embedded computing platforms such as neural network accelerators deploying neural network models need to quantize the values into low-bit integers through quantization operations. However, most current embedded computing platforms with a fixed-point architecture do not directly support performing the quantization operation for the [...] Read more.
Embedded computing platforms such as neural network accelerators deploying neural network models need to quantize the values into low-bit integers through quantization operations. However, most current embedded computing platforms with a fixed-point architecture do not directly support performing the quantization operation for the LSTM layer. Meanwhile, the influence of sequential input data for LSTM has not been taken into account by quantization algorithms. Aiming at these two technical bottlenecks, a new sequential-characteristics-based operators disassembly quantization method for LSTM layers is proposed. Specifically, the calculation process of the LSTM layer is split into multiple regular layers supported by the neural network accelerator. The quantization-parameter-generation process is designed as a sequential-characteristics-based combination strategy for sequential and diverse image groups. Therefore, LSTM is converted into multiple mature operators for single-layer quantization and deployed on the neural network accelerator. Comparison experiments with the state of the art show that the proposed quantization method has comparable or even better performance than the full-precision baseline in the field of character-/word-level language prediction and image classification applications. The proposed method has strong application potential in the subsequent addition of novel operators for future neural network accelerators. Full article
(This article belongs to the Special Issue Virtual Reality, Digital Twins and Metaverse)
Show Figures

Figure 1

7 pages, 2605 KB  
Article
Heterogeneous CMOS Integration of InGaAs-OI nMOSFETs and Ge pMOSFETs Based on Dual-Gate Oxide Technique
by Xiaoyu Tang, Tao Hua, Yujie Liu and Zhezhe Han
Micromachines 2022, 13(11), 1806; https://doi.org/10.3390/mi13111806 - 23 Oct 2022
Cited by 1 | Viewed by 1877
Abstract
A compatible fabrication technology for integrating InGaAs nMOSFETs and Ge pMOSFETs is developed based on the development of the two-step gate oxide fabrication strategy. The direct wafer bonding method was utilized to obtain the InGaAs-Insulator-Ge structure, providing the heterogeneous channels for CMOS integration. [...] Read more.
A compatible fabrication technology for integrating InGaAs nMOSFETs and Ge pMOSFETs is developed based on the development of the two-step gate oxide fabrication strategy. The direct wafer bonding method was utilized to obtain the InGaAs-Insulator-Ge structure, providing the heterogeneous channels for CMOS integration. Superior transistor characteristics were achieved by optimizing the InGaAs gate oxide with a self-cleaning process in atomic layer deposition, and modifying the Ge gate oxide by the ozone post oxidation (OPO) technique, in the sequential two-step gate oxide fabrication process. With the combination of the gate-first fabrication process, superior on- and off-state characteristics, i.e., on current up to 8.3 µA/μm and leakage as low as 106 µA/μm, have been demonstrated in the integrated MOSFETs, together with the preferable symmetric output characteristics that promises excellent CMOS performances. Full article
(This article belongs to the Section D1: Semiconductor Devices)
Show Figures

Figure 1

23 pages, 1534 KB  
Review
Evidence-Based Second-Line Treatment in RAS Wild-Type/Mutated Metastatic Colorectal Cancer in the Precision Medicine Era
by Guido Giordano, Pietro Parcesepe, Giuseppina Bruno, Annamaria Piscazzi, Vincenzo Lizzi, Andrea Remo, Massimo Pancione, Mario Rosario D’Andrea, Elena De Santis, Luigi Coppola, Michele Pietrafesa, Alberto Fersini, Antonio Ambrosi and Matteo Landriscina
Int. J. Mol. Sci. 2021, 22(14), 7717; https://doi.org/10.3390/ijms22147717 - 19 Jul 2021
Cited by 14 | Viewed by 6162
Abstract
Target-oriented agents improve metastatic colorectal cancer (mCRC) survival in combination with chemotherapy. However, the majority of patients experience disease progression after first-line treatment and are eligible for second-line approaches. In such a context, antiangiogenic and anti-Epidermal Growth Factor Receptor (EGFR) agents as well [...] Read more.
Target-oriented agents improve metastatic colorectal cancer (mCRC) survival in combination with chemotherapy. However, the majority of patients experience disease progression after first-line treatment and are eligible for second-line approaches. In such a context, antiangiogenic and anti-Epidermal Growth Factor Receptor (EGFR) agents as well as immune checkpoint inhibitors have been approved as second-line options, and RAS and BRAF mutations and microsatellite status represent the molecular drivers that guide therapeutic choices. Patients harboring K- and N-RAS mutations are not eligible for anti-EGFR treatments, and bevacizumab is the only antiangiogenic agent that improves survival in combination with chemotherapy in first-line, regardless of RAS mutational status. Thus, the choice of an appropriate therapy after the progression to a bevacizumab or an EGFR-based first-line treatment should be evaluated according to the patient and disease characteristics and treatment aims. The continuation of bevacizumab beyond progression or its substitution with another anti-angiogenic agents has been shown to increase survival, whereas anti-EGFR monoclonals represent an option in RAS wild-type patients. In addition, specific molecular subgroups, such as BRAF-mutated and Microsatellite Instability-High (MSI-H) mCRCs represent aggressive malignancies that are poorly responsive to standard therapies and deserve targeted approaches. This review provides a critical overview about the state of the art in mCRC second-line treatment and discusses sequential strategies according to key molecular biomarkers. Full article
(This article belongs to the Special Issue Biomarkers of Colorectal Cancer)
Show Figures

Figure 1

11 pages, 438 KB  
Article
Head-to-Head Evaluation of Five Automated SARS-CoV-2 Serology Immunoassays in Various Prevalence Settings
by Diego O. Andrey, Sabine Yerly, Benjamin Meyer, Isabelle Arm-Vernez, Pascale Roux-Lombard, Giuseppe Togni, Idris Guessous, Hervé Spechbach, Silvia Stringhini, Thomas Agoritsas, Jérôme Stirnemann, Jean-Luc Reny, Claire-Anne Siegrist, Isabella Eckerle, Laurent Kaiser and Nicolas Vuilleumier
J. Clin. Med. 2021, 10(8), 1605; https://doi.org/10.3390/jcm10081605 - 10 Apr 2021
Cited by 8 | Viewed by 2768
Abstract
Purpose: To assess the diagnostic performances of five automated anti-SARS-CoV-2 immunoassays, Epitope (N), Diasorin (S1/S2), Euroimmun (S1), Roche N (N), and Roche S (S-RBD), and to provide a testing strategy based on pre-test probability. Methods: We assessed the receiver operating characteristic (ROC) areas [...] Read more.
Purpose: To assess the diagnostic performances of five automated anti-SARS-CoV-2 immunoassays, Epitope (N), Diasorin (S1/S2), Euroimmun (S1), Roche N (N), and Roche S (S-RBD), and to provide a testing strategy based on pre-test probability. Methods: We assessed the receiver operating characteristic (ROC) areas under the curve (AUC) values, along with the sensitivity, specificity, positive predictive values (PPVs), and negative predictive values (NPVs), of each assay using a validation sample set of 172 COVID-19 sera and 185 negative controls against a validated S1-immunofluorescence as a reference method. The three assays displaying the highest AUCs were selected for further serodetection of 2033 sera of a large population-based cohort. Results: In the validation analysis (pre-test probability: 48.1%), Roche N, Roche S and Euroimmun showed the highest discriminant accuracy (AUCs: 0.99, 0.98, and 0.98) with PPVs and NPVs above 96% and 94%, respectively. In the population-based cohort (pre-test probability: 6.2%) these three assays displayed AUCs above 0.97 and PPVs and NPVs above 90.5% and 99.4%, respectively. A sequential strategy using an anti-S assay as screening test and an anti-N as confirmatory assays resulted in a 96.7% PPV and 99.5% NPV, respectively. Conclusions: Euroimmun and both Roche assays performed equally well in high pre-test probability settings. At a lower prevalence, sequentially combining anti-S and anti-N assays resulted in the optimal trade-off between diagnostic performances and operational considerations. Full article
(This article belongs to the Section Infectious Diseases)
Show Figures

Figure 1

14 pages, 735 KB  
Article
Supporting the Sensory Panel to Grade Virgin Olive Oils: An In-House-Validated Screening Tool by Volatile Fingerprinting and Chemometrics
by Beatriz Quintanilla-Casas, Marco Marin, Francesc Guardiola, Diego Luis García-González, Sara Barbieri, Alessandra Bendini, Tullia Gallina Toschi, Stefania Vichi and Alba Tres
Foods 2020, 9(10), 1509; https://doi.org/10.3390/foods9101509 - 21 Oct 2020
Cited by 31 | Viewed by 4859
Abstract
The commercial category of virgin olive oil is currently assigned on the basis of chemical-physical and sensory parameters following official methods. Considering the limited number of samples that can be analysed daily by a sensory panel, an instrumental screening tool could be supportive [...] Read more.
The commercial category of virgin olive oil is currently assigned on the basis of chemical-physical and sensory parameters following official methods. Considering the limited number of samples that can be analysed daily by a sensory panel, an instrumental screening tool could be supportive by reducing the assessors’ workload and improving their performance. The present work aims to in-house validate a screening strategy consisting of two sequential binary partial least squares-discriminant analysis (PLS-DA) models that was suggested to be successful in a proof-of-concept study. This approach is based on the volatile fraction fingerprint obtained by HS-SPME–GC–MS from more than 300 virgin olive oils from two crop seasons graded by six different sensory panels into extra virgin, virgin or lampante categories. Uncertainty ranges were set for the binary classification models according to sensitivity and specificity by means of receiver operating characteristics (ROC) curves, aiming to identify boundary samples. Thereby, performing the screening approach, only the virgin olive oils classified as uncertain (23.3%) would be assessed by a sensory panel, while the rest would be directly classified into a given commercial category (78.9% of correct classification). The sensory panel’s workload would be reduced to less than one-third of the samples. A highly reliable classification of samples would be achieved (84.0%) by combining the proposed screening tool with the reference method (panel test) for the assessment of uncertain samples. Full article
Show Figures

Graphical abstract

17 pages, 8896 KB  
Article
MSR2N: Multi-Stage Rotational Region Based Network for Arbitrary-Oriented Ship Detection in SAR Images
by Zhenru Pan, Rong Yang and Zhimin Zhang
Sensors 2020, 20(8), 2340; https://doi.org/10.3390/s20082340 - 20 Apr 2020
Cited by 51 | Viewed by 3939
Abstract
In synthetic aperture radar (SAR) images, ships are often arbitrary-oriented and densely arranged in complex backgrounds, posing enormous challenges for ship detection. However, most existing methods detect ships with horizontal bounding boxes, which leads to the redundancy of detected regions. Furthermore, the high [...] Read more.
In synthetic aperture radar (SAR) images, ships are often arbitrary-oriented and densely arranged in complex backgrounds, posing enormous challenges for ship detection. However, most existing methods detect ships with horizontal bounding boxes, which leads to the redundancy of detected regions. Furthermore, the high Intersection-over-Union (IoU) between two horizontal bounding boxes of densely arranged ships can cause missing detection. In this paper, a multi-stage rotational region based network (MSR2N) is proposed to solve the above problems. In MSR2N, the rotated bounding boxes, which can reduce background noise and prevent missing detection caused by high IoUs, are utilized to represent ship regions. MSR2N consists of three modules: feature pyramid network (FPN), rotational region proposal network (RRPN), and multi-stage rotational detection network (MSRDN). First of all, the FPN is applied to combine high-resolution features with semantically strong features. Second, in RRPN, a rotation-angle-dependent strategy is employed to generate multi-angle anchors which can represent arbitrary-oriented ship regions more felicitously than horizontal anchors. Finally, the MSRDN with three sub-networks is proposed to regress proposals of ship regions stage by stage. Meanwhile, the incrementally increasing IoU thresholds are selected for resampling positive and negative proposals in sequential stages of MSRDN, which eliminates close false positive proposals successively. With the above characteristics, MSR2N is more suitable and robust for ship detection in SAR images. The experimental results on SAR ship detection dataset (SSDD) show that the MSR2N has achieved state-of-the-art performance. Full article
(This article belongs to the Special Issue Remote Sensing in Vessel Detection and Navigation)
Show Figures

Figure 1

16 pages, 2933 KB  
Article
Community-Based Link-Addition Strategies for Mitigating Cascading Failures in Modern Power Systems
by Po Hu and Lily Lee
Processes 2020, 8(2), 126; https://doi.org/10.3390/pr8020126 - 21 Jan 2020
Cited by 5 | Viewed by 2939
Abstract
The propagation of cascading failures of modern power systems is mainly constrained by the network topology and system parameter. In order to alleviate the cascading failure impacts, it is necessary to adjust the original network topology considering the geographical factors, construction costs and [...] Read more.
The propagation of cascading failures of modern power systems is mainly constrained by the network topology and system parameter. In order to alleviate the cascading failure impacts, it is necessary to adjust the original network topology considering the geographical factors, construction costs and requirements of engineering practice. Based on the complex network theory, the power system is modeled as a directed graph. The graph is divided into communities based on the Fast–Newman algorithm, where each community contains at least one generator node. Combined with the islanding characteristics and the node vulnerability, three low-degree-node-based link-addition strategies are proposed to optimize the original topology. A new evaluation index combining with the attack difficulty and the island ratio is proposed to measure the impacts on the network under sequential attacks. From the analysis of the experimental results of three attack scenarios, this study adopts the proposed strategies to enhance the network connectivity and improve the robustness to some extent. It is therefore helpful to guide the power system cascading failure mitigation strategies and network optimization planning. Full article
Show Figures

Figure 1

Back to TopTop