Sign in to use this feature.

Years

Between: -

Subjects

remove_circle_outline
remove_circle_outline
remove_circle_outline
remove_circle_outline
remove_circle_outline
remove_circle_outline
remove_circle_outline

Journals

Article Types

Countries / Regions

Search Results (13)

Search Parameters:
Keywords = self-ligating appliances

Order results
Result details
Results per page
Select all
Export citation of selected articles as:
16 pages, 12922 KB  
Article
Three-Dimensional Accuracy of Digitally Planned Orthodontic Tooth Movement in a Fully Customized Self-Ligating Lingual System
by Arda Arısan and Tülin Taner
Bioengineering 2026, 13(1), 94; https://doi.org/10.3390/bioengineering13010094 - 14 Jan 2026
Viewed by 16
Abstract
Background: Lingual orthodontic systems have recently advanced with the introduction of fully customized CAD/CAM-based designs featuring self-ligating (SL) mechanisms. This study aimed to evaluate the three-dimensional accuracy of a customized SL lingual system in reproducing digitally planned tooth positions. Methods: A [...] Read more.
Background: Lingual orthodontic systems have recently advanced with the introduction of fully customized CAD/CAM-based designs featuring self-ligating (SL) mechanisms. This study aimed to evaluate the three-dimensional accuracy of a customized SL lingual system in reproducing digitally planned tooth positions. Methods: A total of 280 teeth were analyzed following treatment with a fully customized self-ligating lingual system (Harmony®, Aso International Inc., Tokyo, Japan). Digital models obtained before treatment (T0), from the setup (TS), and after treatment (T1) were superimposed using a best fit algorithm in GOM Inspect. Tooth movements were quantified across seven biomechanically relevant parameters including tip, torque, rotation, buccolingual, mesiodistal, vertical, and overall displacement. Predicted and achieved movements were compared using paired t tests and Bland–Altman analysis. Results: The fully customized SL lingual appliance achieved an overall dentition accuracy of 92.1%. Mean accuracy for linear tooth movements was 94.5% ± 2.1% in the maxilla and 93.8% ± 2.5% in the mandible. For angular movements, mean accuracy was 90.8% ± 3.4% in the maxilla and 89.3% ± 3.9% in the mandible. The highest precision was observed in anterior teeth for mesiodistal (96.2%) and buccolingual (95.8%) movements, whereas the lowest accuracy occurred in rotational movements of the posterior segments (87.1%). No statistically significant differences were found between predicted and achieved movements for most parameters (p > 0.05). Conclusions: The fully customized SL lingual orthodontic system demonstrated high accuracy in reproducing digitally planned tooth movements, particularly in the anterior segments. Although accuracy was slightly lower in the posterior regions, the overall outcomes remained mechanically and clinically acceptable across all evaluated dimensions. Full article
(This article belongs to the Section Biomedical Engineering and Biomaterials)
Show Figures

Graphical abstract

12 pages, 1451 KB  
Article
Does the Phase-One Functional Therapy Increase the Risk of an External Apical Root Resorption Following the Phase-Two Fixed Orthodontic Treatment? A Pilot Study
by Sara Eslami, Jakob Stuhlfelder, Suh-In Rhie, Sarah Bühling, Mauricio Gonzalez Balut, Ludovica Nucci, Abdolreza Jamilian and Babak Sayahpour
Dent. J. 2025, 13(3), 95; https://doi.org/10.3390/dj13030095 - 24 Feb 2025
Cited by 1 | Viewed by 2008
Abstract
Background: This retrospective study aimed to analyze the frequency and extent of apical root resorptions (EARR) during orthodontic treatment in the upper and lower incisors, as well as lower molars, using orthopantomograms (OPG). Potential influencing factors such as age, gender, root shape, [...] Read more.
Background: This retrospective study aimed to analyze the frequency and extent of apical root resorptions (EARR) during orthodontic treatment in the upper and lower incisors, as well as lower molars, using orthopantomograms (OPG). Potential influencing factors such as age, gender, root shape, type of orthodontic appliance, and treatment duration were examined as well. Methods: A total of 57 patients who completed their treatment at the orthodontic department of the Goethe University of Frankfurt between 2011 and 2018 were included in the study. These patients had a combined total of 570 teeth, which were divided into two groups. Group 1 consisted of 20 patients (average age at T0: 10.1 ± 1.2 years old) received a one-phase fixed orthodontic treatment using passive self-ligating Damon bracket system (average duration of 2.1 years ± 6 months), while group 2 consisted of 37 patients (average age at T0: 12.4 ± 2.8 years old) underwent a two-phase therapy, which involved a phase-one functional therapy (average duration of 1.7 years ± 6 months) prior to the phase-two fixed orthodontic treatment with the Damon system (average duration of 1.5 ± 4 months) with a total treatment time of 3.2 years ± 7 months. To determine the extent of post-treatment root resorption of the upper and lower incisors, as well as the first lower molars, crown–root ratio was calculated for each tooth using the pre- and post-treatment OPGs. Additionally, each tooth was assigned a degree of resorption according to the Levander and Malmgren classification. The inter-group comparisons were conducted using the Wilcoxon Mann–Whitney U test. Spearman’s correlation analysis was used to assess the relationship between age, treatment duration, and EARR. The association between gender, root morphology, and EARR was evaluated using the Wilcoxon Mann–Whitney U test. For nominally scaled variables, the Chi-square test was used. The statistical significance was set at p < 0.05. Results: No statistically significant differences were seen between groups 1 and 2 regarding the degree of root resorption (p = 0.89). The study found that the average root resorption for all examined teeth was −5.14%, indicating a slight reduction in the length of the tooth roots after orthodontic treatment. However, no significant differences were observed concerning gender, age, type of orthodontic appliance or treatment duration. Comparisons between upper and lower jaws also did not yield statistically significant differences. The majority of teeth in the study exhibited a normal root shape. The short root length and a pipette formed roots were significantly associated with a higher risk of root resorption (p = 0.001). Conclusions: The study’s findings suggest that the two-phase orthodontic treatment does not increase the risk of EARR compared to one-phase therapy significantly. Some degree of root resorption occurred as a result of orthodontic treatment in both groups. Notably, abnormal root forms were identified as influential factors that could help predict the likelihood of root resorption following orthodontic treatment. Full article
(This article belongs to the Special Issue Dentistry in the 21st Century: Challenges and Opportunities)
Show Figures

Figure 1

10 pages, 1991 KB  
Article
Factors Related to Bracket Bond Failure during Orthodontic Treatment: A Single-Centre Single-Operator Study
by Olivier Quinty, Gregory S. Antonarakis, Stavros Kiliaridis and Anestis Mavropoulos
Dent. J. 2024, 12(10), 300; https://doi.org/10.3390/dj12100300 - 24 Sep 2024
Cited by 1 | Viewed by 3452
Abstract
This study aimed to investigate the influence of various patient-specific and bracket location-specific factors on bracket survival rates during comprehensive fixed appliance orthodontic treatment. A total of 197 patients (116 females, 81 males; mean age 16.3 years) having completed orthodontic treatment were included [...] Read more.
This study aimed to investigate the influence of various patient-specific and bracket location-specific factors on bracket survival rates during comprehensive fixed appliance orthodontic treatment. A total of 197 patients (116 females, 81 males; mean age 16.3 years) having completed orthodontic treatment were included in this retrospective cohort study. Patients were treated using stainless steel non-self-ligating brackets, and the treatment duration was 23.7 months on average. The primary outcome was bracket bond failure. Potential predictors for bracket bond failure recorded included age, sex, oral hygiene, treatment duration, and several pre-treatment cephalometric characteristics such as overjet, overbite, and sagittal and vertical skeletal relationships. Factors associated with bracket failure were analysed with Cox regression, and proportional hazard assumptions were assessed using Kaplan–Meier tests. The overall failure rate was 4.4%. Bracket bond failure rates varied among tooth types and seemed to occur more on posterior teeth and on the right side of the arch. Bracket failure was more common in male patients and those with poor oral hygiene. Concerning dentofacial characteristics, bracket failure of anterior teeth was more common in those with an increased overjet and overbite. Full article
Show Figures

Figure 1

12 pages, 10917 KB  
Case Report
Early Diagnosis and Treatment of Mandibular Second Premolar Impaction: A Case Report
by Anna-Maria Janosy, Abel Emanuel Moca and Raluca Iulia Juncar
Diagnostics 2024, 14(15), 1610; https://doi.org/10.3390/diagnostics14151610 - 26 Jul 2024
Cited by 2 | Viewed by 3700
Abstract
Odontogenesis, the process of tooth formation, is complex and susceptible to disruptions that can result in dental anomalies such as tooth impaction. The mandibular second premolar, though less commonly impacted than wisdom teeth, presents a unique challenge in pediatric dentistry due to its [...] Read more.
Odontogenesis, the process of tooth formation, is complex and susceptible to disruptions that can result in dental anomalies such as tooth impaction. The mandibular second premolar, though less commonly impacted than wisdom teeth, presents a unique challenge in pediatric dentistry due to its intricate etiology and the need for timely intervention. This case report aims to highlight the significance of early diagnosis and conservative management strategies in treating mandibular second premolar impaction. The case involves a pediatric patient with impacted mandibular second premolars. Initial treatment included the use of a lower removable appliance with an expansion screw to alleviate crowding, followed by a fixed space maintainer and a Haas rapid palatal expander. These interventions created the necessary space for the premolars to erupt. Self-ligating brackets were later applied, reducing friction and improving periodontal health. The patient underwent two CBCT examinations to monitor progress, which confirmed the successful eruption and alignment of the impacted premolars without the need for surgical exposure. This case underscores the effectiveness of early diagnosis and minimally invasive treatment in managing mandibular second premolar impaction. The tailored approach facilitated the natural eruption of the teeth, highlighting the importance of individualized treatment plans. Future research should focus on optimizing these conservative strategies to enhance patient outcomes in similar cases. Full article
Show Figures

Figure 1

14 pages, 6365 KB  
Article
Use of Electropolishing in Orthodontic Appliances: An Option to Reduce the Risk of Metal Hypersensitivity
by Edith Lara-Carrillo, Ulises Velázquez-Enríquez, Brenda Andrea Ramírez-García, María Fernanda Lara-Fonseca, Raúl A. Morales-Luckie, Ana Miriam Santillán-Reyes, Victor Hugo Toral-Rizo, Elias Nahúm Salmerón-Valdés and Adriana Alejandra Morales-Valenzuela
Dent. J. 2024, 12(7), 193; https://doi.org/10.3390/dj12070193 - 24 Jun 2024
Viewed by 1837
Abstract
Electropolishing is a common treatment in the industry; however, how it behaves in the mouth and what benefits it can bring over metal dental attachments have not yet been established. Thus, the aim of this study was to determine the levels of corrosion, [...] Read more.
Electropolishing is a common treatment in the industry; however, how it behaves in the mouth and what benefits it can bring over metal dental attachments have not yet been established. Thus, the aim of this study was to determine the levels of corrosion, the released metal ions, and the changes in structural composition in metallic orthodontic appliances following electropolishing treatment. This study included 56 orthodontic brackets and 28 archwires. The samples were subjected to a pH cycle to simulate an oral environment. Using UV–Vis spectrophotometry, the release of metallic particles was evaluated, and using scanning electron microscopy, the structural and composition changes were evaluated. Groups were compared using Student’s t-tests with a value of p ≤ 0.05. The cyclical pH solutions showed variations between groups and days (1, 3, 5, 7 and 15), reaching the highest acidification in the self-ligating brackets; the absorbance between solutions did not differ significantly. As seen from the SEM results, the experimental group showed minor irregularities compared with the control groups. The experimental brackets decreased in iron and increased in chromium after electropolishing, while for the NiTi archwires, they decreased in nickel. Therefore, electropolishing treatments in metallic orthodontic attachments improve their surface structure and corrosion resistance could reduce the risk of metal hypersensitivity, mainly from nickel. Full article
(This article belongs to the Special Issue Dental Materials Design and Innovative Treatment Approach)
Show Figures

Figure 1

12 pages, 1078 KB  
Article
Influence of Different Orthodontic Brackets on Cytokine and Cortisol Profile
by I. Pantsulaia, N. Orjonikidze, I. Kvachadze, T. Mikadze and T. Chikovani
Medicina 2023, 59(3), 566; https://doi.org/10.3390/medicina59030566 - 14 Mar 2023
Cited by 1 | Viewed by 2628
Abstract
Background and Objectives: Orthodontic tooth movement (OTM) requires bone remodeling resulting from complex processes of aseptic inflammation. Recent studies have confirmed close interaction between the immune and skeletal systems. In addition, various orthodontic appliances including fixed systems affect the sublingual microbial composition, [...] Read more.
Background and Objectives: Orthodontic tooth movement (OTM) requires bone remodeling resulting from complex processes of aseptic inflammation. Recent studies have confirmed close interaction between the immune and skeletal systems. In addition, various orthodontic appliances including fixed systems affect the sublingual microbial composition, and the likelihood of developing inflammatory reactions of the gums is high, especially early in the treatment period. It is known that these systems have both positive and negative effects on the humoral and cellular immune responses. The main aim of the study was to evaluate the influence of self-ligating and conventional brackets on the salivary concentrations of cytokines (IL-6, osteoprotegerin (OPG), TNF-alpha, and IFN-gamma) and cortisol as a marker of stress. Materials and Methods: Forty patients were analyzed at baseline (T0) and 2 months (T2) after fixing self-ligating (Ormco Damond Q) and conventional brackets (Ormco Mini Diamond). Salivary cytokine and cortisol concentrations were evaluated by commercial ELISA kits. Results: Outcomes of our study showed that after two months of treatment with either of these brackets, IFN-gamma and IL-6 levels did not change. However, TNF-alpha decreased with self-ligating brackets (13.36 to 8.32, p = 0.002). The self-ligating bracket system also affects OPG concentration and cortisol levels 2 months after orthodontic activation. The level of OPG in the group of self-ligating brackets decreased significantly (8.55 to 2.72, p = 0.003). Cortisol concentration was significantly higher in the self-ligation group (25.72 to 48.45, p = 0.001) due to the effect of sustained strength movements. Conclusions: Thus, the use of self-ligating and conventional brackets has a different effect on the concentration of cortisol and cytokines (OPG and TNF-alpha) in saliva 2 months after their fixation. Further longitudinal studies are necessary to explore why OPG levels are decreased in case of self-ligating cases and how OPG levels are related to clinical improvement. Full article
(This article belongs to the Special Issue Dental Sciences and Potential Biomarkers)
Show Figures

Figure 1

15 pages, 965 KB  
Review
White Spot Lesions (WSLs)—Post-Orthodontic Occurrence, Management and Treatment Alternatives: A Narrative Review
by Luminita Lazar, Alexandru Vlasa, Liana Beresescu, Anamaria Bud, Ana Petra Lazar, Larisa Matei and Eugen Bud
J. Clin. Med. 2023, 12(5), 1908; https://doi.org/10.3390/jcm12051908 - 28 Feb 2023
Cited by 33 | Viewed by 9419
Abstract
Although treatment with fixed or mobile appliances has become an important part of modern orthodontics, side effects such as white spot lesions (WSLs) have a negative impact on the aesthetic outcome of orthodontic treatment. The purpose of this article was to review current [...] Read more.
Although treatment with fixed or mobile appliances has become an important part of modern orthodontics, side effects such as white spot lesions (WSLs) have a negative impact on the aesthetic outcome of orthodontic treatment. The purpose of this article was to review current evidence on the diagnosis, risk assessment, prevention, management and post-orthodontic treatment of these lesions. Data collection was performed electronically, and the initial search using the keywords “white spot lesions”, “orthodontics”, “WSL”, “enamel” and “demineralization” in different combinations resulted in 1032 articles for the two electronic databases used. Ultimately, a total of 47 manuscripts were considered relevant to the aim of this research and included in this review. The results of the review indicate that WSLs remain a significant problem during orthodontic treatment. According to studies in the literature, the severity of WSLs correlates to the duration of treatment. Using toothpaste with more than 1000 ppm fluoride at home reduces the frequency of WSL separation and regular application of varnishes in the office reduces the frequency of the occurrence of WSLs only in the context of maintaining a strict hygiene regime. The old hypothesis that elastomeric ligatures retain more dental plaque than metal ones has been refuted. There are no differences in the appearance of WSLs between conventional brackets and self-ligating brackets. Clear aligner mobile devices develop fewer WSLs but are more extensive as opposed to conventional fixed devices, while lingual orthodontic appliances have a lower incidence of WSLs, and the most effective device for preventing these lesions is WIN, followed by Incognito. Full article
(This article belongs to the Special Issue Clinical Advances in Cosmetic Dentistry)
Show Figures

Figure 1

10 pages, 1776 KB  
Systematic Review
Periodontal Health in Patients with Self-Ligating Brackets: A Systematic Review of Clinical Studies
by Alexandru Mester, Florin Onisor and Anca Stefania Mesaros
J. Clin. Med. 2022, 11(9), 2570; https://doi.org/10.3390/jcm11092570 - 4 May 2022
Cited by 8 | Viewed by 3570
Abstract
Background and objectives: The aim of this systematic review with meta-analysis is to assess the available evidence from human clinical studies of using self-ligating brackets compared to conventional brackets in maintaining periodontal health. Materials and methods: The protocol details were registered in the [...] Read more.
Background and objectives: The aim of this systematic review with meta-analysis is to assess the available evidence from human clinical studies of using self-ligating brackets compared to conventional brackets in maintaining periodontal health. Materials and methods: The protocol details were registered in the PROSPERO database (CRD42022302689). This review was performed under the PRISMA guidelines. The electronic search was performed in PubMed, Scopus, Web of Science and grey literature databases, as well as manual searches to find relevant articles published until January 2022. The inclusion criteria consisted of human clinical studies which reported the use of fixed orthodontic treatment with self-ligating brackets (SLBs) or conventional brackets (CBs) in maintaining periodontal health. Results: A total of 453 studies were imported into the Covidence Platform from the databases. Of these, six articles met the inclusion criteria. For plaque index, statistical significance was achieved for SLBs compared to CBs (0.31 (95% CI (0.15 to 0.48), p = 0.0001). For gingival index, probing depth and bleeding on probing no statistical significance was achieved. None of the included studies assessed clinical attachment level. Conclusions: The present systematic review with meta-analysis was considered to provide relevant data on periodontal health during orthodontic treatment in patients with SLBs in comparison with patients wearing CBs. Our findings indicated that SLBs are not superior to CBs in terms of periodontal health. Full article
(This article belongs to the Section Dentistry, Oral Surgery and Oral Medicine)
Show Figures

Figure 1

12 pages, 3924 KB  
Article
Reducing Friction in Orthodontic Brackets: A Matter of Material or Type of Ligation Selection? In-Vitro Comparative Study
by Anca-Oana Dragomirescu, Maria-Angelica Bencze, Adriana Vasilache, Elina Teodorescu, Cristina-Crenguța Albu, Nicoleta Olivia Popoviciu and Ecaterina Ionescu
Materials 2022, 15(7), 2640; https://doi.org/10.3390/ma15072640 - 3 Apr 2022
Cited by 15 | Viewed by 4159
Abstract
(1) Background: Orthodontic appliances have changed and improved with the increasing demand for orthodontic treatment of the general population. Patients desire for shorter orthodontic treatments and for the wearing of more aesthetic devices has led to the technological development of orthodontic brackets; these [...] Read more.
(1) Background: Orthodontic appliances have changed and improved with the increasing demand for orthodontic treatment of the general population. Patients desire for shorter orthodontic treatments and for the wearing of more aesthetic devices has led to the technological development of orthodontic brackets; these were manufactured from aesthetic materials (ceramics, composite polymers) and presented different designs regarding the way archwires are ligated to the bracket. The aim of this study was to determine whether there were any differences between the static frictional forces generated by stainless steel (metallic) and polycrystalline alumina (ceramics) conventional and self-ligating brackets. (2) Methods: Static friction assessment was carried out in vitro with a universal testing machine, HV-500N-S (Schmidt Control Instruments, Hans Schmidt & Co. GmbH), intended for measuring compression and traction forces. (3) Results: The study revealed significant differences in static frictional forces at the bracket-archwire interface between the tested brackets. Stainless steel brackets produced lower static friction forces than polycrystalline alumina and self-ligating brackets generally produced lower static frictional forces than conventional brackets. The reduction of frictional forces was noticeable in the first stages of treatment, when thin, flexible orthodontic archwires (0.016” NiTi) are used. Engaged with large rectangular stainless steel archwires, (0.019 × 0.025” SS), the frictional forces produced by conventional and self-ligating metal brackets were similar, no significant differences being observed between the two types of metallic design. However, in the case of tested ceramic brackets, the results showed that the self-ligating type allows a reduction in frictional forces even in advanced stages of treatment compared to conventionally ligation. (4) Conclusions: From the perspective of an orthodontic system with low frictional forces, metal brackets are preferable to aesthetic ones, and self-ligating ceramic brackets are preferable to conventional ceramic brackets. Full article
(This article belongs to the Special Issue Novel Materials in Dentistry and Medical Applications)
Show Figures

Figure 1

13 pages, 5037 KB  
Case Report
A Novel Technique for Shortening Orthodontic Treatment: The “JET System”
by Shinichi Narita, Kiyoko Narita and Masaru Yamaguchi
Medicina 2022, 58(2), 150; https://doi.org/10.3390/medicina58020150 - 19 Jan 2022
Cited by 3 | Viewed by 7136
Abstract
We have developed a novel technique, the Jiyugaoka Enjoyable Treatment (JET) system, to complete orthodontic treatment in a short time. It entails the use of the regional acceleratory phenomenon (RAP), light continuous forces and low friction in cases involving extraction. In the JET [...] Read more.
We have developed a novel technique, the Jiyugaoka Enjoyable Treatment (JET) system, to complete orthodontic treatment in a short time. It entails the use of the regional acceleratory phenomenon (RAP), light continuous forces and low friction in cases involving extraction. In the JET system, tooth extraction not only creates space, but also triggers the RAP; thus tooth extraction accelerates orthodontic treatment. We describe for the first time how to use the JET system to shorten treatment time in a patient in whom four premolars were extracted. A 15 year old girl patient exhibited an Angle Class I bimaxillary protrusion with moderate crowding in the maxillary (−5.0 mm) and mandibular arches (−3.5 mm). Her facial appearance was slightly asymmetric, and her facial profile was convex. Immediately after the simultaneous extraction of the maxillary first premolars and mandibular second premolars, orthodontic treatment was started with a combination of passive self-ligating brackets and super-elastic nickel-titanium closed coil springs that provided orthodontic forces of less than 50 gf (1.8 ozf). The appliance was adjusted once a month. The total treatment time was 13 months. Cephalometric superimpositions showed a slight anchorage loss, and panoramic radiographs showed a slight apical root resorption but no significant reduction in the crest bone height. At the 3-year 6-month retention follow-up, stability was excellent. The JET system might shorten the orthodontic treatment period without serious anchorage loss or other adverse effects. Full article
(This article belongs to the Collection New Concepts for Dental Treatments and Evaluations)
Show Figures

Figure 1

14 pages, 1241 KB  
Article
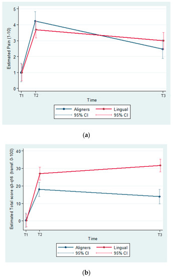
Oral Impacts of Aligners versus Fixed Self-Ligating Lingual Orthodontic Appliances
by Gerassimos G. Angelopoulos, Panagiotis Kanarelis, Georgia Vagdouti, Ageliki Zavlanou and Iosif Sifakakis
Appl. Sci. 2021, 11(21), 10074; https://doi.org/10.3390/app112110074 - 27 Oct 2021
Cited by 5 | Viewed by 3572
Abstract
The aim of this prospective study was to compare a fixed lingual orthodontic appliance with a commonly used aligner system, focusing on oral impacts and speech disturbances, during the first 3 months of orthodontic treatment. Two groups of adults were evaluated: 21 treated [...] Read more.
The aim of this prospective study was to compare a fixed lingual orthodontic appliance with a commonly used aligner system, focusing on oral impacts and speech disturbances, during the first 3 months of orthodontic treatment. Two groups of adults were evaluated: 21 treated with Invisalign® and 26 with In-Ovation L® lingual brackets. Health-related quality of life questionnaires were used to assess the oral impacts, and speech samples were collected for speech evaluation by professionals. The levels of pain and painkiller intake were similar, increasing on the first day, and decreasing at 3 months. Subtle injuries on the lip and cheeks were initially reported in the aligner group. Lingual patients experienced more discomfort in swallowing and opening the mouth, tongue injuries and food residues, even at 3 months. The consonants “s” and “z” were mainly affected in both groups immediately after appliance insertion, but more often in the aligner group. These speech disturbances recovered in the following 3 months. In conclusion, both groups reported disturbances in quality-of-life measures; however, patients wearing lingual appliances experienced more disturbances, which persisted after three months. Speech disturbances were slightly more pronounced in the aligner group and recovered after three months. Full article
Show Figures

Figure 1

10 pages, 817 KB  
Article
The Influence of Friction on Design of the Type of Bracket and Its Relation to OHRQoL in Patients Who Use Multi-Bracket Appliances: A Randomized Clinical Trial
by Adriana González-Sáez, Laura Antonio-Zancajo, Javier Montero, Alberto Albaladejo, María Melo, Daniele Garcovich and Alfonso Alvarado-Lorenzo
Medicina 2021, 57(2), 171; https://doi.org/10.3390/medicina57020171 - 17 Feb 2021
Cited by 6 | Viewed by 2688
Abstract
Background and objectives: The aim of this study was to evaluate the influence of friction on design of the type of bracket, patients’ perception of pain and the impact on their oral health-related quality of life. Materials and Methods: A randomized clinical trial [...] Read more.
Background and objectives: The aim of this study was to evaluate the influence of friction on design of the type of bracket, patients’ perception of pain and the impact on their oral health-related quality of life. Materials and Methods: A randomized clinical trial was carried out with 90 patients (62.2% women and 37.8% men) with three kinds of fixed multi-bracket appliances: Conventional (GC), fixed multi-bracket low friction (GS) and self-ligating (GA). The VAS (Visual Analogue Scale) was used to determine pain during the first seven days of treatment at different points in time. The patients were also given the OHIP-14 (Oral Health Impact Profile) questionnaire to analyse their oral health-related quality of life (OHRQoL) after the first 30 days of treatment. The ANOVA test was used for the analysis of the variables and the post hoc Bonferroni test for the comparison between groups. Results: Maximum pain was observed between one and two days after the start of treatment. The GC group showed the greatest degree of pain, with maximum values (4.5 ± 2.0) at 24 h. The self-ligation brackets show lower impact on patients’ oral health-related quality of life (0.8 ± 2.2, p < 0.01). Conclusions: Friction in the type of bracket influences pain and the Oral Health-Related Quality of Life of patients who use multi-bracket fixed orthodontics. Full article
Show Figures

Figure 1

13 pages, 5812 KB  
Case Report
A Full Diagnostic Process for the Orthodontic Treatment Strategy: A Documented Case Report
by Antonino Lo Giudice, Lorenzo Rustico, Vincenzo Ronsivalle, Paola Spinuzza, Alessandro Polizzi, Angela Mirea Bellocchio, Simone Scapellato, Marco Portelli and Riccardo Nucera
Dent. J. 2020, 8(2), 41; https://doi.org/10.3390/dj8020041 - 6 May 2020
Cited by 2 | Viewed by 4984
Abstract
The need for extractions in orthodontic treatment has always been a controversial topic. However, to date there is not a specific clinical guideline that can help the clinicians deciding to plan an extractive or a non-extractive orthodontic treatment. In this respect, clinicians must [...] Read more.
The need for extractions in orthodontic treatment has always been a controversial topic. However, to date there is not a specific clinical guideline that can help the clinicians deciding to plan an extractive or a non-extractive orthodontic treatment. In this respect, clinicians must deal with patients’ occlusal, functional, periodontal and aesthetics characteristics before planning an orthodontic treatment including extraction. Considering the absence of specific guidelines, the choice to extract teeth or not is complicated, particularly in borderline cases. In this case report, we present a borderline case of a patient with the skeletal Class III pattern and significant crowding in both arches that could be treated with or without extraction, illustrating the diagnostic and decision-making processes that were conducted for the orthodontic treatment strategy. Full article
(This article belongs to the Special Issue Pathogenesis of Periodontal Disease)
Show Figures

Graphical abstract

Back to TopTop