Sign in to use this feature.

Years

Between: -

Subjects

remove_circle_outline
remove_circle_outline
remove_circle_outline
remove_circle_outline
remove_circle_outline
remove_circle_outline
remove_circle_outline
remove_circle_outline
remove_circle_outline

Journals

Article Types

Countries / Regions

Search Results (11)

Search Parameters:
Keywords = second-moment closure

Order results
Result details
Results per page
Select all
Export citation of selected articles as:
19 pages, 8977 KB  
Article
Eulerian-Eulerian Modeling of the Features of Mean and Fluctuational Flow Structure and Dispersed Phase Motion in Axisymmetric Round Two-Phase Jets
by Maksim A. Pakhomov and Viktor I. Terekhov
Mathematics 2023, 11(11), 2533; https://doi.org/10.3390/math11112533 - 31 May 2023
Cited by 2 | Viewed by 2147
Abstract
The features of the local mean and fluctuational flow structure, carrier phase turbulence and the propagation of the dispersed phase in the bubbly and droplet-laden isothermal round polydispersed jets were numerically simulated. The dynamics of the polydispersed phase is predicted using the Eulerian–Eulerian [...] Read more.
The features of the local mean and fluctuational flow structure, carrier phase turbulence and the propagation of the dispersed phase in the bubbly and droplet-laden isothermal round polydispersed jets were numerically simulated. The dynamics of the polydispersed phase is predicted using the Eulerian–Eulerian two-fluid approach. Turbulence of the carrier phase is described using the second-moment closure while taking into account the presence of the dispersed phase. The numerical analysis was performed in a wide range of variation of dispersed phase diameter at the inlet and particle-to-fluid density ratio (from gas flow laden with water droplets to carrier fluid flow laden with gas bubbles). An increase in the concentration of air bubbles and their size leads to jet expansion (as compared to a single-phase jet up to 40%), which indicates an increase in the intensity of the process of turbulent mixing with the surrounding space. However, this makes the gas-droplet jet narrower (up to 15%) and with a longer range in comparison with a single-phase flow. The addition of finely dispersed liquid droplets to an air jet suppresses gas phase turbulence (up to 15%). In a bubbly jet, it is found that small bubbles (Stk < 0.1) accumulate near the jet axis in the initial cross-sections, while concentration of the large ones (Stk > 0.2) along the jet axis decreases rapidly. In the gas-droplet jet, the effect of dispersed phase accumulation is also observed in the initial cross-section, and then its concentration decreases gradually along the jet axis. For gas bubbles (Stk < 0.1), small turbulence attenuation (up to 6%) is shown. Full article
Show Figures

Figure 1

15 pages, 503 KB  
Article
Moment-Based Stochastic Analysis of a Bistable Energy Harvester with Matching Network
by Kailing Song, Michele Bonnin, Fabio L. Traversa and Fabrizio Bonani
Appl. Sci. 2023, 13(6), 3880; https://doi.org/10.3390/app13063880 - 18 Mar 2023
Cited by 2 | Viewed by 1774
Abstract
We discuss the analysis of a piezoelectric energy harvester for random mechanical vibrations, and we assess the performance improvement guaranteed by interposing a matching network between the transducer and the electrical load, in terms of average output power and power efficiency. The mathematical [...] Read more.
We discuss the analysis of a piezoelectric energy harvester for random mechanical vibrations, and we assess the performance improvement guaranteed by interposing a matching network between the transducer and the electrical load, in terms of average output power and power efficiency. The mathematical model describing the harvester is a system of stochastic differential equations, where both cases of linear and nonlinear devices are considered. In the linear case, the power delivered to the load is increased by a factor of about 20 with respect to the direct connection, with a similar increase in the conversion efficiency. In the nonlinear case, we use a moment closure technique to calculate the first- and second-order moments of the electro-mechanical variables in the weak noise limit. Moment calculation is used to determine the optimal values of the matching network components that maximize the performance. In the strong noise limit, the state equations are integrated numerically to determine the same performance metrics. Our analysis shows that a properly designed matching network improves the performance by a significant amount, especially at low noise intensity. Full article
(This article belongs to the Special Issue State-of-the-Art in Energy Harvesting for IoT and WSN)
Show Figures

Figure 1

38 pages, 485 KB  
Article
Six-Field Theory for a Polyatomic Gas Mixture: Extended Thermodynamics and Kinetic Models
by Milana Pavić-Čolić and Srboljub Simić
Fluids 2022, 7(12), 381; https://doi.org/10.3390/fluids7120381 - 9 Dec 2022
Cited by 4 | Viewed by 2006
Abstract
Polyatomic gases may be characterized by internal molecular degrees of freedom. As a consequence, at a macroscopic level, dynamic pressure appears, which may be related to the bulk viscosity of the gas. Inspired by the models of a single polyatomic gas with six [...] Read more.
Polyatomic gases may be characterized by internal molecular degrees of freedom. As a consequence, at a macroscopic level, dynamic pressure appears, which may be related to the bulk viscosity of the gas. Inspired by the models of a single polyatomic gas with six fields, developed within rational extended thermodynamics (RET) and the kinetic theory of gases, this paper presents a six-field theory for the mixture of polyatomic gases. First, the macroscopic mixture model is developed within the framework of RET. Second, the mixture of gases with six fields is analyzed in the context of the kinetic theory of gases, and corresponding moment equations are derived. Finally, complete closure of the RET model, i.e., computation of the phenomenological coefficients, is achieved by means of a combined macroscopic/kinetic closure procedure. Full article
(This article belongs to the Special Issue Bulk Viscosity and Relaxation Processes: Revisited)
23 pages, 8694 KB  
Article
Hydrodynamic Predictions of the Ultralight Particle Dispersions in a Bubbling Fluidized Bed
by Hailang Liu, Guohui Li and Yang Liu
Processes 2022, 10(7), 1390; https://doi.org/10.3390/pr10071390 - 16 Jul 2022
Cited by 6 | Viewed by 1852
Abstract
Particle and gas flow characteristics are numerically simulated by means of a proposed gas–particle second-order moment two-fluid model with particle kinetic–friction stress model in a bubbling fluidized bed. Anisotropic behaviors of gas–solid two-phase stresses and their interactions are fully considered by the two-phase [...] Read more.
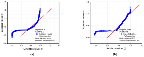
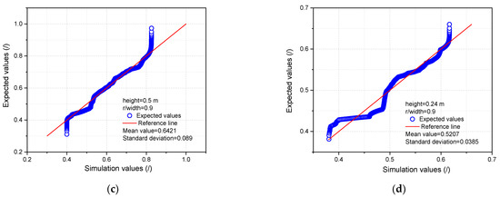
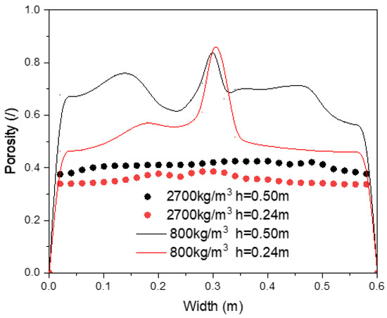
Particle and gas flow characteristics are numerically simulated by means of a proposed gas–particle second-order moment two-fluid model with particle kinetic–friction stress model in a bubbling fluidized bed. Anisotropic behaviors of gas–solid two-phase stresses and their interactions are fully considered by the two-phase Reynolds stress model and their closure correlations. The dispersion behaviors of the non-spherical expand graphite and spherical heavy particles are predicted by using the parameters of distributions of particle velocity, porosity, granular temperature, and dominant frequency. Compared to particles density 2700 kg/m3, ultralight particles exhibit the higher voidages with big bubbles and larger axial-averaged velocity of particles and stronger dispersion behaviors. Maximum granular temperature is approximately 3.0 times greater than that one, and dominant frequency for axial porosity fluctuations is 1.5 Hz that is 1/3 time as larger as that heavy particle. Full article
(This article belongs to the Section Particle Processes)
Show Figures

Figure 1

15 pages, 13802 KB  
Article
Semi-Dilute Dumbbells: Solutions of the Fokker–Planck Equation
by Stephen Chaffin and Julia Rees
J 2021, 4(3), 341-355; https://doi.org/10.3390/j4030026 - 14 Jul 2021
Cited by 1 | Viewed by 3056
Abstract
Spring bead models are commonly used in the constitutive equations for polymer melts. One such model based on kinetic theory—the finitely extensible nonlinear elastic dumbbell model incorporating a Peterlin closure approximation (FENE-P)—has previously been applied to study concentration-dependent anisotropy with the inclusion of [...] Read more.
Spring bead models are commonly used in the constitutive equations for polymer melts. One such model based on kinetic theory—the finitely extensible nonlinear elastic dumbbell model incorporating a Peterlin closure approximation (FENE-P)—has previously been applied to study concentration-dependent anisotropy with the inclusion of a mean-field term to account for intermolecular forces in dilute polymer solutions for background profiles of weak shear and elongation. These investigations involved the solution of the Fokker–Planck equation incorporating a constitutive equation for the second moment. In this paper, we extend this analysis to include the effects of large background shear and elongation beyond the Hookean regime. Further, the constitutive equation is solved for the probability density function which permits the computation of any macroscopic variable, allowing direct comparison of the model predictions with molecular dynamics simulations. It was found that if the concentration effects at equilibrium are taken into account, the FENE-P model gives qualitatively the correct predictions, although the over-shoot in extension in comparison to the infinitely dilute case is significantly underpredicted. Full article
(This article belongs to the Section Computer Science & Mathematics)
Show Figures

Graphical abstract

13 pages, 5702 KB  
Article
RANS Simulation of the Effect of Pulse Form on Fluid Flow and Convective Heat Transfer in an Intermittent Round Jet Impingement
by M. A. Pakhomov and V. I. Terekhov
Energies 2020, 13(15), 4025; https://doi.org/10.3390/en13154025 - 4 Aug 2020
Cited by 8 | Viewed by 3405
Abstract
The of effect pulse form (rectangular, sinusoidal and triangular) on the fluid flow and heat transfer of an intermittent jet impingement was studied numerically. It was shown in a non-steady-state jet, both an increase and decrease in heat transfer are possible compared with [...] Read more.
The of effect pulse form (rectangular, sinusoidal and triangular) on the fluid flow and heat transfer of an intermittent jet impingement was studied numerically. It was shown in a non-steady-state jet, both an increase and decrease in heat transfer are possible compared with steady-state jet for all investigated pulse forms. For small distances between the pipe edge and obstacle (H/D ≤ 6) in the pulsed jet, heat transfer around the stagnation point increases with increasing pulse frequency, while for H/D > 8 an increase in frequency causes a heat transfer decrease. A growth in the Reynolds number causes a decrease in heat transfer, and data for all frequencies approach the steady-state flow regime. The numerical model is compared with the experimental results. Satisfactory agreement on the influence of the form and frequency of pulses on heat transfer for the pulsed jet on the obstacle surface is obtained. Full article
(This article belongs to the Special Issue Enhancement of Heat Transfer in Power Plants)
Show Figures

Graphical abstract

18 pages, 294 KB  
Article
A New Mathematical Framework for Describing Thin-Reaction-Zone Regime of Turbulent Reacting Flows at Low Damköhler Number
by Vladimir A. Sabelnikov and Andrei N. Lipatnikov
Fluids 2020, 5(3), 109; https://doi.org/10.3390/fluids5030109 - 9 Jul 2020
Cited by 4 | Viewed by 2593
Abstract
Recently, Sabelnikov et al. (2019) developed a phenomenological theory of propagation of an infinitely thin reaction sheet, which is adjacent to a mixing layer, in a constant-density turbulent flow in the case of a low Damköhler number. In the cited paper, the theory [...] Read more.
Recently, Sabelnikov et al. (2019) developed a phenomenological theory of propagation of an infinitely thin reaction sheet, which is adjacent to a mixing layer, in a constant-density turbulent flow in the case of a low Damköhler number. In the cited paper, the theory is also supported by Direct Numerical Simulation data and relevance of such a physical scenario to highly turbulent premixed combustion is argued. The present work aims at complementing the theory with a new mathematical framework that allows for appearance of thick mixing zones adjacent to an infinitely thin reaction sheet. For this purpose, the instantaneous reaction-progress-variable c ( x , t ) is considered to consist of two qualitatively different zones, that is, (i) mixture of products and reactants, c ( x , t ) < 1 , where molecular transport plays an important role, and (ii) equilibrium products, c ( x , t ) = 1 . The two zones are separated by an infinitely thin reaction sheet, where c ( x , t ) = 1 and | c | is fixed in order for the molecular flux into the sheet to yield a constant local consumption velocity equal to the speed of the unperturbed laminar reaction wave. Exact local instantaneous field equations valid in the entire spaceare derived for the conditioned (to the former, mixing, zone) reaction progress variable, its second moment, and instantaneous characteristic functions. Averaging of these equations yields exact, unclosed transport equations for the conditioned reaction-progress-variable moments and Probability Density Function (PDF), as well as a boundary condition for the PDF at the reaction sheet. The closure problem for the derived equations is beyond the scope of the paper. Full article
(This article belongs to the Special Issue Classical and Modern Topics in Fluid Dynamics and Transport Phenomena)
18 pages, 4088 KB  
Article
Numerical Testing of Switch Point Dynamics—A Curved Beam with a Variable Cross-Section
by Jerzy Kisilowski and Rafał Kowalik
Materials 2020, 13(3), 701; https://doi.org/10.3390/ma13030701 - 4 Feb 2020
Cited by 5 | Viewed by 2898
Abstract
The article presents mathematical considerations on the dynamics of the springing switch point being an element of the railway junction. Due to the structure of the switch point, mathematical analysis was divided into two stages: The first stage refers to the analysis of [...] Read more.
The article presents mathematical considerations on the dynamics of the springing switch point being an element of the railway junction. Due to the structure of the switch point, mathematical analysis was divided into two stages: The first stage refers to the analysis of the dynamics of the switch point as a beam of variable rectilinear stiffness to which three forces (coming from three closures of switch drives) placed in the initial section of the switch point are applied. The next stage of the analysis concerns an identical beam, but curved, with a variable cross-section. In both cases, the beam is subjected to a vertical force resulting from forces from the rail vehicle. The calculations refer to a switch point of 23 m length and a curvature radius R = 1200 m. The first stage of the switch point analysis refers to the movement of a rail vehicle on a straight track, and the second stage concerns the rail vehicle movement on a reverse path. This article also provides an analysis of mode vibrations of a curved beam with a variable cross-section, and variable inertia and stiffness moments (further in the article the changes will be referred to as beam parameter changes). It is assumed that the beam is loaded with vertical forces (coming) from a rail vehicle. The solution was found by applying the Ritz method, which served to present the fourth-order partial equations as ordinary differential ones. The numerical research whose results are given aimed to define how the changes in beam parameters and vertical load affect mode vibrations of the beam. Full article
(This article belongs to the Section Construction and Building Materials)
Show Figures

Figure 1

25 pages, 1257 KB  
Article
Method of Moments Applied to Most-Likely High-Temperature Free-Radical Polymerization Reactions
by Hossein Riazi, Ahmad Arabi Shamsabadi, Michael C. Grady, Andrew M. Rappe and Masoud Soroush
Processes 2019, 7(10), 656; https://doi.org/10.3390/pr7100656 - 26 Sep 2019
Cited by 11 | Viewed by 5995
Abstract
Many widely-used polymers are made via free-radical polymerization. Mathematical models of polymerization reactors have many applications such as reactor design, operation, and intensification. The method of moments has been utilized extensively for many decades to derive rate equations needed to predict polymer bulk [...] Read more.
Many widely-used polymers are made via free-radical polymerization. Mathematical models of polymerization reactors have many applications such as reactor design, operation, and intensification. The method of moments has been utilized extensively for many decades to derive rate equations needed to predict polymer bulk properties. In this article, for a comprehensive list consisting of more than 40 different reactions that are most likely to occur in high-temperature free-radical homopolymerization, moment rate equations are derived methodically. Three types of radicals—secondary radicals, tertiary radicals formed through backbiting reactions, and tertiary radicals produced by intermolecular chain transfer to polymer reactions—are accounted for. The former tertiary radicals generate short-chain branches, while the latter ones produce long-chain branches. In addition, two types of dead polymer chains, saturated and unsaturated, are considered. Using a step-by-step approach based on the method of moments, this article guides the reader to determine the contributions of each reaction to the production or consumption of each species as well as to the zeroth, first and second moments of chain-length distributions of live and dead polymer chains, in order to derive the overall rate equation for each species, and to derive the rate equations for the leading moments of different chain-length distributions. The closure problems that arise are addressed by assuming chain-length distribution models. As a case study, β-scission and backbiting rate coefficients of methyl acrylate are estimated using the model, and the model is then applied to batch spontaneous thermal polymerization to predict polymer average molecular weights and monomer conversion. These predictions are compared with experimental measurements. Full article
(This article belongs to the Special Issue Computational Methods for Polymers)
Show Figures

Graphical abstract

25 pages, 8020 KB  
Article
Application of Different Turbulence Models Simulating Wind Flow in Complex Terrain: A Case Study for the WindForS Test Site
by Hermann Knaus, Martin Hofsäß, Alexander Rautenberg and Jens Bange
Computation 2018, 6(3), 43; https://doi.org/10.3390/computation6030043 - 27 Jul 2018
Cited by 7 | Viewed by 5398
Abstract
A model for the simulation of wind flow in complex terrain is presented based on the Reynolds averaged Navier–Stokes (RANS) equations. For the description of turbulence, the standard k-ε, the renormalization group (RNG) k-ε, and a Reynolds stress turbulence model are applied. Additional [...] Read more.
A model for the simulation of wind flow in complex terrain is presented based on the Reynolds averaged Navier–Stokes (RANS) equations. For the description of turbulence, the standard k-ε, the renormalization group (RNG) k-ε, and a Reynolds stress turbulence model are applied. Additional terms are implemented in the momentum equations to describe stratification of the Earth’s atmosphere and to account for the Coriolis forces driven by the Earth’s rotation, as well as for the drag force due to forested canopy. Furthermore, turbulence production and dissipation terms are added to the turbulence equations for the two-equation, as well as for the Reynolds stress models, in order to capture different types of land use. The approaches for the turbulence models are verified by means of a homogeneous canopy test case with flat terrain and constant forest height. The validation of the models is performed by investigating the WindForS wind test site. The simulation results are compared with five-hole probe velocity measurements using multipurpose airborne sensor carrier (MASC) systems (unmanned small research aircraft)—UAV at different locations for the main wind regime. Additionally, Reynolds stresses measured with sonic anemometers at a meteorological wind mast at different heights are compared with simulation results using the Reynolds stress turbulence model. Full article
(This article belongs to the Special Issue Computational Methods in Wind Engineering)
Show Figures

Figure 1

24 pages, 282 KB  
Article
Extended Thermodynamics for Dense Gases up to Whatever Order and with Only Some Symmetries
by Maria Cristina Carrisi, Rita Enoh Tchame, Marcel Obounou and Sebastiano Pennisi
Entropy 2015, 17(10), 7052-7075; https://doi.org/10.3390/e17107052 - 16 Oct 2015
Cited by 6 | Viewed by 4321
Abstract
Extended Thermodynamics of dense gases is characterized by two hierarchies of field equations, which allow one to overcome some restrictions on the generality of the previous models. This idea has been introduced by Arima, Taniguchi, Ruggeri and Sugiyama. In the case of a [...] Read more.
Extended Thermodynamics of dense gases is characterized by two hierarchies of field equations, which allow one to overcome some restrictions on the generality of the previous models. This idea has been introduced by Arima, Taniguchi, Ruggeri and Sugiyama. In the case of a 14-moment model, they have found the closure of the balance equations up to second order with respect to equilibrium. Here, the closure is obtained up to whatever order and imposing only the necessary symmetry conditions. It comes out that the first non-symmetric parts of the higher order fluxes appear only at third order with respect to equilibrium, even if Arima, Taniguchi, Ruggeri and Sugiyama found a non-symmetric part proportional to an arbitrary constant also at first order with respect to equilibrium. Consequently, this constant must be zero, as Arima, Taniguchi, Ruggeri and Sugiyama assumed in the applications and on an intuitive ground. Full article
(This article belongs to the Section Thermodynamics)
Back to TopTop