Sign in to use this feature.

Years

Between: -

Subjects

remove_circle_outline
remove_circle_outline
remove_circle_outline
remove_circle_outline
remove_circle_outline
remove_circle_outline

Journals

Article Types

Countries / Regions

Search Results (21)

Search Parameters:
Keywords = scanning densitometry

Order results
Result details
Results per page
Select all
Export citation of selected articles as:
17 pages, 4714 KB  
Article
Sequence-Encoded Aggregation of AA10 LPMO Domains as a Basis for Inclusion Body Design
by Ahmad Muaaz Hassan Butt and Anwar Sunna
Int. J. Mol. Sci. 2026, 27(3), 1188; https://doi.org/10.3390/ijms27031188 - 24 Jan 2026
Viewed by 448
Abstract
Inclusion bodies (IBs) in Escherichia coli are increasingly recognised as nanostructured materials with tunable morphology and functional potential. The N-terminal auxiliary activity family 10 (AA10) lytic polysaccharide monooxygenase (LPMO) domain from Caldibacillus cellulovorans (Ccelp40) consistently forms IBs and, when fused to [...] Read more.
Inclusion bodies (IBs) in Escherichia coli are increasingly recognised as nanostructured materials with tunable morphology and functional potential. The N-terminal auxiliary activity family 10 (AA10) lytic polysaccharide monooxygenase (LPMO) domain from Caldibacillus cellulovorans (Ccelp40) consistently forms IBs and, when fused to diverse proteins, generates functional IBs. Here, we examined whether this strong aggregation propensity is unique to Ccelp40 or a broader feature of AA10 LPMOs. Four homologous domains from phylogenetically distinct microorganisms, Kallotenue papyrolyticum (Kpapp40), Kibdelosporangium aridum (Karip40), Archangium lipolyticum (Alipp40), and Phytohabitans suffuscus (Psufp40), were heterologously expressed in E. coli under identical cytosolic conditions. All homologues accumulated predominantly in the insoluble fraction, forming morphologically uniform IBs with sub-micron diameters (550–860 nm) and moderate polydispersity indices (0.45–0.54). SDS-PAGE densitometry indicated that most of each expressed protein partitioned into the insoluble fraction. Field-emission scanning electron microscopy revealed compact spherical aggregates, and Fourier-transform infrared spectroscopy showed β-sheet-enriched secondary structures characteristic of ordered IBs. These results indicate that the pronounced aggregation tendency previously observed for Ccelp40 is conserved across the AA10 homologues examined. The findings support the view that the AA10 domain represents a promising scaffold for generating stable, recyclable protein nanoparticles and provides a comparative basis for future IB-based biotechnological designs. Full article
(This article belongs to the Section Molecular Microbiology)
Show Figures

Figure 1

11 pages, 805 KB  
Article
Impact of Superficial Keratectomy on Corneal Topography, Aberration, and Densitometry in Salzmann Nodular Degeneration
by Ziqiao Qi, Ritika Mukhija, Gabriella Quiney and Mayank A. Nanavaty
J. Clin. Med. 2026, 15(1), 178; https://doi.org/10.3390/jcm15010178 - 26 Dec 2025
Viewed by 571
Abstract
Objectives: The aim of this study was to evaluate changes in corneal topography, wavefront aberrations, and densitometry after superficial keratectomy (SK) for Salzmann nodular degeneration (SND). Methods: This was an observational retrospective study. Pre- and post-operative data, including best spectacle-corrected visual [...] Read more.
Objectives: The aim of this study was to evaluate changes in corneal topography, wavefront aberrations, and densitometry after superficial keratectomy (SK) for Salzmann nodular degeneration (SND). Methods: This was an observational retrospective study. Pre- and post-operative data, including best spectacle-corrected visual acuity (BCVA), refraction, and Pentacam® topography scans, were analysed. Changes in keratometry (K), wavefront aberrations, and corneal optical densitometry (COD) were evaluated. Results: A total of 21 eyes of 17 patients who underwent SK for SND were included. At an average follow-up of 6.3 ± 4.4 months, there was a significant reduction in RMS (root mean square) values for total wavefront aberrations after surgery (mean reduction: −3.89 ± 4.08 μm, p = 0.001), lower-order aberrations (mean reduction: −3.47 ± 3.52 μm, p = 0.001), and higher-order aberrations (mean: −0.42 ± 0.58 μm, p < 0.001). There was a significant improvement in BCVA (mean change: 0.27 ± 0.31 logMAR, p < 0.001) and spherical equivalent (mean change: −2.09 ± 2.73 D, p = 0.002), and a reduction in refractive cylinder (mean reduction: −0.85 ± 1.14 D, p = 0.008). There was a significant reduction in corneal astigmatism (mean reduction 1.04 ± 2.88 D; p = 0.041), and an increase in flat keratometry (mean change 1.46 ± 3.10 D; p = 0.029). Lastly, there was a significant decrease in total COD values in all zones except for the central 2 mm (p < 0.05) and in the overall total 12 mm cornea (p = 0.035). Conclusions: SK for SND resulted in better visual acuity and potentially improved quality as suggested by the reduction in corneal aberrations and improvement in corneal regularity and transparency. Full article
(This article belongs to the Special Issue Prevention, Diagnosis, and Clinical Treatment of Corneal Diseases)
Show Figures

Figure 1

18 pages, 8117 KB  
Article
Investigation of the Thermal, Physical, and Microstructural Properties of Polymeric Composites Bio-Reinforced with Charcoal Fines
by Josinaldo O. Dias, Amanda O. Conceição, Rayara Siqueira, Bruno Fonseca Coelho and Patrícia S. Oliveira
Polymers 2025, 17(10), 1370; https://doi.org/10.3390/polym17101370 - 16 May 2025
Cited by 4 | Viewed by 975
Abstract
Incorporating solid waste into polymeric matrices has proven effective in developing composites with enhanced mechanical and thermal properties. This study investigates a composite based on recycled high-density polyethylene (HDPE), reinforced with fine charcoal particles, assessing its thermal, microstructural, and density properties. Two processing [...] Read more.
Incorporating solid waste into polymeric matrices has proven effective in developing composites with enhanced mechanical and thermal properties. This study investigates a composite based on recycled high-density polyethylene (HDPE), reinforced with fine charcoal particles, assessing its thermal, microstructural, and density properties. Two processing methods (compression molding and extrusion) and four charcoal concentrations (0%, 5%, 10%, and 15 wt%) were evaluated. Thermal characterization was performed using thermogravimetric analysis (TGA) and Fourier transform infrared spectroscopy (FTIR). The microstructure was analyzed through scanning electron microscopy (SEM) and X-ray diffraction (XRD), while the density was determined via X-ray densitometry. SEM revealed increased porosity with charcoal addition. The thermal properties and crystallinity of the composites were not significantly affected by variations in the manufacturing method or charcoal concentration. FTIR analysis identified characteristic peaks, while TGA indicated mass loss between 400 and 500 °C, with a maximum decomposition temperature of 487 °C. XRD confirmed the semicrystalline structure typical of HDPE. Thus, incorporating charcoal residues can reduce the use of fossil-based materials while providing a sustainable application for industrial waste. Full article
(This article belongs to the Section Polymer Chemistry)
Show Figures

Figure 1

18 pages, 2524 KB  
Article
Osteoporosis Evaluation by Radiofrequency Echographic Multispectrometry (REMS) in Primary Healthcare
by Ana Vieira and Rute Santos
Diagnostics 2025, 15(7), 808; https://doi.org/10.3390/diagnostics15070808 - 22 Mar 2025
Cited by 2 | Viewed by 3144
Abstract
Background/Objectives: Radiofrequency echographic multispectrometry (REMS) technology has emerged as a promising alternative for osteoporosis diagnosis. This non-ionising, portable and accessible method enables early detection of osteoporosis in primary healthcare settings. The aim of this study was to assess the effectiveness of REMS [...] Read more.
Background/Objectives: Radiofrequency echographic multispectrometry (REMS) technology has emerged as a promising alternative for osteoporosis diagnosis. This non-ionising, portable and accessible method enables early detection of osteoporosis in primary healthcare settings. The aim of this study was to assess the effectiveness of REMS in evaluating osteoporosis within primary healthcare. Methods: Bone mineral density was assessed in 86 participants trough 172 scans of the lumbar spine and femur, using REMS technology in two Portuguese primary healthcare units in Guarda. Results: In the lumbar spine evaluation, 51.2% of the participants had osteopenia and 31.4% osteoporosis; in the femur evaluation, 43.0% had osteopenia and 34.9% osteoporosis. The data indicated a significant prevalence of bone fragility. The bone mineral density estimated by radiofrequency echographic multispectrometry showed good agreement with the clinical diagnosis, suggesting that this technology is effective in the early detection of osteoporosis. Conclusions: Bone densitometry using REMS method, performed by a radiographer in primary healthcare settings, offers a viable and innovative alternative for the effective detection of osteoporosis and osteopenia. Full article
(This article belongs to the Special Issue Advances in Ultrasound)
Show Figures

Figure 1

10 pages, 1391 KB  
Article
Efficacy of Oral Supplementation with Cholecalciferol Versus Calcifediol in Patients with Hypovitaminosis D After Stroke
by Stefania Canneva, Anna De Giovanni, Felicita Pagella, Lucia Pellegrino, Francesco Iencinella, Sara Maestrini, Marta Ponzano, Carlo Trompetto and Laura Mori
Nutrients 2025, 17(6), 1035; https://doi.org/10.3390/nu17061035 - 15 Mar 2025
Viewed by 1995
Abstract
Background/Objectives: Cholecalciferol and Calcifediol are commonly used for oral supplementation in patients with vitamin D deficiency. Several studies have compared these two molecules; however, the studied population has only included healthy postmenopausal women so far. This retrospective observational study aims to evaluate which [...] Read more.
Background/Objectives: Cholecalciferol and Calcifediol are commonly used for oral supplementation in patients with vitamin D deficiency. Several studies have compared these two molecules; however, the studied population has only included healthy postmenopausal women so far. This retrospective observational study aims to evaluate which molecule is more effective and faster in achieving serum 25(oh)D levels within the normal range in post-stroke patients during the subacute phase. Secondary aims include assessing potential differences in functional outcomes and investigating the possible correlation between the degree of hypovitaminosis D and stroke severity. Methods: We observed 85 in-patients who received either Cholecalciferol or Calcifediol during intensive rehabilitation. All subjects underwent functional evaluations, blood tests, and a bone densitometry (DEXA) scan. Results: Four months after starting supplementation, subjects receiving calcifediol achieved significantly higher 25(oh)D levels (p < 0.001) compared to those receiving cholecalciferol. No significant between-group differences were observed in secondary outcomes. Another key finding is that no statistically significant correlation was found between serum of 25(oh)D levels and stroke severity. Conclusions: These results highlight the importance of further investigating bone metabolism in post-stroke patients, though findings should be confirmed in larger studies. Full article
Show Figures

Figure 1

14 pages, 5145 KB  
Article
Investigation of How Corneal Densitometry Artefacts Affect the Imaging of Normal and Keratoconic Corneas
by Rami Alanazi, Louise Pellegrino Gomes Esporcatte, Lynn White, Marcella Q. Salomão, Bernardo T. Lopes, Renato Ambrósio Jr. and Ahmed Abass
Bioengineering 2024, 11(2), 148; https://doi.org/10.3390/bioengineering11020148 - 1 Feb 2024
Cited by 3 | Viewed by 10663
Abstract
Purpose: To investigate corneal densitometry artefacts found in Pentacam Scheimpflug scans and their potential effect on assessing keratoconic (KC) corneas compared to normal (N) corneas. Methods: The current study utilises Pentacam data of 458 N eyes, aged 35.6 ± 15.8 (range 10–87), referred [...] Read more.
Purpose: To investigate corneal densitometry artefacts found in Pentacam Scheimpflug scans and their potential effect on assessing keratoconic (KC) corneas compared to normal (N) corneas. Methods: The current study utilises Pentacam data of 458 N eyes, aged 35.6 ± 15.8 (range 10–87), referred to as the “N group”, and 314 KC eyes, aged 31.6 ± 10.8 (range 10–72), referred to as the “KC group”, where densitometry data were extracted and analysed via a custom-built MATLAB code. Radial summations of the densitometry were calculated at diameters ranging from 0.5 mm to 5.0 mm. The minimum normalised radial summation of densitometry (NRSD) value and angle were determined at each diameter and then linked. KC cone locations and areas of pathology were determined, and a comparison between N and KC groups was carried out both within the averaged area of pathology and over the corneal surface. Results: Joining minimum NRSD trajectory points marked a clear distortion line pointing to the nasal-superior direction at 65° from the nasal meridian. The findings were found to be independent of eye laterality or ocular condition. Consistency was detected in the right and left eyes among both the N and KC groups. The location of the KC cone centre and the area of pathology were determined, and the densitometry output was compared both within the area of pathology and over the whole cornea. When the average densitometry was compared between N and KC eyes within the KC area of pathology, the N group recorded a 16.37 ± 3.15 normalised grey-scale unit (NGSU), and the KC group recorded 17.74 ± 3.4 NGSU (p = 0.0001). However, when the whole cornea was considered, the N group recorded 16.71 ± 5.5 NGSU, and the KC group recorded 15.72 ± 3.98 NGSU (p = 0.0467). A weak correlation was found between the Bad D index and NGSU when the whole measured cornea was considered (R = −0.01); however, a better correlation was recorded within the KC area of pathology (R = 0.21). Conclusions: Nasal-superior artefacts are observed in the densitometry Pentacam maps, and analysis shows no significant differences in their appearance between N or KC corneas. When analysing KC corneas, it was found that the cone positions are mostly on the temporal-inferior side of the cornea, opposite to the densitometry artefact NRSD trajectory. The analysis suggests that the corneal densitometry artefacts do not interfere with the KC area of pathology as it reaches its extreme in the opposite direction; therefore, weighting the densitometry map to increase the contribution of the inferior-temporal cornea and decreasing that of the superior-nasal area would improve the classification or identification of KC if densitometry is to be used as a KC metric. Full article
(This article belongs to the Section Biochemical Engineering)
Show Figures

Figure 1

12 pages, 5173 KB  
Article
Evaluation of Hot Pressing Processing by Physical Properties of Ecofriendly Composites Reinforced by Eucalyptus Sawdust and Chamotte Residues
by Juvenil Nunes de Oliveira Júnior, Felipe Perissé Duarte Lopes, Noan Tonini Simonassi, Michel Picanço Oliveira, Fabricio Gomes Gonçalves and Carlos Maurício Fontes Vieira
Polymers 2023, 15(8), 1931; https://doi.org/10.3390/polym15081931 - 19 Apr 2023
Cited by 7 | Viewed by 2071
Abstract
The particleboard industry consumes large amounts of raw material, and this type of product consumption has been increasing over the last few years. The research for alternative raw materials becomes interesting, since most of the resources come from planted forests. In addition, the [...] Read more.
The particleboard industry consumes large amounts of raw material, and this type of product consumption has been increasing over the last few years. The research for alternative raw materials becomes interesting, since most of the resources come from planted forests. In addition, the investigation of new raw materials must take into account environmentally correct solutions, such as the use of alternative natural fibers, use of agro-industrial residues, and resins of vegetable origin. The objective of this study was to evaluate the physical properties of panels manufactured by hot pressing using eucalyptus sawdust, chamotte, and polyurethane resin based on castor oil as raw materials. Eight formulations were designed with variations of 0, 5, 10, and 15% of chamotte, and two variations of resin with 10% and 15% of volumetric fraction. Tests of gravimetric density, X-ray densitometry, moisture content, water absorption, thickness swelling, and scanning electron microscopy were carried out. Through the results it can be noticed that the incorporation of chamotte in the manufacture of the panels increased the water absorption and the swelling in thickness, around 100% and the use of 15% of resin decreased, more than 50%, the values of these properties. X-ray densitometry analyzes showed that the addition of chamotte alters the density profile of the panel. In addition, the panels manufactured with 15% resin were classified as P7, the most demanding type on EN 312:2010 standard. Full article
(This article belongs to the Special Issue Research on Natural Fiber-Reinforced Composites)
Show Figures

Figure 1

10 pages, 2289 KB  
Article
Effect of a Contrast Agent on Bone Mineral Density Measurement in the Spine and Hip Using QCT-Conversion Factor Recommendation
by Katharina Jäckle, Sophia Lüken, Paul Jonathan Roch, Friederike Sophie Klockner, Max Reinhold, Marc-Pascal Meier, Thelonius Hawellek, Wolfgang Lehmann and Lukas Weiser
J. Clin. Med. 2023, 12(4), 1456; https://doi.org/10.3390/jcm12041456 - 12 Feb 2023
Cited by 5 | Viewed by 3438
Abstract
Background: Osteoporosis causes an increased fracture risk. Clinically, osteoporosis is diagnosed late, usually after the first fracture occurs. This emphasizes the need for an early diagnosis of osteoporosis. However, computed tomography (CT) as routinely used for polytrauma scans cannot be used in the [...] Read more.
Background: Osteoporosis causes an increased fracture risk. Clinically, osteoporosis is diagnosed late, usually after the first fracture occurs. This emphasizes the need for an early diagnosis of osteoporosis. However, computed tomography (CT) as routinely used for polytrauma scans cannot be used in the form of quantitative computed tomography (QCT) diagnosis because QCT can only be applied natively, i.e., without any contrast agent application. Here, we tested whether and how contrast agent application could be used for bone densitometry measurements. Methods: Bone mineral density (BMD) was determined by QCT in the spine region of patients with and without the contrast agent Imeron 350. Corresponding scans were performed in the hip region to evaluate possible location-specific differences. Results: Measurements with and without contrast agent administration between spine and hip bones indicate that the corresponding BMD values were reproducibly different between spine and hips, indicating that Imeron 350 application has a location-specific effect. We determined location-specific conversion factors that allow us then to determine the BMD values relevant for osteoporosis diagnosis. Conclusions: Results show that contrast administration cannot be used directly for CT diagnostics because the agent significantly alters BMD values. However, location-specific conversion factors can be established, which are likely to depend on additional parameters such as the weight and corresponding BMI of the patient. Full article
(This article belongs to the Section Nuclear Medicine & Radiology)
Show Figures

Figure 1

15 pages, 3751 KB  
Article
A Visible Light-Induced and ROS-Dependent Method for the Rapid Formation of a MOF Composite Membrane with Antibacterial Properties
by Shanshan Zhang and Dongliang Liu
Int. J. Mol. Sci. 2023, 24(2), 1520; https://doi.org/10.3390/ijms24021520 - 12 Jan 2023
Cited by 12 | Viewed by 3109
Abstract
The diverse application potential of metal-organic framework (MOF) materials are currently limited by their challenging and complicated preparation processes. In this study, we successfully developed a novel strategy for the rapid synthesis of a sustainable MOF composite membrane under neutral conditions with improved [...] Read more.
The diverse application potential of metal-organic framework (MOF) materials are currently limited by their challenging and complicated preparation processes. In this study, we successfully developed a novel strategy for the rapid synthesis of a sustainable MOF composite membrane under neutral conditions with improved physicochemical and antibacterial properties. Our reaction pipeline comprised visible light that induced the production of reactive oxygen species (ROS) from ZIF-8 particles, which facilitated the rapid oxidative polymerization of dopamine to polydopamine. The physicochemical properties of the composite membrane were assessed using imaging methods, including scanning and transmission electron microscopy, X-ray photoelectron spectrometry, and nitrogen adsorption/desorption; its antibacterial effects against Staphylococcus aureus, Escherichia coli, and Pseudomonas aeruginosa were measured using optical densitometry. The bactericidal potency of the synthesized membrane was >99% against all tested strains under the conditions of simulated sunlight. Moreover, the composite membrane retained its structural integrity and antibacterial effect after multiple cycles of use and recovery, showcasing remarkable stability. Overall, this study displays a ROS-mediated method for the rapid preparation of sustainable MOF composite membranes under neutral conditions with optimal physicochemical characteristics, antibacterial properties, and performance. Our study provides insights into the use of membrane materials as design platforms for a range of diverse practical applications. Full article
(This article belongs to the Section Molecular Microbiology)
Show Figures

Figure 1

16 pages, 4418 KB  
Article
From Macro to Micro: Comparison of Imaging Techniques to Detect Vascular Network Formation in Left Ventricle Decellularized Extracellular Matrix Hydrogels
by Meng Zhang, Vasilena E. Getova, Francisco Drusso Martinez-Garcia, Theo Borghuis, Janette K. Burgess and Martin C. Harmsen
Gels 2022, 8(11), 729; https://doi.org/10.3390/gels8110729 - 10 Nov 2022
Cited by 9 | Viewed by 3142
Abstract
Background: Angiogenesis is a crucial process in physiological maintenance and tissue regeneration. To understand the contribution of angiogenesis, it is essential to replicate this process in an environment that reproduces the biochemical and physical properties which are largely governed by the extracellular matrix [...] Read more.
Background: Angiogenesis is a crucial process in physiological maintenance and tissue regeneration. To understand the contribution of angiogenesis, it is essential to replicate this process in an environment that reproduces the biochemical and physical properties which are largely governed by the extracellular matrix (ECM). We investigated vascularization in cardiac left ventricular ECM hydrogels to mimic post-myocardial repair. We set out to assess and compare different destructive and non-destructive methods, optical as well as non-optical, to visualize angiogenesis and associated matrix remodeling in myocardial ECM hydrogels. Methods: A total of 100,000, 300,000, and 600,000 Human Pulmonary Microvascular Endothelial Cells (HPMEC) were seeded in left ventricular cardiac ECM hydrogel in 48-well plates. After 1, 7, and 14 days of culture, the HPMEC were imaged by inverted fluorescence microscopy and 3D confocal laser scanning microscopy (Zeiss Cell Discoverer 7). In addition, cell-seeded ECM hydrogels were scanned by optical coherence tomography (OCT). Fixed and paraffin-embedded gels were thin-sectioned and assessed for ECM components via H&E, picrosirius red histochemical staining, and immunostaining for collagen type I. ImageJ-based densitometry was used to quantify vascular-like networks and GraphPad was used for statistical analyses. Results: Qualitative analyses were realized through fluoromicrographs obtained by the confocal laser scanning microscope which allowed us to visualize the extensive vascular-like networks that readily appeared at all seeding densities. Quantification of networks was only possible using fluoromicrographs from inverted microscopy. These showed that, after three days, the number of master junctions was seeding density-dependent. The resolution of optical coherence tomography was too low to distinguish between signals caused by the ECM and cells or networks, yet it did show that gels, irrespective of cells, were heterogeneous. Interestingly, (immuno)histochemistry could clearly distinguish between the cast cardiac-derived matrix and newly deposited ECM in the hydrogels. The H&E staining corroborated the presence of vascular-like network structures, albeit that sectioning inevitably led to the loss of 3D structure. Conclusions: Except for OCT, all methods had complementary merit and generated qualitative and quantitative data that allowed us to understand vascular network formation in organ-derived ECM hydrogels. Full article
Show Figures

Figure 1

13 pages, 2002 KB  
Article
Automatic Quantitative Assessment of Lens Opacities Using Two Anterior Segment Imaging Techniques: Correlation with Functional and Surgical Metrics
by Lars H. B. Mackenbrock, Grzegorz Łabuz, Timur M. Yildirim, Gerd U. Auffarth and Ramin Khoramnia
Diagnostics 2022, 12(10), 2406; https://doi.org/10.3390/diagnostics12102406 - 4 Oct 2022
Cited by 13 | Viewed by 3504
Abstract
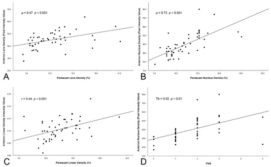
The purpose of this study is to quantitatively assess lens opacity, using a swept-source optical coherence tomography (SS-OCT) device for anterior segment assessment, and establish the correlation with Scheimpflug imaging, corrected distance visual acuity (CDVA) and cumulative dissipated energy (CDE). This prospective cross-sectional [...] Read more.
The purpose of this study is to quantitatively assess lens opacity, using a swept-source optical coherence tomography (SS-OCT) device for anterior segment assessment, and establish the correlation with Scheimpflug imaging, corrected distance visual acuity (CDVA) and cumulative dissipated energy (CDE). This prospective cross-sectional single-center study enrolled 51 patients (51 eyes) with crystalline lens opacity. Patients with previous ocular surgery, pathologies or general disorders affecting vision were excluded. Eyes were scanned with an SS-OCT device, and lens densitometry was automatically analyzed using a custom MATLAB script which examined lens density, nuclear density and linear density. The same analyses were performed on Scheimpflug images. Preoperative CDVA and CDE during phacoemulsification were recorded. Spearman’s (ρ) and Pearson’s (r) correlation coefficients were assessed according to data normality. Statistically significant correlations were established between SS-OCT and Scheimpflug imaging using lens analysis (ρ = 0.47, p < 0.001), nuclear analysis (ρ = 0.73, p < 0.001) and linear analysis (r = 0.44, p < 0.001). A significant correlation with CDE was found with all the SS-OCT methods (r = 0.57, p < 0.001). Only the nuclear analysis of the SS-OCT scans (Tb = −0.33, p < 0.01) and Pentacam Nucleus Staging (Tb = −0.26, p < 0.05) showed a statistically significant correlation with CDVA. Good inter-device agreement in lens densitometry was found. However, SS-OCT yielded improved lens imaging compared with the Scheimpflug device and a higher correlation with clinical parameters. Thus, high-resolution SS-OCT has the potential to become a preferable option for automatic cataract grading and preoperative planning. Full article
(This article belongs to the Section Pathology and Molecular Diagnostics)
Show Figures

Figure 1

13 pages, 3388 KB  
Article
Thermal Diffusivity and Conductivity of Polyolefins by Thermal Lens Technique
by Behnaz Abbasgholi-NA, Seyed Reza Nokhbeh, Osamah A. Aldaghri, Khalid Hassan Ibnaouf, Nawal Madkhali and Humberto Cabrera
Polymers 2022, 14(13), 2707; https://doi.org/10.3390/polym14132707 - 1 Jul 2022
Cited by 14 | Viewed by 3918
Abstract
A mode-mismatched thermal lens spectrometry (TLS) technique, in a pump–probe two-laser-beam configuration, was employed for the experimental determination of the thermal properties of four selected well-characterized polyolefin homopolymer films. We investigated the thermal diffusivity (D) and thermal conductivity (κ) of high-density polyethylene, low-density [...] Read more.
A mode-mismatched thermal lens spectrometry (TLS) technique, in a pump–probe two-laser-beam configuration, was employed for the experimental determination of the thermal properties of four selected well-characterized polyolefin homopolymer films. We investigated the thermal diffusivity (D) and thermal conductivity (κ) of high-density polyethylene, low-density polyethylene, linear low-density polyethylene, and polypropylene. We also measured the structural properties (i.e., average molecular weight, polydispersity index, branching number), along with the rheological and thermal properties (i.e., melting point, specific heat capacity Cp, degree of crystallinity) of samples by high-temperature gel permeation chromatography (HT-GPC), rheometric mechanical spectrometry (RMS), differential scanning calorimetry (DSC), and densitometry. The relationship between microstructural properties such as degree of crystallinity, D, and κ was investigated. The results show that there is good correlation between the degree of crystallinity and D. The TL technique enables measurement of D in semitransparent thin films within an uncertainty of 4%. Full article
(This article belongs to the Special Issue Thermal Behavior of Polymer Materials)
Show Figures

Graphical abstract

14 pages, 1509 KB  
Article
High-Performance Thin-Layer Chromatography-Densitometry-Tandem ESI-MS to Evaluate Phospholipid Content in Exosomes of Cancer Cells
by María Sancho-Albero, Carmen Jarne, María Savirón, Pilar Martín-Duque, Luis Membrado, Vicente L. Cebolla and Jesús Santamaría
Int. J. Mol. Sci. 2022, 23(3), 1150; https://doi.org/10.3390/ijms23031150 - 21 Jan 2022
Cited by 16 | Viewed by 4247
Abstract
The question of whether exosome lipids can be considered as potential cancer biomarkers faces our current limited knowledge of their composition. This is due to the difficulty in isolating pure exosomes, the variability of the biological sources from which they are extracted, and [...] Read more.
The question of whether exosome lipids can be considered as potential cancer biomarkers faces our current limited knowledge of their composition. This is due to the difficulty in isolating pure exosomes, the variability of the biological sources from which they are extracted, and the uncertainty of the methods for lipid characterization. Here, we present a procedure to isolate exosomes and obtain a deep, repeatable, and rapid phospholipid (PL) composition of their lipid extracts, from embryonic murine fibroblasts (NIH-3T3 cell line) and none (B16-F1) and high (B16-F10) metastatic murine skin melanoma cells. The analytical method is based on High Performance Thin-Layer Chromatography with Ultraviolet and fluorescence densitometry and coupled to Electrospray (ESI)-tandem Mass Spectrometry (MS). Under the conditions described in this work, separation and determination of PL classes, (sphingomyelins, SM; phosphatidylcholines, PC; phosphatidylserines, PS; and phosphatidylethanolamines, PE) were achieved, expressed as µg PL/100 µg exosome protein, obtained by bicinchoninic acid assay (BCA). A detailed structural characterization of molecular species of each PL class was performed by simultaneous positive and negative ESI-MS and MS/MS directly from the chromatographic plate, thanks to an elution-based interface. Full article
(This article belongs to the Section Biochemistry)
Show Figures

Figure 1

17 pages, 3241 KB  
Review
The Use of Imaging Techniques in Chronic Kidney Disease-Mineral and Bone Disorders (CKD-MBD)—A Systematic Review
by Ana Pimentel, Jordi Bover, Grahame Elder, Martine Cohen-Solal and Pablo Antonio Ureña-Torres
Diagnostics 2021, 11(5), 772; https://doi.org/10.3390/diagnostics11050772 - 26 Apr 2021
Cited by 21 | Viewed by 10537
Abstract
Although frequently silent, mineral and bone disease (MBD) is one of the most precocious complication of chronic kidney disease (CKD) and is omnipresent in patients with CKD stage 5. Its pathophysiology is complex, but basically, disturbances in vitamin D, phosphate, and calcium metabolism [...] Read more.
Although frequently silent, mineral and bone disease (MBD) is one of the most precocious complication of chronic kidney disease (CKD) and is omnipresent in patients with CKD stage 5. Its pathophysiology is complex, but basically, disturbances in vitamin D, phosphate, and calcium metabolism lead to a diverse range of clinical manifestations with secondary hyperparathyroidism usually being the most frequent. With the decline in renal function, CKD-MBD may induce microstructural changes in bone, vascular system and soft tissues, which results in macrostructural lesions, such as low bone mineral density (BMD) resulting in skeletal fractures, vascular and soft tissue calcifications. Moreover, low BMD, fractures, and vascular calcifications are linked with increased risk of cardiovascular mortality and all-cause mortality. Therefore, a better characterization of CKD-MBD patterns, beyond biochemical markers, is helpful to adapt therapies and monitor strategies as used in the general population. An in-depth characterization of bone health is required, which includes an evaluation of cortical and trabecular bone structure and density and the degree of bone remodeling through bone biomarkers. Standard radiological imaging is generally used for the diagnosis of fracture or pseudo-fractures, vascular calcifications and other features of CKD-MBD. However, bone fractures can also be diagnosed using computed tomography (CT) scan, magnetic resonance (MR) imaging and vertebral fracture assessment (VFA). Fracture risk can be predicted by bone densitometry using dual-energy X-ray absorptiometry (DXA), quantitative computed tomography (QTC) and peripheral quantitative computed tomography (pQTC), quantitative ultrasound (QUS) and most recently magnetic resonance micro-imaging. Quantitative methods to assess bone consistency and strength complete the study and adjust the clinical management when integrated with clinical factors. The aim of this review is to provide a brief and comprehensive update of imaging techniques available for the diagnosis, prevention, treatment and monitoring of CKD-MBD. Full article
(This article belongs to the Section Medical Imaging and Theranostics)
Show Figures

Figure 1

19 pages, 4531 KB  
Review
Come Back Skinfolds, All Is Forgiven: A Narrative Review of the Efficacy of Common Body Composition Methods in Applied Sports Practice
by Andreas M. Kasper, Carl Langan-Evans, James F. Hudson, Thomas E. Brownlee, Liam D. Harper, Robert J. Naughton, James P. Morton and Graeme L. Close
Nutrients 2021, 13(4), 1075; https://doi.org/10.3390/nu13041075 - 25 Mar 2021
Cited by 136 | Viewed by 42663
Abstract
Whilst the assessment of body composition is routine practice in sport, there remains considerable debate on the best tools available, with the chosen technique often based upon convenience rather than understanding the method and its limitations. The aim of this manuscript was threefold: [...] Read more.
Whilst the assessment of body composition is routine practice in sport, there remains considerable debate on the best tools available, with the chosen technique often based upon convenience rather than understanding the method and its limitations. The aim of this manuscript was threefold: (1) provide an overview of the common methodologies used within sport to measure body composition, specifically hydro-densitometry, air displacement plethysmography, bioelectrical impedance analysis and spectroscopy, ultra-sound, three-dimensional scanning, dual-energy X-ray absorptiometry (DXA) and skinfold thickness; (2) compare the efficacy of what are widely believed to be the most accurate (DXA) and practical (skinfold thickness) assessment tools and (3) provide a framework to help select the most appropriate assessment in applied sports practice including insights from the authors’ experiences working in elite sport. Traditionally, skinfold thickness has been the most popular method of body composition but the use of DXA has increased in recent years, with a wide held belief that it is the criterion standard. When bone mineral content needs to be assessed, and/or when it is necessary to take limb-specific estimations of fat and fat-free mass, then DXA appears to be the preferred method, although it is crucial to be aware of the logistical constraints required to produce reliable data, including controlling food intake, prior exercise and hydration status. However, given the need for simplicity and after considering the evidence across all assessment methods, skinfolds appear to be the least affected by day-to-day variability, leading to the conclusion ‘come back skinfolds, all is forgiven’. Full article
(This article belongs to the Special Issue Sports Nutrition)
Show Figures

Graphical abstract

Back to TopTop