Sign in to use this feature.

Years

Between: -

Subjects

remove_circle_outline
remove_circle_outline
remove_circle_outline
remove_circle_outline
remove_circle_outline
remove_circle_outline
remove_circle_outline
remove_circle_outline
remove_circle_outline

Journals

remove_circle_outline
remove_circle_outline
remove_circle_outline
remove_circle_outline
remove_circle_outline
remove_circle_outline
remove_circle_outline

Article Types

Countries / Regions

remove_circle_outline
remove_circle_outline
remove_circle_outline
remove_circle_outline
remove_circle_outline

Search Results (345)

Search Parameters:
Keywords = sample quantile

Order results
Result details
Results per page
Select all
Export citation of selected articles as:
21 pages, 2700 KB  
Article
Bridging Stochasticity and Fuzziness: Automated Construction of Triangular Fuzzy Numbers via LLM Temperature Sampling for Managerial Decision Support
by Meng Zhang, Wenjie Bai, Yuanfei Guo, Wenlong Xu, Ranjun Wang, Yingdong Chen and Yuliang Zhao
Information 2026, 17(4), 349; https://doi.org/10.3390/info17040349 - 6 Apr 2026
Abstract
Traditional fuzzy decision-making often relies on manual expert calibration, which is labor-intensive and susceptible to subjective bias. This study addresses these limitations by proposing a novel framework that transforms the intrinsic probabilistic outputs of Large Language Models (LLMs) into Triangular Fuzzy Numbers (TFNs). [...] Read more.
Traditional fuzzy decision-making often relies on manual expert calibration, which is labor-intensive and susceptible to subjective bias. This study addresses these limitations by proposing a novel framework that transforms the intrinsic probabilistic outputs of Large Language Models (LLMs) into Triangular Fuzzy Numbers (TFNs). We introduce a multi-temperature sampling strategy coupled with weighted quantile aggregation and an adaptive interval adjustment mechanism to systematically map model stochasticity to fuzzy possibility distributions. Empirical validation on a structured prototype dataset demonstrates that the proposed method achieves high consistency with expert consensus, with GPT-4.2 exhibiting superior central accuracy and Gemini-2.5 excelling in uncertainty coverage. Furthermore, in complex unstructured scenarios involving business public opinion, the integration of Model Context Protocol (MCP) and Retrieval-Augmented Generation (RAG) significantly corrects cognitive biases and converges uncertainty boundaries. This research establishes a rigorous pathway from generative AI probabilities to fuzzy decision theory, offering a robust automated solution for quantitative risk assessment and intelligent decision support. Full article
Show Figures

Figure 1

29 pages, 1416 KB  
Article
Geopolitical Risks and Global Stock Market Dynamics: A Quantile-Based Approach
by Adrian-Gabriel Enescu and Monica Răileanu Szeles
Int. J. Financial Stud. 2026, 14(4), 85; https://doi.org/10.3390/ijfs14040085 - 2 Apr 2026
Viewed by 387
Abstract
This study investigates the impact of geopolitical risk measures (aggregate geopolitical risk, geopolitical acts, and geopolitical threats) on 40 global stock market indexes from developed and emerging markets for a sample of 20 years. By employing simultaneous quantile regression and a Two-Stage Quantile-on-Quantile [...] Read more.
This study investigates the impact of geopolitical risk measures (aggregate geopolitical risk, geopolitical acts, and geopolitical threats) on 40 global stock market indexes from developed and emerging markets for a sample of 20 years. By employing simultaneous quantile regression and a Two-Stage Quantile-on-Quantile Regression (QQR) framework, we analyze the risk transmission mechanisms across the conditional distribution of stock returns. The empirical results reveal a notable regime-dependent reversal: a negative influence is exerted by geopolitical risk during a bullish market regime, while a counterintuitive positive association is present for the bearish market conditions. This effect is more pronounced for emerging and commodity-rich markets, which may provide a potential hedge during supply-side shocks. Moreover, the QQR analysis focused on the United States of America stock market provides an examination of the different potential transmission mechanisms of geopolitical variants. The results suggest that geopolitical threats (GPRT) represent a persistent factor that negatively affects the market for normal and bullish market regimes, while geopolitical acts (GPRA) represent a tail-risk catalyst that exacerbates losses during severe market crashes. The results remain robust to an alternative specification of returns and indicate the necessity of distinguishing between geopolitical acts and threats from a risk management standpoint, as well as correctly identifying the market regime. Full article
Show Figures

Figure 1

18 pages, 855 KB  
Article
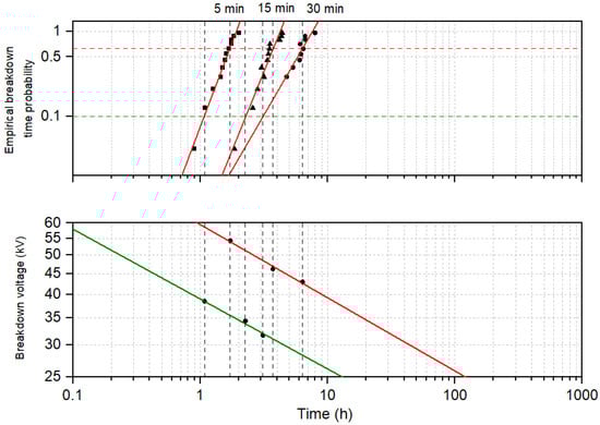
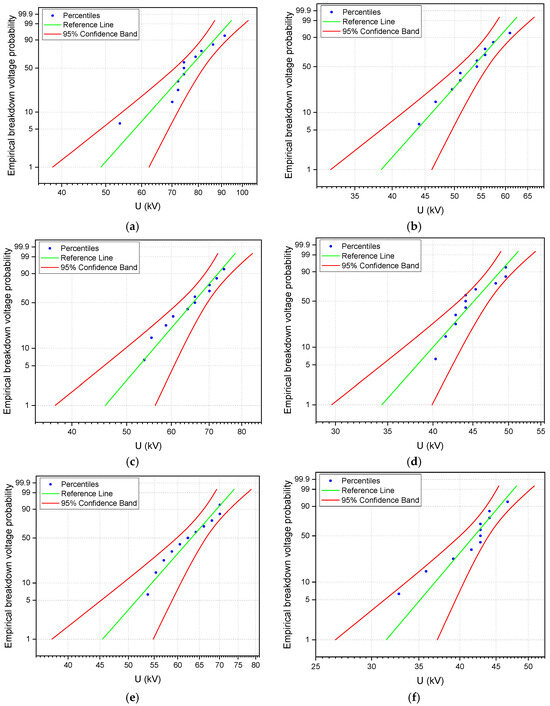
Prediction of Remaining Life and Insulation Failure of High-Voltage Distribution Cable Using Statistical Methods
by Filip Zec, Saša D. Milić, Đorđe Lazarević and Jasna Dragosavac
Mathematics 2026, 14(7), 1164; https://doi.org/10.3390/math14071164 - 31 Mar 2026
Viewed by 147
Abstract
Predicting the remaining life and insulation failure of high-voltage distribution cables using statistical methods is essential for ensuring the reliability and safety of electrical power systems. Statistical techniques enable the identification of degradation trends by analyzing historical operational and diagnostic data. The paper [...] Read more.
Predicting the remaining life and insulation failure of high-voltage distribution cables using statistical methods is essential for ensuring the reliability and safety of electrical power systems. Statistical techniques enable the identification of degradation trends by analyzing historical operational and diagnostic data. The paper examines the life expectancy of 10 kV Paper-Insulated Lead-Covered (PILC) cable insulation. The presented experiment was performed on both used and new cable samples. Presumptions of Weibull distribution parameters for random variables “breakdown voltage” and “breakdown time” are experimentally validated. The exponent of life expectancy for both used and new cable samples is obtained from experimentally derived parameters of the Weibull distribution. As a result, the dependence quantile for the breakdown probability of used and new cables is determined. Full article
(This article belongs to the Special Issue Mathematical Applications in Electrical Engineering, 2nd Edition)
Show Figures

Figure 1

16 pages, 1089 KB  
Article
Association Between Urinary Phthalate Metabolites and Early Spontaneous Abortion
by Lin Tao, Nian Wu, Lulu Dai, Shimin Xiong, Dengqing Liao, Yuanzhong Zhou and Xubo Shen
Toxics 2026, 14(4), 300; https://doi.org/10.3390/toxics14040300 - 30 Mar 2026
Viewed by 330
Abstract
Phthalates (PAEs) are ubiquitous endocrine-disrupting chemicals (EDCs), but their association with early pregnancy loss (gestational age ≤ 12 weeks) remains controversial. This study enrolled pregnant women aged 20–45 years in Zunyi City, China, and included 107 cases and 349 controls following propensity score [...] Read more.
Phthalates (PAEs) are ubiquitous endocrine-disrupting chemicals (EDCs), but their association with early pregnancy loss (gestational age ≤ 12 weeks) remains controversial. This study enrolled pregnant women aged 20–45 years in Zunyi City, China, and included 107 cases and 349 controls following propensity score matching. Logistic regression, restricted cubic spline (RCS) analysis, Bayesian kernel machine regression (BKMR), and weighted quantile sum (WQS) regression were employed to investigate associations between urinary phthalate metabolites and early pregnancy loss. We found that monoethyl phthalate (MEP), mono(2-ethylhexyl) phthalate (MEHP), monooctyl phthalate (MOP), mono(2-ethyl-5-oxohexyl) phthalate (MEOHP), and mono(2-ethyl-5-hydroxyhexyl) phthalate (MEHHP) were associated with spontaneous abortion in early pregnancy, with corresponding odds ratios (ORs; 95% confidence intervals [CIs]) of 1.62 (1.26–2.09), 1.49 (1.07–2.09), 1.64 (1.26–2.12), 1.78 (1.27–2.50), 2.63 (1.90–3.64), 1.41 (1.11–1.79), and 5.39 (3.53–8.25). Non-linear dose–response relationships were observed between exposure to MMP, MEP, MEHP, MOP, monobenzyl phthalate (MBZP), MEOHP, MEHHP, and mono-(3-carboxypropyl) phthalate (MECPP) and early pregnancy loss (non-linear p < 0.05; overall p < 0.05). Co-exposure to multiple phthalate metabolites was also linked to a significantly non-linear elevation in the risk of early pregnancy loss (OR; 95% confidence interval [CI]) of 1.92 (1.76–2.15). Among these metabolites, MMP, MOP, MEOHP, and MECPP make the largest contribution to the correlation. In summary, our findings indicate that exposure to phthalate esters during early pregnancy is associated with early pregnancy loss, with MMP, MOP, MEOHP, and MECPP as the primary contributors. However, these results are based on a single urine sample, and caution is warranted when interpreting the findings. Full article
Show Figures

Figure 1

26 pages, 1305 KB  
Article
Robust Nonparametric Early Stopping in Tree Ensembles via IQR-Scale Change-Point Detection
by Sooyoung Jang and Changbeom Choi
Mathematics 2026, 14(7), 1151; https://doi.org/10.3390/math14071151 - 30 Mar 2026
Viewed by 180
Abstract
Tree ensembles—Random Forests (RFs) and Gradient Boosting Machines (GBMs)—often stabilize before all trees are evaluated. We study early stopping as a nonparametric change-point problem on prediction increments. The P2-STOP method family monitors a robust interquartile-range (IQR) scale of prediction increments online [...] Read more.
Tree ensembles—Random Forests (RFs) and Gradient Boosting Machines (GBMs)—often stabilize before all trees are evaluated. We study early stopping as a nonparametric change-point problem on prediction increments. The P2-STOP method family monitors a robust interquartile-range (IQR) scale of prediction increments online and stops when a relative-scale criterion is met. The default variant uses a rolling-window exact-quantile estimator (O(w) memory), which provides a clean finite-sample stopping guarantee; a full-prefix P2 streaming approximation (O(1) memory) is available as a memory-light alternative. The stopping rule applies to both RFs and GBMs without model-specific distributional assumptions. On four RF benchmarks (MNIST, Covertype, HIGGS, and Credit Card Fraud), P2-STOP achieves 44.8% mean work reduction (range: 0.7–71.7%) with an accuracy change from 0.53 to +0.02 percentage points versus full-ensemble inference. On XGBoost (T=500), work reduction is dataset-dependent (41.4% on Covertype up to 89.0% on Credit Card), with corresponding accuracy trade-offs. Under random-tree contamination conditions (5%, 15%, and 25%), performance remains stable, whereas IQR-versus-standard-deviation baseline differences are mixed rather than uniformly dominant. Designed for compiled inference engines (e.g., C++/Numba), P2-STOP translates theoretical work reduction into consistent wall-clock speedups (4.14×4.82× versus compiled full RF on MNIST/Covertype/HIGGS for T=500). Native Python implementations serve purely as logical baselines due to loop overhead, while Credit Card exhibits the expected slowdown when work reduction is near zero. All comparisons use five seeds with 95% confidence intervals and seed-level paired tests. With only five seeds, inferential power is limited, and p-values should be interpreted cautiously. Relative to the Dirichlet RF baseline, our contribution is not larger RF-specific work reduction; it is a robust nonparametric IQR-scale stopping criterion, cast as a change-point/sequential-inference problem, that works as a post hoc wrapper across RF and GBM settings. Full article
(This article belongs to the Special Issue Mathematical Statistics and Nonparametric Inference)
Show Figures

Graphical abstract

23 pages, 7222 KB  
Article
A Multi-Model Framework to Quantify the Carbon Sink Potential of Larix olgensis Plantations in Northeast China
by Yaqi Zhao, Haoran Li, Xuanzhu Hou, Qilong Wang, Jie Ouyang, Lirong Zhang and Weifang Wang
Forests 2026, 17(4), 423; https://doi.org/10.3390/f17040423 - 27 Mar 2026
Viewed by 290
Abstract
Increasing the carbon sink function of forests is critical for achieving carbon (C) neutrality in the context of global climate change. Past studies have focused on the estimation of forest biomass or C storage, while those on forest C sink potential remain limited. [...] Read more.
Increasing the carbon sink function of forests is critical for achieving carbon (C) neutrality in the context of global climate change. Past studies have focused on the estimation of forest biomass or C storage, while those on forest C sink potential remain limited. In particular, there remain few systematic investigations to define the forest C sink, to characterize the synergistic influencing factors, and to develop related quantitative analysis methods. The development of scientific C enhancement strategies requires the construction of C density-age models integrating multiple stand factors. These models allow accurate quantification of the gap (∆C) between actual and maximum C sequestration capacity. This study used permanent sample plot data to develop and validate a novel multi-model assessment approach for quantifying the C sink potential of Larix olgensis plantations in Heilongjiang Province, China, and to translate the results into precise management tools. An Average-Level Model (ALM) was established to define baseline C sequestration. Three innovative potential assessment models were then proposed: (1) the Empirical Upper Boundary Model (PLM1); (2) the Dummy Variable Model (PLM2); and (3) the Quantile Regression Model (PLM3). These models define the maximum C sequestration capacity from distinct perspectives. PLM1 (R2 = 0.7910) characterized the theoretical upper limit of C sink potential (79.86 Mg·ha−1), making it suitable for macro-strategic goal setting, though it is somewhat dependent on extreme data points. PLM2 (R2 = 0.7943) achieved the best fit, and when combined with measurable stand conditions (site class index [SCI] > 16 m, stand density index [SDI] > 800 trees·ha−1), it provides clear guidance for management practices. Although PLM3 showed a lower goodness-of-fit (R2 = 0.1056), it provided reasonable parameter estimates and robust predictions, offering a reliable upper-bound reference for C sink project planning and risk control. At a stand age of 60 years (yr), the C sink enhancement potentials (“∆” C) corresponding to the three models were 15.73, 14.48, and 13.26 Mg·ha−1, representing increases of 24.53%, 22.58%, and 20.68%, respectively, over the average level (64.13 Mg·ha−1); the peak C sequestration rates of the models were 104.3%, 82.7%, and 60.5% higher than that of the ALM, with peak times occurring earlier at 9, 7, and 11 yr, respectively, underscoring the importance of the early management. The multi-model assessment approach developed here facilitates “precision carbon enhancement” by quantifying C sink potential across its theoretical, achievable, and robust upper-bound dimensions. This quantification provides both mechanistic insights into C sequestration processes and a critical link between theoretical understanding and practical forest management. This work holds significant value for advancing forestry C sinks in service of national strategies. Full article
(This article belongs to the Special Issue Modelling and Estimation of Forest Biomass)
Show Figures

Figure 1

32 pages, 4620 KB  
Article
Joint Resource Allocation for Maritime RIS–RSMA Communications Using Fractal-Aware Robust Deep Reinforcement Learning
by Da Liu, Kai Su, Nannan Yang and Jingbo Zhang
Fractal Fract. 2026, 10(4), 223; https://doi.org/10.3390/fractalfract10040223 - 27 Mar 2026
Viewed by 165
Abstract
Sea-surface reflections and wind–wave motion render maritime channels strongly time-varying and statistically non-stationary, while nearshore deployments face sparse infrastructure and co-channel multiuser interference. This study integrates reconfigurable intelligent surfaces (RISs) with rate-splitting multiple access (RSMA) for joint online resource allocation. A physics-inspired time-varying [...] Read more.
Sea-surface reflections and wind–wave motion render maritime channels strongly time-varying and statistically non-stationary, while nearshore deployments face sparse infrastructure and co-channel multiuser interference. This study integrates reconfigurable intelligent surfaces (RISs) with rate-splitting multiple access (RSMA) for joint online resource allocation. A physics-inspired time-varying channel model is established by embedding fractional Brownian motion-driven slow statistical drift and reflection-phase perturbations. With imperfect, delayed channel state information (CSI) and discrete RIS phase quantization, a proportional-fairness utility maximization problem is formulated to jointly optimize shore base-station precoding, RIS phase shifts, and RSMA common-rate allocation. To cope with strong non-convexity, high dimensionality, mixed continuous–discrete coupling, and partial observability, a fractal-aware recurrent robust Actor–Critic (FRRAC) algorithm is developed. FRRAC encodes short observation histories using a gated recurrent unit and incorporates a lightweight Hurst-proxy estimator to capture slow channel statistics for robust value evaluation and policy learning. Truncated quantile critics and mixed prioritized–uniform replay further improve value robustness, training stability, and sample efficiency. Simulation results show that FRRAC converges faster and more stably under both conventional and fractal non-stationary channel modeling, and outperforms representative baselines across the objective and multiple statistical metrics, validating its effectiveness for joint resource optimization in maritime RIS–RSMA systems. Full article
(This article belongs to the Section Optimization, Big Data, and AI/ML)
Show Figures

Figure 1

19 pages, 1213 KB  
Article
Exposure to Urinary and Dust Parabens: Compound-Specific Risks for Pediatric Respiratory Allergic Phenotypes
by Yangyang Zhu, Shuang Du, Zhiqi Lin, Qingshuang Li, Hao Tang, Zhiping Niu, Dan Norbäck, Tippawan Prapamontol, Chanjuan Sun, Jiufeng Li and Zhuohui Zhao
Toxics 2026, 14(4), 281; https://doi.org/10.3390/toxics14040281 - 26 Mar 2026
Viewed by 320
Abstract
Parabens, a prevalent class of endocrine-disrupting chemicals (EDCs), are ubiquitous in consumer products; however, their role in linking pediatric allergic phenotypes remains poorly understood. This case-control study analyzed paraben levels in urine and indoor dust as proxies for internal and external exposures and [...] Read more.
Parabens, a prevalent class of endocrine-disrupting chemicals (EDCs), are ubiquitous in consumer products; however, their role in linking pediatric allergic phenotypes remains poorly understood. This case-control study analyzed paraben levels in urine and indoor dust as proxies for internal and external exposures and investigated their associations with allergic rhinitis only (AR Only), asthma only (AS Only), and comorbidities (AR&AS) among children in Shanghai. The concentrations for each of four paraben compounds were quantitatively measured, and multi-pollutant frameworks—including Bayesian Kernel Machine Regression (BKMR) and Weighted Quantile Sum (WQS) regression—were employed to characterize the mixture exposure and risk. Propylparaben (PrP) was detectable in 100% of urine samples and over 90% of dust samples, and the concentrations ranked the highest out of the four compounds in both samples. Benzylparaben (BzP) was detected in >70% of urine samples and over 50% of dust samples at relatively lower levels. Urinary PrP exhibited significantly positive associations with all phenotypes (OR in 2.18–2.92) and BzP with the AR&AS Comorbidity (OR = 3.55, 95% CI: 1.32–9.55). Dust-borne PrP was associated with AR Only (OR = 2.26, 95% CI: 1.16–4.43), indicating a potential “Portal of Entry” effect via direct nasal deposition. According to BKMR and WQS analyses, urinary PrP and BzP emerged as two primary risk drivers. Using interaction analysis, an additive synergistic effect was observed between urinary PrP and BzP with parental history of allergy, suggesting heightened vulnerability to paraben exposure in genetically predisposed subgroups. In conclusion, children with respiratory allergies were associated with higher exposure to PrP and BzP and exhibited higher susceptibility in those with a parental history of allergy. Full article
(This article belongs to the Special Issue Health Risks and Toxicity of Emerging Contaminants)
Show Figures

Graphical abstract

15 pages, 286 KB  
Article
Reliability Inference and Remaining Useful Life Prediction Based on the Two-Parameter Bathtub-Shaped Lifetime Distribution Under Progressive Type-II Censoring
by Xiaofei Wang, Biwu Zhang, Peihua Jiang and Yaqun Zhou
Mathematics 2026, 14(7), 1109; https://doi.org/10.3390/math14071109 - 26 Mar 2026
Viewed by 248
Abstract
The two-parameter bathtub-shaped distribution is an important lifetime distribution. In this paper, we are interested in developing reliability inference and remaining useful life prediction methods for the two-parameter bathtub-shaped lifetime distribution under progressive type-II censoring. By constructing generalized pivotal quantities, the generalized confidence [...] Read more.
The two-parameter bathtub-shaped distribution is an important lifetime distribution. In this paper, we are interested in developing reliability inference and remaining useful life prediction methods for the two-parameter bathtub-shaped lifetime distribution under progressive type-II censoring. By constructing generalized pivotal quantities, the generalized confidence intervals for both model parameters and key reliability metrics, including quantiles, reliability functions, and remaining useful life are exploited. The proposed methods are further extended to accelerated life testing scenarios. The corresponding accelerated life testing model is constructed based on the two-parameter bathtub-shaped distribution. Furthermore, the generalized confidence intervals for model parameters, quantiles, reliability functions, and remaining useful life are also exploited under the designed stress level. Through comprehensive Monte Carlo simulations, and comparing our approach with Wald confidence intervals and bootstrap-p confidence intervals across moderate and large sample sizes, we confirm the superior coverage probability performance of the generalized confidence interval procedures. The practical applicability of our methodology is validated through two illustrative examples. Full article
(This article belongs to the Special Issue Reliability Estimation and Mathematical Statistics, 2nd Edition)
38 pages, 4155 KB  
Article
From Adoption Diffusion to Dimensioning: Probabilistic Forecasting of 5G/NB-IoT Demand via Monte Carlo Uncertainty Propagation
by Nikolaos Kanellos, Dimitrios Katsianis and Dimitris Varoutas
Forecasting 2026, 8(2), 28; https://doi.org/10.3390/forecast8020028 - 25 Mar 2026
Viewed by 288
Abstract
Medium-term 5G/NB-IoT planning is made difficult by simultaneous uncertainty in device adoption and per-device traffic behavior because deterministic point forecasts do not quantify overload risk or support reliability-based capacity decisions. A diffusion-to-dimensioning workflow is proposed in which S-curve adoption modeling, bounded usage priors, [...] Read more.
Medium-term 5G/NB-IoT planning is made difficult by simultaneous uncertainty in device adoption and per-device traffic behavior because deterministic point forecasts do not quantify overload risk or support reliability-based capacity decisions. A diffusion-to-dimensioning workflow is proposed in which S-curve adoption modeling, bounded usage priors, scenario stress testing, and Monte Carlo uncertainty propagation are combined to generate predictive demand distributions, exceedance curves, and quantile-based capacity rules. The framework is applied to a Great Britain case study for 2025–2029 using smart meter deployment data and an M2M-based proxy for asset-tracking adoption. Analysis shows that planning-year upper-tail outcomes are driven primarily by asset-tracking usage uncertainty rather than by proxy scale alone. A ±30% perturbation of the AT adoption anchor changes Q0.95 by approximately ±29.8%, whereas stressed AT usage increases Q0.95 by 74.4%. Plausible positive dependence among key AT operational inputs further raises Q0.95 by 18.3–22.5%. Limited hold-out evaluation provides strong out-of-sample support for the smart meter adoption stage and plausibility-only support for the shorter AT proxy. The framework is intended for medium-term, data-lean planning settings and is designed to support transparent risk-based capacity decisions rather than deterministic point sizing. Full article
(This article belongs to the Special Issue Feature Papers of Forecasting 2026)
Show Figures

Figure 1

21 pages, 5693 KB  
Article
Cross-Period Inference of Cropland Soil Organic Carbon Based on Its Relationship Patterns with Environmental Factors Incorporating the Seasonal Crop Rotation System
by Baocheng Yu, Zhongfang Yang, Yong Huang and Wei Fang
Environments 2026, 13(4), 181; https://doi.org/10.3390/environments13040181 - 25 Mar 2026
Viewed by 487
Abstract
Soil organic carbon (SOC) is a key indicator reflecting soil quality and management level. Understanding its spatiotemporal dynamics in cropland is necessary for sustainable land management. Revealing the relationship patterns between SOC (Sampling resolution: 1 km2; analysis resolution: 4 km2 [...] Read more.
Soil organic carbon (SOC) is a key indicator reflecting soil quality and management level. Understanding its spatiotemporal dynamics in cropland is necessary for sustainable land management. Revealing the relationship patterns between SOC (Sampling resolution: 1 km2; analysis resolution: 4 km2) and environmental factors in one period allows inferring SOC distribution in unsampled years, partly compensating for temporal data gaps. This study introduces a season-based crop rotation system (Winter wheat in the first season and summer corn in the next) as independent variables in a machine learning model innovatively, enriching variable selection in SOC inference and improving understanding of SOC accumulation. The Beijing–Tianjin–Hebei (BTH) region, characterized by a typical winter wheat–summer corn rotation system, was selected for analysis. The results show that in 2000, the average SOC was relatively low compared with global levels. Climatic variables were negatively correlated with SOC below the 0.8 quantile but positive above it, which corresponds to the upper 20% of the observed range of each climatic variable. Winter-wheat growth is more important on SOC distribution than summer-corn growth (two annual peaks of NDVI and EVI), showing a positive correlation with SOC, while corn showed a weak correlation and became negative above the 0.8 quantile. In the inferred results, the differences between observed and inferred mean values and their confidence intervals were approximately 0.1. This research provides a reference method for evaluating regional-scale SOC distribution patterns under data-limited conditions by integrating environmental factors and crop rotation characteristics. Full article
Show Figures

Figure 1

21 pages, 3274 KB  
Article
Deep Reinforcement Learning-Based Water Jet Control for Robotic Manipulators Using an Improved Experience Replay Mechanism
by Rong Zhang, Jianjun Qin, Luyang Wang and Guotong Li
Appl. Sci. 2026, 16(6), 3099; https://doi.org/10.3390/app16063099 - 23 Mar 2026
Viewed by 218
Abstract
Existing robotic water jet control methods are limited by fixed spray configurations and low adaptability to complex or dynamic environments. These constraints hinder precise targeting in three-dimensional spaces. To overcome this, we propose a reinforcement learning-based water jet control framework that achieves accurate [...] Read more.
Existing robotic water jet control methods are limited by fixed spray configurations and low adaptability to complex or dynamic environments. These constraints hinder precise targeting in three-dimensional spaces. To overcome this, we propose a reinforcement learning-based water jet control framework that achieves accurate targeting without pose or angle restrictions. Specifically, we introduce Goal-Priority Hindsight Experience Replay (GPHER), a replay strategy that integrates the principles of Hindsight Experience Replay (HER), Prioritized Experience Replay (PER), and curriculum learning. GPHER dynamically adjusts sampling priorities based on goal-space distance, guiding training from simple to complex goals. Combined with Truncated Quantile Critics (TQCs), this approach accelerates convergence and enhances success rates. Both simulation and real-world experiments validate the robustness and adaptability of the proposed method, demonstrating its effectiveness for real-time robotic fluid control. Full article
(This article belongs to the Special Issue Motion Control for Robots and Automation)
Show Figures

Figure 1

31 pages, 629 KB  
Article
The One-Parameter Bounded p-Exponential Distribution: Properties, Inference, and Applications
by Hassan S. Bakouch, Hugo S. Salinas, Fernando A. Moala, Tassaddaq Hussain, Shaykhah Aldossari and Alanwood Al-Buainain
Mathematics 2026, 14(6), 1076; https://doi.org/10.3390/math14061076 - 22 Mar 2026
Viewed by 331
Abstract
We introduce the one-parameter bounded p-exponential distribution on (0, p+1), which includes the uniform model as a special case and converges pointwise to the exponential law as p. Closed-form expressions are derived [...] Read more.
We introduce the one-parameter bounded p-exponential distribution on (0, p+1), which includes the uniform model as a special case and converges pointwise to the exponential law as p. Closed-form expressions are derived for the CDF and PDF, the survival function, an explicit increasing-failure-rate hazard function, the quantile function (enabling inversion-based simulation), moments, and entropy, along with a constructive scaled beta or Kumaraswamy representation. We also establish stochastic ordering with respect to p in stop-loss and increasing convex order, formalizing how dispersion varies with the parameter while preserving the mean scale. Inference is discussed under parameter-dependent support, a non-regular setting, and we develop and compare several estimation procedures, including a likelihood-based boundary MLE, a variance-matching method-of-moments estimator, and Bayesian estimation under a gamma prior implemented via numerical quadrature or MCMC. Monte Carlo simulation studies evaluate finite-sample performance and interval behavior, and two real-world applications in survival and reliability analysis illustrate competitive goodness-of-fit relative to standard benchmark models. Full article
(This article belongs to the Special Issue New Advances in Mathematical Applications for Reliability Analysis)
Show Figures

Figure 1

37 pages, 2896 KB  
Article
Energy-Efficient Resilience Scheduling for Elevator Group Control via Queueing-Based Planning and Safe Reinforcement Learning
by Tingjie Zhang, Tiantian Zhang, Hao Zou, Chuanjiang Li and Jun Huang
Machines 2026, 14(3), 352; https://doi.org/10.3390/machines14030352 - 21 Mar 2026
Viewed by 243
Abstract
High-rise elevator group control systems operate under pronounced nonstationarity during commuting peaks, post-event surges, and capacity degradation, where the waiting time distribution becomes right-tail heavy and stresses service-level agreements (SLAs) defined by coverage and high-quantile targets. At the same time, the time-of-use tariffs [...] Read more.
High-rise elevator group control systems operate under pronounced nonstationarity during commuting peaks, post-event surges, and capacity degradation, where the waiting time distribution becomes right-tail heavy and stresses service-level agreements (SLAs) defined by coverage and high-quantile targets. At the same time, the time-of-use tariffs and carbon constraints sharpen the tension between peak-power control, energy savings, and service capacity. This paper proposes a two-layer resilience scheduling framework that integrates queueing-based planning with safe reinforcement learning (RL) fine-tuning. In the planning layer, parsimonious queueing approximations and scenario-based evaluation construct a finite set of implementable mode cards and emergency switching cards; Sample Average Approximation (SAA) combined with Conditional Value-at-Risk (CVaR) constraints filter candidates to enforce tail-risk-aware service limits while keeping power demand within a prescribed envelope. In the execution layer, online dispatch is formulated as a constrained Markov decision process; within the planning layer limits, action masking and Lagrangian safe RL learn small adaptive adjustments to suppress tail-waiting risk and improve recovery dynamics without increasing peak-power commitments. The experiments under morning peaks and post-event surges confirm tail risk reduction and accelerated recovery. For partial outages, the framework prioritizes SLA coverage and recovery speed, accepting a bounded increase in tail risk as a manageable trade-off. Throughout all tests, peak power remains within the prescribed limits. Improvements persist across random seeds and demand fluctuations, indicating distributional robustness and cross-scenario generalization. Ablation studies further reveal complementary roles: removing the planning layer CVaR screening worsens tail performance, while removing the execution layer action masking increases constraint violations and destabilizes recovery. Full article
Show Figures

Figure 1

26 pages, 5110 KB  
Article
Toward Robust Mineral Prospectivity Mapping: A Transformer-Based Global–Local Fusion Framework with Application to the Xiadian Gold Deposit
by Xiaoming Huang, Pancheng Wang and Qiliang Liu
Minerals 2026, 16(3), 331; https://doi.org/10.3390/min16030331 - 20 Mar 2026
Viewed by 226
Abstract
As mineral exploration increasingly targets deeper and more geologically complex terrains, the need for reliable predictive models becomes critical to mitigating exploration risk and improving cost efficiency. Correspondingly, the effectiveness of deep mineral exploration strategies depends substantially on the effectiveness and precision of [...] Read more.
As mineral exploration increasingly targets deeper and more geologically complex terrains, the need for reliable predictive models becomes critical to mitigating exploration risk and improving cost efficiency. Correspondingly, the effectiveness of deep mineral exploration strategies depends substantially on the effectiveness and precision of three-dimensional mineral prospectivity mapping (3D MPM) models. However, the inherent spatial non-stationarity—where ore grade variability changes across geological domains—and the strongly skewed distribution of high-grade samples present a dual challenge. Conventional methods, which primarily rely on mean-based regression, often struggle to adequately address this dual challenge, limiting their predictive performance in complex geological settings. To address these issues, this paper proposes a pinball-loss-guided, global–local fusion Transformer model within a unified framework for 3D MPM. It leverages a multi-head self-attention mechanism with global–local fusion to capture long-range dependencies and global geological contexts, while incorporating local feature extraction modules to adaptively model spatially varying mineralization controls, jointly optimized through a pinball loss function to address mineralization distribution skewness. The proposed framework was first rigorously evaluated using the Xiadian gold deposit as a case study. Bootstrap analysis of the ablation experiments confirmed its predictive performance in terms of quantile-specific accuracy and prediction interval (PI) calibration. Ten rounds of random data splits provided further confirmation of the model’s stability. Subsequently, the validated model was applied to prospectivity mapping in unexplored regions, leading to the delineation of several high-potential exploration targets. Finally, comparative analyses with state-of-the-art machine learning methods were conducted, which further validated the competitive fitting capability of the proposed framework. Full article
(This article belongs to the Special Issue 3D Mineral Prospectivity Modeling Applied to Mineral Deposits)
Show Figures

Figure 1

Back to TopTop