Sign in to use this feature.

Years

Between: -

Subjects

remove_circle_outline
remove_circle_outline
remove_circle_outline
remove_circle_outline
remove_circle_outline
remove_circle_outline
remove_circle_outline
remove_circle_outline
remove_circle_outline

Journals

Article Types

Countries / Regions

Search Results (48)

Search Parameters:
Keywords = route familiarity

Order results
Result details
Results per page
Select all
Export citation of selected articles as:
20 pages, 5198 KB  
Article
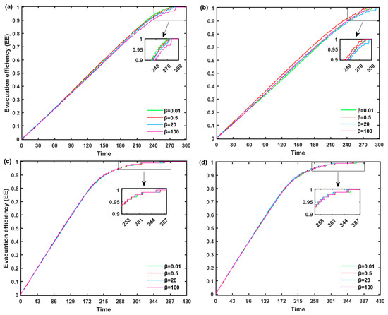
The Dominant Role of Exit Familiarity over Crowd Interactions and Spatial Layout in Pedestrian Evacuation Efficiency
by Si-Yi Wang, Chen-Xu Shi, Yan-Min Che and Feng-Jie Xie
Sustainability 2026, 18(1), 70; https://doi.org/10.3390/su18010070 - 20 Dec 2025
Viewed by 124
Abstract
Pedestrian evacuation efficiency is paramount to public safety and sustainable urban resilience. This study utilizes an agent-based model simulating evacuation dynamics in a built environment to assess the impact of route familiarity, interpersonal interactions, and storage layout on evacuation efficiency. The model incorporates [...] Read more.
Pedestrian evacuation efficiency is paramount to public safety and sustainable urban resilience. This study utilizes an agent-based model simulating evacuation dynamics in a built environment to assess the impact of route familiarity, interpersonal interactions, and storage layout on evacuation efficiency. The model incorporates an evolutionary game theory framework to capture strategic decision-making, featuring both symmetric and asymmetric interactions among evacuees with varying levels of exit information (complete, partial, or none). Results show that familiarity with exit location is the most decisive element for evacuation, significantly outweighing the influence of crowd interactions, imitation behaviors, group composition, or storage layout. Furthermore, the crowd composition exerts a significant moderating effect, so that asymmetric group structures yield superior evacuation performance compared to symmetric ones. The optimal storage layout for evacuation is contingent upon the availability of exit information. An orderly layout is superior when information is known, whereas a random layout proves more effective in the absence of information by preventing misleading paths. Thus, providing clear information, adaptable spatial designs and consciously constructing a heterogeneous population structure are more critical for evacuation. This work provides actionable insights for architects and safety planners, contributing directly to the development of safer, more sustainable built environments and supporting Sustainable Development Goal (SDG) 11, particularly Target 11.5. Full article
(This article belongs to the Section Social Ecology and Sustainability)
Show Figures

Figure 1

17 pages, 867 KB  
Article
One Health Investigation of a Household Salmonella Thompson Outbreak in Italy: Genomic and Epidemiological Characterization of an Emerging Serotype
by Marta Bivona, Andrea Francesco De Bene, Valeria Russini, Maria Laura De Marchis, Ilaria Di Domenico, Francesca Riccardi, Matteo Senese, Laura Gasperetti, Francesca Campeis, Luca Di Blasi, Virginia Carfora, Barbara Middei, Gessica Cordaro, Giuseppe Adreani, Paola Marconi and Teresa Bossù
Pathogens 2025, 14(12), 1285; https://doi.org/10.3390/pathogens14121285 - 13 Dec 2025
Viewed by 396
Abstract
Salmonella is a Gram-negative enteric bacterium responsible for the foodborne and waterborne disease salmonellosis, which was the second most reported foodborne gastrointestinal infection in humans in the European Union in 2023. Animals represent the principal reservoir of this pathogen, with animal-derived food products [...] Read more.
Salmonella is a Gram-negative enteric bacterium responsible for the foodborne and waterborne disease salmonellosis, which was the second most reported foodborne gastrointestinal infection in humans in the European Union in 2023. Animals represent the principal reservoir of this pathogen, with animal-derived food products serving as the main route of transmission to humans. In a household context, having numerous animals can be a crucial factor for contracting Salmonella spp. infection. In the present study, we report a case of a familiar outbreak of Salmonella Thompson that occurred in 2024 in central Italy, involving an infant and the companion animals (a dog, a cat and ten birds) of the family’s farm. To support the epidemiological investigations, antimicrobial susceptibility testing and whole-genome sequencing (WGS) were conducted on strains from the human case and from animals. Eleven strains were isolated in total, from fecal samples collected from the child and the animals at different times. WGS confirmed the genetic relatedness between human and animal isolates, supporting the hypothesis of a shared source of infection, but genes or plasmid involved in antibiotic resistance were not found. Moreover, AST revealed that isolates were fully susceptible to major antimicrobial classes tested. Despite being an uncommon serotype, the involved Salmonella Thompson serovar 6,7: k:1,5 O:7 (C1) demonstrated a high pathogenic potential, emphasizing the need for vigilance even toward serotypes not typically associated with major public health concerns. Moreover, these findings underscore the critical need for an integrated One Health approach to effectively monitor, prevent, and control zoonotic infections. Full article
Show Figures

Figure 1

33 pages, 732 KB  
Article
Perceptions of Greenwashing and Purchase Intentions: A Model of Gen Z Responses to ESG-Labeled Digital Advertising
by Stefanos Balaskas, Ioannis Stamatiou, Kyriakos Komis and Theofanis Nikolopoulos
Risks 2025, 13(8), 157; https://doi.org/10.3390/risks13080157 - 19 Aug 2025
Cited by 2 | Viewed by 5695
Abstract
This research examines the cognitive and psychological mechanisms underlying young adults’ reactions to ESG-labeled online advertisements, specifically resistance to persuasion and purchase intention. Based on dual-process theories of persuasion and digital literacy theory, we develop and test a structural equation model (SEM) of [...] Read more.
This research examines the cognitive and psychological mechanisms underlying young adults’ reactions to ESG-labeled online advertisements, specifically resistance to persuasion and purchase intention. Based on dual-process theories of persuasion and digital literacy theory, we develop and test a structural equation model (SEM) of perceived greenwashing, online advertising literacy, source credibility, persuasion knowledge, and advertising skepticism as predictors of behavioral intention. Data were gathered from 690 Greek consumers between the ages of 18–35 years through an online survey. All the direct effects hypothesized were statistically significant, while advertising skepticism was the strongest direct predictor of purchase intention. Mediation tests indicated that persuasion knowledge and skepticism partially mediated perceptions of greenwashing, literacy, and credibility effects, in favor of a complementary dual-route process of ESG message evaluation. Multi-group comparisons revealed significant moderation effects across gender, age, education, ESG familiarity, influencer trust, and ad-avoidance behavior. Most strikingly, women evidenced stronger resistance effects via persuasion knowledge, whereas younger users and those with lower familiarity with ESG topics were more susceptible to skepticism and greenwashing. Education supported the processing of source credibility and digital literacy cues, underlining the contribution of informational capital to persuasion resilience. The results provide theoretical contributions to digital persuasion and resistance with practical implications for marketers, educators, and policymakers seeking to develop ethical ESG communication. Future research is invited to broaden cross-cultural understanding, investigate emotional mediators, and incorporate experimental approaches to foster consumer skepticism and trust knowledge in digital sustainability messages. Full article
(This article belongs to the Special Issue ESG and Greenwashing in Financial Institutions: Meet Risk with Action)
Show Figures

Figure 1

31 pages, 3210 KB  
Systematic Review
The Mind-Wandering Phenomenon While Driving: A Systematic Review
by Gheorghe-Daniel Voinea, Florin Gîrbacia, Răzvan Gabriel Boboc and Cristian-Cezar Postelnicu
Information 2025, 16(8), 681; https://doi.org/10.3390/info16080681 - 8 Aug 2025
Viewed by 4026
Abstract
Mind wandering (MW) is a significant safety risk in driving, yet research on its scope, underlying mechanisms, and mitigation strategies remains fragmented across disciplines. In this review guided by the PRISMA framework, we analyze findings from 64 empirical studies to address these factors. [...] Read more.
Mind wandering (MW) is a significant safety risk in driving, yet research on its scope, underlying mechanisms, and mitigation strategies remains fragmented across disciplines. In this review guided by the PRISMA framework, we analyze findings from 64 empirical studies to address these factors. The presented study quantifies the prevalence of MW in naturalistic and simulated driving environments and shows its impact on driving behaviors. We document its negative effects on braking reaction times and lane-keeping consistency, and we assess recent advancements in objective detection methods, including EEG signatures, eye-tracking metrics, and physiological markers. We also identify key cognitive and contextual risk factors, including high perceived risk, route familiarity, and driver fatigue, which increase MW episodes. Also, we survey emergent countermeasures, such as haptic steering wheel alerts and adaptive cruise control perturbations, designed to sustain driver engagement. Despite these advancements, the MW research shows persistent challenges, including methodological heterogeneity that limits cross-study comparisons, a lack of real-world validation of detection algorithms, and a scarcity of long-term field trials of interventions. Our integrated synthesis, therefore, outlines a research agenda prioritizing harmonized measurement protocols, on-road algorithm deployment, and rigorous evaluation of countermeasures under naturalistic driving conditions. Full article
(This article belongs to the Section Information and Communications Technology)
Show Figures

Figure 1

17 pages, 1237 KB  
Article
The Travelling Salesbaboon: Chacma Baboon Route Efficiency in Multi-Stop Daily Travel Routes
by Lynn Lewis-Bevan, Philippa Hammond, Susana Carvalho and Dora Biro
Wild 2025, 2(2), 18; https://doi.org/10.3390/wild2020018 - 8 May 2025
Cited by 1 | Viewed by 2931
Abstract
The ability to navigate through both familiar and unfamiliar environments is of critical importance for foraging efficiency, safety, and energy budgeting in wild animals. For animals that remain in the same home range annually, such as grey-footed chacma baboons (Papio ursinus griseipes [...] Read more.
The ability to navigate through both familiar and unfamiliar environments is of critical importance for foraging efficiency, safety, and energy budgeting in wild animals. For animals that remain in the same home range annually, such as grey-footed chacma baboons (Papio ursinus griseipes), movement efficiency is expected to reflect familiarity with the home range as well as the nature of the resources within it. For example, resources that are patchy, transient, or seasonal present a greater spatial cognitive challenge, and travel between them may be less efficient than for more widespread or permanent resources. Here, we analyse daily route efficiency in adult female grey-footed chacma baboons at Gorongosa National Park, Mozambique. We use GPS data taken at 15 min intervals from collars deployed on two baboons in each of two study troops (four total) to identify areas of interest used during daily ranging periods (sleep site to sleep site). We then compare the length of the route taken between a given day’s patches to routes calculated by two alternate optimisation heuristics as follows: the nearest neighbour method, in which the subject repeatedly travels to the next most proximate patch and does not necessarily return to the same place, and the Concorde algorithm, which calculates the shortest possible route connecting the day’s patches. We show that baboons travel more efficient routes than those yielded by the nearest-neighbour heuristic but less efficient routes than the Concorde method, implying some degree of route planning. We discuss our novel method of area of interest identification using only remote GPS data, as well as the implications of our findings for primate movement and cognition. Full article
Show Figures

Figure 1

16 pages, 807 KB  
Article
Frequently Used Vehicle Controls While Driving: A Real-World Driving Study Assessing Internal Human–Machine Interface Task Frequencies and Influencing Factors
by Ilse M. Harms, Daniël A. M. Auerbach, Eleonora Papadimitriou and Marjan P. Hagenzieker
Appl. Sci. 2025, 15(10), 5230; https://doi.org/10.3390/app15105230 - 8 May 2025
Cited by 2 | Viewed by 1674
Abstract
Human–Machine Interfaces (HMIs) in passenger cars have become more complex over the years, with touch screens replacing physical buttons and with layered menu-structures. This can lead to distractions. The purpose of this study is to investigate how often vehicle controls are used while [...] Read more.
Human–Machine Interfaces (HMIs) in passenger cars have become more complex over the years, with touch screens replacing physical buttons and with layered menu-structures. This can lead to distractions. The purpose of this study is to investigate how often vehicle controls are used while driving and which underlying factors contribute to usage. Thirty drivers were observed during driving a familiar route twice, in their own car and in an unfamiliar car. In a 2 × 1 within-subject design, the experimenter drove along with each participant and used a predefined checklist to record how often participants interacted with specific functions of their vehicle while driving. The results showed that, in the familiar car, direction indicators are the most frequently used controls, followed by adjusting radio volume, moving the sun visor, adjusting temperature and changing wiper speed. Factors that influenced task frequencies included car familiarity, gender, age and weather conditions. The type of car also appears to impact task frequency. Participants interacted less with the unfamiliar car, compared to their own car, which may indicate drivers are regulating their mental load. These results are relevant for vehicle HMI designers to understand which functions should be easily and swiftly available while driving to reduce distraction by the HMI design. Full article
(This article belongs to the Special Issue Human–Vehicle Interactions)
Show Figures

Figure 1

13 pages, 7770 KB  
Article
Adaptive Navigation of a Smart Walker with Shared Control
by Giuseppe Sutera, Dario Calogero Guastella, Francesco Cancelliere and Giovanni Muscato
Actuators 2025, 14(5), 224; https://doi.org/10.3390/act14050224 - 1 May 2025
Cited by 1 | Viewed by 1715
Abstract
The global surge in the elderly population has increased the awareness of their needs. Supporting mobility and perception is vital to improving their quality of life. This project introduces a prototype of an active smart walker with obstacle avoidance and assistive navigation features [...] Read more.
The global surge in the elderly population has increased the awareness of their needs. Supporting mobility and perception is vital to improving their quality of life. This project introduces a prototype of an active smart walker with obstacle avoidance and assistive navigation features to aid the elderly. The system can plan routes and move in familiar environments, adjusting its actions based on the user’s intentions. To accomplish this, a shared control approach employs a force–torque sensor to gauge the user’s will. The proposed system has been tested in multiple scenarios, replicating a common use in real-world environments. Full article
(This article belongs to the Section Actuators for Robotics)
Show Figures

Figure 1

21 pages, 7511 KB  
Article
Exploring Biodiversity Through Citizen Science: A Case Study of Green Roofs at the Calouste Gulbenkian Foundation Garden in Lisbon
by Diogo Oliveira, Vitor Sousa, Patricia Tiago, Ana Leal, Ana Paula Falcão and Cristina Matos Silva
Land 2025, 14(5), 911; https://doi.org/10.3390/land14050911 - 22 Apr 2025
Viewed by 1280
Abstract
Citizen science is rising and expanding as an approach to data collection, enabling the acquisition of data through the voluntary involvement of citizens in scientific activities. This study explores the effectiveness of citizen science in collecting biodiversity data in urban green infrastructure, focusing [...] Read more.
Citizen science is rising and expanding as an approach to data collection, enabling the acquisition of data through the voluntary involvement of citizens in scientific activities. This study explores the effectiveness of citizen science in collecting biodiversity data in urban green infrastructure, focusing on a case study at the Calouste Gulbenkian Foundation in Lisbon, which includes both green roofs and traditional garden areas. Data collected via the iNaturalist platform through structured and unstructured citizen science activities were analyzed to compare patterns of biodiversity observation. Results show that unstructured activities attract more participants but produce fewer observations per person, mainly focusing on more familiar taxa, such as birds. In contrast, structured events concede a higher number of observations per observer, including less commonly recorded taxa like insects, and provide greater coverage of green roofs, since routes are predefined. Seasonal and temporal trends were also noted, with a higher concentration of observations in spring and summer and a significant increase on weekends, indicating the influence of participants’ availability. Spatial observations show that combining gardens and green roofs provides continuous and rich ecosystems that are crucial for city urban planners. Full article
(This article belongs to the Special Issue Monitoring the Effect of Urban Green Space on Environmental Quality)
Show Figures

Figure 1

18 pages, 1325 KB  
Article
Going for a Walk: An Empirical Study of Route Learning Training and Its Effects on Mental and Physical Fitness in Patients with Korsakoff Syndrome
by Albert Postma, Lobke Bulk, Fé Hermens, Machteld Vogel and Erik Oudman
Appl. Sci. 2025, 15(8), 4172; https://doi.org/10.3390/app15084172 - 10 Apr 2025
Viewed by 1134
Abstract
Korsakoff syndrome (KS) is a chronic neuropsychiatric disorder caused by severe thiamine deficiency. The syndrome is characterized by deficits in explicit memory and executive functions. These impairments severely limit patients with KS in their daily activities like visiting new and familiar places. The [...] Read more.
Korsakoff syndrome (KS) is a chronic neuropsychiatric disorder caused by severe thiamine deficiency. The syndrome is characterized by deficits in explicit memory and executive functions. These impairments severely limit patients with KS in their daily activities like visiting new and familiar places. The aim of the present study was to examine whether patients with KS are still able to learn a route, despite their cognitive impairments. We compared three route learning methods across three groups of patients with KS: passively following the experimenter (PL), trial-and-error learning (TEL), and errorless learning (EL). In the EL group, the participants had to walk towards a landmark that was shown on a tablet by the experimenter, and upon arrival, they had to find and walk towards the next landmark shown by the experimenter. Over 12 training sessions all participants showed improved route retracing performance. There was no difference between the three groups. Moreover, the results indicated positive effects of the walking training on quality of life, physical fitness, and attentional functioning. These promising findings imply that walking training may be beneficial for various aspects of amnestic patients’ daily functioning. It is therefore recommended to integrate route training into standard care for patients with KS. Full article
Show Figures

Figure 1

11 pages, 5041 KB  
Article
Spatial Compression in Memory: How Repeated Walks on Familiar Routes Shorten Perceived Distance
by Kyung Wook Seo, Hyung-Sook Lee and Joo Young Kim
Behav. Sci. 2025, 15(4), 404; https://doi.org/10.3390/bs15040404 - 22 Mar 2025
Viewed by 1074
Abstract
Many experiments on distance perception have revealed that there is a difference between perceptual distance and objective distance. It has been accepted that a route with more memorable features will make its perceived distance longer. This study revisited this information storage model and [...] Read more.
Many experiments on distance perception have revealed that there is a difference between perceptual distance and objective distance. It has been accepted that a route with more memorable features will make its perceived distance longer. This study revisited this information storage model and examined how estimations change by repeated journeys in a university campus. While the outcome confirms the existing hypothesis, an unexpected pattern of distance compression by time was found. Spending more years on the campus, the estimation tended to decrease. The rate of decrease was bigger and more distinctively gradual for architecture and female students than non-architecture and male students. At the end, a cognitive threshold hypothesis was suggested as a possible model to explain the complexity of distance perception. Before reaching it, the distance grows along with the knowledge on a route but beyond the point of knowledge saturation, it begins to compress. Full article
(This article belongs to the Section Cognition)
Show Figures

Figure 1

39 pages, 25260 KB  
Article
Mechanism-Based Fire Hazard Chain Risk Assessment for Roll-On/Roll-Off Passenger Vessels Transporting Electric Vehicles: A Fault Tree–Fuzzy Bayesian Network Approach
by Xiaodan Jiang, Wei Ren, Haibin Xu, Shiyuan Zheng and Shijie Wu
J. Mar. Sci. Eng. 2025, 13(2), 227; https://doi.org/10.3390/jmse13020227 - 25 Jan 2025
Cited by 5 | Viewed by 2618
Abstract
Roll-on/Roll-off passenger vessels transporting electric vehicles (Ro-Ro EVs) face unique fire hazards, challenging traditional fire risk management strategies. This study integrates fault tree analysis (FTA) with Fuzzy Bayesian Network (FBN) to assess the fire risks of Ro-Ro EVs across the entire hazard chain. [...] Read more.
Roll-on/Roll-off passenger vessels transporting electric vehicles (Ro-Ro EVs) face unique fire hazards, challenging traditional fire risk management strategies. This study integrates fault tree analysis (FTA) with Fuzzy Bayesian Network (FBN) to assess the fire risks of Ro-Ro EVs across the entire hazard chain. Given limited historical accident data, five experts familiar with the Shanghai Baoshan–Chongming ferry route refine fault tree models to visualize key fire hazard chain mechanisms and estimate risk probabilities. The FBN incorporates fault tree hierarchical structures, EV and Ro-Ro vessel-related risk factors, and applies a nine-level fuzzy scoring system to assess these risks. The FTA-FBN model offers a comprehensive framework for evaluating emerging fire risks specific to Ro-Ro EVs. Findings indicate that the highest risk occurs during the ignition phase. Primary triggers include external heat sources, improper vehicle securing, and vehicle collisions, leading to thermal runaway in lithium batteries. Failures in extinguishing and detecting lithium battery fires exacerbate fire spread. Effective fire compartmentalization and flammable material management are essential to prevent uncontrolled fires. Recommendations for fire prevention and control include shipboard battery level monitoring, charging restrictions, explosion-proof electrical installations, enhanced ventilation, lithium battery fire suppression systems, and vehicle securing. Full article
Show Figures

Figure 1

20 pages, 22712 KB  
Article
Adaptive Route Memory Sequences for Insect-Inspired Visual Route Navigation
by Efstathios Kagioulis, James Knight, Paul Graham, Thomas Nowotny and Andrew Philippides
Biomimetics 2024, 9(12), 731; https://doi.org/10.3390/biomimetics9120731 - 1 Dec 2024
Viewed by 1699
Abstract
Visual navigation is a key capability for robots and animals. Inspired by the navigational prowess of social insects, a family of insect-inspired route navigation algorithms—familiarity-based algorithms—have been developed that use stored panoramic images collected during a training route to subsequently derive directional information [...] Read more.
Visual navigation is a key capability for robots and animals. Inspired by the navigational prowess of social insects, a family of insect-inspired route navigation algorithms—familiarity-based algorithms—have been developed that use stored panoramic images collected during a training route to subsequently derive directional information during route recapitulation. However, unlike the ants that inspire them, these algorithms ignore the sequence in which the training images are acquired so that all temporal information/correlation is lost. In this paper, the benefits of incorporating sequence information in familiarity-based algorithms are tested. To do this, instead of comparing a test view to all the training route images, a window of memories is used to restrict the number of comparisons that need to be made. As ants are able to visually navigate when odometric information is removed, the window position is updated via visual matching information only and not odometry. The performance of an algorithm without sequence information is compared to the performance of window methods with different fixed lengths as well as a method that adapts the window size dynamically. All algorithms were benchmarked on a simulation of an environment used for ant navigation experiments and showed that sequence information can boost performance and reduce computation. A detailed analysis of successes and failures highlights the interaction between the length of the route memory sequence and environment type and shows the benefits of an adaptive method. Full article
(This article belongs to the Special Issue Bio-Inspired Robotics and Applications)
Show Figures

Figure 1

25 pages, 328 KB  
Article
Decolonial Philosophies and Complex Communication as Praxis
by Colette Sybille Jung
Philosophies 2024, 9(5), 142; https://doi.org/10.3390/philosophies9050142 - 6 Sep 2024
Cited by 1 | Viewed by 2169
Abstract
Coalitional communication is a dwelling amidst non-dominant differences that requires introspective, complex communicative philosophy and practice. My concern is with differentiation in hierarchies. They are understood and shaped by colonial modernity. They are historical logics and practices of settler colonialism, enslavement, and citizenship. [...] Read more.
Coalitional communication is a dwelling amidst non-dominant differences that requires introspective, complex communicative philosophy and practice. My concern is with differentiation in hierarchies. They are understood and shaped by colonial modernity. They are historical logics and practices of settler colonialism, enslavement, and citizenship. My perspective is feminist, decolonial critiques of modern, capitalist social systems. The analysis is grounded in communicative philosophy in intercultural contexts where folks intend justice and equality. For example, in political democracies, localized social alliances actually harm one another being hegemonic by taking routes of familiarity through structures of linguistic and practical cultural systems. Communicative projects of liberation across oppressions (with monologic and single-axis perceptions) tend to miss intersections of our raced and gendered experiences. The result is unintelligibility among us. In this state, one can sense in the body the space of the liminal—with both a communicative impasse and opening. Rather than aligning liberation and domination in the impasse, I describe the creativity of liminal space as a communicative opening. The opening is a recognition of multiplicity and a refusal to assimilate each other’s lived experiences into familiar, complex codes of habituated thought and action. Examining communication hostilities in oppressed–oppressing relations is a necessary condition for coalition. Thus, coalitional communication is a call to engage a full sense of listening to one another as relevant. Ways that decipher codes and signals of resistance come to constitute the project of creating relevant intelligibility together. Praxis as critical, dialectical, and intersectional thinking is part of this method. Full article
(This article belongs to the Special Issue Communicative Philosophy)
31 pages, 1061 KB  
Review
Factors Associated with Participation in Community Supported Agriculture (CSA) among Low-Income Households: A Scoping Review
by Karla L. Hanson, Claire Concepcion and Leah C. Volpe
Nutrients 2024, 16(15), 2450; https://doi.org/10.3390/nu16152450 - 27 Jul 2024
Cited by 4 | Viewed by 3356
Abstract
Households with limited financial resources often struggle with inadequate access to healthy, affordable food. Community supported agriculture (CSA) has the potential to improve access to fresh fruits and vegetables, yet low-income households seldom participate due to cost and other barriers. Cost-offset (or subsidized) [...] Read more.
Households with limited financial resources often struggle with inadequate access to healthy, affordable food. Community supported agriculture (CSA) has the potential to improve access to fresh fruits and vegetables, yet low-income households seldom participate due to cost and other barriers. Cost-offset (or subsidized) CSA reduces financial barriers, yet engagement varies widely among those who enroll. This scoping review explored factors associated with CSA participation among low-income households in the United States. Eighteen articles met the inclusion criteria, quantitative and qualitative data were extracted, the evidence was synthesized, and themes were developed. The findings suggested that women may be more likely than men to enroll in CSA. A lack of familiarity with CSA may hinder enrollment, whereas more education and self-efficacy for food preparation may facilitate participation. In terms of share contents, high-quality produce, a variety of items, more fruit, a choice of share contents, and a choice of share sizes may facilitate participation. In terms of CSA operations, a low price, good value, acceptance of Supplemental Nutrition Assistance Program (SNAP) benefits, close pick-up locations on existing travel routes, delivery of shares, clear communication, fostering a sense of belonging and trust, and educational support may support participation. Together these findings support 13 recommendations for cost-offset CSA implementation to engage low-income households. Full article
Show Figures

Figure 1

11 pages, 320 KB  
Article
Travelling Thomas: Slave Trade and Missionary Travel in the Acts of Thomas
by Marianne Bjelland Kartzow
Religions 2024, 15(7), 808; https://doi.org/10.3390/rel15070808 - 3 Jul 2024
Viewed by 2402
Abstract
The Acts of Thomas is a long, rich, and fascinating narrative about the Apostle Thomas who was forced to travel to India as a missionary. When Thomas hesitates to go, his master Jesus literally sells him as a slave to an Indian merchant. [...] Read more.
The Acts of Thomas is a long, rich, and fascinating narrative about the Apostle Thomas who was forced to travel to India as a missionary. When Thomas hesitates to go, his master Jesus literally sells him as a slave to an Indian merchant. Like other Apocryphal Acts, the Acts of Thomas revolves around the apostolic figure battling both human and demonic adversaries. Celibacy is central, although familiar narrative elements from ancient romances and novels are also present. On his way, Thomas sings, prays, teaches, heals, converts, and baptizes. His travel follows open trade routes in the ancient world, by land and by sea. He participates in various social events like parties, weddings, and family celebrations. His own status as a foreign slave/apostle, with a strange religion, is negotiated and contested: Sometimes he is treated like a foreign slave, suffering violence and harassment. On other occasions, his exotic strangeness in language and religion gives him access to royal palaces and influential men and women. By examining the role played by slavery in initiating this travel, as well as various intersections of religion and gender in the overall narrative, this article explores the Acts of Thomas to draw a more nuanced picture of travel in the ancient world. Full article
(This article belongs to the Special Issue Travel and Religion in the Ancient Mediterranean)
Back to TopTop