Sign in to use this feature.

Years

Between: -

Subjects

remove_circle_outline
remove_circle_outline
remove_circle_outline
remove_circle_outline
remove_circle_outline
remove_circle_outline
remove_circle_outline
remove_circle_outline
remove_circle_outline

Journals

remove_circle_outline
remove_circle_outline
remove_circle_outline
remove_circle_outline
remove_circle_outline
remove_circle_outline
remove_circle_outline
remove_circle_outline
remove_circle_outline
remove_circle_outline
remove_circle_outline
remove_circle_outline
remove_circle_outline
remove_circle_outline
remove_circle_outline
remove_circle_outline
remove_circle_outline
remove_circle_outline
remove_circle_outline
remove_circle_outline

Article Types

Countries / Regions

remove_circle_outline
remove_circle_outline
remove_circle_outline
remove_circle_outline
remove_circle_outline
remove_circle_outline
remove_circle_outline
remove_circle_outline

Search Results (1,791)

Search Parameters:
Keywords = resiliency index

Order results
Result details
Results per page
Select all
Export citation of selected articles as:
40 pages, 5643 KB  
Article
Energy Systems in Transition: A Regional Analysis of Eastern Europe’s Energy Challenges
by Robert Santa, Mladen Bošnjaković, Monika Rajcsanyi-Molnar and Istvan Andras
Clean Technol. 2025, 7(4), 84; https://doi.org/10.3390/cleantechnol7040084 - 2 Oct 2025
Abstract
This study presents a comprehensive assessment of the energy systems in eight Eastern European countries—Bulgaria, Croatia, the Czech Republic, Hungary, Poland, Romania, Slovakia, and Slovenia—focusing on their energy transition, security of supply, decarbonisation, and energy efficiency. Using principal component analysis (PCA) and clustering [...] Read more.
This study presents a comprehensive assessment of the energy systems in eight Eastern European countries—Bulgaria, Croatia, the Czech Republic, Hungary, Poland, Romania, Slovakia, and Slovenia—focusing on their energy transition, security of supply, decarbonisation, and energy efficiency. Using principal component analysis (PCA) and clustering techniques, we identify three different energy profiles: countries dependent on fossil fuels (e.g., Poland, Bulgaria), countries with a balanced mix of nuclear and fossil fuels (e.g., the Czech Republic, Slovakia, Hungary), and countries focusing mainly on renewables (e.g., Slovenia, Croatia). The sectoral analysis shows that industry and transport are the main drivers of energy consumption and CO2 emissions, and the challenges and policy priorities of decarbonisation are determined. Regression modelling shows that dependence on fossil fuels strongly influences the use of renewable energy and electricity consumption patterns, while national differences in per capita electricity consumption are influenced by socio-economic and political factors that go beyond the energy structure. The Decarbonisation Level Index (DLI) indicator shows that Bulgaria and the Czech Republic achieve a high degree of self-sufficiency in domestic energy, while Hungary and Slovakia are the most dependent on imports. A typology based on energy intensity and import dependency categorises Romania as resilient, several countries as balanced, and Hungary, Slovakia, and Croatia as vulnerable. The projected investments up to 2030 indicate an annual increase in clean energy production of around 123–138 TWh through the expansion of nuclear energy, the development of renewable energy, the phasing out of coal, and the improvement of energy efficiency, which could reduce CO2 emissions across the region by around 119–143 million tons per year. The policy recommendations emphasise the accelerated phase-out of coal, supported by just transition measures, the use of nuclear energy as a stable backbone, the expansion of renewables and energy storage, and a focus on the electrification of transport and industry. The study emphasises the significant influence of European Union (EU) policies—such as the “Clean Energy for All Europeans” and “Fit for 55” packages—on the design of national strategies through regulatory frameworks, financing, and market mechanisms. This analysis provides important insights into the heterogeneity of Eastern European energy systems and supports the design of customised, coordinated policy measures to achieve a sustainable, secure, and climate-resilient energy transition in the region. Full article
Show Figures

Figure 1

39 pages, 5203 KB  
Technical Note
EMR-Chain: Decentralized Electronic Medical Record Exchange System
by Ching-Hsi Tseng, Yu-Heng Hsieh, Heng-Yi Lin and Shyan-Ming Yuan
Technologies 2025, 13(10), 446; https://doi.org/10.3390/technologies13100446 - 1 Oct 2025
Abstract
Current systems for exchanging medical records struggle with efficiency and privacy issues. While establishing the Electronic Medical Record Exchange Center (EEC) in 2012 was intended to alleviate these issues, its centralized structure has brought about new attack vectors, such as performance bottlenecks, single [...] Read more.
Current systems for exchanging medical records struggle with efficiency and privacy issues. While establishing the Electronic Medical Record Exchange Center (EEC) in 2012 was intended to alleviate these issues, its centralized structure has brought about new attack vectors, such as performance bottlenecks, single points of failure, and an absence of patient consent over their data. Methods: This paper describes a novel EMR Gateway system that uses blockchain technology to exchange electronic medical records electronically, overcome the limitations of current centralized systems for sharing EMR, and leverage decentralization to enhance resilience, data privacy, and patient autonomy. Our proposed system is built on two interconnected blockchains: a Decentralized Identity Blockchain (DID-Chain) based on Ethereum for managing user identities via smart contracts, and an Electronic Medical Record Blockchain (EMR-Chain) implemented on Hyperledger Fabric to handle medical record indexes and fine-grained access control. To address the dual requirements of cross-platform data exchange and patient privacy, the system was developed based on the Fast Healthcare Interoperability Resources (FHIR) standard, incorporating stringent de-identification protocols. Our system is built using the FHIR standard. Think of it as a common language that lets different healthcare systems talk to each other without confusion. Plus, we are very serious about patient privacy and remove all personal details from the data to keep it confidential. When we tested its performance, the system handled things well. It can take in about 40 transactions every second and pull out data faster, at around 49 per second. To give you some perspective, this is far more than what the average hospital in Taiwan dealt with back in 2018. This shows our system is very solid and more than ready to handle even bigger workloads in the future. Full article
Show Figures

Figure 1

22 pages, 3456 KB  
Article
Evaluating Urban Economic Resilience in the Face of Major Public Health Emergencies: A Spatiotemporal Analysis
by Zeyu Lin, Shanlang Lin and Jianxing Chen
Land 2025, 14(10), 1977; https://doi.org/10.3390/land14101977 - 1 Oct 2025
Abstract
The COVID-19 pandemic severely impacted China’s economic stability. This study assesses the economic resilience of 2843 Chinese counties from 2019 to 2021 by constructing a comprehensive evaluation index system. Using the Projection Pursuit Model to generate index weights, we analyze resilience across four [...] Read more.
The COVID-19 pandemic severely impacted China’s economic stability. This study assesses the economic resilience of 2843 Chinese counties from 2019 to 2021 by constructing a comprehensive evaluation index system. Using the Projection Pursuit Model to generate index weights, we analyze resilience across four key dimensions: resistance, stress, recovery, and innovation. Our analysis reveals that urban economic resilience first declined during the pandemic’s peak before recovering in 2021. Spatially, eastern coastal regions demonstrated stronger resilience, supported by robust infrastructure, advanced industries, and flexible markets. In contrast, central and western regions were less resilient due to their reliance on traditional industries. A deeper sub-dimensional analysis showed that eastern regions consistently outperformed the west across all four metrics. This research establishes a rigorous framework for evaluating urban economic resilience and offers targeted strategies for policymakers to build more resilient cities in the face of future public health emergencies. Full article
Show Figures

Figure 1

18 pages, 1702 KB  
Article
Optimizing Winter Composting of Swine Manure Through Housefly Larva Bioconversion: Mechanisms of Protein Recovery and Enzymatic Nitrogen Regulation
by Nanyang Lu, Yanlai Yao, Chunlai Hong, Weijing Zhu, Leidong Hong, Tao Zhang, Rui Guo, Chengrong Ding, Ying Zhou and Fengxiang Zhu
Agronomy 2025, 15(10), 2324; https://doi.org/10.3390/agronomy15102324 - 30 Sep 2025
Abstract
Sustainable manure recycling in cold climates faces low efficiency and nutrient loss. This study evaluated housefly larva-pretreated manure (HL) for winter swine manure composting in East China, comparing it to sawdust-conditioned (CK2) and untreated manure (CK1). Larval pretreatment converted 12.71% of manure weight [...] Read more.
Sustainable manure recycling in cold climates faces low efficiency and nutrient loss. This study evaluated housefly larva-pretreated manure (HL) for winter swine manure composting in East China, comparing it to sawdust-conditioned (CK2) and untreated manure (CK1). Larval pretreatment converted 12.71% of manure weight into biomass, assimilating 10.69% C, 30.55% N, 8.54% P, and 11.53% K. Harvested larvae contained 53.35% crude protein, with amino acids matching/exceeding fishmeal and soybean meal, while heavy metals were below safety limits. Theoretical annual larval protein yield per unit area (29,530 kg·mu−1·year−1) was 206.5 times higher than soybean crops. During composting, the HL treatment promoted early protease and catalase activation. This enzymatic synergy accelerated organic matter degradation and maturation, achieving a germination index of 147.67% by day 51. Coordinated nitrate and nitrite reductase activity in HL facilitated efficient denitrification, minimizing NO2 accumulation and N2O emissions. Consequently, HL composting achieved faster stabilization, enhanced nutrient retention, and greater protein recovery compared to controls. These findings demonstrate that housefly larval pretreatment offers a climate-resilient and scalable strategy for winter manure management and protein valorization, with strong potential for applications in cold and resource-limited agricultural systems worldwide. Full article
(This article belongs to the Section Agricultural Biosystem and Biological Engineering)
17 pages, 2999 KB  
Article
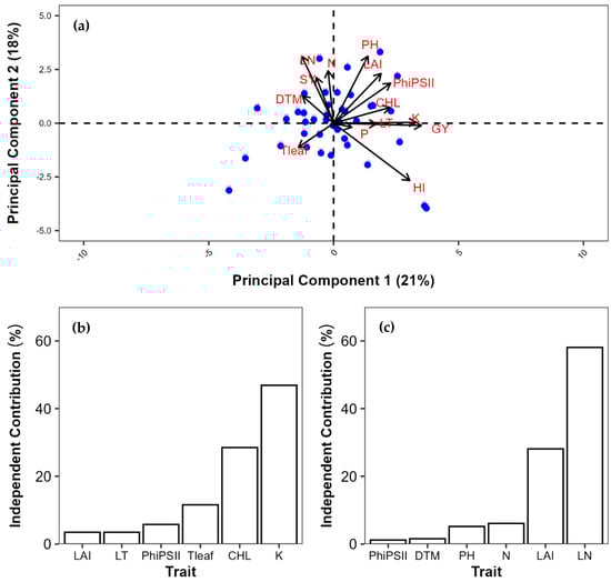
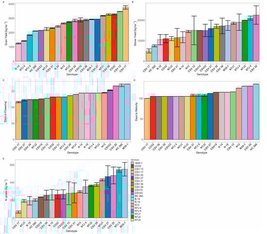
Evaluation of Yield-Related Morphological, Physiological, Agronomic, and Nutrient Uptake Traits of Grain Sorghum Varieties in the Kerala Region (India)
by Swathy Anija Hari Kumar, Usha Chacko Thomas, Yazen Al-Salman, Francisco Javier Cano, Roy Stephen, P. Shalini Pillai and Oula Ghannoum
Agronomy 2025, 15(10), 2320; https://doi.org/10.3390/agronomy15102320 - 30 Sep 2025
Abstract
Climate change poses a significant threat to crop production, particularly in tropical and semi-arid regions. Sorghum (Sorghum bicolor (L.) Moench), a resilient C4 cereal, has high photosynthetic efficiency and abiotic stress tolerance, making it a key crop for food, fodder, and [...] Read more.
Climate change poses a significant threat to crop production, particularly in tropical and semi-arid regions. Sorghum (Sorghum bicolor (L.) Moench), a resilient C4 cereal, has high photosynthetic efficiency and abiotic stress tolerance, making it a key crop for food, fodder, and feed security. This study evaluated agronomic and physiological traits influencing the yield performance of 20 sorghum varieties under field conditions in Kerala, India. The data were analyzed using a randomized block design (RBD) in GRAPES software, and a principal component analysis was performed in R. Variety CSV 17 exhibited the highest grain yield (GY) (3760 kg ha−1) and harvest index (HI) (43), with early flowering, early maturity, a high chlorophyll content (CHL), and minimal nitrogen (N), phosphorus (P), and potassium uptake. Conversely, CSV 20 produced the highest stover yield (22.5 t ha−1), associated with greater leaf thickness (LT), lower canopy temperature, taller plant height (PH), increased leaf number (LN), and extended maturity. Leaf temperature (Tleaf) was negatively correlated with the quantum yield of photosystem II (ΦPSII) and panicle length (PL), which were strong predictors of grain weight. The principal component analysis revealed that PC1 and PC2 explained 21% and 19% of the variation in the grain and stover yield, respectively. Hierarchical partitioning identified the potassium content (K%), CHL, Tleaf, leaf area index (LAI), ΦPSII, and LT as key contributors to the GY, while the SY was primarily influenced by the LN, nitrogen content (N%), maturity duration, PH, and ΦPSII. These findings highlight the potential of exploiting physiological traits for enhancing sorghum productivity under summer conditions in Kerala and similar environments. Full article
(This article belongs to the Section Farming Sustainability)
Show Figures

Figure 1

30 pages, 15743 KB  
Article
Fusing Historical Records and Physics-Informed Priors for Urban Waterlogging Susceptibility Assessment: A Framework Integrating Machine Learning, Fuzzy Evaluation, and Decision Analysis
by Guangyao Chen, Wenxin Guan, Jiaming Xu, Chan Ghee Koh and Zhao Xu
Appl. Sci. 2025, 15(19), 10604; https://doi.org/10.3390/app151910604 - 30 Sep 2025
Abstract
Urban Waterlogging Susceptibility Assessment (UWSA) is vital for resilient urban planning and disaster preparedness. Conventional methods depend heavily on Historical Waterlogging Records (HWR), which are limited by their reliance on extreme rainfall events and prone to human omissions, resulting in spatial bias and [...] Read more.
Urban Waterlogging Susceptibility Assessment (UWSA) is vital for resilient urban planning and disaster preparedness. Conventional methods depend heavily on Historical Waterlogging Records (HWR), which are limited by their reliance on extreme rainfall events and prone to human omissions, resulting in spatial bias and incomplete coverage. While hydrodynamic models can simulate waterlogging scenarios, their large-scale application is restricted by the lack of accessible underground drainage data. Recently released flood control plans and risk maps provide valuable physics-informed priors (PI-Priors) that can supplement HWR for susceptibility modeling. This study introduces a dual-source integration framework that fuses HWR with PI-Priors to improve UWSA performance. PI-Priors rasters were vectorized to delineate two-dimensional waterlogging zones, and based on the Three-Way Decision (TWD) theory, a Multi-dimensional Connection Cloud Model (MCCM) with CRITIC-TOPSIS was employed to build an index system incorporating membership degree, credibility, and impact scores. High-quality samples were extracted and combined with HWR to create an enhanced dataset. A Maximum Entropy (MaxEnt) model was then applied with 20 variables spanning natural conditions, social capital, infrastructure, and built environment. The results demonstrate that this framework increases sample adequacy, reduces spatial bias, and substantially improves the accuracy and generalizability of UWSA under extreme rainfall. Full article
(This article belongs to the Topic Resilient Civil Infrastructure, 2nd Edition)
28 pages, 9925 KB  
Article
The Impact of Urbanization Level on Urban Ecological Resilience and Its Role Mechanisms: A Case Study of Resource-Based Cities in China
by Lei Suo, Linsen Zhu, Haiying Feng and Wei Li
Sustainability 2025, 17(19), 8774; https://doi.org/10.3390/su17198774 - 30 Sep 2025
Abstract
Against the backdrop of accelerating global urbanization and intensifying ecological pressures, investigating the relationship between urbanization levels and ecological resilience in resource-based cities has become crucial for nations striving to achieve both sustainable development and ecological conservation. Utilizing panel data from 114 resource-based [...] Read more.
Against the backdrop of accelerating global urbanization and intensifying ecological pressures, investigating the relationship between urbanization levels and ecological resilience in resource-based cities has become crucial for nations striving to achieve both sustainable development and ecological conservation. Utilizing panel data from 114 resource-based cities in China between 2010 and 2023, this study innovatively employs a composite nighttime light index to measure urbanization levels and constructs a comprehensive ecological resilience index using the entropy method. By applying a double machine learning model, this study thoroughly examines the impact, mechanisms, and heterogeneity of urbanization on ecological resilience in these cities. The findings reveal a gradual increase in ecological resilience among China’s resource-based cities, with the majority reaching high resilience levels by 2023. Spatial aggregation centers are identified in eastern China, the Yangtze River Delta, and the Pearl River Delta. Moreover, urbanization demonstrates a significant positive correlation with ecological resilience, a conclusion reinforced through robustness tests. Mechanism analysis reveals that industrial structure upgrading, green technology innovation, and energy efficiency improvement serve as key transmission channels. Heterogeneity analysis indicates that urbanization exerts a more pronounced effect on enhancing ecological resilience in regenerative resource-based cities as well as those located in eastern and central regions, while its impact is relatively weaker in declining resource-based cities and those in western and northeastern regions. Finally, this study proposes policy recommendations focusing on advancing industrial structure sophistication, constructing a green technology innovation ecosystem, implementing an energy efficiency enhancement initiative, deepening region-specific governance, and adopting targeted policy interventions. These findings provide theoretical support for precise policy formulation in resource-based cities and contribute to advancing academic understanding of the relationship between sustainable development and ecological resilience in such regions. Full article
Show Figures

Figure 1

24 pages, 1553 KB  
Article
Year-Round Modeling of Evaporation and Substrate Temperature of Two Distinct Green Roof Systems
by Dominik Gößner
Urban Sci. 2025, 9(10), 396; https://doi.org/10.3390/urbansci9100396 - 30 Sep 2025
Abstract
This paper presents a novel model for the year-round simulation of evapotranspiration (ET) and substrate temperature on two fundamentally different extensive green roof types: a conventional drainage-based “Economy Roof” and a retention-optimized “Retention Roof” featuring capillary water redistribution. The main scope is to [...] Read more.
This paper presents a novel model for the year-round simulation of evapotranspiration (ET) and substrate temperature on two fundamentally different extensive green roof types: a conventional drainage-based “Economy Roof” and a retention-optimized “Retention Roof” featuring capillary water redistribution. The main scope is to bridge the gap in urban climate adaptation by providing a modeling tool that captures both hydrological and thermal functions of green roofs throughout all seasons, notably including periods with dormancy and low vegetation activity. A key novelty is the explicit and empirically validated integration of core physical processes—water storage layer coupling, explicit rainfall interception, and vegetation cover dynamics—with the latter strongly controlled by plant area index (PAI). The PAI, here quantified as the plant surface area per unit ground area using digital image analysis, directly determines interception capacity and vegetative transpiration rates within the model. This process-based representation enables a more realistic simulation of seasonal fluctuations and physiological plant responses, a feature often neglected in previous green roof models. The model, which can be fully executed without high computational power, was validated against comprehensive field measurements from a temperate climate, showing high predictive accuracy (R2 = 0.87 and percentage bias = −1% for ET on the Retention Roof; R2 = 0.91 and percentage bias = −8% for substrate temperature on the Economy Roof). Notably, the layer-specific coupling of vegetation, substrate, and water storage advances ecological realism compared to prior approaches. The results illustrate the model’s practical applicability for urban planners and researchers, offering a user-friendly and transparent tool for integrated assessments of green infrastructure within the context of climate-resilient city design. Full article
Show Figures

Figure 1

26 pages, 14847 KB  
Article
An Open-Source Urban Digital Twin for Enhancing Outdoor Thermal Comfort in the City of Huelva (Spain)
by Victoria Patricia Lopez-Cabeza, Marta Videras-Rodriguez and Sergio Gomez-Melgar
Smart Cities 2025, 8(5), 160; https://doi.org/10.3390/smartcities8050160 - 29 Sep 2025
Abstract
Climate change and urbanization are intensifying the urban heat island effect and negatively impacting outdoor thermal comfort in cities. Innovative planning strategies are required to design more livable and resilient urban spaces. Building on a state of the art of current Urban Digital [...] Read more.
Climate change and urbanization are intensifying the urban heat island effect and negatively impacting outdoor thermal comfort in cities. Innovative planning strategies are required to design more livable and resilient urban spaces. Building on a state of the art of current Urban Digital Twins (UDTs) for outdoor thermal comfort analysis, this paper presents the design and implementation of a functional UDT prototype. Developed for a pilot area in Huelva, Spain, the system integrates real-time environmental data, spatial modeling, and simulation tools within an open-source architecture. The literature reveals that while UDTs are increasingly used in urban management, their application to outdoor thermal comfort remains limited and technically challenging, especially in terms of real-time data, modeling accuracy, and user interaction. The case study demonstrates the feasibility of a modular, open-source UDT capable of simulating mean radiant temperature and outdoor thermal comfort indexes at high resolution and visualizing the results in a 3D interactive environment. UDTs have strong potential for supporting microclimate-sensitive planning and improving outdoor thermal comfort. However, important challenges remain, particularly in simulation efficiency, model detail, and stakeholder accessibility. The proposed prototype addresses several of these gaps and provides a basis for future improvements. Full article
(This article belongs to the Collection Digital Twins for Smart Cities)
Show Figures

Figure 1

12 pages, 1732 KB  
Data Descriptor
A Dataset of Environmental Toxins for Water Monitoring in Coastal Waters of Southern Centre, Vietnam: Case of Nha Trang Bay
by Hoang Xuan Ben, Tran Cong Thinh and Phan Minh-Thu
Data 2025, 10(10), 155; https://doi.org/10.3390/data10100155 - 29 Sep 2025
Abstract
This study presents a comprehensive dataset developed to monitor coastal water quality in the south-central region of Vietnam, focusing on Nha Trang Bay. Environmental data were collected from four research cruises conducted between 2013 and 2024. Water samples were taken at two depths: [...] Read more.
This study presents a comprehensive dataset developed to monitor coastal water quality in the south-central region of Vietnam, focusing on Nha Trang Bay. Environmental data were collected from four research cruises conducted between 2013 and 2024. Water samples were taken at two depths: surface samples at approximately 0.5–1.0 m below the water surface, and bottom samples 1.0 to 2.0 m above the seabed, depending on site-specific bathymetry. These samples were analyzed for key water quality parameters, including biological oxygen demand (BOD5), dissolved inorganic nitrogen (DIN), dissolved inorganic phosphorus (DIP), and Chlorophyll-a (Chl-a). The data establish a valuable baseline for assessing both spatial and temporal patterns of water quality, and for calculating eutrophication index to evaluate potential environmental degradation. Importantly, it also demonstrates practical applications for environmental management. The dataset can support assessments of how seasonal tourism peaks contribute to nutrient enrichment, how aquaculture expansion affects dissolved oxygen dynamics, and how water quality trends evolve under increasing anthropogenic pressure. These applications make it a useful resource for evaluating pollution control efforts and for guiding sustainable development in coastal areas. By promoting open access, the dataset not only supports scientific research but also strengthens evidence-based management strategies to protect ecosystem health and socio-economic resilience in Nha Trang Bay. Full article
Show Figures

Figure 1

29 pages, 4141 KB  
Article
Integrating Structured Time-Series Modeling and Ensemble Learning for Strategic Performance Forecasting
by Liqing Tang, Shuxin Wang, Jintian Ji, Siyuan Yin, Robail Yasrab and Chao Zhou
Algorithms 2025, 18(10), 611; https://doi.org/10.3390/a18100611 - 29 Sep 2025
Abstract
Forecasting outcomes in high-stakes competitive spectacles like the Olympic Games, World Cups, and professional league championships has grown increasingly vital, directly impacting strategic planning, resource allocation, and performance optimization across a multitude of fields. However, accurate forecasting remains challenging due to complex, nonlinear [...] Read more.
Forecasting outcomes in high-stakes competitive spectacles like the Olympic Games, World Cups, and professional league championships has grown increasingly vital, directly impacting strategic planning, resource allocation, and performance optimization across a multitude of fields. However, accurate forecasting remains challenging due to complex, nonlinear interactions inherent in high-dimensional time-series data, further complicated by socioeconomic indicators, historical influences, and host-country advantages. In this study, we propose a comprehensive forecasting framework integrating structured time-series modeling with ensemble learning. We extract key structural features via two novel indices: the Advantage Index (measuring a competitor’s dominance in specific areas) and the Herfindahl Index (quantifying performance outcome concentration). We also evaluate host-country advantage using a Difference-in-Differences (DiD) approach. Leveraging these insights, we develop a dual-branch predictive model combining an Attention-augmented Long Short-Term Memory (Attention-LSTM) network and a Random Forest classifier. Attention-LSTM captures long-term dependencies and dynamic patterns in structured temporal data, while Random Forest handles predictions for unrecognized contenders, addressing zero-inflation issues. Extensive stability and comparative analyses demonstrate that our model outperforms traditional and state-of-the-art methods, exhibiting strong resilience to input perturbations, consistent performance across multiple runs, and appropriate sensitivity to key features. Our key contributions include the development of a novel integrated forecasting framework, the introduction of two innovative structural indices for competitive dynamics analysis, and the demonstration of robust predictive performance that bridges technical innovation with practical strategic application. Finally, we transform our modeling insights into actionable strategic insights. This translation is powered by interpretable feature importance rankings and stability analysis that rigorously validate the robustness of key predictors. These insights apply across multiple dimensions—encompassing advantage assessment, resource distribution, strategic simulation, and breakthrough potential identification—providing comprehensive decision support for strategic planners and policymakers navigating competitive environments. Full article
(This article belongs to the Topic Applications of NLP, AI, and ML in Software Engineering)
Show Figures

Figure 1

28 pages, 17194 KB  
Article
Multivariate Modeling of Drought Index in Northeastern Thailand Using Trivariate Copulas
by Prapawan Chomphuwiset, Thanawan Prahadchai, Pannarat Guayjarernpanishk, Sanghoo Yoon and Piyapatr Busababodhin
Water 2025, 17(19), 2840; https://doi.org/10.3390/w17192840 - 28 Sep 2025
Abstract
This study develops an integrated drought assessment framework based on trivariate copula modeling to simultaneously evaluate three key drought characteristics: duration, severity, and peak intensity. Meteorological data from stations across 23 meteorological stations in Northeastern Thailand, covering the period of 2007–2025, were analyzed. [...] Read more.
This study develops an integrated drought assessment framework based on trivariate copula modeling to simultaneously evaluate three key drought characteristics: duration, severity, and peak intensity. Meteorological data from stations across 23 meteorological stations in Northeastern Thailand, covering the period of 2007–2025, were analyzed. The Standardized Precipitation–Evapotranspiration Index (SPEI) was employed to characterize multidimensional drought conditions. The trivariate copula approach provides a flexible and robust statistical framework, enabling the separation of marginal distributions from dependence structures, capturing nonlinear and tail dependencies more effectively than traditional methods. Results demonstrate that this modeling framework significantly improves the accuracy of drought risk estimation and enables the calculation of joint return periods for extreme drought events. These findings offer valuable insights with respect to designing adaptive water resource management strategies, enhancing agricultural resilience, and strengthening early warning systems under future climate variability. Full article
(This article belongs to the Section Hydrology)
Show Figures

Figure 1

21 pages, 3706 KB  
Article
Enhancing the Resilience of the Environment—Economy—Society Composite System in the Upper Yellow River from the Perspective of Configuration Analysis
by Jiaqi Li, Enhui Jiang, Bo Qu, Lingang Hao, Chang Liu and Ying Liu
Sustainability 2025, 17(19), 8719; https://doi.org/10.3390/su17198719 - 28 Sep 2025
Abstract
Evaluating and enhancing system resilience is essential to strengthen the regional ability to external shocks and promote the synergistic development of environment, economy and society. Taking the Upper Yellow River (UYR) as an example, this paper constructed a resilience evaluation index system for [...] Read more.
Evaluating and enhancing system resilience is essential to strengthen the regional ability to external shocks and promote the synergistic development of environment, economy and society. Taking the Upper Yellow River (UYR) as an example, this paper constructed a resilience evaluation index system for the environment—economy—society (EES) composite system. A three-dimensional space vector model was built to calculate the resilience development index (RDI) of three subsystems and the composite system from 2009 to 2022. Pathways supporting high resilience levels of the composite system were examined using the fuzzy-set qualitative comparative analysis (fsQCA) method from a configuration perspective. The results revealed that (1) the RDI of three subsystems and the composite system in the UYR showed an increasing trend; relatively, the environment and economy subsystems were lower, and their RDI fluctuated between 0.01 and 0.06 for most cities. (2) The emergence of high resilience is not absolutely dominated by a single factor, but rather the interaction of multiple factors. To achieve high resilience levels, all the cities must prioritize both environmental protection and economic structure as core strategic pillars. The difference is that eastern cities need to further consider social development and life quality, while western cities need to consider social development, life quality, and social security. Other cities including Lanzhou, Baiyin, Tianshui, and Ordos should focus on social construction and social security. Exploring the interactive relationship between various influencing factors of the resilience of the composite system from a configuration perspective has to some extent promoted the transformation from a single contingency perspective to a holistic and multi-dimensional perspective. These findings provide policy recommendations for achieving sustainable development in the UYR and other ecologically fragile areas around the world. Full article
(This article belongs to the Special Issue Advances in Management of Hydrology, Water Resources and Ecosystem)
Show Figures

Figure 1

17 pages, 3314 KB  
Article
Towards Sustainable Rockfall Protection: An Interaction Matrix Method for Assessing Flexible Barrier Siting Adaptability
by Ziwei Ge
Sustainability 2025, 17(19), 8675; https://doi.org/10.3390/su17198675 - 26 Sep 2025
Abstract
Earthquake-triggered rockfalls pose significant threats to human lives, critical infrastructure, and the natural environment, highlighting an urgent need for sustainable and effective mitigation strategies. Flexible barriers are effective against rockfall, but there is a lack of universal procedures for selecting appropriate sites. As [...] Read more.
Earthquake-triggered rockfalls pose significant threats to human lives, critical infrastructure, and the natural environment, highlighting an urgent need for sustainable and effective mitigation strategies. Flexible barriers are effective against rockfall, but there is a lack of universal procedures for selecting appropriate sites. As a result, flexible barriers are often misused, and their protective effect significantly decreases. To address this, a method for quantitatively characterizing the “flexible barrier siting adaptability” is proposed. The concept of “flexible barrier siting adaptability” is used to assess the suitability of a selected site for flexible barrier installation. The assessment method consists of three parts: the evaluation index system, the evaluation index value standards, and the calculation method. The evaluation index system is based on the interaction matrix considering not only the factors influencing the flexible barrier siting adaptability but also the interactions between them. The interaction matrix is determined by the expert semi-quantitative method, which can quantitatively assess the flexible barrier siting adaptability. Furthermore, the proposed method is applied to a typical rockfall area in Jiuzhaigou county, Sichuan province, China. This method provides a resource-efficient and practical tool for preliminary site assessment, contributing to the development of sustainable infrastructure and enhancing community resilience in rockfall-prone regions. Full article
Show Figures

Figure 1

15 pages, 1103 KB  
Article
Water Footprint and Evapotranspiration Partitioning in Drip-Irrigated Faba Bean: Effects of Irrigation Regime and Planting Pattern
by Saad E. Aldulaimy, Huthaifa J. Mohammed, Basem Aljoumani and Adil K. Salman
Agronomy 2025, 15(10), 2282; https://doi.org/10.3390/agronomy15102282 - 26 Sep 2025
Abstract
Efficient water management is critical for sustainable crop production in arid and semi-arid regions. This study investigated the effects of two irrigation regimes—25% and 50% Management Allowable Depletion (MAD) and two planting patterns (single-row and double-row) on evapotranspiration (ET) partitioning, water use efficiency [...] Read more.
Efficient water management is critical for sustainable crop production in arid and semi-arid regions. This study investigated the effects of two irrigation regimes—25% and 50% Management Allowable Depletion (MAD) and two planting patterns (single-row and double-row) on evapotranspiration (ET) partitioning, water use efficiency (WUE), and water footprint (WF) in drip-irrigated faba bean (Vicia faba L.). Field data were combined with a leaf area index (LAI)-based model to estimate the relative contributions of transpiration (T) and evaporation (E) to total ET. The highest grain yield (6171 kg ha−1) and the lowest blue (570 m3 ton−1) and green (68 m3 ton−1) water footprints were recorded under the 25% MAD with double-row planting. This treatment also achieved the highest proportion of transpiration in ET (70%), indicating a shift toward productive water use. In contrast, the lowest-performing treatment (50% MAD, single-row) had the highest total water footprint (792 m3 ton−1) and the lowest transpiration share (44%). Although high-density planting slightly reduced WUE based on transpiration, it improved overall water efficiency when total input (ETc) was considered (1.57 kg m−3 for total input WUE, 4.17 kg/m−3 for T-based WUE). These findings highlight the importance of integrating irrigation scheduling and planting pattern to improve both physiological and agronomic water productivity. The approach offers a practical strategy for sustainable faba bean production in water-scarce environments and supports climate-resilient irrigation planning aligned with Iraq’s National Water Strategy. Full article
Show Figures

Figure 1

Back to TopTop