Sign in to use this feature.

Years

Between: -

Subjects

remove_circle_outline
remove_circle_outline
remove_circle_outline
remove_circle_outline
remove_circle_outline
remove_circle_outline
remove_circle_outline
remove_circle_outline
remove_circle_outline

Journals

remove_circle_outline
remove_circle_outline
remove_circle_outline
remove_circle_outline
remove_circle_outline
remove_circle_outline
remove_circle_outline
remove_circle_outline
remove_circle_outline

Article Types

Countries / Regions

remove_circle_outline
remove_circle_outline
remove_circle_outline
remove_circle_outline
remove_circle_outline

Search Results (1,111)

Search Parameters:
Keywords = residual fertilization

Order results
Result details
Results per page
Select all
Export citation of selected articles as:
16 pages, 1515 KB  
Article
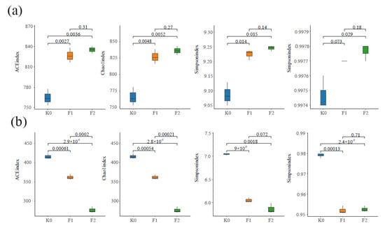
Effects of Auricularia auricula Residue on Soil Physicochemical Properties, Microbial Community Composition, Diversity, and Rice Yield
by Weidong Yuan, Tingxuan Zong, Bin Yu, Ya Xin, Jia Lu, Qin Qiu, Lin Ma and Jiling Song
Agronomy 2025, 15(10), 2313; https://doi.org/10.3390/agronomy15102313 - 30 Sep 2025
Abstract
The return of mushroom residue to the field is an effective measure to improve soil fertility and maintain agroecosystem productivity. We investigated the effects of returning Auricularia auricula residue to the field on the soil nutrients, enzyme activities, and microbial communities in rice– [...] Read more.
The return of mushroom residue to the field is an effective measure to improve soil fertility and maintain agroecosystem productivity. We investigated the effects of returning Auricularia auricula residue to the field on the soil nutrients, enzyme activities, and microbial communities in rice–A. auricula rotation farmland. The return of 67.5 ton/ha A. auricula residue to the field significantly increased the contents of ammonium nitrogen, total nitrogen, total potassium, total phosphorus, available potassium (QK), available phosphorus, and organic matter by 180.49%, 70.41%, 16.3%, 54.35%, 137.33%, 38.84%, and 59.29%, respectively. The activities of urease, sucrase, β-glucosidase (β-GC), and acetyl-β-d-glucosidase significantly increased by 32.98%, 407.78%, 206.85%, and 186.26%, respectively; catalase and leucine aminopeptidase activities increased by 244.42% and 130.90% with the return of 54 ton/ha residue. Mushroom residue return increased the Chao1 and Shannon indices of the bacterial community but decreased the diversity of the fungal community. Redundancy analysis showed that QK, β-GC, and urease were closely associated with shifts in microbial community structure. Therefore, returning 67.5 ton/ha (149,925 bags) A. auricula residue to the field can enhance soil ecological functions by improving soil nutrients, enzyme activities, and microbial community structure. Full article
(This article belongs to the Section Soil and Plant Nutrition)
Show Figures

Figure 1

17 pages, 810 KB  
Review
Valorization of Agri-Food Waste to Promote Sustainable Strategies in Agriculture and Improve Crop Quality with Emphasis on Legume Crop Residues
by Afonso Zambela, Maria Celeste Dias, Rosa Guilherme and Paula Lorenzo
Agronomy 2025, 15(10), 2254; https://doi.org/10.3390/agronomy15102254 - 23 Sep 2025
Viewed by 224
Abstract
The valorization of agri-food by-products represents a promising approach to advancing sustainable agriculture while contributing to climate resilience efforts. Leguminous crops, cultivated extensively across diverse agroecological zones, play a central role in global food systems and soil fertility dynamics. Waste from leguminous crops [...] Read more.
The valorization of agri-food by-products represents a promising approach to advancing sustainable agriculture while contributing to climate resilience efforts. Leguminous crops, cultivated extensively across diverse agroecological zones, play a central role in global food systems and soil fertility dynamics. Waste from leguminous crops can contribute essential nutrients to the soil, such as nitrogen, helping the growth of associated or subsequent crops, thereby reducing the need for inorganic fertilizers. Additionally, they can help improve soil biological activity, physical soil properties, and increase nutrient availability. As nitrogen-fixing crops, the waste obtained after threshing pulses probably still contains large amounts of nutrients, which can replenish part of the nutrient needs required for other crops. However, there is little information available about the amount of nutrients these residues may contain, as well as their decomposition rate and release. In this review, we explore the role of agri-food waste, particularly leguminous residues, in promoting sustainable agricultural practices, identifying main knowledge gaps in legume crop residue characterization (i.e., nutrient content and decomposition rates). We also identify potential risks in using leguminous waste and discuss mitigation strategies for using these residues safely. Additionally, we propose new strategies to promote more sustainable agricultural practices and highlight future research directions. Full article
Show Figures

Figure 1

24 pages, 9056 KB  
Article
Use of Two PGPB Strains for the Valorization of Wastewater Sludge and Formulation of a Biofertilizer for the Recovery of Quercus ilex
by Vanesa M. Fernández-Pastrana, Daniel González-Reguero, Marina Robas-Mora, Diana Penalba-Iglesias, María José Pozuelo de Felipe, Agustín Probanza and Pedro Jiménez-Gómez
Life 2025, 15(9), 1490; https://doi.org/10.3390/life15091490 - 22 Sep 2025
Viewed by 163
Abstract
In response to the growing demand for agricultural production and the need for more sustainable practices, the use of biofertilizers based on the valorization of agricultural residues is presented as an alternative to traditional chemical fertilizers. This approach seeks to minimize environmental impact [...] Read more.
In response to the growing demand for agricultural production and the need for more sustainable practices, the use of biofertilizers based on the valorization of agricultural residues is presented as an alternative to traditional chemical fertilizers. This approach seeks to minimize environmental impact and improve soil health in agroforestry systems. The present work studies the effect of two plant growth-promoting bacterial strains (PGPB), Bacillus pretiosus (C1) and Pseudomonas agronomica (C2) on Quercus ilex (holm oak) seedlings. Taxonomic diversity was evaluated by massive sequencing of amplicons of the 16S rRNA gene, as well as the metabolic diversity and antibiotic resistance profile of the bacterial communities. The study also evaluated the impact of PGPB strains on the development of Quercus ilex seedlings. On the other hand, the effect of the biofertilizer on soil bacterial communities was evaluated. The results showed that the addition of biofertilizer significantly improved plant development compared to the addition of traditional irrigation (water) or the addition of fertilizer without the strains. In the same way, it was observed how the addition of the strains reduced the minimum inhibitory concentrations (MIC) in the rhizospheres of the treated individuals compared to traditional irrigation. The metagenomic analysis of the rhizospheric communities revealed the survival of the strains in the soil after their addition in any of the chemical treatments without altering the alpha and beta microbial diversity of the rhizospheric communities. Full article
(This article belongs to the Section Diversity and Ecology)
Show Figures

Figure 1

15 pages, 269 KB  
Article
Impacts of Conventional and Agri-Food Waste-Derived Fertilizers on Durum Wheat Yield, Grain Quality, and Soil Health: A Two-Year Field Study in Greece and Southern Italy
by Adele Muscolo, Kostantinos Zoukidis, Evangelous Vergos, Federica Alessia Marra, Ludovica Santoro, Mariateresa Oliva, Santo Battaglia, Angela Maffia and Carmelo Mallamaci
Appl. Sci. 2025, 15(18), 10292; https://doi.org/10.3390/app151810292 - 22 Sep 2025
Viewed by 221
Abstract
Sustainable fertilization strategies are critical under climate change and the European Green Deal, particularly for Mediterranean cereal systems. Organic fertilizers derived from agro-industrial residues offer promising alternatives to conventional mineral inputs. This study evaluated RecOrgFert, a novel fertilizer composed of sulfur–bentonite and citrus-processing [...] Read more.
Sustainable fertilization strategies are critical under climate change and the European Green Deal, particularly for Mediterranean cereal systems. Organic fertilizers derived from agro-industrial residues offer promising alternatives to conventional mineral inputs. This study evaluated RecOrgFert, a novel fertilizer composed of sulfur–bentonite and citrus-processing residues, in comparison with NPK (15-15-15) and horse manure across two years in Central Macedonia (Greece) and Apulia (Italy). Using a randomized complete block design, soil chemical and biological properties, plant growth, yield, and grain quality were assessed. RecOrgFert outperformed conventional fertilizers by enhancing soil fertility—raising organic matter 25–27% above control and further increasing it from 2023 to 2024 (up to +75% in Italy, +38% in Greece)—while improving cation exchange capacity, enzymatic activity, and soil water content. Wheat grown with RecOrgFert showed higher protein (up to 15.2%), antioxidant activity (DPPH > 37%, ABTS+ > 26%), and phenolic and flavonoid content, with yields comparable to NPK. The unique sulfur and orange-residue composition distinguish RecOrgFert from standard fertilizers, promoting nutrient cycling, microbial activity, and bioactive compound accumulation. It represents a novel, circular, and climate-smart solution aligned with EU sustainability and circular economy objectives. Full article
20 pages, 2104 KB  
Article
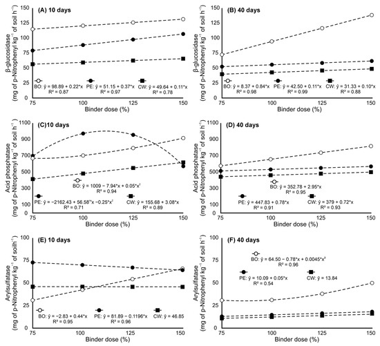
Biochar-Based Granular Fertilizers with Agro-Industrial Binders Enhance Enzymatic Activity and Nutrient Cycling in Tropical Oxisols
by José Mendes dos Santos Júnior, Luiz Arnaldo Fernandes, Fernando Colen, Leidivan Almeida Frazão and Rodinei Facco Pegoraro
Agronomy 2025, 15(9), 2230; https://doi.org/10.3390/agronomy15092230 - 21 Sep 2025
Viewed by 214
Abstract
The low fertility of tropical Oxisols challenges sustainable agriculture. While biochar-based granular fertilizers (BBGFs) offer a solution, the influence of different organic binders is unclear. This study investigated how BBGFs formulated with bio-oil (BO), pyroligneous extract (PE), and cassava wastewater (CW) impact soil [...] Read more.
The low fertility of tropical Oxisols challenges sustainable agriculture. While biochar-based granular fertilizers (BBGFs) offer a solution, the influence of different organic binders is unclear. This study investigated how BBGFs formulated with bio-oil (BO), pyroligneous extract (PE), and cassava wastewater (CW) impact soil enzyme activities and nutrient dynamics over time. Eucalyptus biochar (B) and natural phosphate (NP) were granulated with three binders at four doses. These treatments, plus controls (unfertilized soil, NP, B with NP, and B alone), were incubated in an Oxisol, assessing soil samples after 10 and 40 days of incubation. All BBGFs significantly enhanced β-glucosidase, acid phosphatase, and arylsulfatase activities over controls, with increases exceeding 8%. While the BBGFs-BO formulation sustained the highest enzymatic activity, BBGFs-PE at 125% maximized acid phosphatase at 10 days, with a subsequent decline, and inhibited arylsulfatase at the 150% dose. BBGFs-CW was most effective for increasing P availability (up to 24.0 mg kg−1). BBGFs-BO and BBGFs-PE also enhanced soil organic carbon and cation exchange capacity by up to 430% and 163%, respectively. The BBGFs-BO at 150% dose is the most effective and stable formulation to enhance nutrient cycling and soil health, offering a viable pathway to convert agricultural residues into high-value fertilizers. Full article
(This article belongs to the Special Issue Biochar-Based Fertilizers for Resilient Agriculture)
Show Figures

Figure 1

14 pages, 2835 KB  
Article
Simulating Soil Carbon Under Variable Nitrogen Application, Planting, and Residue Management
by Tajamul Hussain, Charassri Nualsri, Muhammad Fraz Ali and Saowapa Duangpan
Soil Syst. 2025, 9(3), 104; https://doi.org/10.3390/soilsystems9030104 - 19 Sep 2025
Viewed by 217
Abstract
Effective residue management is crucial for maintaining soil organic carbon (SOC) in upland rice systems, particularly under diverse fertilization and planting management practices. This study investigates the impacts of residue management in upland rice fields using the CQESTR model through simulation of SOC [...] Read more.
Effective residue management is crucial for maintaining soil organic carbon (SOC) in upland rice systems, particularly under diverse fertilization and planting management practices. This study investigates the impacts of residue management in upland rice fields using the CQESTR model through simulation of SOC dynamics over a 20-year period. The first 10 years served as a spin-up period for carbon pool stabilization in the model, followed by simulations under varying nitrogen (N) application rates and planting date management strategies. Experiments for various N application rates and planting times were conducted during 2018–2019 and 2019–2020. In 2019, 30% and in 2020, 100% of the residue was returned, and these data were used for evaluating model performance. Subsequently, we modeled predictions for residue retention levels of 100%, 70%, 50%, and 30% to assess their effects on SOC. The results indicated a good agreement between the simulated and observed data for model performance evaluation with an MSD value of 9.13. Lack of correlation (0.44) accounted for 5% of MSD, indicating a good agreement between the simulated and observed SOC values. The highest change in SOC was observed at 100% residue return under moderately delayed planting, potentially due to higher crop productivity and residue retention, and moderate climatic conditions. Reduced residue retention gradually declined the SOC stocks, especially under low N input. Delays in planting exacerbated negative impacts, possibly due to low crop productivity and reduced residue return. Despite the limited number of years of data and inconsistent management practices, the overall trends highlight the importance of residue retention under different N fertilization and planting management strategies. This research serves as a preliminary study for sustainable management practices to enhance long-term soil carbon sequestration in upland rice systems in southern Thailand. Long-term evaluations are necessary using the observed data and the CQESTR model application for applicable recommendations. Full article
Show Figures

Figure 1

15 pages, 1047 KB  
Article
Sustainable Soybean Production Using Residual Vermicompost Inputs in Corn-Soybean Rotation
by Ivan Oyege and Maruthi Sridhar Balaji Bhaskar
Environments 2025, 12(9), 333; https://doi.org/10.3390/environments12090333 - 18 Sep 2025
Viewed by 291
Abstract
Soybeans (Glycine max L.), a globally significant crop, play a critical role in economic, nutritional, and ecological systems, particularly in rotational farming due to their nitrogen-fixing capacity. This study investigated the residual effects of vermicompost (VC) and vermicompost tea (VCT) applied during [...] Read more.
Soybeans (Glycine max L.), a globally significant crop, play a critical role in economic, nutritional, and ecological systems, particularly in rotational farming due to their nitrogen-fixing capacity. This study investigated the residual effects of vermicompost (VC) and vermicompost tea (VCT) applied during a preceding corn cycle on subsequent soybean growth and productivity in an organic corn–soybean rotation. Soybeans were grown in raised beds previously treated with different VCT concentrations and combinations of VC+VCT, without additional fertilization during the soybean phase. Physiological traits, including leaf chlorophyll content (SPAD values) and stomatal conductance, were measured alongside biomass, yield, and plant leaves nutrient concentrations. VC+VCT treatments significantly increased biomass and yield, with VC1+VCT20 achieving the highest biomass (3.02 tons/ha) and yield (1.68 tons/ha). Leaf nutrient analysis revealed increased uptake of both macro- and micronutrients in amended treatments, while SPAD and stomatal conductance values remained consistently higher than in the control. Soil analyses confirmed improved nutrient retention and cation exchange capacity in amended plots, demonstrating the legacy benefits of organic inputs. Therefore, residual VCT and VC+VCT applications improved soybean productivity, nutrient acquisition, and physiological performance in rotational systems. By reducing reliance on synthetic fertilizers and enhancing soil fertility, this strategy supports climate-smart agriculture principles and contributes to SDG 2 (Zero Hunger), SDG 12 (Responsible Consumption and Production), and SDG 13 (Climate Action). Full article
Show Figures

Graphical abstract

20 pages, 9228 KB  
Article
Comparative Analysis of Household Agricultural Practices and Groundwater Quality in Two Transylvanian Communes: Ceanu Mare (Cluj County) and Chețani (Mureș County), Romania
by Nicolae-Leontin Petruţa, Ioana Petruţa, Ioana Monica Sur, Ramona Bianca Şonher, Timea Gabor, Tudor Andrei Rusu and Tiberiu Rusu
Water 2025, 17(18), 2758; https://doi.org/10.3390/w17182758 - 18 Sep 2025
Viewed by 314
Abstract
This study provides a comparative analysis of agricultural practices, water resource management, and environmental risks in two rural communes of Transylvania, Romania—Ceanu Mare (Cluj County) and Chețani (Mureș County). Data were collected in June 2025 through structured questionnaires administered to 430 households in [...] Read more.
This study provides a comparative analysis of agricultural practices, water resource management, and environmental risks in two rural communes of Transylvania, Romania—Ceanu Mare (Cluj County) and Chețani (Mureș County). Data were collected in June 2025 through structured questionnaires administered to 430 households in Ceanu Mare and 184 households in Chețani, representing over 30% and 20% of the total households, respectively. The research examines the structure of agricultural activity, use of fertilizers and pesticides, irrigation methods, and the local perception of pollution and subsidy programs. Both communes exhibit small-scale, household-based agriculture, but notable differences exist: Ceanu Mare demonstrates higher use of chemical inputs and environmental awareness, while Chețani relies more on organic fertilizers and private wells for irrigation. In addition to survey-based data, the study incorporates direct chemical analysis of household well water, assessing concentrations of nitrate (NO3), nitrite (NO2), ammonium (NH4+), and pH levels as indicators of groundwater quality and public health risk. The results reveal that NO3 remained below the 50 mg/L standard in all wells, while NO2 approached or slightly exceeded 0.50 mg/L in a few Ceanu Mare villages, underscoring the vulnerability of shallow wells to diffuse agricultural inputs and sanitation deficits. The study also characterizes the main agrochemical compounds used and discusses their potential impacts on water and soil quality, emphasizing nitrate leaching, phosphate runoff, and the persistence of pesticide residues as major risks. These findings underscore the necessity of integrated management strategies, regular monitoring of groundwater quality, and targeted policy interventions to ensure sustainable rural development and environmental protection in similar Central and Eastern European contexts. Full article
(This article belongs to the Section Water Resources Management, Policy and Governance)
Show Figures

Figure 1

17 pages, 12334 KB  
Article
Bioponics in Tomato Cultivation Toward Sustainable Farming: Evaluation of a Circular Tri-Trophic System Incorporating Aquaponics and Insects
by Anastasia Mourantian, Michalis Chatzinikolaou, Maria Feka and Efi Levizou
Plants 2025, 14(18), 2882; https://doi.org/10.3390/plants14182882 - 16 Sep 2025
Viewed by 343
Abstract
Bioponics is a promising agricultural system designed to integrate circular economy principles by recovering nutrients from organic waste. In this context we implemented a tri-trophic circular system, where insect larvae fed on crop residues and fruits were processed into insect meal for fish [...] Read more.
Bioponics is a promising agricultural system designed to integrate circular economy principles by recovering nutrients from organic waste. In this context we implemented a tri-trophic circular system, where insect larvae fed on crop residues and fruits were processed into insect meal for fish feed. The water used in fish rearing then irrigated tomato crops in an aquaponic setup, closing the nutritional loop. Tomato was cultivated in this system with the aim of thoroughly evaluating its applicability via assessing the dynamics of growth, yield, and functional responses of the crop across three treatments: coupled aquaponics (CAP), decoupled aquaponics (DCAP), and hydroponics (HP, as control). DCAP matched HP in all parameters assessed and even outperformed it in fertilizer use efficiency by 31%. In contrast, CAP showed reduced growth and yield (by 38%) and limitations in photochemical efficiency and photosynthetic performance, likely due to significant deficiencies in potassium and phosphorus (9-fold and 2-fold lower than in HP, respectively). DCAP demonstrated strong potential to achieve similar crop outcomes to conventional hydroponics with enhanced resource efficiency. Overall, adopting the DCAP variant of aquaponics in this circular nutrition system is a promising alternative to conventional hydroponics, supporting a transition toward more environmentally resilient farming practices. Full article
Show Figures

Figure 1

17 pages, 4371 KB  
Article
Abiotic Indicators for Sustainability Assessment in a Post-Mining Coal Rehabilitated Area
by Àngela D. Bosch-Serra, Marc Mestre, Núria Llop and Rosa M. Poch
Appl. Sci. 2025, 15(18), 10111; https://doi.org/10.3390/app151810111 - 16 Sep 2025
Viewed by 189
Abstract
The rehabilitation of coal mine sites in semi-arid environments is a step in combating desertification. A promising rehabilitation approach involves the development of anthropic soils that can support vegetation. However, reliable soil quality indicators are needed to evaluate long-term sustainability of rehabilitation strategies. [...] Read more.
The rehabilitation of coal mine sites in semi-arid environments is a step in combating desertification. A promising rehabilitation approach involves the development of anthropic soils that can support vegetation. However, reliable soil quality indicators are needed to evaluate long-term sustainability of rehabilitation strategies. In a coal mine area in northeastern Spain, two anthropic soils (0.5 m thick) were constructed by layering fine-textured coal residues at the bottom, topped with coarse overburden materials. Chemical fertility was enhanced using combinations of semi-liquid manure (25 or 60 mm) and straw (0 or 15 Mg ha−1), resulting in four treatments randomly distributed across both soil surfaces. Two abiotic indicators were selected for sustainability assessment: soil organic carbon (SOC) fractions and microstructure. Seven years after rehabilitation activities were completed, SOC fractions were analyzed. In addition, two years later, soil porosity and specific pore perimeter were also assessed in soil thin section images. The results indicated that the lower manure rate promoted more efficient SOC stabilization, evidenced by a 4–5-fold increase in specific pore perimeter at 0–5 cm depth, and lower fulvic acid content at 5–20 cm depth, compared with the higher manure rate. Micromorphological analysis proved to be a sensitive method for detecting early improvements in the physical quality of anthropic soils, highlighting the importance of adjusting manure rates for sustainable coal mine rehabilitation. Full article
(This article belongs to the Special Issue Advances in Green Coal Mining Technologies)
Show Figures

Figure 1

22 pages, 2035 KB  
Article
Chemotyping of Koelreuteria paniculata Seed Cake with Bioactive and Feed Potential
by Veljko Šarac, Dragana Šunjka, Magdalena Pušić Devai, Tea Sedlar, Nedeljka Spasevski, Slađana Rakita, Danka Dragojlović, Zorica Tomičić, Katarina Šavikin, Jelena Živković, Ivana Čabarkapa and Mirjana Ljubojević
Plants 2025, 14(18), 2873; https://doi.org/10.3390/plants14182873 - 15 Sep 2025
Viewed by 354
Abstract
Koelreuteria paniculata is an amenity landscape tree whose seed extracts and cold-pressed oil are proven biopesticides and biodiesel feedstocks. However, the residual seed cake phytochemical profile has not been systematically assessed or evaluated for multifunctionality across pesticidal, fertilizing, and nutritional domains. Therefore, the [...] Read more.
Koelreuteria paniculata is an amenity landscape tree whose seed extracts and cold-pressed oil are proven biopesticides and biodiesel feedstocks. However, the residual seed cake phytochemical profile has not been systematically assessed or evaluated for multifunctionality across pesticidal, fertilizing, and nutritional domains. Therefore, the aim of this study was to perform a comprehensive chemotyping of K. paniculata seed cake and evaluate its potential for use as a biopesticide, biofertilizer, and feed additive, contributing to sustainable and circular agricultural systems. Detailed analyses of the defatted seed cake included moisture, crude protein, crude ash, crude fat, and crude fiber determination, as well as amino acid and fatty acid composition determination, supplemented with HPLC and antioxidative capacity investigation. Results delivered a comprehensive chemotyping of K. paniculata seed cake, revealing a nutrient-rich profile with moderate protein (20.01%), substantial monounsaturated fatty acids (75.8%, mainly eicosenoic and oleic), and significant phenolic content, including ellagic acid, rutin, catechin, and gallic acid. Antioxidant assays (DPPH and ABTS) confirmed moderate radical scavenging activity, indicating that bioactivity is retained after cold-press extraction. These compositional and functional traits highlight the potential of the seed cake as a raw material for natural biopesticides, biofertilizers, and value-added agro-industrial products. However, due to its unusual fatty acid profile and possible anti-nutritional factors, feed applications should proceed with caution and be preceded by targeted safety evaluations. Full article
Show Figures

Figure 1

22 pages, 4159 KB  
Article
Long-Term Straw Return Strategies Shape Soil Properties and Bacterial Community Structure in a Mollisol: A Nine-Year Field Trial
by Siyang Wu, Jiale Zhao, Chengliang Zhang, Lixing Ren, Yanpeng Wei, Yingjie Guo and Mingzhuo Guo
Agriculture 2025, 15(18), 1936; https://doi.org/10.3390/agriculture15181936 - 12 Sep 2025
Viewed by 298
Abstract
Returning crop residues to soil is fundamental to sustainable agriculture, yet its adoption in cold-climate regions is hampered by an agronomic paradox: surface mulching conserves water but suppresses the spring soil temperatures required for crop establishment. In the present study, through a nine-year [...] Read more.
Returning crop residues to soil is fundamental to sustainable agriculture, yet its adoption in cold-climate regions is hampered by an agronomic paradox: surface mulching conserves water but suppresses the spring soil temperatures required for crop establishment. In the present study, through a nine-year field experiment in a Mollisol under continuous maize cultivation, it was demonstrated that the method of maize straw incorporation, not merely its rate, is the decisive factor in resolving this conflict. While surface mulching maximized water conservation, it induced severe soil cooling and showed minimal gains in soil fertility. In contrast, incorporation via rotary tillage or deep plowing mitigated this cooling effect and proved superior for nutrient cycling. Among all strategies, rotary tillage of 50% residue (ROT-50) delivered the most balanced performance: it achieved the highest total nitrogen, substantially increased soil microbial biomass, and maintained one of the highest levels of Shannon diversity among incorporation treatments. These biogeochemical enhancements were driven by a fundamental, method-induced shift in the bacterial community from an oligotrophic to a copiotrophic structure. These findings shift the paradigm from a focus on residue quantity to one on incorporation method, providing a robust framework for reconciling crop productivity with long-term soil health in temperate agroecosystems. Full article
(This article belongs to the Special Issue Soil Chemical Properties and Soil Conservation in Agriculture)
Show Figures

Graphical abstract

17 pages, 1935 KB  
Article
Chromosomal Instability and Periodontal Disease in Idiopathic Infertility: Evidence of a Possible Association
by Cristina-Crenguţa Albu, Ştefan-Dimitrie Albu, Claudia Florina Bogdan-Andreescu, Cristian-Viorel Poalelungi, Constantin Marian Damian, Alexandru Burcea, Andreea-Mariana Bănățeanu, Emin Cadar, Dan Alexandru Slăvescu and Anca Daniela Brăila
Biology 2025, 14(9), 1256; https://doi.org/10.3390/biology14091256 - 12 Sep 2025
Viewed by 335
Abstract
Background: Chromosomal instability (CIN) may underlie a subset of idiopathic infertility, and chronic periodontitis could contribute to genomic fragility. We tested whether periodontal status is associated with cytogenetic instability in adults with idiopathic infertility. Methods: This was a cross-sectional study of 60 adults [...] Read more.
Background: Chromosomal instability (CIN) may underlie a subset of idiopathic infertility, and chronic periodontitis could contribute to genomic fragility. We tested whether periodontal status is associated with cytogenetic instability in adults with idiopathic infertility. Methods: This was a cross-sectional study of 60 adults aged 20–40 years, comprising idiopathic infertility (n = 30) and fertile controls (n = 30), each with 18 women and 12 men. Significant exclusions included systemic inflammatory disease, pregnancy/lactation, recent antibiotics/NSAIDs, and periodontal therapy within 6 months. Periodontal examination recorded probing depth (PD), clinical attachment loss (CAL), and bleeding on probing (BOP). Cytogenetic testing used mitomycin C-induced chromosomal breakage to derive the Breakage Index (BI); CIN was defined as BI ≥ 4.0. Analyses compared infertile with CIN (n = 19), infertile without CIN (n = 11), and controls (n = 30). Results: Infertile participants with CIN had a higher periodontitis burden compared to infertile participants without CIN and to controls (moderate–severe: 89.5% vs. 54.5% vs. 26.7%); mean BI also differed (5.2 ± 0.9 vs. 1.3 ± 0.5 vs. 0.4 ± 0.2). Periodontal measures followed the same gradient, with greater CAL and PD in CIN-positive infertility. Conclusions: In idiopathic infertility, CIN was cross-sectionally associated with more severe periodontitis, and the BI correlated with CAL, PD, and BOP. Causality cannot be inferred and residual confounding cannot be excluded. Periodontal screening is a feasible adjunct that may help identify a modifiable inflammatory burden; prospective and interventional studies are warranted. Full article
(This article belongs to the Section Medical Biology)
Show Figures

Figure 1

25 pages, 2277 KB  
Article
Circular Economy Assessment of Biochar-Enhanced Compost in Viticulture Using Ecocanvas
by Alexy Apolo-Romero, Nieves García-Casarejos and Pilar Gargallo
Agriculture 2025, 15(18), 1932; https://doi.org/10.3390/agriculture15181932 - 11 Sep 2025
Viewed by 365
Abstract
This study evaluates the application of circular economy principles in the wine sector through a demonstrative case developed within the LIFE Climawin project. The initiative focuses on the local valorization of vineyard residues by producing biochar from vine pruning and using it to [...] Read more.
This study evaluates the application of circular economy principles in the wine sector through a demonstrative case developed within the LIFE Climawin project. The initiative focuses on the local valorization of vineyard residues by producing biochar from vine pruning and using it to enrich compost derived from winemaking by-products and sheep manure. The combined application of these soil amendments aims to improve soil structure, enhance carbon sequestration, and reduce reliance on synthetic fertilizers. A systemic evaluation was conducted using the Ecocanvas methodology—a conceptual framework for mapping circular business models across environmental, economic, and social dimensions. The analysis integrated a targeted literature review, examination of technical data, direct field observations of composting and biochar production, and semi-structured interviews with key stakeholders. Results indicate multiple benefits from localized residue valorization, including improved compost quality, reduced greenhouse gas emissions, potential contributions to long-term soil health, and enhanced resource efficiency. The analysis also highlights economic opportunities, such as reduced dependency on external inputs, and social value creation through local stakeholder engagement. Furthermore, the study identifies factors that enable or constrain the replication and scaling of this model. These findings contribute to frameworks for advancing circular, economically viable, and socially inclusive climate-resilient agricultural systems. Full article
Show Figures

Figure 1

28 pages, 883 KB  
Review
Waste-Derived Fertilizers: Conversion Technologies, Circular Bioeconomy Perspectives and Agronomic Value
by Dolores Hidalgo, Jesús M. Martín-Marroquín, Francisco Corona and Francisco Verdugo
Agronomy 2025, 15(9), 2167; https://doi.org/10.3390/agronomy15092167 - 11 Sep 2025
Viewed by 484
Abstract
The urgent need to reduce the environmental footprint of agricultural inputs, alongside the rising cost and limited availability of mineral fertilizers, has encouraged the exploration of organic waste materials as alternative nutrient sources. This review examines how organic and nutrient-rich waste streams—from livestock [...] Read more.
The urgent need to reduce the environmental footprint of agricultural inputs, alongside the rising cost and limited availability of mineral fertilizers, has encouraged the exploration of organic waste materials as alternative nutrient sources. This review examines how organic and nutrient-rich waste streams—from livestock excreta and food industry residues to sewage sludge and combustion by-products—can be converted into effective fertilizers through biological, thermal, and chemical processes, reducing dependence on mineral fertilizers and supporting more circular and resilient cropping systems. It also analyzes the agronomic performance of these waste-derived materials in terms of nutrient release dynamics, impact on soil functions, and crop response under different management conditions. Examples of commercial waste-derived fertilizers are included, together with their effects on soil quality and crop productivity, and regulatory frameworks and commercialization challenges are considered, with emphasis on current European policies and real-world product examples. The broader contribution of these practices to climate mitigation, resource recovery, and rural development is also discussed. While promising, the implementation of waste-based fertilization strategies requires further efforts in standardization, safety assurance, and farmer engagement. This article provides an integrated overview of the topic and identifies key areas for future research, innovation, and policy development in support of sustainable nutrient management. Full article
(This article belongs to the Section Agricultural Biosystem and Biological Engineering)
Show Figures

Figure 1

Back to TopTop