Biochar-Based Granular Fertilizers with Agro-Industrial Binders Enhance Enzymatic Activity and Nutrient Cycling in Tropical Oxisols
Abstract
1. Introduction
2. Materials and Methods
2.1. Biochar Production
2.2. Physical and Chemical Characteristics of Biochar and Binders
2.3. Biochar-Based Fertilizers Production
2.4. Experimental Design
2.5. Soil Enzyme Activity and Chemical Analysis
2.6. Statistical Analysis
3. Results
3.1. Physical and Chemical Analysis
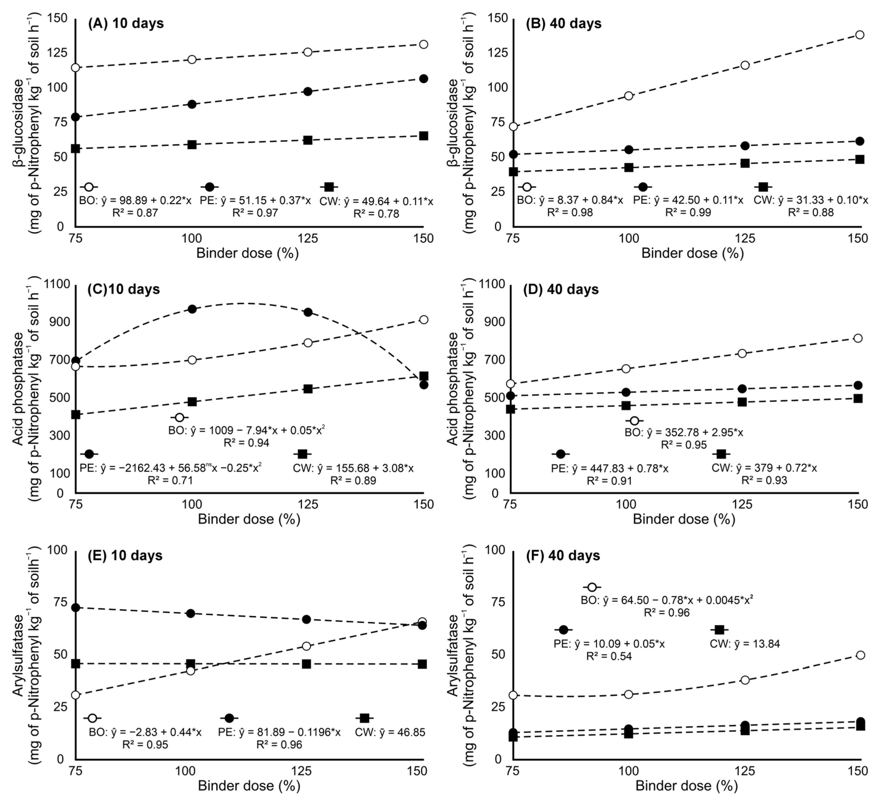
3.2. β-Glucosidase
3.3. Acid Phosphatase
3.4. Arylsulfatase
3.5. Comparative Effects of BBGFs on Soil Enzyme Activities
3.6. Principal Component Analysis of Soil Properties and Enzyme Activities over Time
4. Discussion
5. Conclusions
Supplementary Materials
Author Contributions
Funding
Data Availability Statement
Acknowledgments
Conflicts of Interest
References
- Igalavithana, A.D.; Choi, S.W.; Shang, J.; Hanif, A.; Dissanayake, P.D.; Tsang, D.C.W.; Kwon, J.H.; Lee, K.B.; Ok, Y.S. Carbon dioxide capture in biochar produced from pine sawdust and paper mill sludge: Effect of porous structure and surface chemistry. Sci. Total Environ. 2020, 739, 139845. [Google Scholar] [CrossRef] [PubMed]
- Carneiro, J.S.S.; Ribeiro, I.C.A.; Nardis, B.O.; Barbosa, C.F.; Lustosa Filho, J.F.; Melo, L.C.A. Long-term effect of biochar-based fertilizers application in tropical soil: Agronomic efficiency and phosphorus availability. Sci. Total Environ. 2021, 760, 143955. [Google Scholar] [CrossRef] [PubMed]
- Pogorzelski, D.; Lustosa Filho, J.F.; Matias, P.C.; Santos, W.O.; Vergütz, L.; Melo, L.C.A. Biochar as composite of phosphate fertilizer: Characterization and agronomic effectiveness. Sci. Total Environ. 2020, 743, 140604. [Google Scholar] [CrossRef]
- Basak, B.B.; Sarkar, B.; Saha, A.; Sarkar, A.; Mandal, S.; Biswas, J.K.; Wang, H.; Bolan, N.S. Revamping highly weathered soils in the tropics with biochar application: What we know and what is needed. Sci. Total Environ. 2022, 822, 153461. [Google Scholar] [CrossRef] [PubMed]
- Novais, R.F.; Smyth, T.J. Fósforo em Solo e Planta em Condições Tropicais; Univesidade Federal de Viçosa: Viçosa, Brazil, 1999; 399p. [Google Scholar]
- Santos Júnior, J.M.; Colen, F.; Pegoraro, R.F.; Heinrichs, R.; Frazão, L.A.; Sampaio, R.A.; Fernandes, L.A. Biochar pellets as soil conditioner on the growth of Urochloa brizantha BRS Paiaguás. Rev. Ciênc. Agron. 2024, 55, e20238690. [Google Scholar] [CrossRef]
- Shoudho, K.N.; Khan, T.H.; Ara, U.R.; Khan, M.R.; Shawon, Z.B.Z.; Hoque, M.E. Biochar in global carbon cycle: Towards sustainable development goals. Curr. Res. Green. Sustain. Chem. 2024, 8, 100409. [Google Scholar] [CrossRef]
- Adhikari, S.; Moon, E.; Timms, W. Identifying biochar production variables to maximize exchangeable cations and increase nutrient availability in soils. J. Clean. Prod. 2024, 446, 141454. [Google Scholar] [CrossRef]
- Otoni, J.P.; Matoso, S.C.G.; Pérez, X.L.O.; Silva, V.B. Potential for agronomic and environmental use of biochars derived from different organic waste. J. Clean. Prod. 2024, 449, 141826. [Google Scholar] [CrossRef]
- Lopes, E.M.G.; Reis, M.M.; Frazão, L.A.; Terra, L.E.M.; Lopes, E.F.; Santos, M.M.; Fernandes, L.A. Biochar increases enzyme activity and total microbial quality of soil grown with sugarcane. Environ. Technol. Innov. 2021, 21, 101270. [Google Scholar] [CrossRef]
- Lopes, E.M.G.; Mota, M.F.C.; Santos Júnior, J.M.; Reis, M.M.; Frazão, L.A.; Fernandes, L.A. Biochar alters the soil microbiological activity of sugarcane fields over time. Sci. Agric. 2024, 81, e20230289. [Google Scholar] [CrossRef]
- Mir, N.R.; Mir, B.A.; Mavi, M.S.; Kapoor, N. Revitalizing soils: Biochar’s battle against heavy metal menace in plants—A review. Pedosphere, 2025; in press. [Google Scholar] [CrossRef]
- Wang, H.; Zhang, H.; He, L.; Wang, J.; Wang, S.; Shi, X.; Zhang, X.; Wang, H.; He, F. Environmental behavior of per- and polyfluoroalkyl substances (PFASs) and the potential role of biochar for its remediation: A review. Biochar 2025, 7, 14. [Google Scholar] [CrossRef]
- Dong, M.; Jiang, M.; He, L.; Zhang, Z.; Gustave, W.; Vithanage, M.; Niazi, N.K.; Chen, B.; Zhang, X.; Wang, H.; et al. Challenges in safe environmental applications of biochar: Identifying risks and unintended consequence. Biochar 2025, 7, 12. [Google Scholar] [CrossRef]
- Mendes, I.C.; Souza, L.M.; Sousa, D.M.G.; Lopes, A.A.C.; Reis Júnior, F.B.; Lacerda, M.P.C.; Malaquias, J.V. Critical limits for microbial indicators in tropical Oxisols at post-harvest: The FERTBIO soil sample concept. Appl. Soil Ecol. 2019, 139, 85–93. [Google Scholar] [CrossRef]
- Mendes, I.C.; Sousa, D.M.G.; Dantas, O.D.; Lopes, A.A.C.; Reis Júnior, F.B.; Oliveira, M.I.; Chaer, G.M. Soil quality and grain yield: A win–win combination in clayey tropical oxisols. Geoderma 2021, 388, 114880. [Google Scholar] [CrossRef]
- Barbosa, J.Z.; Poggere, G.; Corrêa, R.S.; Hungria, M.; Mendes, I.C. Soil enzymatic activity in Brazilian biomes under native vegetation and contrasting cropping and management. Appl. Soil Ecol. 2023, 190, 105014. [Google Scholar] [CrossRef]
- Song, X.; Razavi, B.S.; Ludwig, B.; Zamanian, K.; Zang, H.; Kuzyakov, Y.; Dippold, M.A.; Gunina, A. Combined biochar and nitrogen application stimulates enzyme activity and root plasticity. Sci. Total Environ. 2020, 735, 139393. [Google Scholar] [CrossRef]
- Tabatabai, M.A. Soil Enzymes. In Methods of Soil. Analysis: Microbiological and Biochemical Properties; Mickelson, S.H., Bigham, J.M., Eds.; Soil Science Society of America Inc.: Madison, WI, USA, 1994; pp. 775–833. [Google Scholar]
- Santos Júnior, J.M.; Colen, F.; Frazão, L.A.; Pegoraro, R.F.; Fernandes, L.A. Granulated organomineral fertilizers from by-products of the agricultural and forestry sector. Sci. Agric. 2025, 82, e20240132. [Google Scholar] [CrossRef]
- Peng, J.; Zhang, L.; Meulien, E.S.; Bi, X.T.; Lim, J.C.; Chen, W. Waste Plastics as an Effective Binder for Biochar Pelletization. Energy Fuels 2021, 35, 13840–13846. [Google Scholar] [CrossRef]
- Schmidt, V.K.O.; Vasconscelos, G.M.D.; Vicente, R.; Carvalho, J.S.; Della-Flora, I.K.; Degang, L.; Oliveira, D.; Andrade, C.J. Cassava wastewater valorization for the production of biosurfactants: Surfactin, rhamnolipids, and mannosileritritol lipids. World J. Microbiol. Biotechnol. 2023, 39, 65. [Google Scholar]
- Genova, G.; Borruso, L.; Signorini, M.; Mitterer, M.; Niedrist, G.; Cesco, S.; Felderer, B.; Cavani, L.; Mimmo, T. Analyzing soil enzymes to assess soil quality parameters in long-term copper accumulation through a machine learning approach. Appl. Soil Ecol. 2024, 195, e105261. [Google Scholar] [CrossRef]
- Schettini, B.L.S.; Jacovine, L.A.G.; Torres, C.M.M.E.; Carneiro, A.C.O.; Villanova, P.H.; Rocha, S.J.S.S.; Rufino, M.P.M.X.; Silva, L.B.; Castro, R.V.O. Furnace-kiln system: How does the use of new technologies in charcoal production affect the carbon balance? Ind. Crop. Prod. 2022, 187, 115330. [Google Scholar] [CrossRef]
- ASTM D1762-84; Standard Test Method for Chemical Analysis of Wood Charcoal. ASTM International: West Conshohocken, PA, USA, 2021; 2p.
- Tedesco, M.J.; Gianello, C.; Bissani, C.A.; Bohnen, H.; Volkweiss, S.J. Soil, Plants and Other Materials Analysis, 2nd ed.; Universidade Federal do Rio Grande do Sul: Porto Alegre, Brazil, 1995; 174p. [Google Scholar]
- Klasson, K.T. Biochar characterization and a method for estimating biochar quality from proximate analysis results. Biomass Bioenergy 2017, 96, 50–58. [Google Scholar] [CrossRef]
- ASTM E1756-08; Standard Test Method for Determination of Total Solids in Biomass. ASTM International: West Conshohocken, PA, USA, 2020; 2p.
- Schulte, E.E.; Hoskins, B. Recommended soil organic matter tests. In Recommended Soil Testing Procedures for the Northeastern United States, 3rd ed.; Sims, J.T., Wolf, A., Eds.; University of Delaware: Newark, NJ, USA, 2011; pp. 63–74. [Google Scholar]
- Malavolta, E. Elements of Plant Mineral Nutrition; Agronômica Ceres: São Paulo, Brazil, 1980; 252p. [Google Scholar]
- Teixeira, P.C.; Donagemma, G.K.; Fontana, A.; Teixeira, W.G. Manual of Soil Analysis Methods, 3rd ed.; Embrapa Solos: Rio de Janeiro, Brazil, 2017; 573p. [Google Scholar]
- Cheng, J.; Liao, Z.; Hu, S.; Geng, Z.; Zhu, M.; Xu, W. Synthesis of an environmentally friendly binding material using pyrolysis byproducts and modified starch binder for slow-release fertilizers. Sci. Total Environ. 2022, 819, 153146. [Google Scholar] [CrossRef] [PubMed]
- Lee, C.L.; Chin, K.L.; Khoo, P.S.; Hafizuddin, M.S.; H’ng, P.S. Production and Potential Application of Pyroligneous Acids from Rubberwood and Oil Palm Trunk as Wood Preservatives through Vacuum-Pressure Impregnation Treatment. Polymers 2022, 14, 3863. [Google Scholar] [CrossRef] [PubMed]
- Mafaldo, I.M.; Araújo, L.M.; Cabral, L.; Barão, C.E.; Noronha, M.F.; Fink, J.R.; Albuquerque, T.M.R.; Lima, M.S.; Vidal, H.; Pimentel, T.C.; et al. Cassava (Manihot esculenta) Brazilian cultivars have different chemical compositions, present prebiotic potential, and beneficial effects on the colonic microbiota of celiac individuals. Food Res. Int. 2024, 195, 114909. [Google Scholar] [CrossRef] [PubMed]
- Rahmanian, M.; Khadem, A. The effects of biochar on soil extra and intracellular enzymes activity. Biomass Convers. Biorefinery 2024, 14, 21993–22005. [Google Scholar] [CrossRef]
- Janu, R.; Mrlik, V.; Ribitsch, D.; Hofman, J.; Sedláček, P.; Bielská, L.; Soja, G. Biochar surface functional groups as affected by biomass feedstock, biochar composition and pyrolysis temperature. Carbon Resour. Convers. 2021, 4, 36–46. [Google Scholar] [CrossRef]
- McCall, M.A.; Watson, J.S.; Tan, J.S.W.; Sephton, M.A. Biochar Stability Revealed by FTIR and Machine Learning. ACS Sustain. Resour. Manag. 2025, 2, 842–852. [Google Scholar] [CrossRef]
- Frainetti, A.J.; Klinghoffer, N.B. Recent experimental advances on the utilization of biochar as a tar reforming catalyst: A review. Int. J. Hydrogen Energy 2023, 48, 8022–8044. [Google Scholar] [CrossRef]
- Lachos-Perez, D.; Martins-Vieira, J.C.; Missau, J.; Anshu, K.; Siakpebru, O.K.; Thengane, S.K.; Morais, A.R.C.; Tanabe, E.H.; Bertuol, D.A. Review on Biomass Pyrolysis with a Focus on Bio-Oil Upgrading Techniques. Analytica 2023, 4, 182–205. [Google Scholar] [CrossRef]
- Ibarra, J.V.; Moliner, R.; Bonet, A.J. FT-i.r. investigation on char formation during the early stages of coal pyrolysis. Fuel 1994, 73, 918–924. [Google Scholar] [CrossRef]
- Grewal, A.; Abbey, L.; Gunupuru, L.R. Production, prospects and potential application of pyroligneous acid in agriculture. J. Anal. Appl. Pyrolysis 2018, 135, 152–159. [Google Scholar] [CrossRef]
- Yuan, Y.; Kong, Q.; Zheng, Y.; Zheng, H.; Liu, Y.; Cheng, Y.; Zhang, X.; Li, Z.; You, X.; Li, Y. Co-application of biochar and pyroligneous acid improved peanut production and nutritional quality in a coastal soil. Environ. Technol. Innov. 2022, 28, 102886. [Google Scholar] [CrossRef]
- El-Naggar, A.; Mosa, A.; Ahmed, N.; Niazi, N.K.; Yousaf, B.; Sarkar, B.; Rinklebe, J.; Cai, Y.; Chang, S.X. Modified and pristine biochars for remediation of chromium contamination in soil and aquatic systems. Chemosphere 2022, 303, 134942. [Google Scholar] [CrossRef]
- Freddo, A.; Cai, C.; Reid, B.J. Environmental contextualization of potential toxic elements and polycyclic aromatic hydrocarbons in biochar. Environ. Pollut. 2012, 171, 18–24. [Google Scholar] [CrossRef]
- Bolan, S.; Sharma, S.; Mukherjee, S.; Kumar, M.; Rao, C.S.; Nataraj, K.C.; Singh, G.; Vinu, A.; Bhowmik, A.; Sharma, H.; et al. Biochar modulating soil biological health: A review. Sci. Total Environ. 2024, 914, 169585. [Google Scholar] [CrossRef] [PubMed]
- Dai, Z.; Xiong, X.; Zhu, H.; Xu, H.; Leng, P.; Li, J.; Tang, C.; Xu, J. Association of biochar properties with changes in soil bacterial, fungal and fauna communities and nutrient cycling processes. Biochar 2021, 3, 239–254. [Google Scholar] [CrossRef]
- Yin, Y.; Zhang, Z.; Yang, K.; Gu, P.; Liu, S.; Jia, Y.; Zhang, Z.; Wang, T.; Yin, J.; Miao, H. Deeper insight into the effect of salinity on the relationship of enzymatic activity, microbial community and key metabolic pathway during the anaerobic digestion of high strength organic wastewater. Bioresour. Technol. 2022, 363, 127978. [Google Scholar] [CrossRef] [PubMed]
- Zhao, K.; Wang, N.; Jiang, S.; Li, F.; Luo, S.; Chen, A.; Li, H.; Lin, X.; Zhang, J.; Zhang, L.; et al. Potential implications of biochar and compost on the stoichiometry-based assessments of soil enzyme activity in heavy metal-polluted soils. Carbon Res. 2022, 1, 29. [Google Scholar] [CrossRef]
- Sritongon, N.; Sarin, P.; Theerakulpisut, P.; Riddech, N. The effect of salinity on soil chemical characteristics, enzyme activity and bacterial community composition in rice rhizospheres in Northeastern Thailand. Sci. Rep. 2022, 12, 20360. [Google Scholar] [CrossRef]
- Jacobs, D.F.; Timmer, V.R. Fertilizer-induced Changes in Rhizosphere Electrical Conductivity: Relation to Forest Tree Seedling Root System Growth and Function. New For. 2005, 30, 147–166. [Google Scholar] [CrossRef]
- Din, M.M.U.; Khan, M.I.; Azam, M.; Ali, M.H.; Qadri, R.; Naveed, M.; Nasir, A. Effect of Biochar and Compost Addition on Mitigating Salinity Stress and Improving Fruit Quality of Tomato. Agronomy 2023, 13, 2197. [Google Scholar] [CrossRef]
- Zeng, L.; Zimmerman, A.R.; Huang, R. Adsorption of extracellular enzymes by biochar: Impacts of enzyme and biochar properties. Geoderma 2024, 451, 117082. [Google Scholar] [CrossRef]
- Zaid, F.; Al-Awwal, N.; Yang, J.; Anderson, S.H.; Alsunuse, B.T.B. Effects of Biochar-Amended Composts on Selected Enzyme Activities in Soils. Processes 2024, 12, 1678. [Google Scholar] [CrossRef]
- Liu, X.A.; Finley, B.K.; Mau, R.L.; Schwartz, E.; Dijkstra, P.; Bowker, M.A.; Hungate, B.A. The soil priming effect: Consistent across ecosystems, elusive mechanisms. Soil Biol. Biochem. 2020, 140, 107617. [Google Scholar] [CrossRef]
- Daunoras, J.; Kačergius, A.; Gudiukaitė, R. Role of Soil Microbiota Enzymes in Soil Health and Activity Changes Depending on Climate Change and the Type of Soil Ecosystem. Biology 2024, 13, 85. [Google Scholar] [CrossRef]
- Lu, W.; Zha, Q.; Zhang, H.; Chen, H.Y.H.; Yu, J.; Tu, F.; Ruan, H. Changes in soil microbial communities and priming effects induced by rice straw pyrogenic organic matter produced at two temperatures. Geoderma 2021, 400, 115217. [Google Scholar] [CrossRef]
- Li, Y.; Koopal, L.K.; Chen, Y.; Shen, A.; Tan, W. Conformational modifications of lysozyme caused by interaction with humic acid studied with spectroscopy. Sci. Total Environ. 2021, 768, 144858. [Google Scholar] [CrossRef]
- Zang, Y.; Liu, F.; Li, X.; Sheng, A.; Zhai, J.; Liu, J. Adsorption kinetics, conformational change, and enzymatic activity of β-glucosidase on hematite (α-Fe2O3) surfaces. Colloids Surf. B Biointerfaces 2020, 193, 111115. [Google Scholar] [CrossRef]
- Reid, M.S.; Bieleski, R.L. Response of Spirodela oligorrhiza to Phosphorus Deficiency. Plant Physiol. 1970, 46, 609–613. [Google Scholar] [CrossRef] [PubMed]
- Wojewódzki, P.; Lemanowicz, J.; Debska, B.; Haddad, S.A. Soil Enzyme Activity Response under the Amendment of Different Types of Biochar. Agronomy 2022, 12, 569. [Google Scholar] [CrossRef]
- Zhang, Y.; Dang, Y.; Wang, J.; Huang, Q.; Wang, X.; Yao, L.; Vinay, N.; Yu, K.; Wen, X.; Xiong, Y.; et al. A synthesis of soil organic carbon mineralization in response to biochar amendment. Soil Biol. Biochem. 2022, 175, 108851. [Google Scholar] [CrossRef]
- Abban-Baidoo, E.; Manka’abusi, D.; Apuri, L.; Marschner, B.; Frimpong, K.A. Biochar addition influences C and N dynamics during biochar co-composting and the nutrient content of the biochar co-compost. Sci. Rep. 2024, 14, 23781. [Google Scholar] [CrossRef]
- Dey, S.; Purakayastha, T.J.; Sarkar, B.; Rinklebe, J.; Kumar, S.; Chakraborty, R.; Datta, A.; Lal, K.; Shivay, Y.S. Enhancing cation and anion exchange capacity of rice straw biochar by chemical modification for increased plant nutrient retention. Sci. Total Environ. 2023, 886, 163681. [Google Scholar] [CrossRef]
- Domingues, R.R.; Sánchez-Monedero, M.A.; Spokas, K.A.; Melo, L.C.A.; Trugilho, P.F.; Valenciano, M.N.; Silva, C.A. Enhancing Cation Exchange Capacity of Weathered Soils Using Biochar: Feedstock, Pyrolysis Conditions and Addition Rate. Agronomy 2020, 10, 824. [Google Scholar] [CrossRef]
- El-Naggar, A.; Lee, S.S.; Awad, Y.M.; Yang, X.; Ryu, C.; Rizwan, M.; Rinklebe, J.; Tsang, D.C.W.; Ok, Y.S. Influence of soil properties and feedstocks on biochar potential for carbon mineralization and improvement of infertile soils. Geoderma 2018, 332, 100–118. [Google Scholar] [CrossRef]
- Zhou, J.; Wen, Y.; Liu, C.; Blagodatskaya, E.; Kuzyakov, Y.; Zeng, Z.; Jones, D.L.; Zang, H. Quantifying apparent and real priming effects based on inverse labelling. Appl. Soil Ecol. 2024, 195, 105234. [Google Scholar] [CrossRef]
- Chaer, G.M.; Mendes, I.C.; Dantas, O.D.; Malaquias, J.V.; Reis Júnior, F.B.; Oliveira, M.I.L. Evaluating C trends in clayey Cerrado Oxisols using a four-quadrant model based on specific arylsulfatase and β-glucosidase activities. Appl. Soil Ecol. 2023, 183, 104742. [Google Scholar] [CrossRef]
- Passinato, J.H.; Amado, T.J.C.; Kassam, A.; Acosta, J.A.A.; Amaral, L.P. Soil Health Check-Up of Conservation Agriculture Farming Systems in Brazil. Agronomy 2021, 11, 2410. [Google Scholar] [CrossRef]
- Pawlowski, E.; Sobucki, L.; Barbosa, J.G.P.; Handte, V.G.; Vieira, I.B.; Brunetto, G.; Mendes, I.C.; Jacques, R.J.S. Relationships between yield, enzymatic activity, and chemical properties across different soil layers and phenological stages of grapevines in southern Brazil. Appl. Soil Ecol. 2024, 204, 105732. [Google Scholar] [CrossRef]
- Lustosa Filho, J.F.; Carneiro, J.S.S.; Barbosa, C.F.; Lima, K.P.; Leite, A.A.; Melo, L.C.A. Aging of biochar-based fertilizers in soil: Effects on phosphorus pools and availability to Urochloa brizantha grass. Sci. Total Environ. 2020, 709, 136028. [Google Scholar] [CrossRef]
- Ministério da Agricultura, Pecuária e Abastecimento (MAPA). Manual de Métodos Analíticos Oficiais para Fertilizantes e Corretivos; MAPA: Brasília, Brazil, 2017; 240p. [Google Scholar]






| Feature | Results |
|---|---|
| pH | 8.9 (0.0) |
| EC (μS cm−1) | 786.3 (5.9) |
| Density (kg dm−3) | 0.6 (0.0) |
| Ash (%) | 50.6 (1.0) |
| VC (%) | 23.6 (4.6) |
| Moisture (%) | 4.9 (1.1) |
| FC (%) | 20.7 (2.4) |
| C (%) | 50.7 (2.3) |
| H (%) | 1.9 (0.3) |
| O (%) | 7.8 (2.2) |
| Total N (g kg−1) | 1.9 (0.1) |
| C/N | 255.0 (5.9) |
| P (g kg−1) | 3.3 (0.0) |
| K (g kg−1) | 1.1 (0.0) |
| Ca (g kg−1) | 50.6 (4.3) |
| Mg (g kg−1) | 4.2 (0.2) |
| S (g kg−1) | 3.5 (0.3) |
| Na (g kg−1) | 0.8 (0.0) |
| Fe (g kg−1) | 17.5 (0.4) |
| Zn (mg kg−1) | 27.2 (0.1) |
| Mn (mg kg−1) | 479.4 (12.7) |
| Cu (mg kg−1) | 17.8 (0.2) |
| Binder | pH | EC | TS |
|---|---|---|---|
| - | μS cm−1 | g L−1 | |
| BO | 2.7 (0.1) | 1386.6 (37.3) | 115.2 (4.0) |
| PE | 3.3 (0.0) | 9963.3 (26.6) | 71.9 (1.2) |
| CW | 4.3 (0.1) | 567.6 (4.1) | 230.8 (26.2) |
Disclaimer/Publisher’s Note: The statements, opinions and data contained in all publications are solely those of the individual author(s) and contributor(s) and not of MDPI and/or the editor(s). MDPI and/or the editor(s) disclaim responsibility for any injury to people or property resulting from any ideas, methods, instructions or products referred to in the content. |
© 2025 by the authors. Licensee MDPI, Basel, Switzerland. This article is an open access article distributed under the terms and conditions of the Creative Commons Attribution (CC BY) license (https://creativecommons.org/licenses/by/4.0/).
Share and Cite
dos Santos Júnior, J.M.; Fernandes, L.A.; Colen, F.; Frazão, L.A.; Pegoraro, R.F. Biochar-Based Granular Fertilizers with Agro-Industrial Binders Enhance Enzymatic Activity and Nutrient Cycling in Tropical Oxisols. Agronomy 2025, 15, 2230. https://doi.org/10.3390/agronomy15092230
dos Santos Júnior JM, Fernandes LA, Colen F, Frazão LA, Pegoraro RF. Biochar-Based Granular Fertilizers with Agro-Industrial Binders Enhance Enzymatic Activity and Nutrient Cycling in Tropical Oxisols. Agronomy. 2025; 15(9):2230. https://doi.org/10.3390/agronomy15092230
Chicago/Turabian Styledos Santos Júnior, José Mendes, Luiz Arnaldo Fernandes, Fernando Colen, Leidivan Almeida Frazão, and Rodinei Facco Pegoraro. 2025. "Biochar-Based Granular Fertilizers with Agro-Industrial Binders Enhance Enzymatic Activity and Nutrient Cycling in Tropical Oxisols" Agronomy 15, no. 9: 2230. https://doi.org/10.3390/agronomy15092230
APA Styledos Santos Júnior, J. M., Fernandes, L. A., Colen, F., Frazão, L. A., & Pegoraro, R. F. (2025). Biochar-Based Granular Fertilizers with Agro-Industrial Binders Enhance Enzymatic Activity and Nutrient Cycling in Tropical Oxisols. Agronomy, 15(9), 2230. https://doi.org/10.3390/agronomy15092230

