Sign in to use this feature.

Years

Between: -

Subjects

remove_circle_outline
remove_circle_outline
remove_circle_outline
remove_circle_outline
remove_circle_outline
remove_circle_outline
remove_circle_outline

Journals

Article Types

Countries / Regions

Search Results (35)

Search Parameters:
Keywords = remote sensing hydrological station technique

Order results
Result details
Results per page
Select all
Export citation of selected articles as:
29 pages, 3932 KB  
Article
Dynamic Spatiotemporal Evolution of Ecological Environment in the Yellow River Basin in 2000–2024 and the Driving Mechanisms
by Yinan Wang, Lu Yuan, Yanli Zhou and Xiangchao Qin
Land 2025, 14(10), 1958; https://doi.org/10.3390/land14101958 - 28 Sep 2025
Viewed by 726
Abstract
The Yellow River Basin (YRB), a pivotal ecoregion in China, has long been plagued by a range of ecological problems, including water loss, soil erosion, and ecological degradation. Despite previous reports on the ecological environment of YRB, systematic studies on the multi-factor driving [...] Read more.
The Yellow River Basin (YRB), a pivotal ecoregion in China, has long been plagued by a range of ecological problems, including water loss, soil erosion, and ecological degradation. Despite previous reports on the ecological environment of YRB, systematic studies on the multi-factor driving mechanism and the coupling between the ecological and hydrological systems remain scarce. In this study, with multi-source remote-sensing imagery and measured hydrological data, the random forest (RF) model and the geographical detector (GD) technique were employed to quantify the dynamic spatiotemporal changes in the ecological environment of YRB in 2000–2024 and identify the driving factors. The variables analyzed in this study included gross primary productivity (GPP), fractional vegetation cover (FVC), land use and cover change (LUCC), meteorological statistics, as well as runoff and sediment data measured at hydrological stations in YRB. The main findings are as follows: first, the GPP and FVC increased significantly by 37.9% and 18.0%, respectively, in YRB in 2000–2024; second, LUCC was the strongest driver of spatiotemporal changes in the ecological environment of YRB; third, precipitation and runoff contributed positively to vegetation growth, whereas the sediment played a contrary role, and the response of ecological variables to the hydrological processes exhibited a time lag of 1–2 years. This study is expected to provide scientific insights into ecological conservation and water resources management in YRB, and offer a decision-making basis for the design of sustainability policies and eco-restoration initiatives. Full article
Show Figures

Figure 1

10 pages, 4885 KB  
Proceeding Paper
Enhancing Rainfall Measurement Using Remote Sensing Data in Sparse Rain Gauge Networks: A Case Study in White Nile State, Sudan
by Abdelbagi Y. F. Adam, Zoltán Gribovszki and Péter Kalicz
Eng. Proc. 2025, 94(1), 19; https://doi.org/10.3390/engproc2025094019 - 26 Aug 2025
Viewed by 2379
Abstract
Monitoring rainfall is essential to understanding hydrological processes, managing water resources, and mitigating drought and flood risks. Many regions, particularly in developing countries, have sparse rain gauge networks, which limit spatial coverage and result in inaccurate rainfall estimates. By combining remote sensing data [...] Read more.
Monitoring rainfall is essential to understanding hydrological processes, managing water resources, and mitigating drought and flood risks. Many regions, particularly in developing countries, have sparse rain gauge networks, which limit spatial coverage and result in inaccurate rainfall estimates. By combining remote sensing data with rain gauge measurements, rainfall estimates can be improved, and spatial coverage can be enhanced. Remote sensing techniques provide a valuable resource for supplementing and enhancing rainfall monitoring in such areas. This study leverages Global Precipitation Measurement (GPM) satellite data to enhance rainfall estimation in White Nile State, Sudan, where only two rain gauge stations are operational and the state’s total area is 39.600 km2. GPM data, well-known for its high temporal and spatial resolution, offers a promising alternative to mitigate the limitations of sparse ground-based networks. The study integrates GPM satellite data with ground-based measurements through statistical and geostatistical techniques, as well as validation, to improve rainfall accuracy. The results show that, on average, GPM data and rain gauge measurements exhibit a strong correlation of 0.87, with an annual RMSE of 10.23 mm and an AME of 8.25 mm. These findings demonstrate that GPM data effectively complements traditional rain gauge observations by accurately capturing spatial rainfall distributions and extreme precipitation events. The findings underscore the potential of remote sensing to provide reliable rainfall information in data-scarce regions, contributing to better water resource management and disaster risk reduction strategies. Full article
Show Figures

Figure 1

20 pages, 7401 KB  
Article
Measurement of Suspended Sediment Concentration at the Outlet of the Yellow River Canyon: Using Sentinel-2 Images and Machine Learning
by Genxin Song, Youjing Jiang, Xinyu Lei and Shiyan Zhai
Remote Sens. 2025, 17(14), 2424; https://doi.org/10.3390/rs17142424 - 12 Jul 2025
Cited by 1 | Viewed by 2526
Abstract
The remote sensing inversion of the Suspended Sediment Concentration (SSC) at the Yellow River estuary is crucial for regional sediment management and the advancement of monitoring techniques for highly turbid waters. Traditional in situ methods and low-resolution imagery are no longer sufficient for [...] Read more.
The remote sensing inversion of the Suspended Sediment Concentration (SSC) at the Yellow River estuary is crucial for regional sediment management and the advancement of monitoring techniques for highly turbid waters. Traditional in situ methods and low-resolution imagery are no longer sufficient for high-accuracy studies. Using SSC data from the Longmen Hydrological Station (2019–2020) and Sentinel-2 imagery, multiple models were compared, and the random forest regression model was selected for its superior performance. A non-parametric regression model was developed based on optimal band combinations to estimate the SSC in high-sediment rivers. Results show that the model achieved a high coefficient of determination (R2 = 0.94) and met accuracy requirements considering the maximum SSC, MAPE, and RMSE. The B4, B7, B8A, and B9 bands are highly sensitive to high-concentration sediment rivers. SSC exhibited significant seasonal and spatial variation, peaking above 30,000 mg/L in summer (July–September) and dropping below 1000 mg/L in winter, with a positive correlation with discharge. Spatially, the SSC was higher in the gorge section than in the main channel during the flood season and higher near the banks than in the river center during the dry season. Overall, the random forest model outperformed traditional methods in SSC prediction for sediment-laden rivers. Full article
Show Figures

Figure 1

29 pages, 24398 KB  
Article
Assessing Drought Severity in Greece Using Geospatial Data and Environmental Indices
by Constantina Vasilakou, Dimitrios E. Tsesmelis, Kleomenis Kalogeropoulos, Pantelis E. Barouchas, Ilias Machairas, Elissavet G. Feloni, Andreas Tsatsaris and Christos A. Karavitis
Geomatics 2025, 5(1), 10; https://doi.org/10.3390/geomatics5010010 - 13 Feb 2025
Cited by 3 | Viewed by 3110
Abstract
Drought represents a recurring natural event that holds notable socio-economic and environmental consequences. This research aims to analyze drought patterns in Greece by employing the standardized precipitation index (SPI) and several vegetation indices within a Geographic Information System (GIS) framework. GIS is a [...] Read more.
Drought represents a recurring natural event that holds notable socio-economic and environmental consequences. This research aims to analyze drought patterns in Greece by employing the standardized precipitation index (SPI) and several vegetation indices within a Geographic Information System (GIS) framework. GIS is a potent tool for integrating geospatial data, encompassing climatic, topographic, and hydrological information, enabling a comprehensive assessment of drought conditions. By examining historical precipitation data, the SPI quantifies the severity and duration of drought relative to long-term average precipitation. In addition, the SPI is calculated from precipitation data from a total of 152 meteorological stations. Subsequently, geostatistical techniques are applied to generate drought maps (SPI 6- and 12-timescale) and to examine the secondary effects of drought on different land uses. Satellite data are utilized to calculate indices. This is completed using satellite data by calculating the corresponding indices such as the Enhanced Vegetation Index (EVI), Normalized Difference Vegetation Index (NDVI), and Normalized Difference Water Index (NDWI). Drought maps extracted using these methods and based on indicators and remote sensing data are useful tools for policymakers, stakeholders, and water experts. The resulting drought maps, based on the indicators and remote sensing data, serve as valuable tools for policymakers and stakeholders. Full article
Show Figures

Figure 1

25 pages, 11676 KB  
Article
Deep Learning-Based Automatic River Flow Estimation Using RADARSAT Imagery
by Samar Ziadi, Karem Chokmani, Chayma Chaabani and Anas El Alem
Remote Sens. 2024, 16(10), 1808; https://doi.org/10.3390/rs16101808 - 20 May 2024
Cited by 7 | Viewed by 6777
Abstract
Estimating river flow is a key parameter for effective water resource management, flood risk prevention, and hydroelectric facilities planning. Yet, traditional gauging methods are not reliable under very high flows or extreme events. Hydrometric network stations are often sparse, and their spatial distribution [...] Read more.
Estimating river flow is a key parameter for effective water resource management, flood risk prevention, and hydroelectric facilities planning. Yet, traditional gauging methods are not reliable under very high flows or extreme events. Hydrometric network stations are often sparse, and their spatial distribution is not optimal. Therefore, many river sections cannot be monitored using traditional flow measurements and observations. In the last few decades, satellite sensors have been considered as complementary observation sources to traditional water level and flow measurements. This kind of approach has provided a way to maintain and expand the hydrometric observation network. Remote sensing data can be used to estimate flow from rating curves that relate instantaneous flow (Q) to channel cross-section geometry (effective width or depth of the water surface). Yet, remote sensing has limitations, notably its dependence on rating curves. Due to their empirical nature, rating curves are limited to specific river sections (reaches) and cannot be applied to other watercourses. Recently, deep-learning techniques have been successfully applied to hydrology. The primary goal of this study is to develop a deep-learning approach for estimating river flow in the Boreal Shield ecozone of Eastern Canada using RADARSAT-1 and -2 imagery and convolutional neural networks (CNN). Data from 39 hydrographic sites in this region were used in modeling. A new CNN architecture was developed to provide a straightforward estimation of the instantaneous river flow rate. Our results yielded a coefficient of determination (R2) and a Nash–Sutcliffe value of 0.91 and a root mean square error of 33 m3/s. Notably, the model performs exceptionally well for rivers wider than 40 m, reflecting its capability to adapt to varied hydrological contexts. These results underscore the potential of integrating advanced satellite imagery with deep learning to enhance hydrological monitoring across vast and remote areas. Full article
(This article belongs to the Topic Hydrology and Water Resources Management)
Show Figures

Figure 1

18 pages, 5403 KB  
Article
Detection and Analysis of the Variation in the Minimum Ecological Instream Flow Requirement in the Chinese Northwestern Inland Arid Region by Using a New Remote Sensing Method
by Shengtian Yang, Jiekang Li, Hezhen Lou, Yunmeng Dai, Zihao Pan, Baichi Zhou, Huaixing Wang, Hao Li, Jianli Ding and Jianghua Zheng
Remote Sens. 2023, 15(24), 5725; https://doi.org/10.3390/rs15245725 - 14 Dec 2023
Cited by 3 | Viewed by 1800
Abstract
With the development of human society, the balance between the minimum ecological instream flow requirement (MEIFR), which is an essential part of the ecological water demand in arid areas, and anthropogenic water depletion has received increasing attention. However, due to the lack of [...] Read more.
With the development of human society, the balance between the minimum ecological instream flow requirement (MEIFR), which is an essential part of the ecological water demand in arid areas, and anthropogenic water depletion has received increasing attention. However, due to the lack of hydrological station data and river information on arid basins, previous researchers usually considered only the individual ecological water demand of rivers, lakes, or oases. To address this issue, a new method that combines river hydraulic parameters and the wet circumference obtained by an unmanned aerial vehicle (UAV) and remote sensing hydrological station (RSHS) technologies was applied to obtain the MEIFR and, then, systematically and quantitatively explore the balance from the perspective of the entire basin of Aiding Lake from 1990 to 2022, which is the lowest point of Chinese terrestrial territory. The results showed the following: (1) since 1990, the discharge of the seven rivers in the study area increased by 1–6%, and the MEIFR of these rivers increased by 15–100%; both quantities decreased by 3–5% from the upper to the lower reaches of the basin; (2) the surface area and water level of Aiding Lake decreased by 5% and 14%, respectively, but the MEIFR first decreased by 25% from 1990 to 2013 and, then, increased by 66.7% from 2013 to 2022; and (3) from 2011 to 2022, the MEIFR and anthropogenic water depletion exhibited a balance. Against the background of climate change, this research revealed that the MEIFR of the rivers in the Aiding Lake Basin have shown an upward trend over the past 30 years and quantitatively determined the above balance relationship and the period of its occurrence. This study supplied a method that could provide guidance for water resource management by decision-makers at a global level, thus helping achieve the sustainable development goals (SDGs). Full article
(This article belongs to the Section Remote Sensing in Geology, Geomorphology and Hydrology)
Show Figures

Graphical abstract

24 pages, 8586 KB  
Article
Investigating Correlations and the Validation of SMAP-Sentinel L2 and In Situ Soil Moisture in Thailand
by Apiniti Jotisankasa, Kritanai Torsri, Soravis Supavetch, Kajornsak Sirirodwattanakool, Nuttasit Thonglert, Rati Sawangwattanaphaibun, Apiwat Faikrua, Pattarapoom Peangta and Jakrapop Akaranee
Sensors 2023, 23(21), 8828; https://doi.org/10.3390/s23218828 - 30 Oct 2023
Cited by 4 | Viewed by 3433
Abstract
Soil moisture plays a crucial role in various hydrological processes and energy partitioning of the global surface. The Soil Moisture Active Passive-Sentinel (SMAP-Sentinel) remote-sensing technology has demonstrated great potential for monitoring soil moisture with a maximum spatial resolution of 1 km. This capability [...] Read more.
Soil moisture plays a crucial role in various hydrological processes and energy partitioning of the global surface. The Soil Moisture Active Passive-Sentinel (SMAP-Sentinel) remote-sensing technology has demonstrated great potential for monitoring soil moisture with a maximum spatial resolution of 1 km. This capability can be applied to improve the weather forecast accuracy, enhance water management for agriculture, and managing climate-related disasters. Despite the techniques being increasingly used worldwide, their accuracy still requires field validation in specific regions like Thailand. In this paper, we report on the extensive in situ monitoring of soil moisture (from surface up to 1 m depth) at 10 stations across Thailand, spanning the years 2021 to 2023. The aim was to validate the SMAP surface-soil moisture (SSM) Level 2 product over a period of two years. Using a one-month averaging approach, the study revealed linear relationships between the two measurement types, with the coefficient of determination (R-squared) varying from 0.13 to 0.58. Notably, areas with more uniform land use and topography such as croplands tended to have a better coefficient of determination. We also conducted detailed soil core characterization, including soil–water retention curves, permeability, porosity, and other physical properties. The basic soil properties were used for estimating the correlation constants between SMAP and in situ soil moistures using multiple linear regression. The results produced R-squared values between 0.933 and 0.847. An upscaling approach to SMAP was proposed that showed promising results when a 3-month average of all measurements in cropland was used together. The finding also suggests that the SMAP-Sentinel remote-sensing technology exhibits significant potential for soil-moisture monitoring in certain applications. Further validation efforts and research, particularly in terms of root-zone depths and area-based assessments, especially in the agricultural sector, can greatly improve the technology’s effectiveness and usefulness in the region. Full article
Show Figures

Figure 1

20 pages, 5681 KB  
Article
Comparison of Deterministic and Probabilistic Variational Data Assimilation Methods Using Snow and Streamflow Data Coupled in HBV Model for Upper Euphrates Basin
by Gökçen Uysal, Rodolfo Alvarado-Montero, Aynur Şensoy and Ali Arda Şorman
Geosciences 2023, 13(3), 89; https://doi.org/10.3390/geosciences13030089 - 19 Mar 2023
Viewed by 3040
Abstract
The operation of upstream reservoirs in mountainous regions fed by snowmelt is highly challenging. This is partly due to scarce information given harsh topographic conditions and a lack of monitoring stations. In this sense, snow observations from remote sensing provide additional and relevant [...] Read more.
The operation of upstream reservoirs in mountainous regions fed by snowmelt is highly challenging. This is partly due to scarce information given harsh topographic conditions and a lack of monitoring stations. In this sense, snow observations from remote sensing provide additional and relevant information about the current conditions of the basin. This information can be used to improve the model states of a forecast using data assimilation techniques, therefore enhancing the operation of reservoirs. Typical data assimilation techniques can effectively reduce the uncertainty of forecast initialization by merging simulations and observations. However, they do not take into account model, structural, or parametric uncertainty. The uncertainty intrinsic to the model simulations introduces complexity to the forecast and restricts the daily work of operators. The novel Multi-Parametric Variational Data Assimilation (MP-VarDA) uses different parameter sets to create a pool of models that quantify the uncertainty arising from model parametrization. This study focuses on the sensitivity of the parametric reduction techniques of MP-VarDA coupled in the HBV hydrological model to create model pools and the impact of the number of parameter sets on the performance of streamflow and Snow Cover Area (SCA) forecasts. The model pool is created using Monte Carlo simulation, combined with an Aggregated Distance (AD) Method, to create different model pool instances. The tests are conducted in the Karasu Basin, located at the uppermost part of the Euphrates River in Türkiye, where snowmelt is a significant portion of the yearly runoff. The analyses were conducted for different thresholds based on the observation exceedance probabilities. According to the results in comparison with deterministic VarDA, probabilistic MP-VarDA improves the m-CRPS gains of the streamflow forecasts from 57% to 67% and BSS forecast skill gains from 52% to 68% when streamflow and SCA are assimilated. This improvement rapidly increases for the first additional model parameter sets but reaches a maximum benefit after 5 parameter sets in the model pool. The improvement is notable for both methods in SCA forecasts, but the best m-CRPS gain is obtained for VarDA (31%), while the best forecast skill is detected in MP-VarDA (12%). Full article
Show Figures

Figure 1

23 pages, 5905 KB  
Article
Testing the mHM-MPR Reliability for Parameter Transferability across Locations in North–Central Nigeria
by Kingsley Nnaemeka Ogbu, Oldrich Rakovec, Pallav Kumar Shrestha, Luis Samaniego, Bernhard Tischbein and Hadush Meresa
Hydrology 2022, 9(9), 158; https://doi.org/10.3390/hydrology9090158 - 2 Sep 2022
Cited by 2 | Viewed by 3832
Abstract
Hydrologic modeling in Nigeria is plagued by non-existent or paucity of hydro-metrological/morphological records, which has detrimental impacts on sustainable water resource management and agricultural production. Nowadays, freely accessible remotely sensed products are used as inputs in hydrologic modeling, especially in regions with deficient [...] Read more.
Hydrologic modeling in Nigeria is plagued by non-existent or paucity of hydro-metrological/morphological records, which has detrimental impacts on sustainable water resource management and agricultural production. Nowadays, freely accessible remotely sensed products are used as inputs in hydrologic modeling, especially in regions with deficient observed records. Therefore, it is appropriate to utilize the fine-resolution spatial coverage offered by these products in a parameter regionalization method that supports sub-grid variability. This study assessed the transferability of optimized model parameters from a gauged to an ungauged basin using the mesoscale Hydrologic Model (mHM)—Multiscale Parameter Regionalization (MPR) technique. The ability of the fifth generation European Centre for Medium-Range Weather Forecasts Reanalysis product (ERA5), Climate Hazards Group InfraRed Precipitation with Station data (CHIRPS), Global Precipitation Climatology Centre (GPCC), and Multi-Source Weighted-Ensemble Precipitation (MSWEP) gridded rainfall products to simulate observed discharge in three basins was first assessed. Thereafter, the CHIRPS rainfall product was used in three multi-basin mHM setups. Optimized model parameters were then transferred to independent basins, and the reproduction of observed discharges was assessed. Kling–Gupta Efficiency (KGE) scores showed improvements when mHM runs were performed using optimized parameters in comparison to using default parameters for discharge simulations. Optimized mHM runs performed reasonably (KGE > 0.4) for all basins and rainfall products. However, only one basin showed a satisfactory KGE value (KGE = 0.54) when optimized parameters were transferred to an ungauged basin. This study underscores the utility of the mHM-MPR tool for parameter transferability during discharge simulation in data-scarce regions. Full article
(This article belongs to the Section Hydrological and Hydrodynamic Processes and Modelling)
Show Figures

Figure 1

26 pages, 3343 KB  
Article
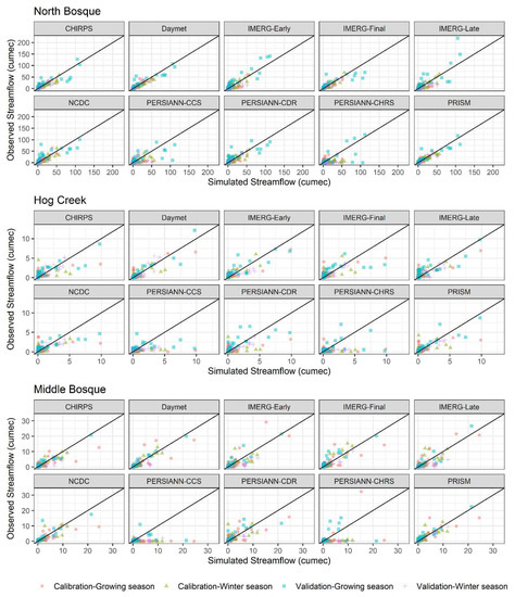
Evaluation of Gridded Precipitation Data for Hydrologic Modeling in North-Central Texas
by Ram L. Ray, Rajendra P. Sishodia and Gebrekidan W. Tefera
Remote Sens. 2022, 14(16), 3860; https://doi.org/10.3390/rs14163860 - 9 Aug 2022
Cited by 23 | Viewed by 4772
Abstract
Over the past few decades, several high-resolution gridded precipitation products have been developed using multiple data sources and techniques, including measured precipitation, numerical modeling, and remote sensing. Each has its own sets of uncertainties and limitations. Therefore, evaluating these datasets is critical in [...] Read more.
Over the past few decades, several high-resolution gridded precipitation products have been developed using multiple data sources and techniques, including measured precipitation, numerical modeling, and remote sensing. Each has its own sets of uncertainties and limitations. Therefore, evaluating these datasets is critical in assessing their applicability in various climatic regions. We used ten precipitation datasets, including measured (in situ), gauge-based, and satellite-based products, to assess their relevance for hydrologic modeling at the Bosque River Basin in North-Central Texas. Evaluated datasets include: (1) in situ station data from the Global Historical Climate Network (GHCN); (2) gauge-based dataset Daymet and the Parameter-elevation Regression on Independent Slope Model (PRISM); (3) satellite-based dataset Integrated Multi-Satellite Retrievals for Global Precipitation Measurement (IMERG), Early and Late, Precipitation Estimation from Remotely Sensed Information using Artificial Neural Networks (PERSIANN) and PERSIANN-CCS (Cloud Classification System); (4) satellite-based gauge-corrected dataset IMERG-Final, PERSIANN-CDR (Climate Data Record), and CHIRPS (Climate Hazards Group Infrared Precipitation with Station data). Daily precipitation data (2000–2019) were used in the Soil and Water Assessment Tool (SWAT) for hydrologic simulations. Each precipitation dataset was used with measured monthly United States Geological Survey (USGS) streamflow data at three locations in the watershed for model calibration and validation. The SUFI-2 (Sequential Uncertainty Fitting) method on the SWAT-CUP (Calibration and Uncertainty Program) was used to quantify and compare the uncertainty in streamflow simulations from all precipitation datasets. The study has also analyzed the uncertainties in SWAT model parameter values under different gridded precipitation datasets. The results showed similar or better model calibration/validation statistics from gauge-based (Daymet and PRISM) and satellite-based gauge-corrected products (CHIRPS) compared with the GHCN data. However, satellite-based precipitation products such as PERSIANN-CCS and PERSIANN-CDR unveil comparatively inferior to capture in situ precipitation and simulate streamflow. The results showed that gauge-based datasets had comparable and even superior performances in some metrics compared with the GHCN data. Full article
(This article belongs to the Section Earth Observation for Emergency Management)
Show Figures

Graphical abstract

24 pages, 9997 KB  
Article
Improving Soil Water Content and Surface Flux Estimation Based on Data Assimilation Technique
by He Chen, Rencai Lin, Baozhong Zhang and Zheng Wei
Remote Sens. 2022, 14(13), 3183; https://doi.org/10.3390/rs14133183 - 2 Jul 2022
Cited by 4 | Viewed by 2305
Abstract
Land surface model is a powerful tool for estimating continuous soil water content (SWC) and surface fluxes. However, simulation error tends to accumulate in the process of model simulation due to the inevitable uncertainties of forcing data and the intrinsic model errors. Data [...] Read more.
Land surface model is a powerful tool for estimating continuous soil water content (SWC) and surface fluxes. However, simulation error tends to accumulate in the process of model simulation due to the inevitable uncertainties of forcing data and the intrinsic model errors. Data assimilation techniques consider the uncertainty of the model, update model states during the simulation period, and therefore improve the accuracy of SWC and surface fluxes estimation. In this study, an Ensemble Kalman Filter (EnKF) technique was coupled to a Hydrologically Enhanced Land Process (HELP) model to update model states, including SWC and surface temperature (Ts). The remotely sensed latent heat flux (LE) estimated by Surface Energy Balance System (SEBS) was used as the observation value in the data assimilation system to update the model states such as SWC and Ts, etc. The model was validated by the observation data in 2006 at the Weishan flux station, where the open-loop estimation without state updating was treated as the benchmark run. Results showed that the root mean square error (RMSE) of SWC was reduced by 30%~50% compared to the benchmark run. Meanwhile, the surface fluxes also had significant improvement to different extents, among which the RMSE of LE estimation from the wheat season and maize season reduced by 33% and 44%, respectively. The application of the data assimilation technique can substantially improve the estimation of surface fluxes and SWC states. It is suggested that the data assimilation system has great potential to be used in the application of land surface models in agriculture and water management. Full article
Show Figures

Figure 1

9 pages, 4177 KB  
Essay
RASPOTION—A New Global PET Dataset by Means of Remote Monthly Temperature Data and Parametric Modelling
by Aristoteles Tegos, Nikolaos Malamos and Demetris Koutsoyiannis
Hydrology 2022, 9(2), 32; https://doi.org/10.3390/hydrology9020032 - 10 Feb 2022
Cited by 8 | Viewed by 4414
Abstract
Regional estimations of Potential Evapotranspiration (PET) are of key interest for a number of geosciences, particularly those that are water-related (hydrology, agrometeorology). Therefore, several models have been developed for the consistent quantification of different time scales (hourly, daily, monthly, annual). During the last [...] Read more.
Regional estimations of Potential Evapotranspiration (PET) are of key interest for a number of geosciences, particularly those that are water-related (hydrology, agrometeorology). Therefore, several models have been developed for the consistent quantification of different time scales (hourly, daily, monthly, annual). During the last few decades, remote sensing techniques have continued to grow rapidly with the simultaneous development of new local and regional evapotranspiration datasets. Here, we develop a novel set T maps over the globe, namely RASPOTION, for the period 2003 to 2016, by integrating: (a) mean climatic data at 4088 stations, extracted by the FAO-CLIMWAT database; (b) mean monthly PET estimates by the Penman–Monteith method, at the aforementioned locations; (c) mean monthly PET estimates by a recently proposed parametric model, calibrated against local Penman–Monteith data; (d) spatially interpolated parameters of the Parametric PET model over the globe, using the Inverse Distance Weighting technique; and (e) remote sensing mean monthly air temperature data. The RASPOTION dataset was validated with in situ samples (USA, Germany, Spain, Ireland, Greece, Australia, China) and by using a spatial Penman–Monteith estimates in England. The results in both cases are satisfactory. The main objective is to demonstrate the practical usefulness of these PET map products across different research disciplines and spatiotemporal scales, towards assisting decision making for both short- and long-term hydro-climatic policy actions. Full article
(This article belongs to the Special Issue Advances in Evaporation and Evaporative Demand)
Show Figures

Figure 1

34 pages, 1949 KB  
Article
Depths Inferred from Velocities Estimated by Remote Sensing: A Flow Resistance Equation-Based Approach to Mapping Multiple River Attributes at the Reach Scale
by Carl Legleiter and Paul Kinzel
Remote Sens. 2021, 13(22), 4566; https://doi.org/10.3390/rs13224566 - 13 Nov 2021
Cited by 6 | Viewed by 3675
Abstract
Remote sensing of flow conditions in stream channels could facilitate hydrologic data collection, particularly in large, inaccessible rivers. Previous research has demonstrated the potential to estimate flow velocities in sediment-laden rivers via particle image velocimetry (PIV). In this study, we introduce a new [...] Read more.
Remote sensing of flow conditions in stream channels could facilitate hydrologic data collection, particularly in large, inaccessible rivers. Previous research has demonstrated the potential to estimate flow velocities in sediment-laden rivers via particle image velocimetry (PIV). In this study, we introduce a new framework for also obtaining bathymetric information: Depths Inferred from Velocities Estimated by Remote Sensing (DIVERS). This approach is based on a flow resistance equation and involves several assumptions: steady, uniform, one-dimensional flow and a direct proportionality between the velocity estimated at a given location and the local water depth, with no lateral transfer of mass or momentum. As an initial case study, we performed PIV and inferred depths from videos acquired from a helicopter hovering at multiple waypoints along a large river in central Alaska. The accuracy of PIV-derived velocities was assessed via comparison to field measurements and the performance of an optimization-based approach to DIVERS was quantified by comparing calculated depths to those observed in the field. We also examined the ability of two variants of DIVERS to reproduce the discharge recorded at a gaging station. This analysis indicated that the accuracy of PIV-based velocity estimates varied considerably from hover to hover along the reach, with observed vs. predicted R2 values ranging from 0.22 to 0.97 and a median of 0.57. Calculated depths were also reasonably accurate, with median normalized biases from −4% to 9.9% for the two versions of DIVERS, but tended to be under-predicted in meander bends. Discharges were reproduced to within 1% and 4% when applying the optimization-based technique to individual hovers or reach-aggregated data, respectively. The results of this investigation suggest that, in addition to the velocity field derived via PIV, DIVERS could provide a plausible, first-order approximation to the reach-scale bathymetry. This framework could be refined by incorporating hydraulic processes that were not represented in the initial iteration of the approach described herein. Full article
Show Figures

Graphical abstract

20 pages, 3550 KB  
Article
Discharge Estimation with the Use of Unmanned Aerial Vehicles (UAVs) and Hydraulic Methods in Shallow Rivers
by Sergios Lagogiannis and Elias Dimitriou
Water 2021, 13(20), 2808; https://doi.org/10.3390/w13202808 - 9 Oct 2021
Cited by 9 | Viewed by 3646
Abstract
Although river discharge is essential hydrologic information, it is often absent, especially for small rivers and remote catchment areas. Practical difficulties frequently impede the installation and operation of gauging stations, while satellite-sensed data have proved to be relatively useful only for discharge estimation [...] Read more.
Although river discharge is essential hydrologic information, it is often absent, especially for small rivers and remote catchment areas. Practical difficulties frequently impede the installation and operation of gauging stations, while satellite-sensed data have proved to be relatively useful only for discharge estimation of large-scale rivers. In this study, we propose a new methodology based on UAV-sensed data and photogrammetry techniques combined with empirical hydraulic equations for discharge estimation. In addition, two different riverbed particle size distributions were incorporated, to study the effect of fine sediment inclusion (or exclusion) in the estimation process. Accordingly, 17 study sites were selected and six different approaches were applied in each. Results show that at 75% of sites at least one approach produced an accurate discharge estimation, while in 10 out the 17 sites (58.8%) all six approaches produced accurate estimations. A strong correlation between a threshold value for the hydraulic radius (Rh = 0.3 m) of cross-sections and high estimation errors for sites exceeding it was also observed. The fine sediment inclusion improved only the performance of certain approaches and did not have a consistently positive effect. Overall, the relatively high percentage of sites with satisfactory discharge estimates indicates that using UAV-derived data and simple hydraulic equations can be used for this purpose, with an acceptable level of accuracy. Full article
(This article belongs to the Special Issue Application of Smart Technologies in Water Resources Management)
Show Figures

Figure 1

21 pages, 4618 KB  
Article
River Runoff Modelling and Hydrological Drought Assessment Based on High-Resolution Brightness Temperatures in Mainland China
by Xing Qu, Ziyue Zeng, Zhe Yuan, Junjun Huo, Yongqiang Wang and Jijun Xu
Water 2021, 13(17), 2429; https://doi.org/10.3390/w13172429 - 3 Sep 2021
Cited by 4 | Viewed by 3609
Abstract
Under the background of global climate change, drought is causing devastating impacts on the balance of the regional water resources system. Hydrological drought assessment is critical for drought prevention and water resources management. However, in China to assess hydrological drought at national scale [...] Read more.
Under the background of global climate change, drought is causing devastating impacts on the balance of the regional water resources system. Hydrological drought assessment is critical for drought prevention and water resources management. However, in China to assess hydrological drought at national scale is still challenging basically because of the difficulty of obtaining runoff data. In this study, we used the state-of-the-art passive microwave remote sensing techniques in river runoff modelling and thus assessed hydrological drought in Mainland China in 1996–2016. Specifically, 79 typical hydrological stations in 9 major basins were selected to simulate river runoff using the M/C signal method based on a high-resolution passive microwave bright temperature dataset. The standardized runoff index (SRI) was calculated for the spatial and temporal patterns of hydrological drought. Results show that passive microwave remote sensing can provide an effective way for runoff modelling as 92.4% and 59.5% of the selected 79 stations had the Pearson correlation coefficient (R) and the Nash-Sutcliffe efficiency coefficient (NS) scores greater than 0.5. Especially in areas located on Qinghai-Tibet Plateau in the Inland and the Southwest River Basin, the performance of the M/C signal method is quite outstanding. Further analysis indicates that stations with small rivers in the plateau areas with sparse vegetation tend to have better simulated results, which are usually located in drought-prone regions. Hydrological drought assessment shows that 30 out of the 79 stations present significant increasing trends in SRI-3 and 18 indicate significant decreasing trends. The duration and severity of droughts in the non-permanent dry areas of the Hai River Basin, the middle reaches of the Yangtze River Basin and the Southwest of China were found out to be more frequent and severe than other regions. This work can provide guidance for extending the applications of remote sensing data in drought assessment and other hydrological research. Full article
Show Figures

Figure 1

Back to TopTop