Sign in to use this feature.

Years

Between: -

Subjects

remove_circle_outline
remove_circle_outline
remove_circle_outline
remove_circle_outline
remove_circle_outline

Journals

Article Types

Countries / Regions

Search Results (10)

Search Parameters:
Keywords = reflectarray antenna (RA)

Order results
Result details
Results per page
Select all
Export citation of selected articles as:
16 pages, 18679 KB  
Article
Ka-Band Reflectarray with Cylindrical Dielectric Unit Cells: Optimized Additive Manufacturing and High-Permittivity Material Characterization
by Michele Beccaria, Andrea Massaccesi, Mauro Lumia, Giuseppe Addamo, Angelo Freni and Paola Pirinoli
Sensors 2025, 25(17), 5480; https://doi.org/10.3390/s25175480 - 3 Sep 2025
Cited by 1 | Viewed by 797
Abstract
This paper discusses the design, manufacturing, and experimental characterization of a Ka-band fully dielectric reflectarray realized using Zetamix ε 7.5 ceramic material and additive manufacturing. Properly tuning the infill during the manufacturing process, it is possible to control the permittivity of the material, [...] Read more.
This paper discusses the design, manufacturing, and experimental characterization of a Ka-band fully dielectric reflectarray realized using Zetamix ε 7.5 ceramic material and additive manufacturing. Properly tuning the infill during the manufacturing process, it is possible to control the permittivity of the material, which can therefore be considered, to all intents and purposes, an additional degree of freedom for optimizing the unit cell and consequently the reflectarray performance. The optimal values of εr are determined through numerical analysis of the unit cell and experimental characterization of bricks manufactured with different printing parameters. Then, the unit cell is used to design a medium-sized reflectarray with an aperture of 207.4λ02 and a thickness of 0.44λ0, at the design frequency f0=30 GHz. The full-wave simulations of the designed RA and experimental measurements of a prototype confirm the excellent performance of the antenna, which exhibits a broadband flat response from 28 to 31 GHz and an aperture efficiency exceeding 50%. Full article
(This article belongs to the Special Issue Design and Application of Millimeter-Wave/Microwave Antenna Array)
Show Figures

Figure 1

9 pages, 3049 KB  
Communication
High-Efficiency Deployable V-Band Reflectarray Antenna Design, Tolerance Analysis and Measurement
by Guang Liu, Xiaolong Dong, Di Zhu and Hongjian Wang
Photonics 2025, 12(9), 866; https://doi.org/10.3390/photonics12090866 - 28 Aug 2025
Viewed by 669
Abstract
A deployable reflectarray antenna (RA) using a three-times expansion structure working at the V-band for 12U CubeSat is presented in this paper. Double-circle ring unit cells with excellent dispersion characteristics are used to constitute the layout of the RA. The impact of the [...] Read more.
A deployable reflectarray antenna (RA) using a three-times expansion structure working at the V-band for 12U CubeSat is presented in this paper. Double-circle ring unit cells with excellent dispersion characteristics are used to constitute the layout of the RA. The impact of the tolerance of the gap between boards on the RA’s radiation patterns are shown and discussed. A high expansion compression ratio of 26:1 is achieved by using the three-times expansion structure design. The measured results of the prototype show that the deployable RA achieves performance with high efficiency, a low side lobe level, a low cross-polarization level and a wide band. Full article
Show Figures

Figure 1

13 pages, 4379 KB  
Article
A Broadband Millimeter-Wave Circularly Polarized Folded Reflectarray Antenna Based on Transmissive Linear-to-Circular Polarization Converter
by Yue Cao, Zhuwei Wang, Qing Wang, Mingzhu Du and Miaojuan Zhang
Micromachines 2025, 16(6), 711; https://doi.org/10.3390/mi16060711 - 14 Jun 2025
Cited by 1 | Viewed by 765
Abstract
In this paper, a wideband circularly polarized folded reflectarray antenna (CPFRA) based on a transmissive linear-to-circular polarization converter is proposed. The CPFRA consists of a primary reflector and a sub-reflector. To achieve broadband performance, a metasurface-based RA element on the primary reflector surface [...] Read more.
In this paper, a wideband circularly polarized folded reflectarray antenna (CPFRA) based on a transmissive linear-to-circular polarization converter is proposed. The CPFRA consists of a primary reflector and a sub-reflector. To achieve broadband performance, a metasurface-based RA element on the primary reflector surface and a transmissive linear-to-circular polarization converter on the sub-reflector surface are applied. Moreover, the transmissive linear-to-circular polarization converter on the sub-reflector surface helps convert linear polarization to circular polarization. To verify the proposed CPFRA, a prototype is designed, fabricated, and tested. The measured results exhibit that the proposed CPFRA presents a 3 dB gain bandwidth of 27.4% and a 3 dB axial ratio bandwidth of 23%. The CPFRA achieves a peak gain of 21.2 dBi with an aperture efficiency of 27.2%. The proposed CPFRA is a promising candidate for millimeter-wave (mm-W) satellite communication applications because of its advantages of high gain, low cost, low profile, and broad bandwidth. Full article
(This article belongs to the Special Issue Microwave Passive Components, 3rd Edition)
Show Figures

Figure 1

13 pages, 2978 KB  
Article
Compact Beam-Scanning Reflectarray Antenna with SLL Reduction Using In-Plane Panel Translations
by Andrés Gómez-Álvarez, Sérgio A. Matos, Manuel Arrebola, Marcos R. Pino and Carlos A. Fernandes
Appl. Sci. 2025, 15(8), 4244; https://doi.org/10.3390/app15084244 - 11 Apr 2025
Viewed by 664
Abstract
A mechanical beam-scanning reflectarray (RA) antenna is presented for Ka band. The 1D steering of the beam is achieved through linear in-plane panel translations, which can be implemented at low cost using a rail-mounted moving RA panel. Compared to related works, a highly [...] Read more.
A mechanical beam-scanning reflectarray (RA) antenna is presented for Ka band. The 1D steering of the beam is achieved through linear in-plane panel translations, which can be implemented at low cost using a rail-mounted moving RA panel. Compared to related works, a highly uniform beam level is achieved with a remarkably compact antenna profile. A new technique is also proposed to mitigate the high side lobes caused by the compact antenna optics, achieving an estimated 2.3 dB reduction in maximum SLL. The manufactured prototype has a panel size of 256.4 by 187.2 mm with 2898 elements, and an F/D of only 0.47. A measured scan loss of 1.1 dB is achieved over a 45-degree scanning range. The measured gain is 31.6 dBi and the aperture efficiency is 24.7% at the design frequency of 29.5 GHz, with SLL between −9.4 and −17.5 dB. In-band measurements show a 1 dB bandwidth from 28 to over 32 GHz (11.9%). Full article
(This article belongs to the Special Issue Recent Advances in Reflectarray and Transmitarray Antennas)
Show Figures

Figure 1

11 pages, 16323 KB  
Article
A D-Band Dual-Polarized High-Gain LTCC-Based Reflectarray Antenna Using SIW Magnetoelectric-Dipole Elements
by Zhuo-Wei Miao
Micromachines 2024, 15(12), 1511; https://doi.org/10.3390/mi15121511 - 20 Dec 2024
Cited by 1 | Viewed by 1414
Abstract
This paper presents a D-band dual linear-polarized wideband high-gain reflectarray (RA) antenna using low-temperature co-fired-ceramic (LTCC) technology. The proposed element comprises a dual-polarized magnetoelectric (ME) dipole and a multilayer slot-coupling substrate-integrated waveguide (SIW) phase-delay structure, which are organized in accordance with the receiving/reradiating [...] Read more.
This paper presents a D-band dual linear-polarized wideband high-gain reflectarray (RA) antenna using low-temperature co-fired-ceramic (LTCC) technology. The proposed element comprises a dual-polarized magnetoelectric (ME) dipole and a multilayer slot-coupling substrate-integrated waveguide (SIW) phase-delay structure, which are organized in accordance with the receiving/reradiating (R/R) principle. The coverage of phase shifts for both orthogonal polarizations is set to be greater than 360 degrees by varying the length of the phase-delay structure. For verification, a D-band 1296-element RA prototype using the proposed unit cell is fabricated and measured in a THz chamber. The measured results show that the proposed RA achieves a peak gain of 32.25 and 33.03 dBi for the two orthogonal polarizations. The measured 3 dB gain bandwidths for the two orthogonal polarizations are 122–149 GHz (20%) and 123–149 GHz (19.3%), respectively. Full article
(This article belongs to the Section E:Engineering and Technology)
Show Figures

Figure 1

10 pages, 7529 KB  
Article
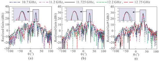
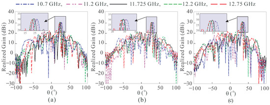
Experimental Investigation of Reflectarray Antennas for High-Power Microwave Applications
by Jianing Zhao, Yongzhen Dong, Hao Li, Tianming Li, Wei Liu, Yihong Zhou, Haiyang Wang, Biao Hu, Fang Li, Keqiang Wang and Bin Qiu
Micromachines 2024, 15(3), 399; https://doi.org/10.3390/mi15030399 - 15 Mar 2024
Viewed by 2443
Abstract
The power capacity of reflectarray antennas (RAs) is investigated through full-wave simulations and high-power microwave (HPM) experiments in this paper. In order to illustrate the results in detail, two RA elements are designed. The simulated power handling capacity of two RA elements are [...] Read more.
The power capacity of reflectarray antennas (RAs) is investigated through full-wave simulations and high-power microwave (HPM) experiments in this paper. In order to illustrate the results in detail, two RA elements are designed. The simulated power handling capacity of two RA elements are 7.17 MW/m2 and 2.3 GW/m2, respectively. To further study the HPM RA, two RA prototypes operating at 2.8 GHz are constructed with the aperture size of 1 m × 1 m. Simulations and experimental measurements are conducted for the two prototypes. The experimental results demonstrate that, even when subjected to 1 GW of power, the radiation beam of the RA with the second elements can still propagate in the intended direction. This research will establish a basis for advancing the practicality of RAs in HPM applications. Full article
(This article belongs to the Special Issue Advanced Antenna System: Structural Analysis, Design and Application)
Show Figures

Figure 1

15 pages, 2128 KB  
Article
Exploring the Beam Squint Effects on Reflectarray Performance: A Comprehensive Analysis of the Specular and Scattered Reflection of the Unit Cell
by Manzoor Elahi, Amir Altaf, Slawomir Koziel and Anna Pietrenko-Dabrowska
Sensors 2024, 24(5), 1438; https://doi.org/10.3390/s24051438 - 23 Feb 2024
Cited by 1 | Viewed by 1500
Abstract
In this article, the phenomena of beam deviation in reflectarray is discussed. The radiation pattern of the unit cell, which plays a vital role in shaping the beam of the reflectarray, is analyzed by considering undesired specular and scattered reflections. These unwanted reflections [...] Read more.
In this article, the phenomena of beam deviation in reflectarray is discussed. The radiation pattern of the unit cell, which plays a vital role in shaping the beam of the reflectarray, is analyzed by considering undesired specular and scattered reflections. These unwanted reflections adversely affect the pattern of the single unit cell, thereby reducing the overall performance of the reflectarray. To conduct our investigations, three cases of reflectarray—i.e., (i) a center-fed with broadside beam (Case-I), (ii) a center-fed with the beam at 30° (Case-II), and (iii) off-center-fed with the beam at 30° reciprocal to feed position with reference to the broadside direction (Case-III)—are simulated. Different degrees of beam deviation are analyzed in each reflectarray by assessing the radiation pattern of a single element. The simulation results shows that maximum of 0°, 3.4°, and 0.54° beam squint across the bandwidth found in Case-I, Case-II, and Case-III, respectively; this leads to aperture efficiencies of 31.2%, 11.9%, and 31.2%, respectively. The significance of specular reflections is further confirmed by half (left half and right half) aperture analysis of Case-II. This involves simulating the half-plane aperture illuminated by horn antenna, resulting in a distinct beam angle at the same frequency. However, deviations of −4.71 to +4.1 for the left half aperture and −1.82 to +1.1 for the right half aperture are noticed. Although the analysis specifically focuses on the three cases of the reflectarray, the proposed methodology is applicable to any type of reflectarray. The study presented in this work provides an important insight into the practical aspects of reflectarray operation, particularly in terms of quantifying undesirable effects that are normally overlooked in the design of this class of arrays. To achieve a good performance, a new design of the dielectric loaded horn feed is proposed. This design approach is both simple and applicable to any reflectarray, with the added benefit of maintaining a low profile for the RA. Moreover, this work holds significant potential for remote sensing satellite systems as beam deviation can adversely impact data collection accuracy and compromise observation precision, resulting in distorted images, reduced data quality, and overall hindrance to the system’s performance in capturing reliable information. Full article
(This article belongs to the Section Physical Sensors)
Show Figures

Figure 1

10 pages, 72923 KB  
Article
Dual-Band High-Gain Shared-Aperture Antenna Integrating Fabry-Perot and Reflectarray Mechanisms
by Xianjin Yi, Lin Zhou, Shuji Hao and Xing Chen
Electronics 2022, 11(13), 2017; https://doi.org/10.3390/electronics11132017 - 27 Jun 2022
Cited by 3 | Viewed by 3226
Abstract
This work presents a dual-band high-gain shared-aperture antenna. The proposed antenna integrates both the Fabry-Perot and reflectarray mechanisms; the antenna works as a Fabry-Perot cavity antenna (FPCA) in the S-band (2.45 GHz) and as a reflectarray antenna (RA) in the X-band [...] Read more.
This work presents a dual-band high-gain shared-aperture antenna. The proposed antenna integrates both the Fabry-Perot and reflectarray mechanisms; the antenna works as a Fabry-Perot cavity antenna (FPCA) in the S-band (2.45 GHz) and as a reflectarray antenna (RA) in the X-band (10 GHz). The antenna has a simple structure made up of only two printed circuit board layers. The bottom layer acts as a source antenna, a ground plane for the FPCA, and as a reflective surface for the RA. The upper layer contains the source antenna for the RA and serves as a partially reflective superstrate for the FPCA. The FPCA and RA thus share the same physical aperture but function independently. As an example, we design, fabricate, and characterize an antenna that operates at 2.45 and 10 GHz with an aperture size of 300 × 300 mm2. The measured results are found to be in good agreement with the simulations. We show that the proposed antenna achieves a gain of 16.21 dBi at 2.45 GHz and 21.6 dBi at 10 GHz with a −10 dB impedance bandwidths of 2.39–2.66 GHz and 9.40–10.28 GHz. The isolation between the two antenna ports is found to be larger than 30 dB. Full article
(This article belongs to the Topic Antennas)
Show Figures

Figure 1

13 pages, 12589 KB  
Article
Fully Metallic Reflectarray for the Ku-Band Based on a 3D Architecture
by Jaime Velasco, Ignacio Parellada-Serrano and Carlos Molero
Electronics 2021, 10(21), 2648; https://doi.org/10.3390/electronics10212648 - 29 Oct 2021
Cited by 4 | Viewed by 3107
Abstract
This document presents the design and manufacture of a reflectarray (RA) antenna for the Ku-band that is based on a fully-metallic 3D architecture. The reflectarray unit cell is formed by a square-shaped waveguide section ending in a short circuit, which is the reflectarray [...] Read more.
This document presents the design and manufacture of a reflectarray (RA) antenna for the Ku-band that is based on a fully-metallic 3D architecture. The reflectarray unit cell is formed by a square-shaped waveguide section ending in a short circuit, which is the reflectarray back ground plane. Each cell has the ability of configuring the phase of its own reflected field by means of resonators perforated on the walls of the cell waveguide section. The resonator-based waveguide cell introduces the 3D character to the design. The geometry of the resonators and the size variation introduces the phase behavior of each cell, thus, conforming the radiation pattern of the reflectarray. This design explores the potential of phase value truncation (six states and two states) and demonstrates that proper pattern results can be obtained with this phase truncation. Full article
(This article belongs to the Special Issue New Trends in Reflectarray and Transmitarray Antennas)
Show Figures

Figure 1

18 pages, 1042 KB  
Review
Mechanically Reconfigurable, Beam-Scanning Reflectarray and Transmitarray Antennas: A Review
by Mirhamed Mirmozafari, Zongtang Zhang, Meng Gao, Jiahao Zhao, Mohammad Mahdi Honari, John H. Booske and Nader Behdad
Appl. Sci. 2021, 11(15), 6890; https://doi.org/10.3390/app11156890 - 27 Jul 2021
Cited by 32 | Viewed by 9916
Abstract
We review mechanically reconfigurable reflectarray (RA) and transmitarray (TA) antennas. We categorize the proposed approaches into three major groups followed by a hybrid category that is made up of a combination of the three major approaches. We discuss the examples in each category [...] Read more.
We review mechanically reconfigurable reflectarray (RA) and transmitarray (TA) antennas. We categorize the proposed approaches into three major groups followed by a hybrid category that is made up of a combination of the three major approaches. We discuss the examples in each category and compare their performance metrics including aperture efficiency, gain, bandwidth and scanning range and resolution. We also identify opportunities to build upon or extend these demonstrated approaches to realize further advances in antenna performance. Full article
Show Figures

Figure 1

Back to TopTop