Sign in to use this feature.

Years

Between: -

Subjects

remove_circle_outline
remove_circle_outline
remove_circle_outline
remove_circle_outline
remove_circle_outline
remove_circle_outline
remove_circle_outline
remove_circle_outline
remove_circle_outline

Journals

remove_circle_outline
remove_circle_outline
remove_circle_outline
remove_circle_outline
remove_circle_outline
remove_circle_outline
remove_circle_outline
remove_circle_outline
remove_circle_outline
remove_circle_outline
remove_circle_outline
remove_circle_outline
remove_circle_outline
remove_circle_outline
remove_circle_outline
remove_circle_outline
remove_circle_outline
remove_circle_outline
remove_circle_outline
remove_circle_outline
remove_circle_outline
remove_circle_outline
remove_circle_outline
remove_circle_outline
remove_circle_outline
remove_circle_outline

Article Types

Countries / Regions

remove_circle_outline
remove_circle_outline
remove_circle_outline
remove_circle_outline
remove_circle_outline
remove_circle_outline
remove_circle_outline
remove_circle_outline

Search Results (2,051)

Search Parameters:
Keywords = red complex

Order results
Result details
Results per page
Select all
Export citation of selected articles as:
16 pages, 1775 KB  
Article
Rakkyo (Allium chinense)-Derived Fructan Stimulates Collagen and Hyaluronan Synthesis in Human Dermal Fibroblasts
by Kei Tsukui, Aiko Sano, Kazumi Kamioki, Kiwamu Dohgomori, Shin-ichi Kawaguchi and Yoshihiro Tokudome
Nutrients 2026, 18(4), 649; https://doi.org/10.3390/nu18040649 - 16 Feb 2026
Abstract
Background: Fructans are fructose-based polysaccharides with diverse biological activities; however, their direct activity on skin cells remains unresolved. This study investigated the biological activity of fructan extracted from rakkyo (Allium chinense) (RF) and examined its effects on extracellular matrix (ECM) [...] Read more.
Background: Fructans are fructose-based polysaccharides with diverse biological activities; however, their direct activity on skin cells remains unresolved. This study investigated the biological activity of fructan extracted from rakkyo (Allium chinense) (RF) and examined its effects on extracellular matrix (ECM) metabolism, particularly collagen and hyaluronan synthesis, in human dermal fibroblasts. Methods: RF was prepared from fresh rakkyo bulbs by aqueous extraction, alkaline clarification, and membrane filtration. The average molecular weight and structural characteristics of RF were analyzed using size-exclusion chromatography and 13C NMR spectroscopy. Normal human dermal fibroblasts (NHDFs) were treated with RF by culturing cells in RF-supplemented medium (0.1–1.0 mg/mL). Cell viability and viable cell number were evaluated using the thiazolyl blue tetrazolium bromide and trypan blue exclusion assays, respectively. Expression of ECM-related genes was analyzed by qRT-PCR, and collagen and hyaluronan production were quantified by Sirius Red staining and ELISA. Results: RF had an average molecular weight of approximately 11,500 Da and consisted of nearly equal proportions of inulin- and levan-type fructans. RF (≤1 mg/mL) increased the number of viable cells and markedly upregulated collagen, type I, alpha 1 (COL1A1) and hyaluronic acid synthase 2 (HAS2) expression while downregulating Hyal1 expression. After 9 days of treatment, the cumulative production of type I collagen and hyaluronic acid increased by 3.8- and 1.3-fold, respectively, as compared with controls. Upregulation of lysyl oxidase (LOX) mRNA suggested enhanced collagen cross-linking, whereas MMP-1 showed only modest induction. Conclusions: Rakkyo-derived fructan directly stimulates collagen and hyaluronan synthesis in dermal fibroblasts, likely through regulation of ECM-related genes. These results suggest that rakkyo-derived fructan modulates ECM-related readouts in NHDFs under controlled in vitro conditions. Further validation in more complex skin models and in vivo studies is necessary. Full article
(This article belongs to the Section Carbohydrates)
Show Figures

Graphical abstract

18 pages, 789 KB  
Review
Phytochemistry and Application of White Mustard (Sinapis alba) in Medicine and Dentistry—A Narrative Review
by Aniela Brodzikowska, Bartłomiej Górski and Konrad Michałowski
Molecules 2026, 31(4), 674; https://doi.org/10.3390/molecules31040674 - 15 Feb 2026
Abstract
White Mustard (Sinapis alba) seeds contain glucosinolates, mainly sinigrin and sinalbin. Isothiocyanate metabolites, together with flavonoids and tocopherols, present anti-inflammatory, antimicrobial, and antioxidant activities. This narrative review is a result of a literature search in PubMed, Scopus, and Google Scholar, spanning [...] Read more.
White Mustard (Sinapis alba) seeds contain glucosinolates, mainly sinigrin and sinalbin. Isothiocyanate metabolites, together with flavonoids and tocopherols, present anti-inflammatory, antimicrobial, and antioxidant activities. This narrative review is a result of a literature search in PubMed, Scopus, and Google Scholar, spanning in vitro, in vivo. and clinical studies. The presented data highlight that mustard-derived products suppress pro-inflammatory cytokines such as TNF-α and inhibit a broad spectrum of pathogens at micromolar concentrations. In the largest (n = 113) double-blind dental trial to date, a white-mustard toothpaste reduced the mean value of Silness-Löe plaque index by −2.43 vs. −1.95 placebo and bleeding on probing by 30.6% vs. 26.8% within four weeks, while salivary Streptococcus mutans and Porphyromonas gingival colony counts decreased by 40%. A six-month follow-up study with a sinigrin-rich “Bamberka” extract confirmed these gains and selectively suppressed red-complex periopathogens. Clinical translation is limited by heterogeneous extraction methods, a lack of phytochemical standardization, and an unresolved allergenic risk linked to seed proteins Sin a 1 and Sin a 2. Mustard, therefore, emerges as a promising phytotherapeutic adjunct for controlling inflammation, infection, and oxidative stress, but widespread use awaits harmonized manufacturing guidelines, comprehensive allergological screening, and rigorously designed randomized trials benchmarked against chlorhexidine. Full article
(This article belongs to the Special Issue Bioactive Natural Products: The Potential Sources of New Drugs)
Show Figures

Figure 1

14 pages, 933 KB  
Article
Interaction of Red Cabbage Extract with Exogenous Antioxidants in ORAC Assay
by Oskar Sitarz, Grzegorz Bartosz and Izabela Sadowska-Bartosz
Int. J. Mol. Sci. 2026, 27(4), 1859; https://doi.org/10.3390/ijms27041859 - 15 Feb 2026
Abstract
Understanding interactions between antioxidants is crucial since in biological and food matrices, we are dealing with complex multi-component antioxidant systems. This study aimed to quantitatively characterize interactions of antioxidants in anthocyanin-rich aqueous red cabbage extract with several natural (ascorbic acid, gallic acid, and [...] Read more.
Understanding interactions between antioxidants is crucial since in biological and food matrices, we are dealing with complex multi-component antioxidant systems. This study aimed to quantitatively characterize interactions of antioxidants in anthocyanin-rich aqueous red cabbage extract with several natural (ascorbic acid, gallic acid, and glutathione) and synthetic (Trolox and TEMPOL) antioxidants and to determine their synergistic or antagonistic nature in the ORAC assay. Four parameters derivable from the ORAC assay (extent of fluorescence protection, lag time, fluorescence half-life t1/2, and maximum rate of fluorescence decay) were analyzed in terms of the integrated interaction coefficient (IIC), reflecting the dependence of the analyzed values on the concentration of antioxidants and the sample interaction coefficient (SIC) derived from interaction at a single set of concentrations. IIC analysis revealed synergistic interactions of Trolox with the red cabbage extract on the basis of fluorescence protection, lag time, and t1/2. Interactions of TEMPOL with the extract were antagonistic as assessed based on all parameters but the lag time. A correlation between the anodic peak and the lag time and t1/2 values was observed for the antioxidants studied. The interactions between antioxidants in complex mixtures are important as they affect the measured total antioxidant activity, which, depending on the nature of the interactions, may be lower or higher than the sum of activities of individual components. Full article
(This article belongs to the Special Issue Antioxidants: Design, Synthesis, and Mechanism of Actions)
Show Figures

Figure 1

22 pages, 5684 KB  
Article
Study on Conventional Triaxial Mechanical Properties and Energy Evolution Patterns of Red Sandstone Under Brine Erosion
by Zhonghui Zhang, Zihao Pang, Yuanmin Wang, Jiaqi Zhou, Kang Peng and Xu Liu
Water 2026, 18(4), 489; https://doi.org/10.3390/w18040489 - 14 Feb 2026
Viewed by 110
Abstract
With the increasing depletion of shallow resources, marine-based mineral resources in coastal and continental shelf areas are poised to become a new frontier for resource development. However, ions in brine solutions undergo complex water-rock interactions with rocks, affecting the engineering stability of marine-based [...] Read more.
With the increasing depletion of shallow resources, marine-based mineral resources in coastal and continental shelf areas are poised to become a new frontier for resource development. However, ions in brine solutions undergo complex water-rock interactions with rocks, affecting the engineering stability of marine-based rock masses. This study addresses engineering safety concerns arising from the long-term coupled effects of brine erosion and confining pressure on rocks during seabed mineral resource extraction. Using red sandstone as the research subject, it investigates the evolution of its mechanical properties under complex brine-erosion conditions. Experiments involved immersing red sandstone specimens in simulated seabed brine solutions for erosion cycles of 14, 21, and 35 days. Triaxial compression tests were conducted under confining pressures of 5 MPa, 10 MPa, and 15 MPa to systematically analyze the effects of erosion duration and confining pressure on rock strength, deformation, energy characteristics, and failure modes. Results indicate that brine erosion significantly reduces the strength and elastic modulus of red sandstone, but the effect is not simply linear. Instead, it follows a trend of initial slight strengthening followed by significant deterioration. During short-term erosion (21 days), some mechanical parameters slightly recovered, potentially due to temporary filling of fractures by brine ions. After long-term erosion (35 days), all mechanical properties markedly declined. This study aims to reveal the triaxial mechanical properties and energy evolution patterns of red sandstone under multi-ionic brine erosion, providing crucial experimental evidence for designing safe isolation layers and evaluating long-term stability in seabed mining. Full article
(This article belongs to the Special Issue Hydrology and Hydrodynamics Characteristics in Coastal Area)
Show Figures

Figure 1

33 pages, 8332 KB  
Article
Multi-Temporal Fusion of Sentinel-1 and Sentinel-2 Data for High-Accuracy Tree Species Identification in Subtropical Regions
by Hui Li, Caijuan Luo, Xuan Kang, Haijun Luan and Lanhui Li
Remote Sens. 2026, 18(4), 592; https://doi.org/10.3390/rs18040592 - 13 Feb 2026
Viewed by 97
Abstract
Persistent cloud cover and frequent rainfall in subtropical regions throughout the year significantly limit the applicability of optical remote sensing for tree species identification, thereby constraining dynamic forest monitoring and precise management of forest resources. To address this challenge, this study proposes a [...] Read more.
Persistent cloud cover and frequent rainfall in subtropical regions throughout the year significantly limit the applicability of optical remote sensing for tree species identification, thereby constraining dynamic forest monitoring and precise management of forest resources. To address this challenge, this study proposes a tree species identification method that integrates multi-source remote sensing temporal features. By combining multi-temporal optical imagery from Sentinel-2 and dual-polarisation Synthetic Aperture Radar (SAR) data from Sentinel-1, we constructed a comprehensive feature set that incorporates spectral, structural, and phenological attributes, including various vegetation indices, backscatter coefficients, and polarimetric decomposition parameters. Through correlation analysis and assessment of temporal feature variability, five distinct integration strategies (T1-T5) were developed to classify six typical subtropical tree species: Pinus massoniana, Pinus elliottii, Acacia, Eucalyptus grandis, Mangrove, and Other hardwoods, using a random forest classifier. The results indicate that the multi-source feature fusion approach significantly outperforms single-source models, with the T5 strategy achieving the highest overall accuracy (OA) of 95.33% and a Kappa coefficient of 0.94. The red-edge vegetation indices and SAR polarimetric features were identified as major contributors to improving the classification accuracy of hardwood species. This study demonstrates that multi-source remote sensing data fusion can effectively mitigate the spatiotemporal constraints of optical imagery, providing a viable solution and technical framework for high-accuracy remote sensing classification in complex subtropical forest environments. Full article
23 pages, 20684 KB  
Article
HaDR: Hand Instance Segmentation Using a Synthetic Multimodal Dataset Based on Domain Randomization
by Stefan Grushko, Aleš Vysocký and Jakub Chlebek
AI 2026, 7(2), 72; https://doi.org/10.3390/ai7020072 - 13 Feb 2026
Viewed by 159
Abstract
Hand localization in cluttered industrial environments remains challenging due to variations in appearance and the gap between synthetic and real-world data. Domain randomization addresses this “reality gap” by intentionally introducing randomized and unrealistic visual features in simulated scenes, encouraging neural networks to focus [...] Read more.
Hand localization in cluttered industrial environments remains challenging due to variations in appearance and the gap between synthetic and real-world data. Domain randomization addresses this “reality gap” by intentionally introducing randomized and unrealistic visual features in simulated scenes, encouraging neural networks to focus on essential domain-invariant cues. In this study, we applied domain randomization to generate a synthetic Red-Green-Blue–Depth (RGB-D) dataset for training multimodal instance segmentation models, with the aim of achieving color-agnostic hand localization in complex industrial settings. We introduce a new synthetic dataset tailored to various hand detection tasks and provide ready-to-use pretrained instance segmentation models. To enhance robustness in unstructured environments, the proposed approach employs multimodal inputs that combine color and depth information. To evaluate the contribution of each modality, we analyzed the individual and combined effects of color and depth on model performance. All evaluated models were trained exclusively on the proposed synthetic dataset. Despite the absence of real-world training data, the results demonstrate that our models outperform corresponding models trained on existing state-of-the-art datasets, achieving higher Average Precision and Probability-Based Detection Quality. Full article
Show Figures

Figure 1

20 pages, 752 KB  
Article
Contribution of Protein, Starch, and Fiber Composition to the Prediction of Dough Rheology and Baking Quality in U.S. Hard Red Spring Wheat
by Yun Zhao, Emad Karrar, Jim Peterson and Shahidul Islam
Foods 2026, 15(4), 650; https://doi.org/10.3390/foods15040650 - 11 Feb 2026
Viewed by 169
Abstract
Wheat end-product quality results from complex interactions among protein, starch, and fiber, further complicated by genetic and environmental variability, especially in commercial samples composed of multiple varieties from diverse regions. Eighteen composite samples of hard red spring wheat (HRSW) were prepared from 755 [...] Read more.
Wheat end-product quality results from complex interactions among protein, starch, and fiber, further complicated by genetic and environmental variability, especially in commercial samples composed of multiple varieties from diverse regions. Eighteen composite samples of hard red spring wheat (HRSW) were prepared from 755 field samples to simulate commercial grain blending. These composites were analyzed to evaluate the influence of flour composition on product quality. A wide range of flour compositional properties was analyzed and associated with dough and end-product quality traits, as measured by GlutoPeak, Rapid Visco Analyzer, Farinograph, Extensograph, Alveograph, and loaf baking. The results indicated that dough and bread quality are not determined by protein or gluten content alone, but that protein, starch and fiber composition and structural variations play a crucial role. Flours with higher proportions of high-molecular-weight glutenin (HMW-GS) fractions, particularly those rich in Bx and Ax subunits, exhibited greater dough resistance, mixing strength, and bread volume. In contrast, lower-performing samples were characterized by reduced HMW/LMW, polymeric/monomeric protein ratios, and HMW-Bx content. Multivariate modeling showed strong predictive performance for loaf volume (R2 > 0.860) when protein, starch and fiber quality metrics were combined with protein content. These findings provide a data-driven framework for wheat flour classification and optimizing processing formulation. Full article
Show Figures

Figure 1

19 pages, 4371 KB  
Article
Effects of Frying Temperature and Composite Spices on the Release Characteristics of Rapeseed Seasoning Oil
by Ailikemu Mulati, Yuting Yang, Xinmeng Huang, Yuanpeng Li, Aihemaitijiang Aihaiti, Jing Lu, Yuanyuan Hou and Jiayi Wang
Foods 2026, 15(4), 626; https://doi.org/10.3390/foods15040626 - 9 Feb 2026
Viewed by 112
Abstract
In Chinese cuisine, seasoning oil enhances the aroma and appearance of dishes. This study examined how processing affects flavor release in multi-ingredient oils. Volatile organic compounds (VOCs), relative odor activity value (ROAV), and variable importance projection (VIP) were used to assess flavor changes. [...] Read more.
In Chinese cuisine, seasoning oil enhances the aroma and appearance of dishes. This study examined how processing affects flavor release in multi-ingredient oils. Volatile organic compounds (VOCs), relative odor activity value (ROAV), and variable importance projection (VIP) were used to assess flavor changes. Optimal frying was 160 °C for 15 min with 11% green Sichuan peppercorn, 3% ghost pepper, 6% green onion, 0.1% bay leaf, 0.2% deseeded tsaoko, 0.5% star anise, 0.3% fennel seeds, 1.5% dried Erjingtiao chili, 5% ginger, and 2.5% red Sichuan peppercorn. Gas chromatography–ion mobility spectrometry (GC-IMS) and gas chromatography–mass spectrometry (GC-MS) analyzed heating at 150 °C, 160 °C, and 170 °C. Temperature strongly influenced VOC formation; 160 °C produced the most diverse VOCs, including aldehydes, ketones, terpenes, esters, and alcohols. Multivariate analysis identified 73 key compounds (VIP > 1) between 150 and 160 °C, but only 39 between 160 and 170 °C, indicating that high heat reduces complexity. Compounds such as 2-methylpyrazine and (E)-2-heptenal contributed caramel, nutty, buttery notes, with 2-methoxy-3-(1-methylethyl)-pyrazine as the core aroma. Frying at 160 °C balanced sweet, floral, and roasted aromas, offering guidance for precise seasoning oil flavor control. Full article
Show Figures

Figure 1

28 pages, 9628 KB  
Article
A Novel ROA-Optimized CNN-BiGRU Hybrid Network with an Attention Mechanism for Ship Fuel Consumption Prediction
by Zifei Wang, Kai Wang, Zhongwei Li, Hongzhi Liang, Shuo Yin, Qitai Ma, Diankang Zhang and Weijie Xiong
J. Mar. Sci. Eng. 2026, 14(4), 324; https://doi.org/10.3390/jmse14040324 - 7 Feb 2026
Viewed by 145
Abstract
Optimizing ship energy efficiency and advancing the green transition of the shipping industry depend on an accurate model for predicting ship fuel consumption (FC). This study builds a hybrid prediction model that combines a Convolutional Neural Network (CNN), Bidirectional Gated Recurrent Unit (BiGRU), [...] Read more.
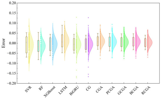
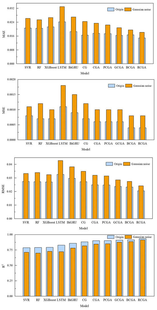
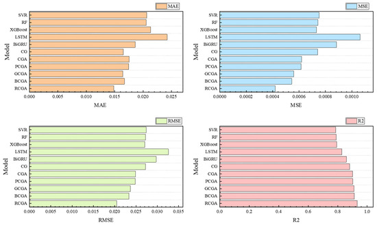
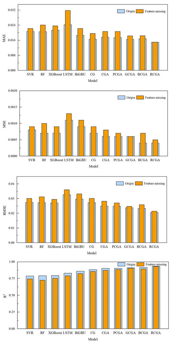
Optimizing ship energy efficiency and advancing the green transition of the shipping industry depend on an accurate model for predicting ship fuel consumption (FC). This study builds a hybrid prediction model that combines a Convolutional Neural Network (CNN), Bidirectional Gated Recurrent Unit (BiGRU), and an attention mechanism using operational data from ships. The model is tuned using the Red Kite Optimization Algorithm (ROA). First, correlations between ship navigational environmental data and operational data are analyzed, and cluster analysis is performed to select suitable input features. Subsequently, the ship FC prediction model based on ROA-CNN-BiGRU-Attention (RCGA) is developed. A case study shows that the RCGA model reaches a root mean square error (RMSE) as low as 0.0205 and an R2 value as high as 0.9330, demonstrating strong performance in dynamic shipping scenarios, with advantages in handling temporal dependencies and complex operational patterns. Moreover, the model exhibits reasonable robustness, providing some support for ship energy efficiency optimization and assisting the shipping industry in advancing low-carbon development and sustainable green transition. Full article
Show Figures

Figure 1

27 pages, 5092 KB  
Article
Cladobotryum rhodochroum sp. nov. (Hypocreales, Ascomycota): A New Fungicolous Species Revealed by Morphology, Phylogeny, and Comparative Genomics
by Anastasia C. Christinaki, Dimitrios Floudas, Antonis I. Myridakis, Zacharoula Gonou-Zagou and Vassili N. Kouvelis
J. Fungi 2026, 12(2), 117; https://doi.org/10.3390/jof12020117 - 6 Feb 2026
Viewed by 351
Abstract
Species of the ascomycetous genus Cladobotryum (Hypocreales, Hypocreaceae) are ecologically and economically important mycoparasites that cause cobweb disease in cultivated and wild mushrooms. Despite their significance as fungal pathogens and producers of bioactive metabolites, the taxonomy of Cladobotryum remains unresolved due to extensive [...] Read more.
Species of the ascomycetous genus Cladobotryum (Hypocreales, Hypocreaceae) are ecologically and economically important mycoparasites that cause cobweb disease in cultivated and wild mushrooms. Despite their significance as fungal pathogens and producers of bioactive metabolites, the taxonomy of Cladobotryum remains unresolved due to extensive morphological plasticity, complex teleomorph–anamorph connections, and the presence of cryptic species. This study employs an integrative approach combining micro- and macromorphological characterization, multi-locus phylogeny (ITS, rpb2, and tef-1a), and comparative genomics to clarify the taxonomic position of the Greek isolate Cladobotryum sp. ATHUM 6904, previously designated as an unclassified red-pigmented (URP) strain. Phylogenetic analyses demonstrated that URP strains form a distinct, well-supported clade closely related to C. tenue and C. rubrobrunnescens, yet genetically and morphologically distinct from both. Comparative genomic analyses of isolate ATHUM 6904 and the ex-type strains of C. tenue and C. rubrobrunnescens revealed pronounced divergence in transposable element content, mitochondrial genome architecture, gene order, orthologous gene composition, secondary metabolite biosynthetic potential, and overall genomic distance. Micro- and macromorphological comparisons further supported the differentiation of isolate ATHUM 6904 from both reference species. Based on the combined molecular, morphological, and genomic evidence, the Greek isolate ATHUM 6904 is described as a novel species, Cladobotryum rhodochroum sp. nov. Full article
(This article belongs to the Special Issue Ascomycota: Diversity, Taxonomy and Phylogeny, 3rd Edition)
Show Figures

Figure 1

14 pages, 2355 KB  
Article
Tracking Focal Adhesion Turnover: A Novel Reporter for FA-Phagy Flux
by Kuizhi Qu, Mengjun Dai, Ying Jiang, Sophie Liu, John P. Hagan, Louise D. McCullough, Zhen Xu and Yan-Ning Rui
Cells 2026, 15(3), 306; https://doi.org/10.3390/cells15030306 - 6 Feb 2026
Viewed by 232
Abstract
Focal adhesions (FAs) are critical multi-protein complexes regulating cell adhesion, migration, and survival, and their dysregulation contributes to cancer metastasis and vascular diseases. Despite extensive research on FA formation, little is known about FA turnover, particularly its regulation by autophagy. This study introduces [...] Read more.
Focal adhesions (FAs) are critical multi-protein complexes regulating cell adhesion, migration, and survival, and their dysregulation contributes to cancer metastasis and vascular diseases. Despite extensive research on FA formation, little is known about FA turnover, particularly its regulation by autophagy. This study introduces a novel tandem fluorescence reporter capable of tracking the entire FA-phagy flux, from autophagosome formation to lysosomal degradation. The reporter, based on a red–green fluorescence system with a lysosome-specific cleavage site, integrates seamlessly into endogenous focal adhesion complexes, demonstrating sensitivity and specificity to autophagy stimuli. Validated in multiple cell lines, the tool revealed dynamic FA-phagy responses to starvation-induced autophagy and the involvement of autophagy regulators such as mTOR and ATG genes. This versatile reporter provides a powerful tool for investigating FA-phagy mechanisms, with significant implications for cancer biology and vascular research. Full article
(This article belongs to the Special Issue Cancer Cell Signaling, Autophagy and Tumorigenesis)
Show Figures

Figure 1

22 pages, 2202 KB  
Article
Chitosan-Based Molecularly Imprinted Polymers as Functional Adsorbents: Selective m-Cresol Removal from Red Wine
by Diana Abril, Liudis L. Pino-Ramos, V. Felipe Laurie, Ricardo I. Castro, Gustavo Cabrera-Barjas, Alfredo Pereira, Evandra L. Parra, Adolfo Marican, Esteban F. Durán-Lara and Oscar Valdés
Colloids Interfaces 2026, 10(1), 18; https://doi.org/10.3390/colloids10010018 - 6 Feb 2026
Viewed by 228
Abstract
In this preliminary study, chitosan-based molecularly imprinted polymers crosslinked with glutaraldehyde were synthesized and evaluated for the selective removal of m-cresol, a volatile phenol associated with the sensory defect known as smoke taint in wine. Three formulations of chitosan-based molecularly imprinted polymers [...] Read more.
In this preliminary study, chitosan-based molecularly imprinted polymers crosslinked with glutaraldehyde were synthesized and evaluated for the selective removal of m-cresol, a volatile phenol associated with the sensory defect known as smoke taint in wine. Three formulations of chitosan-based molecularly imprinted polymers (MIP-Gs) were synthesized using glutaraldehyde as a crosslinker and m-cresol as a template. Non-imprinted polymers (NIP-Gs) served as controls. The polymers were characterized by Fourier-transform infrared spectroscopy, thermogravimetric analysis, and scanning electron microscopy, which confirmed successful crosslinking and structural differences between MIPs and NIPs. Adsorption performance was evaluated using solid-phase extraction cartridges packed with the synthesized polymers, employing a Cabernet Sauvignon wine. The MIPs exhibited higher adsorption efficiency and selectivity toward m-cresol compared to NIPs, achieving removal rates of 15% to 40%, depending on polymer formulation and analyte concentration. Molecular dynamics simulations were used to investigate polymer–analyte interactions at the molecular level, providing mechanistic insight into the preferential binding of m-cresol within the imprinted cavities. Physicochemical analyses of red wine showed that m-cresol removal occurred with minimal impact on key phenolic parameters, supporting the functional selectivity of MIPs. These results demonstrate that chitosan-based MIPs constitute a promising class of materials for selective adsorption applications in complex liquid systems. Full article
(This article belongs to the Special Issue Advances in Soft Matter Interfaces and Structures)
Show Figures

Figure 1

17 pages, 3348 KB  
Systematic Review
Phycology in Macaronesia: A PRISMA-Based Review of Research Trends, Knowledge Gaps, and Emerging Threats
by David Milla-Figueras, Ander Larrea, Ester A. Serrão and Pedro Afonso
Phycology 2026, 6(1), 24; https://doi.org/10.3390/phycology6010024 - 3 Feb 2026
Viewed by 247
Abstract
Macroalgae are essential components of marine ecosystems, supporting biodiversity, primary productivity, and the functioning of coastal habitats. In the northeast Atlantic Macaronesian archipelagos (Azores, Madeira, Selvagens, Canary Islands, Cabo Verde), they hold significant ecological and economic value and have recently emerged as key [...] Read more.
Macroalgae are essential components of marine ecosystems, supporting biodiversity, primary productivity, and the functioning of coastal habitats. In the northeast Atlantic Macaronesian archipelagos (Azores, Madeira, Selvagens, Canary Islands, Cabo Verde), they hold significant ecological and economic value and have recently emerged as key indicators of environmental change. This oceanic region faces increasing pressure from multiple stressors, including climate change, invasive species, habitat degradation, and other anthropogenic impacts, driving shifts in coastal ecosystems and the simplification of structurally complex habitats such as marine forests. To assess the current state of knowledge on Macaronesian macroalgae and identify gaps relevant to conservation and management, we conducted a systematic literature review following PRISMA guidelines. Our results show strong but uneven foundational knowledge, with the Azores and Canary Islands accounting for roughly 80% of publications. Research is dominated by fundamental studies in ecology and taxonomy, while applied research (e.g., resource exploitation, aquaculture, toxicology, and climate-change impacts) remains limited. Red algae and a few dominant orders (Ceramiales, Fucales, Dictyotales) are well represented, whereas green algae and less conspicuous taxa are understudied. Future research should expand geographic coverage, broaden taxonomic scope using molecular tools, strengthen applied research, standardize monitoring frameworks, and align scientific output with management needs. Full article
Show Figures

Figure 1

13 pages, 3668 KB  
Article
Prediction of Red Tide Occurrence Using Integrated Machine-Learning Algorithms—A Case in Hong Kong Coastal Waters
by Lifen Yao, Lei Zhu, Zeda Song, Yuxuan Wu, Xi Wang, Jiao Dong and Yulin Kang
Water 2026, 18(3), 374; https://doi.org/10.3390/w18030374 - 1 Feb 2026
Viewed by 444
Abstract
Red tides are among the most destructive marine ecological hazards worldwide, posing significant threats to fisheries, biodiversity, and human health. Therefore, it is imperative to accurately and timely predict red tide occurrences to mitigate their ecological and socioeconomic impacts. However, the prediction accuracy [...] Read more.
Red tides are among the most destructive marine ecological hazards worldwide, posing significant threats to fisheries, biodiversity, and human health. Therefore, it is imperative to accurately and timely predict red tide occurrences to mitigate their ecological and socioeconomic impacts. However, the prediction accuracy of red tides is challenged by the complex, nonlinear relationships between red tide algae and environmental factors. Using 35 years (1986–2020) of continuous in situ records of water quality and red tides in Hong Kong coastal waters, this study developed an integrated prediction framework based on five machine-learning algorithms: Random Forest, Back-Propagation Neural Network, Support Vector Machine, Gaussian Naive Bayes, and Logistic Regression. After feature selection using the Granger causality test and variance inflation factor, the random forest algorithm achieved the highest individual-model accuracy of 84.85% for predicting red tide occurrence. An integrated model combining the top three algorithms further improved performance, reaching an accuracy of 98.5%. Feature-importance analyses indicated that silicon (Si) and suspended solids (SS) are the most influential environmental predictors in the integrated model. Overall, this study provides a high-precision and interpretable framework for predicting red tide occurrence and offers new insights into the environmental mechanisms underlying red tide outbreaks. Full article
Show Figures

Figure 1

14 pages, 1464 KB  
Article
Data-Driven Contract Management at Scale: A Zero-Shot LLM Architecture for Big Data and Legal Intelligence
by Syed Omar Ali, Syed Abid Ali and Rabia Jafri
Technologies 2026, 14(2), 88; https://doi.org/10.3390/technologies14020088 - 1 Feb 2026
Viewed by 390
Abstract
The exponential growth and complexity of legal agreements pose significant Big Data challenges and strategic risks for modern organizations, often overwhelming traditional, manual contract management workflows. While AI has enhanced legal research, most current applications require extensive domain-specific fine-tuning or substantial annotated data, [...] Read more.
The exponential growth and complexity of legal agreements pose significant Big Data challenges and strategic risks for modern organizations, often overwhelming traditional, manual contract management workflows. While AI has enhanced legal research, most current applications require extensive domain-specific fine-tuning or substantial annotated data, and Large Language Models (LLMs) remain susceptible to hallucination risk. This paper presents an AI-based Agreement Management System that addresses this methodological gap and scale. The system integrates a Python 3.1.2/MySQL 9.4.0-backed centralized repository for multi-format document ingestion, a role-based Collaboration and Access Control module, and a core AI Functions module. The core contribution lies in the AI module, which leverages zero-shot learning with OpenAI’s GPT-4o and structured prompt chaining to perform advanced contractual analysis without domain-specific fine-tuning. Key functions include automated metadata extraction, executive summarization, red-flag clause detection, and a novel feature for natural-language contract modification. This approach overcomes the cost and complexity of training proprietary models, democratizing legal insight and significantly reducing operational overhead. The system was validated through real-world testing at a leading industry partner, demonstrating its effectiveness as a scalable and secure foundation for managing the high volume of legal data. This work establishes a robust proof-of-concept for future enterprise-grade enhancements, including workflow automation and predictive analytics. Full article
Show Figures

Figure 1

Back to TopTop