Sign in to use this feature.

Years

Between: -

Subjects

remove_circle_outline
remove_circle_outline
remove_circle_outline
remove_circle_outline
remove_circle_outline
remove_circle_outline
remove_circle_outline
remove_circle_outline
remove_circle_outline

Journals

Article Types

Countries / Regions

Search Results (28)

Search Parameters:
Keywords = rainbow index

Order results
Result details
Results per page
Select all
Export citation of selected articles as:
23 pages, 728 KB  
Article
Insect Meal Mixture as Sustainable Fishmeal Substitute in Rainbow Trout (Oncorhynchus mykiss) Diets
by Houda Abdallah, Sara Bellezza Oddon, Ilaria Biasato, Jacopo Pio Salvatico, Ilario Ferrocino, Christophe Trespeuch, Sébastien Crépieux, Alberto Brugiapaglia, Zaira Loiotine, Maria Teresa Capucchio, Muhammad Irfan Malik, Stefano Bagatella, Mohamed Salah Azaza and Laura Gasco
Animals 2025, 15(18), 2661; https://doi.org/10.3390/ani15182661 - 11 Sep 2025
Viewed by 820
Abstract
This study focused on the effects of including a mixture of Hermetia illucens (HI) and Tenebrio molitor (TM) meals on feed colour, growth performance, carcass yield, somatic indexes, nutrient digestibility, intestinal microbiota, histomorphometry, and fillet quality of rainbow trout (Oncorhynchus mykiss). [...] Read more.
This study focused on the effects of including a mixture of Hermetia illucens (HI) and Tenebrio molitor (TM) meals on feed colour, growth performance, carcass yield, somatic indexes, nutrient digestibility, intestinal microbiota, histomorphometry, and fillet quality of rainbow trout (Oncorhynchus mykiss). Seven diets were formulated: one control diet (CTRL) containing 15% fishmeal, two diets where the fishmeal was replaced with 100% HI (HI100) or TM (TM100) meal, and four diets containing increasing levels of a mix (1:1) of HI and TM meals, replacing 25% (MIX25), 50% (MIX50), 75% (MIX75) and 100% (MIX100) of the fishmeal. A total of 378 fish (average weight: 126 ± 1.71 g (g)) were randomly distributed in 21 experimental tanks (3 replicates/treatment and 18 fish/replicate) and fed for 84 days. A digestibility trial was also conducted to assess the apparent nutrient digestibility coefficients of the diets. Diet significantly affected pellet colour (L*, a*, b*; p < 0.001), with CTRL and MIX25 being the lightest and HI100 and MIX75 the darkest. Fillet colour, pH24h, and drip loss were significantly affected by diet (p < 0.001). The pH24h parameter, reflecting stress and freshness, was lowest in MIX25 and highest in MIX75, suggesting a synergistic effect and potential impact on shelf life. No significant differences were found in growth performance, carcass yield, somatic indexes, fillet chemical composition, intestinal microbiota, and the histopathology of internal organs among the experimental diets (p > 0.05), nor in nutrient digestibility. This study confirms that HI and TM meals, alone or combined, are viable alternatives in low-fishmeal diets for rainbow trout. Full article
(This article belongs to the Section Animal Nutrition)
Show Figures

Figure 1

15 pages, 631 KB  
Article
Monte Carlo Simulation of Pesticide Toxicity for Rainbow Trout (Oncorhynchus mykiss) Using New Criteria of Predictive Potential
by Alla P. Toropova, Andrey A. Toropov and Emilio Benfenati
J. Xenobiot. 2025, 15(3), 82; https://doi.org/10.3390/jox15030082 - 1 Jun 2025
Cited by 1 | Viewed by 1280
Abstract
Background: The toxicity of pesticides for fish in general and Rainbow Trout (Oncorhynchus mykiss) in particular is an important ecological indicator required by regulations, and it implies the use of a large number of fish. The number of animals needed [...] Read more.
Background: The toxicity of pesticides for fish in general and Rainbow Trout (Oncorhynchus mykiss) in particular is an important ecological indicator required by regulations, and it implies the use of a large number of fish. The number of animals needed would be even higher to evaluate metabolites and pesticide impurities. Considering ethical issues, the costs, and the necessary resources, the use of in silico models is often proposed. Aim of the study: We explore the use of advanced Monte Carlo methods to obtain improved results for models testing Rainbow Trout (Oncorhynchus mykiss) acute toxicity. Several versions of the stochastic Monte Carlo simulation of pesticide toxicity for Rainbow Trout, carried out using CORAL software, were studied. The set of substances was split into four subsets: active training, passive training, calibration, and validation. Modeling was repeated five times to enable better statistical evaluation. To improve the predictive potential of models, the index of ideality of correlation (IIC), correlation intensity index (CII), and coefficient of conformism of correlation prediction (CCCP) were applied. Main results and novelty: The most suitable results were observed in the case of the CCCP-based optimization for SMILES-based descriptors, achieving an R2 of 0.88 on the validation set, in all five random splits, demonstrating consistent and robust modeling performance. The relationship of information systems related to QSAR simulation and new ideas is discussed, assigning a key role to fundamental concepts like mass and energy. The study of the mentioned criteria of predictive potential during the conducted computer experiments showed that even though they are all aimed at improving the predictive potential, their values do not correlate, except for the CII and the CCCP. This means that, in general, the information impact of the considered criteria has a different nature, at least in the case of the simulation of toxicity for Rainbow Trout (Oncorhynchus mykiss). The applicability domain of the model is specific for pesticides; the software identifies potential outliers by looking at rare molecular fragments. Full article
Show Figures

Figure 1

16 pages, 2435 KB  
Article
Impact of Plant-Based Diets on Hepatosomatic Index, Circulating Globulins and Growth in Rainbow Trout (Oncorhynchus mykiss)
by Alejandro Villasante, Elías Figueroa, Karina Godoy, Patricio Dantagnan, Johana López-Polo, Rafael Opazo and Jaime Romero
Fishes 2025, 10(3), 110; https://doi.org/10.3390/fishes10030110 - 4 Mar 2025
Cited by 4 | Viewed by 1606
Abstract
Serum proteins are essential for maintaining osmotic pressure, regulating pH, transporting metabolites, and supporting immune responses. Studying the effects of plant-based diets on these proteins is crucial to understanding their impact on fish health and immune function. Methods: This study was conducted in [...] Read more.
Serum proteins are essential for maintaining osmotic pressure, regulating pH, transporting metabolites, and supporting immune responses. Studying the effects of plant-based diets on these proteins is crucial to understanding their impact on fish health and immune function. Methods: This study was conducted in a recirculation system, with rainbow trout distributed across nine tanks and fed three diets: fishmeal (control), medium plant meal (MPM; 40% of fishmeal replacement), and high plant meal (HPM; 80% of fishmeal replacement). Plasma protein and plasma glucose levels were measured at the initial and final stages, under both fasting (24 h after fast) and postprandial (6 h after fed) conditions, to assess dietary impacts. Additionally, the hepatosomatic index (HSI) was calculated at the end of the experiment to evaluate potential liver adaptations to the diets. Results: The initial protein and glucose levels were similar across all groups. However, by the end of the treatment, the fishmeal-fed group showed significantly higher total protein and globulin levels, while the albumin levels remained consistent across diet types. A significant interaction between sampling time and dietary treatment in fish reduced the clarity of dietary effects on postprandial plasma glucose levels. Furthermore, the HSI was significantly lower in fish fed the high plant meal (HPM) diet compared to the fishmeal and medium plant meal (MPM) groups, suggesting potential metabolic adaptation in response to plant-based diets. Conclusions: Replacing fishmeal with plant-based proteins in rainbow trout diets reduces total globulin and protein concentrations but leaves albumin unaffected, alongside reductions in fasting and postprandial glucose levels. The low growth and different HSI in fish fed plant-based diets highlights potential liver stress, emphasizing the need for further research to optimize sustainable aquaculture feeds while maintaining fish health and performance. Full article
Show Figures

Figure 1

19 pages, 3480 KB  
Article
Enhancement of the Storage Potential of Farmed Rainbow Trout (Oncorhynchus mykiss) by Using Algal (Cystoseira myrica and Cystoseira trinodis) Extract–Ice Combinations
by Shima Ahmadi, Parastoo Pourashouri, Bahareh Shabanpour and Santiago P. Aubourg
Foods 2025, 14(3), 371; https://doi.org/10.3390/foods14030371 - 23 Jan 2025
Cited by 1 | Viewed by 1390
Abstract
An attempt to apply extracts of the brown algae Cystoseira myrica and Cystoseira trinodis for the quality enhancement of fish was carried out. Aqueous, ethanolic, and aqueous–ethanolic (1:1, v/v) extracts of both algae were included, respectively, in the icing system [...] Read more.
An attempt to apply extracts of the brown algae Cystoseira myrica and Cystoseira trinodis for the quality enhancement of fish was carried out. Aqueous, ethanolic, and aqueous–ethanolic (1:1, v/v) extracts of both algae were included, respectively, in the icing system employed for the chilled storage of farmed rainbow trout (Oncorhynchus mykiss). Chemical and microbiological quality indices were determined for a 0–16-day storage period. At the end of the experiment, all alga-treated fish revealed lower (p < 0.05) pH values and lower (p < 0.05) lipid hydrolysis (free fatty acid assessment) and oxidation (thiobarbituric acid index) development when compared to Control samples. Regarding microbial activity development (aerobe, psychrophilic, Enterobacteriaceae, proteolytic, and lipolytic counts), lower average values were detected in most cases in fish corresponding to alga-treated batches; preservative effects were found more important at advanced storage times. In general, water and water–ethanol extracts led to higher (p < 0.05) inhibitory effects than their counterpart ethanol extracts. Higher (p < 0.05) total polyphenol values were detected in water and water–ethanol extracts of both algae than in their counterpart extracts obtained only with ethanol. A novel, simple, and practical strategy for the quality enhancement and commercialization of chilled farmed rainbow trout is proposed by employing different extracts obtained from both Cystoseira species. Full article
(This article belongs to the Special Issue Storage and Shelf-Life Assessment of Food Products)
Show Figures

Figure 1

13 pages, 800 KB  
Article
Education as a Determinant of Tolerance
by Sanghoon Lee
Soc. Sci. 2024, 13(11), 627; https://doi.org/10.3390/socsci13110627 - 20 Nov 2024
Viewed by 2019
Abstract
This study empirically examines the relationship between education and tolerance for sexual minorities. The empirical results provide support for the positive effect of education on tolerance towards sexual minorities, with this effect being particularly pronounced in high-income countries. This study makes a contribution [...] Read more.
This study empirically examines the relationship between education and tolerance for sexual minorities. The empirical results provide support for the positive effect of education on tolerance towards sexual minorities, with this effect being particularly pronounced in high-income countries. This study makes a contribution to the literature by employing robust methodologies. This empirical analysis utilizes country-level panel data and the concept of institutionalized tolerance, and employs various panel regression and machine learning techniques. Full article
Show Figures

Figure 1

15 pages, 2631 KB  
Article
Effects of Three Sources of Astaxanthin on the Growth, Coloration, and Antioxidant Capacity of Rainbow Trout (Oncorhynchus mykiss) during Long-Term Feeding
by Lei Wang, Xiaowen Long, Yaopeng Li, Yong Zhang, Weihong Sun and Xugan Wu
Fishes 2024, 9(5), 174; https://doi.org/10.3390/fishes9050174 - 10 May 2024
Cited by 7 | Viewed by 3133
Abstract
Astaxanthin is an important pigment for the rainbow trout Oncorhynchus mykiss. This study was conducted to investigate the effects of different sources of dietary astaxanthin on the growth, coloration, and antioxidant capacity of the commercial-sized O. mykiss during long-term feeding. Haematococcus pluvialis [...] Read more.
Astaxanthin is an important pigment for the rainbow trout Oncorhynchus mykiss. This study was conducted to investigate the effects of different sources of dietary astaxanthin on the growth, coloration, and antioxidant capacity of the commercial-sized O. mykiss during long-term feeding. Haematococcus pluvialis (HP), yeast Phaffia rhodozyma (PR), and synthetic astaxanthin (SA) were added to the basic feed (no astaxanthin, NA) to prepare the isonitrogenous and isolipidic experimental diets; the actual astaxanthin content values in the diets were 31.25, 32.96, and 31.50 mg/kg, respectively. Eighteen hundred O. mykiss, averaging 670 ± 20 g, were randomly divided into four groups and then fed with the experimental diet for four months. Dietary supplementation of P. rhodozyma and synthetic astaxanthin had no significant effects on the growth and tissue indexes of O. mykiss. In contrast, dietary supplementation with astaxanthin from H. pluvialis significantly increased the weight gain rate after four months of feeding. The fillet lightness of O. mykiss in the PR and SA was statistically lower than that in the NA and HP; the redness and astaxanthin content of fillet in the HP, PR, and SA groups were statistically higher than those in the NA. The total antioxidant capacity of the liver and serum in the HP was statistically higher than that in other diet groups, and a higher liver total superoxide dismutase activity was detected in the HP compared with the PR. Dietary supplementation of astaxanthin significantly increased the glutathione peroxidase activity in the liver and serum, and the highest serum glutathione peroxidase activity was detected in the HP, while dietary astaxanthin significantly decreased the malondialdehyde content in the liver and serum. Dietary supplementation of PR significantly increased the fillet ash content, while the highest fillet total lipid content was detected in the HP. Dietary astaxanthin significantly improved fillet redness and antioxidant capacity, among which H. pluvialis astaxanthin has greater effects on improving weight gain, antioxidant capacity, and fillet total lipid content. Full article
(This article belongs to the Section Nutrition and Feeding)
Show Figures

Figure 1

13 pages, 1807 KB  
Article
Skin Microbial Community Associated to Strawberry Disease in Farmed Rainbow Trout (Oncorhynchus mykiss Walbaum, 1792)
by Alda Pardo, Alejandro Villasante and Jaime Romero
Microorganisms 2024, 12(1), 217; https://doi.org/10.3390/microorganisms12010217 - 21 Jan 2024
Cited by 3 | Viewed by 2514
Abstract
Aquaculture plays a crucial role in addressing the growing global demand for food. However, diseases associated with intensive aquaculture practices, especially those affecting the skin, can present significant challenges to both fish health and the industry as a whole. Strawberry disease (SD), also [...] Read more.
Aquaculture plays a crucial role in addressing the growing global demand for food. However, diseases associated with intensive aquaculture practices, especially those affecting the skin, can present significant challenges to both fish health and the industry as a whole. Strawberry disease (SD), also known as red-mark syndrome, is a persistent and non-lethal skin condition observed in Rainbow Trout (Oncorhynchus mykiss) in the United States and various European countries. SD is a nonlethal skin condition of an unclear etiology that affects rainbow trout reared in freshwater close to the harvest period. We used a RNA-based approach to examine active microbiota in the SD skin lesions and compared to non-injured skin. Our results, based on using 16S rRNA gene next-generation sequencing, showed that the skin microbiota was dominated by the phyla Firmicutes, Proteobacteria, and Actinobacteria. The comparisons of the skin microbiota between injured and non-injured samples showed differences in the alpha diversity (Fisher index) and beta diversity metrics (ANOSIM). At the genus level, both Pseudomonas and Candidatus Midichloria were highlighted as the most abundant taxa detected in samples obtained from fish affected with strawberry diseases. In contrast, the most abundant taxa in non-injured skin were Escherichia-Shigella, Streptococcus, and Pseudoalteromonas. In conclusion, our study on SD revealed distinct differences in the microbiota composition between skin lesions and non-injured skin. This is the first description of microbiota associated with SD-injured skin samples using an RNA approach. Full article
(This article belongs to the Section Veterinary Microbiology)
Show Figures

Graphical abstract

13 pages, 1980 KB  
Article
Fecal Microbiome Analysis Distinguishes Bacterial Taxa Biomarkers Associated with Red Fillet Color in Rainbow Trout
by Ridwan O. Ahmed, Ali Ali, Tim Leeds and Mohamed Salem
Microorganisms 2023, 11(11), 2704; https://doi.org/10.3390/microorganisms11112704 - 4 Nov 2023
Cited by 1 | Viewed by 2419
Abstract
The characteristic reddish-pink fillet color of rainbow trout is an important marketing trait. The gastrointestinal microbiome is vital for host health, immunity, and nutrient balance. Host genetics play a crucial role in determining the gut microbiome, and the host–microbiome interaction impacts the host’s [...] Read more.
The characteristic reddish-pink fillet color of rainbow trout is an important marketing trait. The gastrointestinal microbiome is vital for host health, immunity, and nutrient balance. Host genetics play a crucial role in determining the gut microbiome, and the host–microbiome interaction impacts the host’s phenotypic expression. We hypothesized that fecal microbiota could be used to predict fillet color in rainbow trout. Fish were fed Astaxanthin-supplemented feed for six months, after which 16s rDNA sequencing was used to investigate the fecal microbiome composition in rainbow trout families with reddish-pink fillet coloration (red fillet group, average saturation index = 26.50 ± 2.86) compared to families with pale white fillet color (white fillet group, average saturation index = 21.21 ± 3.53). The linear discriminant analysis effect size (LEFse) tool was used to identify bacterial biomarkers associated with fillet color. The alpha diversity measure shows no difference in the red and white fillet groups. Beta diversity principal component analysis showed clustering of the samples along the white versus red fillet group. The red fillet group has enrichment (LDA score > 1.5) of taxa Leuconostoc lactis, Corynebacterium variabile, Jeotgalicoccus halotolerans, and Leucobacter chromiireducens. In contrast, the white fillet group has an enriched presence of mycoplasma, Lachnoclostridium, and Oceanobacillus indicireducens. The enriched bacterial taxa in the red fillet group have probiotic functions and can generate carotenoid pigments. Bacteria taxa enriched in the white fillet group are either commensal, parasitic, or capable of reducing indigo dye. The study identified specific bacterial biomarkers differentially abundant in fish families of divergent fillet color that could be used in genetic selection to improve feed carotenoid retention and reddish-pink fillet color. This work extends our understanding of carotenoid metabolism in rainbow trout through the interaction between gut microbiota and fillet color. Full article
(This article belongs to the Special Issue Microbe-Host Interaction in Health or Disease in Aquaculture Species)
Show Figures

Figure 1

18 pages, 2261 KB  
Article
Squalene Supplementation as a Novel to Increase PUFA Content in Fish Tissues
by Piotr Niewiadomski, Piotr Gomułka, Małgorzata Woźniak, Mariusz Szmyt, Elżbieta Ziomek, Helena Bober, Mirosław Szczepkowski, Katarzyna Palińska-Żarska, Sławomir Krejszeff and Daniel Żarski
Animals 2023, 13(16), 2600; https://doi.org/10.3390/ani13162600 - 11 Aug 2023
Cited by 3 | Viewed by 2428
Abstract
Squalene is an antioxidant that plays an essential role in fat metabolism. The study aimed to assess the effect of squalene supplied in feed on the growth performance, health status, and fatty acid profiles of muscle and liver of Siberian sturgeon, rainbow trout, [...] Read more.
Squalene is an antioxidant that plays an essential role in fat metabolism. The study aimed to assess the effect of squalene supplied in feed on the growth performance, health status, and fatty acid profiles of muscle and liver of Siberian sturgeon, rainbow trout, and Eurasian perch. The experimental feeds containing 0%, 0.5%, and 1.0% squalene were prepared for each fish species. Hematological and biochemical indices, liver histology, and fatty acid profiling of muscle and liver were analyzed. Squalene supplementation was safe for fish, and no negative influence on growth status was observed. However, changes in the values of hematological and biochemical indicators were found, including the level of triglycerides in the blood of rainbow trout, and cholesterol in the blood of Eurasian perch. The addition of squalene influences the nucleocytoplasmic index values in all fish offered feed containing 1% squalene. The retention of squalene in the liver and muscle of experimental Siberian sturgeon was observed in both 0.5% and 1.0% squalene levels of feed. The PUFA and docosahexaenoic acid increase was observed in all fish in groups with squalene addition. Dietary squalene increases the content of PUFAs in tissues of the examined species. Full article
Show Figures

Figure 1

23 pages, 1065 KB  
Article
Concentration, Life Stage, Feeding, Density, Flow, and Strain Effects on Formalin Sensitivity in Rainbow Trout (Oncorhynchus mykiss)
by Eric R. Fetherman, Brad Neuschwanger, Chris Praamsma and Tracy Davis
Animals 2023, 13(15), 2425; https://doi.org/10.3390/ani13152425 - 27 Jul 2023
Cited by 1 | Viewed by 1800
Abstract
Formalin is one of the most widely used and effective chemotherapeutic compounds for treatment of fungal infections and external parasites of fish eggs and fish. However, exposure to formalin can cause mortality in eggs and fingerlings, dependent upon the concentration used and the [...] Read more.
Formalin is one of the most widely used and effective chemotherapeutic compounds for treatment of fungal infections and external parasites of fish eggs and fish. However, exposure to formalin can cause mortality in eggs and fingerlings, dependent upon the concentration used and the rearing conditions in which fish are treated. Additionally, strains within a species can exhibit differential susceptibility to formalin. Four experiments were conducted to evaluate the differential sensitivity to formalin of four rainbow trout (Oncorhynchus mykiss) strains in both the egg and fingerling life stages. Eggs were exposed to concentrations of 1667, 2000, and 5000 ppm formalin, and sensitivity differed among the strains when formalin concentration exceeded 2000 ppm. Exposure to higher formalin concentrations (i.e., 5000 ppm) as eggs did not increase mortality when fish were re-exposed to concentrations of 0, 167, 250, or 500 ppm formalin at 77 mm total length (TL). Fish size affected formalin sensitivity, with larger fish (128 mm TL) exhibiting higher rates of mortality than fish ≤ 77 mm TL when exposed to 250 ppm formalin. The effects of crowding, feeding, flow, and density on the formalin sensitivity of 77 mm TL fish were also investigated. Mortality increased in fish crowded away from the inflow to prevent contact with formalin as it entered the tank, potentially the result of an increase in density index within the crowded tanks. Feeding fish on the day they were treated caused mortality to increase by 5.4 to 8.8% in fish exposed to 167 and 250 ppm formalin, respectively, and mortality differed by strain. Reducing flows by half resulted in doubled to quadrupled mortality, and increased densities resulted in increased mortality in some strains but not others. Hatchery managers should consider what effect rearing conditions and formalin concentrations might have on the strain of fish being treated, prior to large-scale treatment. Full article
Show Figures

Figure 1

25 pages, 3173 KB  
Article
Specific Blood Plasma Circulating miRs Are Associated with the Physiological Impact of Total Fish Meal Replacement with Soybean Meal in Diets for Rainbow Trout (Oncorhynchus mykiss)
by Francisco Javier Toledo-Solís, Ana M. Larrán, Juan B. Ortiz-Delgado, Carmen Sarasquete, Jorge Dias, Sofia Morais and Ignacio Fernández
Biology 2023, 12(7), 937; https://doi.org/10.3390/biology12070937 - 30 Jun 2023
Cited by 3 | Viewed by 2774
Abstract
High dietary SBM content is known to induce important physiological alterations, hampering its use as a major FM alternative. Rainbow trout (Oncorhynchus mykiss) juveniles were fed two experimental diets during 9 weeks: (i) a FM diet containing 12% FM; and (ii) [...] Read more.
High dietary SBM content is known to induce important physiological alterations, hampering its use as a major FM alternative. Rainbow trout (Oncorhynchus mykiss) juveniles were fed two experimental diets during 9 weeks: (i) a FM diet containing 12% FM; and (ii) a vegetable meal (VM) diet totally devoid of FM and based on SBM (26%). Fish fed the VM diet did not show reduced growth performance when compared with fish fed the FM diet. Nevertheless, fish fed the VM diet had an increased viscerosomatic index, lower apparent fat digestibility, higher aminopeptidase enzyme activity and number of villi fusions, and lower α-amylase enzyme activity and brush border integrity. Small RNA-Seq analysis identified six miRs (omy-miR-730a-5p, omy-miR-135c-5p, omy-miR-93a-3p, omy-miR-152-5p, omy-miR-133a-5p, and omy-miR-196a-3p) with higher expression in blood plasma from fish fed the VM diet. Bioinformatic prediction of target mRNAs identified several overrepresented biological processes known to be associated with high dietary SBM content (e.g., lipid metabolism, epithelial integrity disruption, and bile acid status). The present research work increases our understanding of how SBM dietary content has a physiological impact in farmed fish and suggests circulating miRs might be suitable, integrative, and less invasive biomarkers in fish. Full article
(This article belongs to the Special Issue Advances and Insights in Aquatic Physiology)
Show Figures

Figure 1

21 pages, 1097 KB  
Article
The Effect of Sodium Bicarbonate Injection on the Physico-Chemical Quality of Post-Harvest Trout
by Koray Korkmaz
Foods 2023, 12(13), 2437; https://doi.org/10.3390/foods12132437 - 21 Jun 2023
Cited by 7 | Viewed by 2025
Abstract
The muscle hardness of fish is an important parameter associated with meat quality, and the post-mortem decrease in the pH of fish tissue pH affects its physical properties. We hypothesized that maintaining a high pH in fish tissue after death would prevent protein [...] Read more.
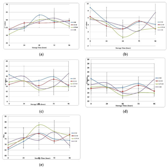
The muscle hardness of fish is an important parameter associated with meat quality, and the post-mortem decrease in the pH of fish tissue pH affects its physical properties. We hypothesized that maintaining a high pH in fish tissue after death would prevent protein denaturation and consequent textural deterioration. This study aimed to determine the effectiveness of sodium bicarbonate (SBC) injections in preventing tissue softening caused by low pH after death in trout. We injected varying molar concentrations of SBC in rainbow trout (Oncorhynchus mykiss; 0 M, 0.5 M, 0.75 M, and 1 M) after harvest, and the product quality was assessed at 0, 24, 48, 72, and 96 h of ice storage. Quality was evaluated using proximate analyses for color, pH, water holding capacity (WHC), texture profile, and rigor index. The 0 M group had the lowest pH, and the 0.75 M group had the highest pH at all time points during storage. We observed improved tissue texture during storage in fish treated with 0.75 and 1 M SBC. The texture profile analysis showed higher hardness, frangibility, and stickiness in the tail than in the other regions. These varying results can be explained by significant differences between parts of the fish and sampling point selection. We also observed the highest pH and WHC values in the groups injected with 0.75 and 1 M SBC during storage. Full article
(This article belongs to the Section Foods of Marine Origin)
Show Figures

Figure 1

19 pages, 1145 KB  
Article
Total Value Adjustment of Multi-Asset Derivatives under Multivariate CGMY Processes
by Fengyan Wu, Deng Ding, Juliang Yin, Weiguo Lu and Gangnan Yuan
Fractal Fract. 2023, 7(4), 308; https://doi.org/10.3390/fractalfract7040308 - 2 Apr 2023
Cited by 6 | Viewed by 2614
Abstract
Counterparty credit risk (CCR) is a significant risk factor that financial institutions have to consider in today’s context, and the COVID-19 pandemic and military conflicts worldwide have heightened concerns about potential default risk. In this work, we investigate the changes in the value [...] Read more.
Counterparty credit risk (CCR) is a significant risk factor that financial institutions have to consider in today’s context, and the COVID-19 pandemic and military conflicts worldwide have heightened concerns about potential default risk. In this work, we investigate the changes in the value of financial derivatives due to counterparty default risk, i.e., total value adjustment (XVA). We perform the XVA for multi-asset option based on the multivariate Carr–Geman–Madan–Yor (CGMY) processes, which can be applied to a wider range of financial derivatives, such as basket options, rainbow options, and index options. For the numerical methods, we use the Monte Carlo method in combination with the alternating direction implicit method (MC-ADI) and the two-dimensional Fourier cosine expansion method (MC-CC) to find the risk exposure and make value adjustments for multi-asset derivatives. Full article
Show Figures

Figure 1

15 pages, 3081 KB  
Article
Adult Triploid Rainbow Trout Can Adapt to Various Dietary Lipid Levels by Coordinating Metabolism in Different Tissues
by Gege Liu, Lixia Chen, Haining Tian, Guoliang Sun, Fulei Wei, Yuqiong Meng and Rui Ma
Metabolites 2023, 13(3), 396; https://doi.org/10.3390/metabo13030396 - 8 Mar 2023
Cited by 7 | Viewed by 2354
Abstract
Triploid rainbow trout can adapt to various dietary lipid levels; however, the mechanisms of systematic adaptation are not well understood. To investigate how adult triploid rainbow trout maintains lipid hemostasis under different exogenous lipid intake, a 77-day feeding trial was conducted. Diets with [...] Read more.
Triploid rainbow trout can adapt to various dietary lipid levels; however, the mechanisms of systematic adaptation are not well understood. To investigate how adult triploid rainbow trout maintains lipid hemostasis under different exogenous lipid intake, a 77-day feeding trial was conducted. Diets with lipid contents of 20%, 25%, and 30% were formulated and fed to triploid rainbow trout with an initial weight of 3 ± 0.02 kg, and they were named L20, L25, and L30 group, respectively. Results showed that the condition factor, hepatosomatic index, liver color, and plasma triglyceride were comparable among three groups (p > 0.05), whereas the value of specific growth rate, viscerosomatic index, and liver glycogen content gradually increased with increasing dietary lipid level (p < 0.05). A significantly highest value of plasma glucose and nonesterified fatty acids were found in the L30 group (p < 0.05), whereas the significantly higher content of plasma total cholesterol, high-density lipoprotein–cholesterol, and low-density lipoprotein–cholesterol was found in the L25 group compared with those in L20 group (p < 0.05). As for lipid deposition, abdominal adipose tissue, and muscle were the main lipid storage place for triploid rainbow trout when tissues’ weight is taken into consideration. Overall quantitative PCR showed that the lipid transport and glycolysis were upregulated, and fatty acids oxidative was downregulated in liver when fish were fed low lipid diets. It meant that the liver was the primary lipid metabolizing organ to low lipid diet feeding, which could switch energy supply between glycolysis and fatty acids oxidation. Fish fed with a moderate dietary lipid level diet could increase lipid uptake and promote lipogenesis in muscle. Abdominal adipose tissue could efficiently uptake excess exogenous free fatty acid through upregulating fatty acid uptake and synthesis de novo and then storing it in the form of triglyceride. Excess lipid uptake is preferentially stored in abdominal adipose tissue through coordinated fatty acid uptake and fatty acid synthesis de novo as dietary lipid levels increased. In summary, triploid rainbow trout can adapt to various dietary lipid levels by coordinating metabolism in different tissues. Full article
(This article belongs to the Special Issue Glycolipid Metabolism and Health of Aquatic Animals)
Show Figures

Figure 1

14 pages, 11191 KB  
Article
Effects of Multiple Freeze-Thaw Cycles on Protein and Lipid Oxidation, Microstructure and Quality Characteristics of Rainbow Trout (Oncorhynchus mykiss)
by Ningning Du, Yanchun Sun, Zhongxiang Chen, Xiaoli Huang, Chenhui Li, Lei Gao, Shuyan Bai, Peng Wang and Qirui Hao
Fishes 2023, 8(2), 108; https://doi.org/10.3390/fishes8020108 - 13 Feb 2023
Cited by 13 | Viewed by 5257
Abstract
Multiple freeze-thaw cycles due to temperature fluctuations irreversibly damage the muscle tissue of fish, thereby reducing their edibility. The aim of this study was to determine the effects of the number of freeze-thaw (F–T) cycles on protein and lipid oxidation, microstructure, physical index, [...] Read more.
Multiple freeze-thaw cycles due to temperature fluctuations irreversibly damage the muscle tissue of fish, thereby reducing their edibility. The aim of this study was to determine the effects of the number of freeze-thaw (F–T) cycles on protein and lipid oxidation, microstructure, physical index, and nutritional quality of rainbow trout muscle. The results showed that F–T cycles accelerated protein carbonyl formation and thiobarbituric acid reactive substances (TBARS) generation (p < 0.05), as well as increased the loss of total sulfhydryl (SH) groups (p < 0.05). Moreover, transmission electron microscope (TEM) images illustrated that the microstructure of muscle fibers was loosed and disintegrated after the third F–T cycle, causing a reduction in water holding capacity (WHC). In addition, muscles lost the intrinsic color of fresh meat after the fifth cycle, with lightness L* and yellowness b* increasing, while redness a* declined (p < 0.05). The hardness, springiness, and chewiness of muscles decreased, and the shear force first increased and then decreased after the third cycle. Furthermore, the proximate components, essential amino acids (EAAs), and total amino acids (TAAs), decreased significantly after the third cycle (p < 0.05) due to the decrease of WHC as well as protein and lipid oxidation. The results indicated that the quality of rainbow trout muscle changed after the third cycle, deteriorated seriously after the fifth cycle, and was unacceptable after the seventh cycle. Therefore, it is necessary to reduce the temperature fluctuation to less than three times during freezing. The results provided a reference for the identification and classification of frozen aquatic products. Full article
(This article belongs to the Section Physiology and Biochemistry)
Show Figures

Figure 1

Back to TopTop