Education as a Determinant of Tolerance
Abstract
1. Introduction
2. Previous Studies
3. Methods
3.1. Basic Model and Data
3.2. Panel Regression and Machine Learning
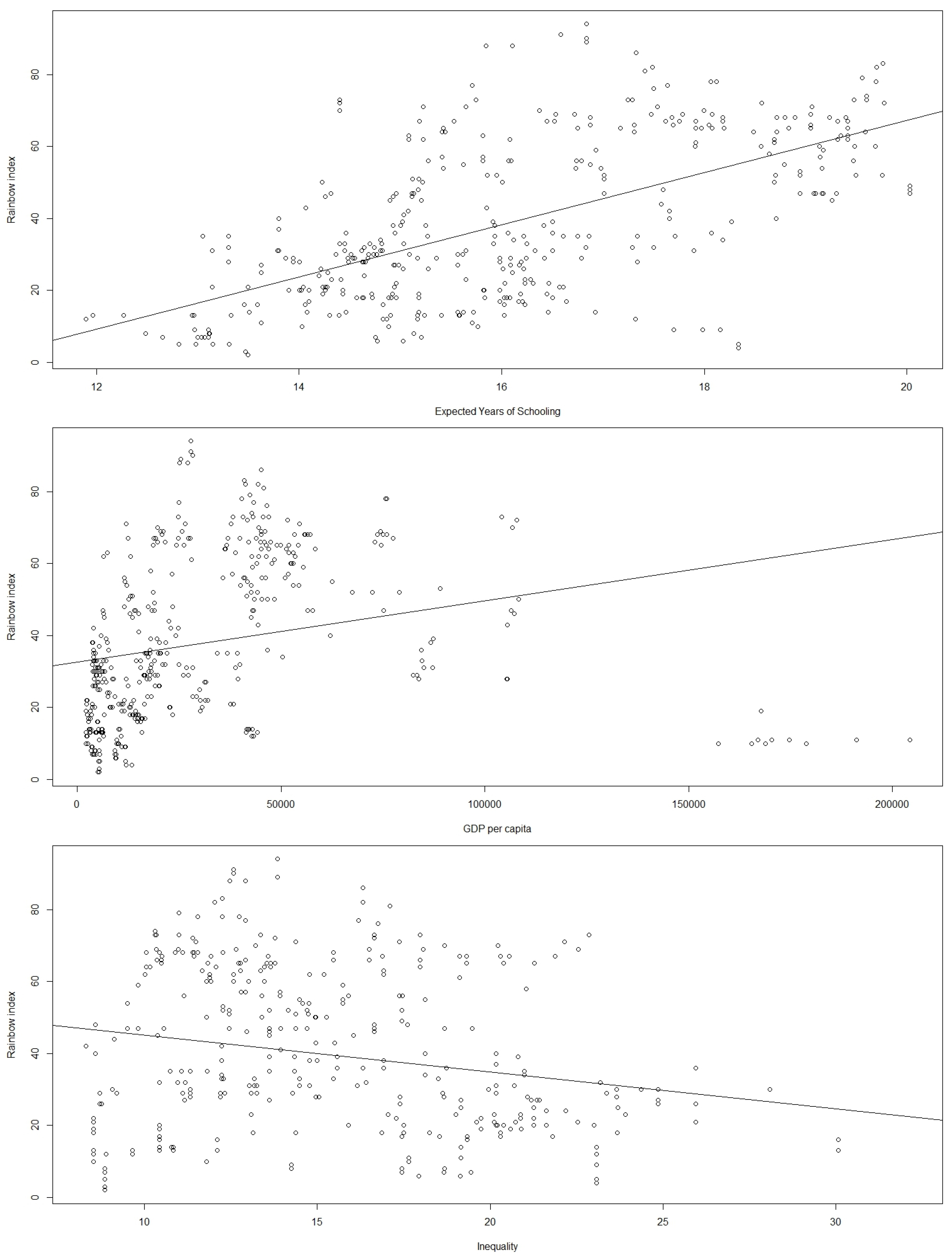
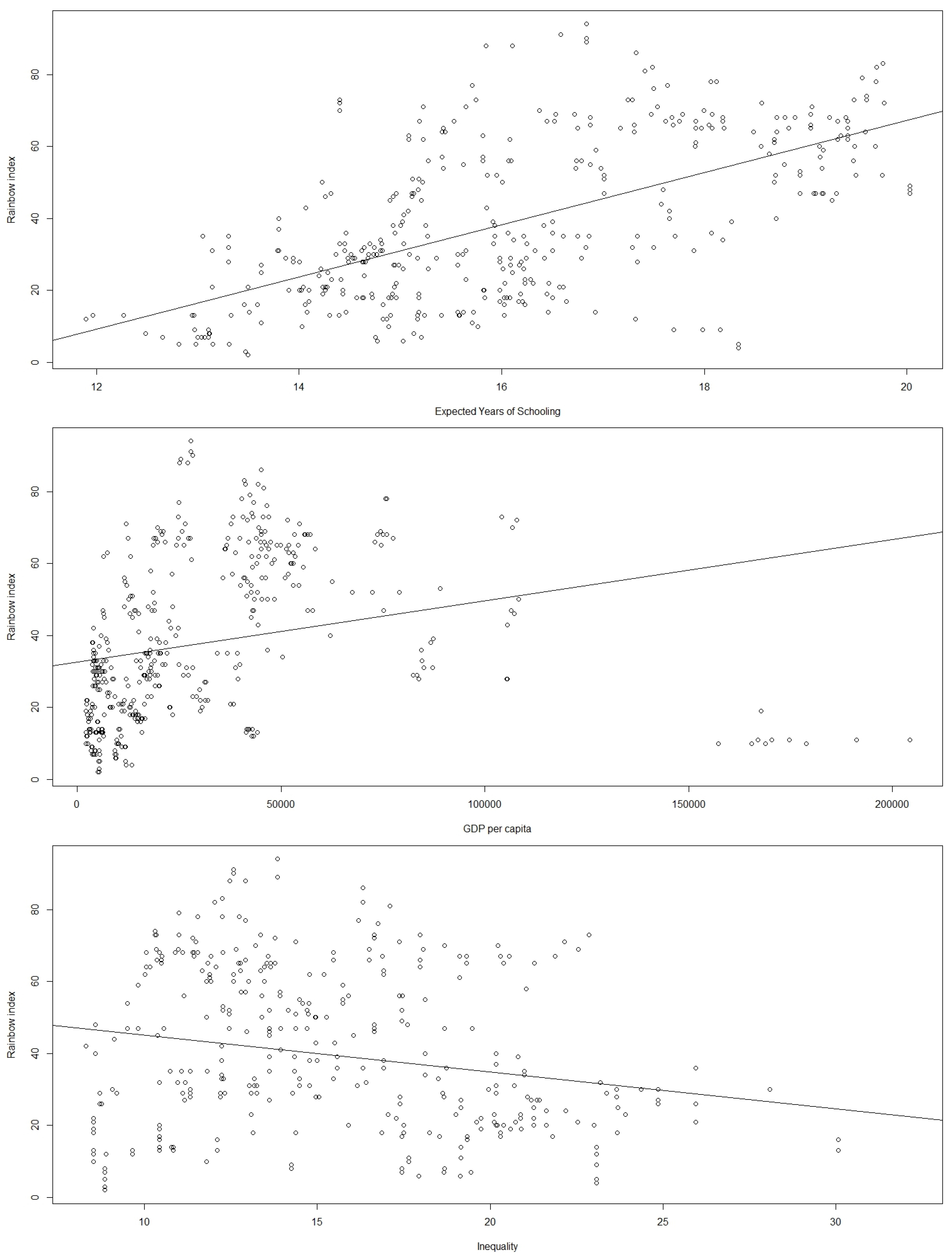
4. Results
5. Conclusions
Funding
Institutional Review Board Statement
Informed Consent Statement
Data Availability Statement
Conflicts of Interest
References
- Adamczyk, Amy, and Cassady Pitt. 2009. Shaping attitudes about homosexuality: The role of religion and cultural context. Social Science Research 38: 338–51. [Google Scholar] [CrossRef] [PubMed]
- Ahmed, Ali M., and Mats Hammarstedt. 2009. Detecting discrimination against homosexuals: Evidence from a field experiment on the internet. Economica 76: 588–97. [Google Scholar] [CrossRef]
- Ahmed, Ali M., and Mats Hammarstedt. 2010. Sexual orientation and earnings: A register data-based approach to identify homosexuals. Journal of Population Economics 23: 835–49. [Google Scholar] [CrossRef]
- Ahmed, Ali M., Lina Andersson, and Mats Hammarstedt. 2013. Are gay men and lesbians discriminated against in the hiring process? Southern Economic Journal 79: 565–85. [Google Scholar] [CrossRef]
- Allegretto, Sylvia A., and Michelle M. Arthur. 2001. An empirical analysis of homosexual/heterosexual male earnings differentials: Unmarriedand unequal? ILR Review 54: 631–46. [Google Scholar] [CrossRef]
- Andersen, Robert, and Tina Fetner. 2008. Economic inequality and intolerance: Attitudes toward homosexuality in 35 democracies. American Journal of Political Science 52: 942–58. [Google Scholar] [CrossRef]
- Arabsheibani, G. Reza, Alan Marin, and Jonathan Wadsworth. 2005. Gay pay in the UK. Economica 72: 333–47. [Google Scholar] [CrossRef]
- Arellano, Manuel. 1987. Computing robust standard errors for within-groups estimators. Oxford Bulletin of Economics and Statistics 49: 431–34. [Google Scholar] [CrossRef]
- Astin, Alexander W. 1977. Four Critical Years: Effects of College on Beliefs, Attitudes, and Knowledge. San Francisco: Jossey-Bass. [Google Scholar]
- Badgett, M. V. Lee. 1995. The wage effects of sexual orientation discrimination. ILR Review 48: 726–39. [Google Scholar] [CrossRef]
- Badgett, M. V. Lee, Christopher S. Carpenter, Maxine J. Lee, and Dario Sansone. 2024. A Review of the Economics of Sexual Orientation and Gender Identity. Journal of Economic Literature 62: 948–94. [Google Scholar] [CrossRef]
- Bangwayo-Skeete, Prosper F., and Precious Zikhali. 2011. Social tolerance for human diversity in Sub-Saharan Africa. International Journal of Social Economics 38: 516–36. [Google Scholar] [CrossRef]
- Bangwayo-Skeete, Prosper F., and Precious Zikhali. 2013. Explaining self-declared social tolerance for human diversity in latin america and the caribbean. Forum for Social Economics 42: 181–206. [Google Scholar] [CrossRef]
- Bettinger, Eric, and Robert Slonim. 2006. Using experimental economics to measure the effects of a natural educational experiment on altruism. Journal of Public Economics 90: 1625–48. [Google Scholar] [CrossRef]
- Bobo, Lawrence, and Frederick C. Licari. 1989. Education and political tolerance: Testing the effects of cognitive sophistication and target group effect. Public Opinion Quarterly 53: 285–307. [Google Scholar] [CrossRef]
- Borgonovi, Francesca. 2012. The relationship between education and levels of trust and tolerance in Europe. British Journal of Sociology 63: 146–67. [Google Scholar] [CrossRef]
- Chickering, Arthur W. 1970. Civil liberties and the experience of college. Journal of Higher Education 41: 599–606. [Google Scholar] [CrossRef]
- Choi, Kyung-Hee, Jay Paul, George Ayala, Ross Boylan, and Steven Gregorich. 2001. Experiences of discrimination and their impact on the mental health among African American, Asian and Pacific Islander, and Latino men who have sex with men. American Journal of Public Health 103: 868–74. [Google Scholar] [CrossRef]
- Cigler, Allan, and Mark R. Joslyn. 2002. The extensiveness of group membership and social capital: The impact on political tolerance attitudes. Political Research Quarterly 55: 7–25. [Google Scholar] [CrossRef]
- Coakley, Jerry, Ana-María Fuertes, and Ron Smith. 2006. Unobserved heterogeneity in panel time series models. Computational Statistics & Data Analysis 50: 2361–80. [Google Scholar]
- Corneo, Giacomo, and Olivier Jeanne. 2009. A theory of tolerance. Journal of Public Economics 93: 691–702. [Google Scholar] [CrossRef]
- Côté, Rochelle R., and Bonnie H. Erickson. 2009. Untangling the roots of tolerance: How forms of social capital shape attitudes toward ethnic minorities and immigrants. American Behavioral Scientist 52: 1664–89. [Google Scholar] [CrossRef]
- Croteau, James M. 1996. Research on the work experiences of lesbian, gay, and bisexual people: An integrative review of methodology and findings. Journal of Vocational Behavior 48: 195–209. [Google Scholar] [CrossRef]
- Davis, James A. 1975. Communism, conformity, cohorts, and categories: American tolerance in 1954 and 1972–73. American Journal of Sociology 81: 491–513. [Google Scholar] [CrossRef]
- Dixon, Jeffrey C., and Michael S. Rosenbaum. 2004. Nice to know you? testing contact, cultural, and group threat theories of anti-black and anti-hispanic stereotypes. Social Science Quarterly 85: 257–80. [Google Scholar] [CrossRef]
- Drydakis, Nick. 2009. Sexual orientation discrimination in the labour market. Labour Economics 16: 364–72. [Google Scholar] [CrossRef]
- Drydakis, Nick. 2012. Sexual orientation and labour relations: New evidence from Athens, Greece. Applied Economics 44: 2653–65. [Google Scholar] [CrossRef]
- Elmslie, Bruce, and Edinaldo Tebaldi. 2007. Sexual orientation and labor market discrimination. Journal of Labor Research 28: 436–53. [Google Scholar] [CrossRef]
- Erickson, Bonnie H., and T. A. Nosanchuk. 1998. Contact and stereotyping in a voluntary association. Bulletin of Sociological Methodology 60: 5–33. [Google Scholar] [CrossRef]
- Feldman, Kenneth A., and Theodore Mead Newcomb. 1969. The Impact of College on Students. San Francisco: Jossey-Bass. [Google Scholar]
- Finney, Henry C. 1974. Political dimensions of college impact on civil-libertarianism and the integration of political perspective: A longitudinal analysis. Sociology of Education 47: 214–50. [Google Scholar] [CrossRef]
- Frank, Jeff. 2006. Gay glass ceilings. Economica 73: 485–508. [Google Scholar] [CrossRef]
- Freitag, Markus, and Marc Bühlmann. 2009. Crafting trust: The role of political institutions in a comparative perspective. Comparative Political Studies 42: 1537–66. [Google Scholar] [CrossRef]
- Fuchs, Benedikt, Didier Sornette, and Stefan Thurner. 2014. Fractal multi-level organisation of human groups in a virtual world. Scientific Reports 4: 1–6. [Google Scholar] [CrossRef] [PubMed][Green Version]
- Gaasholt, Oystein, and Lise Togeby. 1995. Interethnic tolerance, education, and political orientation: Evidence from Denmark. Political Behavior 17: 265–85. [Google Scholar] [CrossRef]
- Gibson, James L., and Kent L. Tedin. 1988. The etiology of intolerance of homosexual politics. Social Science Quarterly 69: 587–604. [Google Scholar]
- Halkitis, Perry N., Pamela Valera, and Maria Kantzanou. 2018. Deterioration in social and economic conditions in Greece impact the health of LGBT populations: A call to action in the era of troika. Psychology of Sexual Orientation and Gender Diversity 5: 503–7. [Google Scholar] [CrossRef]
- Hässler, Tabea, Nicole Theiss Fogwell, Alejandra Gonzalez, Joel R. Anderson, and S. Atwood. 2024. Reimagining LGBTIQ+ research—Acknowledging differences across subpopulations, methods, and countries. Journal of Social Issues. forthcoming. [Google Scholar] [CrossRef]
- Hausman, Jerry A. 1978. Specification tests in econometrics. Econometrica 46: 1251–71. [Google Scholar] [CrossRef]
- Hausman, Jerry A., and William E. Taylor. 1981. Panel data and unobservable individual effects. Econometrica 49: 1377–98. [Google Scholar] [CrossRef]
- Herek, Gregory M. 1984. Beyond “homophobia”: A social psychological perspective on attitudes toward lesbians and gay men. Journal of Homosexuality 10: 1–21. [Google Scholar] [CrossRef]
- Herek, Gregory M. 2015. Beyond “homophobia”: Thinking more clearly about stigma, prejudice, and sexual orientation. American Journal of Orthopsychiatry 85: S29–S37. [Google Scholar] [CrossRef]
- Herreros, Francisco, and Henar Criado. 2008. The state and the development of social trust. International Political Science Review 29: 53–71. [Google Scholar] [CrossRef]
- Hooghe, Marc, Tim Reeskens, Dietlind Stolle, and Ann Trappers. 2009. Ethnic diversityand generalized trustin Europe: A cross-national multilevel study. Comparative Political Studies 42: 198–223. [Google Scholar] [CrossRef]
- Hoshi, Takeo, Anil Kashyap, and David Scharfstein. 1991. Corporate structure, liquidity, and investment: Evidence from Japanese industrial groups. Quarterly Journal of Economics 106: 33–60. [Google Scholar] [CrossRef]
- Huckfeldt, Robert, Paul Allen Beck, Russell J. Dalton, and Jeffrey Levine. 1995. Political environments, cohesive social groups, and the communication of public opinion. American Journal of Political Science 39: 1025–54. [Google Scholar] [CrossRef]
- Im, Kyung So, M. Hashem Pesaran, and Yongcheol Shin. 2003. Testing for unit roots in heterogeneous panels. Journal of Econometrics 115: 53–74. [Google Scholar] [CrossRef]
- Im, Kyung So, Seyng C. Ahn, Peter Schmidt, and Jeffrey M. Wooldridge. 1999. Efficient estimation of panel data models with strictly exogenous explanatory variables. Journal of Econometrics 93: 177–201. [Google Scholar] [CrossRef]
- Inglehart, Ronald. 1981. Post-materialism in an environment of insecurity. American Political Science Review 75: 880–900. [Google Scholar] [CrossRef]
- Inglehart, Ronald. 1990. Culture Shift in Advanced Industrial Society. Princeton: Princeton University Press. [Google Scholar]
- Inglehart, Ronald. 1997. Modernization and Postmodernization: Cultural, Economic, and Political Change in 43 Societies. Princeton: Princeton University Press. [Google Scholar]
- Inglehart, Ronald. 2008. Changing values among western publics from 1970 to 2006. West European Politics 31: 130–46. [Google Scholar] [CrossRef]
- Jackman, Mary R. 1973. Education and prejudice or education and response-set? American Sociological Review 38: 327–339. [Google Scholar] [CrossRef]
- Jackman, Mary R. 1978. General and applied tolerance: Does education increase commitment to racial integration? American Journal of Political Science 22: 302–24. [Google Scholar] [CrossRef]
- Jackman, Mary R., and Michael J. Muha. 1984. Education and intergroup attitudes: Moral enlightenment, superficial democratic commitment, or ideological refinement? American Sociological Review 49: 751–69. [Google Scholar] [CrossRef]
- Jaspers, Eva. 2008. Intolerance Over Time: Macro and Micro Level Questions on Attitudes Towards Euthanasia, Homosexuality and Ethnic Minorities. Nijmegen: PrintPartners Ipskamp. [Google Scholar]
- Jenssen, Anders Todal, and Heidi Engesbak. 1994. The many faces of education: Why are people with lower education more hostile towards immigrants than people with higher education? Scandinavian Journal of Educational Research 38: 33–50. [Google Scholar] [CrossRef]
- Kelley, Jonathan. 2001. Attitudes towards homosexuality in 29 nations. Australian Social Monitor 4: 15–24. [Google Scholar]
- Kingston, Paul W., Ryan Hubbard, Brent Lapp, Paul Schroeder, and Julia Wilson. 2003. Why education matters. Sociology of Education 76: 53–70. [Google Scholar] [CrossRef]
- Kirchner, Antje, Markus Freitag, and Carolin Rapp. 2011. Crafting tolerance: The role of political institutions in a comparative perspective. European Political Science Review 3: 201–27. [Google Scholar] [CrossRef]
- Kunovich, Robert M. 2004. Social structural position and prejudice: An exploration of cross-national differences in regression slopes. Social Science Research 33: 20–44. [Google Scholar] [CrossRef]
- Kursa, Miron B., and Witold R. Rudnicki. 2010. Feature selection with the boruta package. Journal of Statistical Software 36: 1–13. [Google Scholar] [CrossRef]
- Laurent, Thierry, and Ferhat Mihoubi. 2012. Sexual orientation and wage discrimination in France: The hidden side of the rainbow. Journal of Labor Research 33: 487–527. [Google Scholar] [CrossRef]
- Lawrence, David G. 1976. Procedural norms and tolerance: A reassessment. American Political Science Review 70: 80–100. [Google Scholar] [CrossRef]
- Lee, Sanghoon. 2015. Slack and innovation: Investigating the relationship in Korea. Journal of Business Research 68: 1895–905. [Google Scholar] [CrossRef]
- Lee, Sanghoon. 2021. Social tolerance and economic development. Social Indicators Research 158: 1087–103. [Google Scholar] [CrossRef]
- Lerner, Daneil. 1958. The Passing of Traditional Society: Modernizing the Middle East. New York: Free Press. [Google Scholar]
- Lewis, Clifford, and Nina Reynolds. 2021. Considerations for conducting sensitive research with the LGBTQIA+ communities. International Journal of Market Research 63: 544–51. [Google Scholar] [CrossRef]
- Lottes, Ilsa L., and Peter J. Kuriloff. 1994. The impact of college experience on political and social attitudes. Sex Roles 31: 31–54. [Google Scholar] [CrossRef]
- Lumley, Thomas, and Alan Miller. 2009. leaps: Regression Subset Selection. Technical Report, R Package Version 2.9. Available online: https://www.rdocumentation.org/packages/leaps/versions/2.9 (accessed on 18 April 2024).
- Maddala, Gangadharrao S., and Shaowen Wu. 1999. A comparative study of unit root tests with panel data and a new simple test. Oxford Bulletin of Economics and Statistics 61 Suppl. 1: 631–52. [Google Scholar] [CrossRef]
- Maykovich, Minako K. 1975. Correlates of racial prejudice. Journal of Personality and Social Psychology 32: 1014–20. [Google Scholar] [CrossRef]
- McCutcheon, Allan L. 1985. A latent class analysis of tolerance for nonconformity in the American public. Public Opinion Quarterly 49: 474–88. [Google Scholar] [CrossRef]
- Mestvirishvili, Maia, Tinatin Zurabishvili, Tamar Iakobidze, and Natia Mestvirishvili. 2017. Exploring homophobia in Tbilisi, Georgia. Journal of Homosexuality 64: 1253–82. [Google Scholar] [CrossRef]
- Mondak, Jeffery J., and Mitchell S. Sanders. 2003. Tolerance and intolerance, 1976–1998. American Journal of Political Science 47: 492–502. [Google Scholar] [CrossRef]
- Morgan, James N., and John A. Sonquist. 1963. Problems in the analysis of survey data, and a proposal. Journal of the American Statistical Association 58: 415–34. [Google Scholar] [CrossRef]
- Nunn, Clyde Z. 1973. Support of civil liberties among college students. Social Problems 20: 300–10. [Google Scholar] [CrossRef]
- Nunn, Clyde Z., Harry J. Crockett, and J. Allen Williams. 1978. Tolerance for Nonconformity. San Francisco: Jossey-Bass. [Google Scholar]
- Offe, Claus, and Susanne Fuchs. 2002. A decline of social capital? the german case. In Democracies in Flux: The Evolution of Social Capital in Contemporary Society. Edited by Robert D. Putnam. Oxford: Oxford University Press, pp. 189–244. [Google Scholar]
- Ohlander, Julianne, Jeanne Batalova, and Judith Treas. 2005. Explaining educational influences on attitudes toward homosexual relations. Social Science Research 34: 781–99. [Google Scholar] [CrossRef]
- Ozeren, Emir. 2014. Sexual orientation discrimination in the workplace: A systematic review of literature. Procedia—Social and Behavioral Sciences 109: 1203–15. [Google Scholar] [CrossRef]
- Persell, Caroline Hodges, Adam Green, and Liena Gurevich. 2001. Civil society, economic distress, and social tolerance. Sociological Forum 16: 203–30. [Google Scholar] [CrossRef]
- Pesaran, M. Hashem. 2006. Estimation and inference in large heterogeneous panels with a multifactor error structure. Econometrica 74: 967–1012. [Google Scholar] [CrossRef]
- Pesaran, M. Hashem, and Ron Smith. 1995. Estimating long-run relationships from dynamic heterogeneous panels. Journal of Econometrics 68: 79–113. [Google Scholar] [CrossRef]
- Pew Research Center. 2013. A Survey of LGBT Americans: Attitudes, Experiences and Values in Changing Times. Technical Report. Washington, DC: Pew Research Center. Available online: http://www.pewsocialtrends.org/wp-content/uploads/sites/3/2013/06/SDT_LGBT-Americans_06-2013.pdf (accessed on 18 April 2024).
- Quillian, Lincoln. 1995. Prejudice as a response to perceived group threat: Population composition and anti-immigrant and racial prejudice in Europe. American Sociological Review 60: 586–611. [Google Scholar] [CrossRef]
- Rose, Lynn. 1994. Homophobia among doctors. BMJ: British Medical Journal 308: 586–87. [Google Scholar] [CrossRef]
- Rothstein, Bo, and Dietlind Stolle. 2008. The state and social capital: An institutional theory of generalized trust. Comparative Politics 40: 441–67. [Google Scholar] [CrossRef]
- Rothstein, Bo, and Eric M. Uslaner. 2005. All for all: Equality, corruption, and social trust. World Politics 58: 41–72. [Google Scholar] [CrossRef]
- Schuman, Howard, Charlotte Steeh, Lawrence D. Bobo, and Maria Krysan. 1997. Racial Attitudes in America: Trends and Interpretations. Cambridge: Harvard University Press. [Google Scholar]
- Selvin, Hanan C., and Warren O. Hagstrom. 1960. Determinants of support for civil liberties. British Journal of Sociology 11: 51–73. [Google Scholar] [CrossRef]
- Sigelman, Lee, Timothy Bledsoe, Susan Welch, and Michael W. Combs. 1996. Making contact? black-white social interaction in an urban setting. American Journal of Sociology 101: 1306–32. [Google Scholar] [CrossRef]
- Smith, Miriam. 2019. Homophobia and homonationalism: LGBTQ law reform in Canada. Social & Legal Studies 29: 65–84. [Google Scholar] [CrossRef]
- Steffens, Melanie C., and Chrisof Wagner. 2004. Attitudes toward lesbians, gay men, bisexual women, and bisexual men in Germany. Journal of Sex Research 41: 137–49. [Google Scholar] [CrossRef] [PubMed]
- Stouffer, Samuel A. 1955. Communism, Conformity, and Civil Liberties. New York: John Wiley and Sons. [Google Scholar]
- Sullivan, Michael K. 2004. Homophobia, history, and homosexuality. Journal of Human Behavior in the Social Environment 8: 1–13. [Google Scholar] [CrossRef]
- Štulhofer, Aleksander, and Ivan Rimac. 2009. Determinants of homonegativity in Europe. Journal of Sex Research 46: 24–32. [Google Scholar] [CrossRef]
- Tschantret, Joshua. 2019. Revolutionary homophobia: Explaining state repression against sexual minorities. British Journal of Political Science X 50: 1–22. [Google Scholar] [CrossRef]
- Van de Meerendonk, Bas, and Peer Scheepers. 2004. Denial of equal civil rights for lesbians and gay men in the Netherlands, 1980–1993. Journal of Homosexuality 47: 63–80. [Google Scholar] [CrossRef]
- Van den Akker, Hanneke, Rozemarijn Van der Ploeg, and Peer Scheepers. 2013. Disapproval of homosexuality: Comparative research on individual and national determinants of disapproval of homosexuality in 20 European countries. International Journal of Public Opinion Research 25: 64–86. [Google Scholar] [CrossRef]
- Vogt, W. Paul. 1997. Tolerance and Education: Learning to Live with Diversity and Difference. London: Sage. [Google Scholar]
- Ward, James H. 2003. Setting the diversity agenda straight. Business & Professional Ethics Journal 22: 73–91. [Google Scholar]
- Weichselbaumer, Doris. 2003. Sexual orientation discrimination in hiring. Labour Economics 10: 629–42. [Google Scholar] [CrossRef]
- Weinberg, George. 1972. Society and the Healthy Homosexual. New York: St. Martin’s Press. [Google Scholar]
- White, Halbert. 1980. A heteroskedasticity-consistent covariance matrix estimator and a direct test for heteroskedasticity. Econometrica 48: 817–38. [Google Scholar] [CrossRef]
- Williams, J. Allen, Jr., Clyde Z. Nunn, and Louis St. Peter. 1976. Origins of tolerance: Findings from a replication of Stouffer’s communism, conformity, and civil liberties. Social Forces 55: 394–408. [Google Scholar] [CrossRef][Green Version]


| Variable | Full | Low Income | High Income | ||||||||
|---|---|---|---|---|---|---|---|---|---|---|---|
| Median | Mean | s.d. | Median | Mean | s.d. | Median | Mean | s.d. | |||
| rainbow | 32.00 | 37.49 | 21.98 | 22.50 | 24.82 | 14.15 | 54.50 | 50.57 | 20.96 | ||
| eys | 15.81 | 15.99 | 1.84 | 14.95 | 15.07 | 1.31 | 16.98 | 16.99 | 1.82 | ||
| ln(gdp) | 9.83 | 9.80 | 1.04 | 8.86 | 8.92 | 0.60 | 10.67 | 10.68 | 0.52 | ||
| ineq | 14.48 | 15.53 | 4.73 | 17.43 | 16.88 | 5.36 | 13.46 | 14.07 | 3.40 | ||
| Full Sample | Split Samples | ||||||||
|---|---|---|---|---|---|---|---|---|---|
| Linear | Quadratic | Low Income | High Income | ||||||
| eyst | 7.25 *** | 3.48 *** | 12.06 | 5.54 | 2.49 *** | 0.65 | 5.39 *** | 4.80 *** | |
| (15.91) | (5.76) | (1.65) | (0.70) | (3.38) | (0.71) | (8.72) | (5.76) | ||
| −0.14 | −0.06 | ||||||||
| (−0.66) | (−0.26) | ||||||||
| ln(gdp)t | 10.29 *** | 10.24 *** | 6.71 ** | 3.44 | |||||
| (9.34) | (9.12) | (3.30) | (1.33) | ||||||
| ineqt | −0.24 | −0.24 | −0.03 | 0.37 | |||||
| (−1.36) | (−1.38) | (−0.20) | (0.98) | ||||||
| 0.37 | 0.48 | 0.37 | 0.48 | 0.05 | 0.10 | 0.27 | 0.17 | ||
| Full Sample | Split Samples | ||||||||
|---|---|---|---|---|---|---|---|---|---|
| Fixed Effects | Random Effects | Low Income | High Income | ||||||
| 3.45 *** | 3.55 *** | 4.36 *** | 3.52 *** | 1.95 * | 2.04 * | 5.43 *** | 4.83 *** | ||
| (4.78) | (4.63) | (6.85) | (4.97) | (2.15) | (2.15) | (5.43) | (4.11) | ||
| 2.66 | 8.69 *** | −1.93 | 15.80 * | ||||||
| (0.62) | (3.90) | (−0.55) | (2.54) | ||||||
| 0.25 | 0.25 | −0.01 | 1.32 ** | ||||||
| (1.22) | (1.34) | (−0.05) | (3.05) | ||||||
| 0.05 | 0.05 | 0.08 | 0.12 | 0.07 | 0.08 | 0.09 | 0.15 | ||
| Full Sample | Split Samples | ||||||||
|---|---|---|---|---|---|---|---|---|---|
| Mean Groups | FGLS | Low Income | High Income | ||||||
| 5.99 * | 6.60 ** | 4.74 *** | 1.58 ** | 2.14 * | 0.39 | 4.12 *** | 3.07 ** | ||
| (2.05) | (2.75) | (6.69) | (2.77) | (2.30) | (0.38) | (4.83) | (2.98) | ||
| 1.65 | 14.17 *** | 6.27 * | 5.55 | ||||||
| (0.11) | (9.54) | (2.21) | (1.80) | ||||||
| 0.50 | −0.02 | 0.03 | 0.36 | ||||||
| (1.11) | (−0.34) | (0.28) | (1.61) | ||||||
| 0.95 | 0.98 | 0.31 | 0.45 | 0.04 | 0.08 | 0.23 | 0.13 | ||
| Boruta | Regsubsets | |||||||||
|---|---|---|---|---|---|---|---|---|---|---|
| Mean | Median | Min. | Max. | Decision | 1 | 2 | 3 | Coef. | ||
| eys | 35.33 | 35.33 | 33.20 | 37.51 | confirmed | * | * | 3.48 | ||
| ln(gdp) | 48.05 | 48.63 | 45.32 | 51.46 | confirmed | * | * | * | 10.29 | |
| ineq | 26.09 | 26.05 | 24.68 | 27.63 | confirmed | * | −0.24 | |||
| 0.48 | ||||||||||
Disclaimer/Publisher’s Note: The statements, opinions and data contained in all publications are solely those of the individual author(s) and contributor(s) and not of MDPI and/or the editor(s). MDPI and/or the editor(s) disclaim responsibility for any injury to people or property resulting from any ideas, methods, instructions or products referred to in the content. |
© 2024 by the author. Licensee MDPI, Basel, Switzerland. This article is an open access article distributed under the terms and conditions of the Creative Commons Attribution (CC BY) license (https://creativecommons.org/licenses/by/4.0/).
Share and Cite
Lee, S. Education as a Determinant of Tolerance. Soc. Sci. 2024, 13, 627. https://doi.org/10.3390/socsci13110627
Lee S. Education as a Determinant of Tolerance. Social Sciences. 2024; 13(11):627. https://doi.org/10.3390/socsci13110627
Chicago/Turabian StyleLee, Sanghoon. 2024. "Education as a Determinant of Tolerance" Social Sciences 13, no. 11: 627. https://doi.org/10.3390/socsci13110627
APA StyleLee, S. (2024). Education as a Determinant of Tolerance. Social Sciences, 13(11), 627. https://doi.org/10.3390/socsci13110627

