Sign in to use this feature.

Years

Between: -

Subjects

remove_circle_outline
remove_circle_outline
remove_circle_outline
remove_circle_outline
remove_circle_outline
remove_circle_outline
remove_circle_outline
remove_circle_outline
remove_circle_outline

Journals

remove_circle_outline
remove_circle_outline
remove_circle_outline
remove_circle_outline
remove_circle_outline
remove_circle_outline
remove_circle_outline
remove_circle_outline
remove_circle_outline
remove_circle_outline
remove_circle_outline
remove_circle_outline
remove_circle_outline
remove_circle_outline
remove_circle_outline

Article Types

Countries / Regions

remove_circle_outline
remove_circle_outline
remove_circle_outline
remove_circle_outline
remove_circle_outline

Search Results (740)

Search Parameters:
Keywords = radiological parameters

Order results
Result details
Results per page
Select all
Export citation of selected articles as:
15 pages, 912 KB  
Article
Obstructive Sleep Apnea After Supracricoid Laryngeal Surgery (OPHL II): A Monocentric Prospective Pilot Study
by Massimo Mesolella, Salvatore Allosso, Fabio Perrotta, Carlo Iadevaia, Carmela Cirillo, Nicola Serra, Pasquale Capriglione, Martina Ricciardiello, Anna Leoni and Anna Rita Fetoni
Cancers 2026, 18(8), 1212; https://doi.org/10.3390/cancers18081212 - 10 Apr 2026
Viewed by 34
Abstract
Background/Objectives: Obstructive sleep apnea (OSA) is increasingly observed in patients undergoing supracricoid laryngeal surgery; however, the impact of postoperative anatomical changes on sleep-disordered breathing remains insufficiently characterized. This pilot study aimed to assess the incidence and severity of OSA after Open Partial [...] Read more.
Background/Objectives: Obstructive sleep apnea (OSA) is increasingly observed in patients undergoing supracricoid laryngeal surgery; however, the impact of postoperative anatomical changes on sleep-disordered breathing remains insufficiently characterized. This pilot study aimed to assess the incidence and severity of OSA after Open Partial Horizontal Laryngectomy type II (OPHL II) and to evaluate correlations between polysomnographic parameters and radiologic measurements of the neolarynx. Methods: A prospective observational cohort study was conducted on ten patients who underwent OPHL II between 2019 and 2024 and were evaluated at least one year postoperatively. The sample size was determined using a conservative estimate appropriate for a pilot prospective study, which required a long postoperative follow-up period of at least one year. All patients completed Stop-Bang, Berlin, and Epworth questionnaires and underwent overnight polysomnography. Cervical CT scans were used to measure airway length to the vocal cords (ALVC), supralaryngeal tract horizontal (SVTH) and vertical (SVTV) segments, and the base-of-tongue–to–cervical-body distance (BTCB). Results: OSA was detected in all patients: 40% mild, 30% moderate, and 30% severe. Mean AHI was 25.5 ± 18.9 events/h, and OSA severity strongly correlated with AHI (rho = 0.94; p < 0.0001). Among radiologic parameters, SVTV showed a positive correlation with OSA severity (rho = 0.82; p = 0.0035), while BTCB demonstrated a significant negative correlation (rho = −0.71; p = 0.0207). No significant associations were found for ALVC or SVTH. Conclusions: Supracricoid laryngectomy produces anatomical changes that predispose patients to OSA. Radiologic metrics—particularly SVTV and BTCB—appear to be meaningful predictors of OSA severity. A multidisciplinary approach is essential for early diagnosis and management. Due to the small number of patients enrolled larger multicenter studies are needed to confirm these findings and define radiologic criteria associated with postoperative OSA. Full article
(This article belongs to the Special Issue Targeted Therapy in Head and Neck Cancer)
Show Figures

Figure 1

16 pages, 1054 KB  
Article
The Prognostic Impact of the Ki-67 Proliferation Index in Patients with Surgically Treated Spinal Metastases
by Saif-Eldin Abedellatif, Marija Janjic, Logman Khalafov, Harun Asoglu, Juliane Dittmer, Muriel Heimann, Mohammed Jaber, Haitham Alenezi, Marieta Ioana Toma, Matthias Schneider, Hartmut Vatter, Motaz Hamed and Mohammed Banat
Cancers 2026, 18(8), 1210; https://doi.org/10.3390/cancers18081210 - 10 Apr 2026
Viewed by 63
Abstract
Background: The prognostic assessment of patients with spinal metastases is primarily based on clinical and radiological parameters. Biological tumor characteristics such as the proliferation marker Ki-67 have prognostic relevance in various metastatic settings. This study aimed to evaluate the prognostic impact of the [...] Read more.
Background: The prognostic assessment of patients with spinal metastases is primarily based on clinical and radiological parameters. Biological tumor characteristics such as the proliferation marker Ki-67 have prognostic relevance in various metastatic settings. This study aimed to evaluate the prognostic impact of the Ki-67 proliferation index on survival outcomes in patients undergoing surgery for spinal metastases. Methods: We included 166 patients who underwent surgical treatment for spinal metastases at our university clinic between 2015 and 2024. Clinical, functional, tumor-related, and perioperative variables were collected. Receiver operating characteristic (ROC) analysis was performed to evaluate the discriminatory ability of Ki-67, and comparisons were made between patient groups according to Ki-67 expression (≤20% vs. >20%). Results: Based on ROC analysis, Ki-67 demonstrated a moderate but significant predictive ability for 1-year mortality (area under the curve [AUC]: 0.69, p = 0.001). Patients with a Ki-67 index of >20% showed a significantly shorter overall survival than those with a lower Ki-67 index of ≤20% (median overall survival: 5.0 vs. 14.5 months, p < 0.001). One-year mortality was significantly higher in the high Ki-67 group (78.9% vs. 41.8%, p = 0.001). High Ki-67 expression was associated with more aggressive tumor characteristics but was not associated with increased perioperative morbidity. Conclusions: The Ki-67 proliferation index is a significant prognostic biomarker in surgically treated patients with spinal metastases. A Ki-67 index threshold of 20% identifies patients at increased risk of early mortality and significantly reduced overall survival. Full article
(This article belongs to the Special Issue Cancer Metastasis in 2025–2026)
Show Figures

Graphical abstract

14 pages, 3681 KB  
Article
Total Hip Arthroplasty with Subtrochanteric Femoral Shortening Osteotomy for Crowe Type IV Post-Dysplastic Hip Osteoarthritis: Clinical and Radiological Outcomes
by Marek Rovnak, Marian Melisik, Maros Hrubina, Jozef Cabala, Juraj Cabala, Martin Feranec and Zoltan Cibula
J. Clin. Med. 2026, 15(7), 2685; https://doi.org/10.3390/jcm15072685 - 2 Apr 2026
Viewed by 272
Abstract
Background: Surgical management of adult patients with post-dysplastic coxarthrosis using total hip arthroplasty is technically demanding and carries an increased risk of complications. In cases of high iliac dislocation classified as Crowe type IV, restoring the acetabular component to the anatomical hip centre [...] Read more.
Background: Surgical management of adult patients with post-dysplastic coxarthrosis using total hip arthroplasty is technically demanding and carries an increased risk of complications. In cases of high iliac dislocation classified as Crowe type IV, restoring the acetabular component to the anatomical hip centre often requires femoral shortening osteotomy to enable safe reduction in the prosthetic joint. Nevertheless, long-term evidence on functional outcomes and prosthesis survival with this approach is limited. Methods: A retrospective cohort study included 19 patients with 22 cases of Crowe type IV post-dysplastic hip osteoarthritis treated with uncemented total hip arthroplasty (Pinnacle/S-ROM, DePuy, Warsaw, IN, USA) combined with transverse subtrochanteric femoral shortening osteotomy. Patients underwent serial clinical follow-up, including assessment of range of motion, measurement of limb-length discrepancy, and functional evaluation using the Harris Hip Score and the WOMAC questionnaire. Radiological assessment included evaluation of osteotomy union, implant positioning, and osteolysis on standardized radiographs. Vertical distances of the centre of rotation (CR), the tip of the greater trochanter (GT), and the tip of the lesser trochanter (LT) from both reference lines were measured bilaterally, and inter-side differences were calculated. The reference lines consisted of the line connecting the inferior margins of the ischial bones and the teardrop (TD) line. Results: All osteotomies united at a mean of 5.57 months, with a mean follow-up of 129 months. Mean limb-length discrepancy decreased from 5.27 cm to 1.5 cm, and mean hip flexion improved from 82.9° to 106°. Functional outcomes improved significantly, with mean WOMAC increasing from 55.4 to 80.1 (p < 0.001) and mean Harris Hip Score from 49.8 to 84.66 at up to 3 years of follow-up (p < 0.001). Osteotomy length correlated strongly with lesser trochanter–teardrop distance (p = 0.00000048). Complications included distal femoral fissure (27.3%) and revision (18%), with no infection or permanent neurological deficit. Conclusions: Total hip arthroplasty combined with subtrochanteric femoral shortening osteotomy for Crowe type IV post-dysplastic hip osteoarthritis appears to be a feasible and effective procedure in an experienced centre, providing reliable osteotomy healing and significant early functional improvement that is sustained over time. Limb-length discrepancy was reduced and satisfactory biomechanical restoration was achieved, with an acceptable complication profile and implant survival of 81.3% at long-term follow-up. The LT–TD parameter was identified as a potential predictor of osteotomy length, enabling the proposal of a preoperative planning equation. However, given the limited sample size and lack of validation, these findings should be interpreted cautiously. Further studies are needed to confirm their broader applicability. Full article
(This article belongs to the Section Orthopedics)
Show Figures

Figure 1

11 pages, 1667 KB  
Case Report
Diffuse Large B-Cell Lymphoma Arising from Cauda Equina: A Rare Case Report and Review of the Literature
by Yuma Terada, Takafumi Yayama, Akira Nakamura, Kanji Mori, Narihito Kodama, Tomohiro Mimura, Kosei Ando, Kosuke Kumagai, Yoshinori Takemura and Shinji Imai
Diseases 2026, 14(4), 129; https://doi.org/10.3390/diseases14040129 - 2 Apr 2026
Viewed by 289
Abstract
Background: Malignant lymphoma is the most common hematological malignancy; however, primary central nervous system lymphoma accounts for only a small percentage of non-Hodgkin lymphoma (NHL). Among these, primary cauda equina lymphoma (CEL) is extremely uncommon. Its rarity and atypical clinical presentation often make [...] Read more.
Background: Malignant lymphoma is the most common hematological malignancy; however, primary central nervous system lymphoma accounts for only a small percentage of non-Hodgkin lymphoma (NHL). Among these, primary cauda equina lymphoma (CEL) is extremely uncommon. Its rarity and atypical clinical presentation often make diagnosis challenging. Case Presentation: An 80-year-old man presented with progressive gait disturbance, lower-extremity weakness, and numbness. MRI revealed diffuse swelling and homogeneous gadolinium enhancement of the cauda equina at T12–L1; additionally, CSF cytology identified malignant lymphocytes. Open biopsy confirmed a diagnosis of diffuse large B-cell lymphoma. At diagnosis, the patient was classified as Ann Arbor stage IV, and the clinical parameters corresponded to a high-risk International Prognostic Index (IPI) category. The patient received five courses of immunochemotherapy with rituximab, methotrexate, vincristine, and procarbazine (R-MPV), resulting in marked radiological improvement and functional recovery, achieving a complete response. However, consolidation therapy was discontinued as the patient did not wish to continue. Unfortunately, intracranial relapse occurred four months later, and the patient ultimately succumbed to infectious complications. Only 29 cases of primary CEL have been reported. For all cases, a biopsy with histopathological examination is required for a definitive diagnosis. Currently, combined chemotherapy and radiotherapy are considered the standard treatment. This case was diagnosed through nerve biopsy with cauda equina at T12 to L1 levels, and immunochemotherapy successfully reduced the lesion while improving lower extremity function. Conclusions: Despite the considerable burden on patients, nerve biopsy is necessary for primary CEL to obtain a diagnosis and an early therapeutic approach for both neurological and vital prognoses. Full article
(This article belongs to the Section Oncology)
Show Figures

Figure 1

13 pages, 2794 KB  
Article
Longitudinal Assessment of Hematologic and Immunonutritional Biomarkers from Treatment Initiation to Progression in Metastatic Colorectal Cancer
by Ljiljana Mayer, Ljubica Vazdar, Ana Tečić Vuger, Laura Mayer, Iva Andrašek, Sanja Langer, Ines Sever, Zvjezdana Špacir Prskalo, Milica Vrbančić, Mihaela Gaće and Robert Šeparović
Biomedicines 2026, 14(4), 799; https://doi.org/10.3390/biomedicines14040799 - 1 Apr 2026
Viewed by 250
Abstract
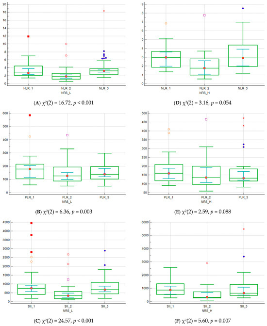
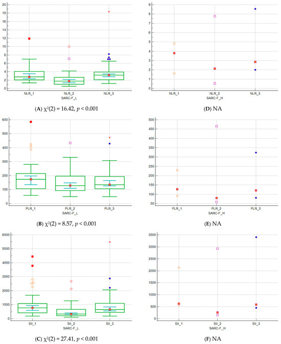
Background: Systemic inflammatory indices such as the neutrophil-to-lymphocyte ratio (NLR), platelet-to-lymphocyte ratio (PLR), and systemic immune-inflammation index (SII) have demonstrated prognostic relevance in metastatic colorectal cancer (mCRC). However, most available evidence relies on single baseline measurements, while the longitudinal dynamics of these [...] Read more.
Background: Systemic inflammatory indices such as the neutrophil-to-lymphocyte ratio (NLR), platelet-to-lymphocyte ratio (PLR), and systemic immune-inflammation index (SII) have demonstrated prognostic relevance in metastatic colorectal cancer (mCRC). However, most available evidence relies on single baseline measurements, while the longitudinal dynamics of these biomarkers in relation to immunonutritional status remain insufficiently explored. Methods: This retrospective longitudinal study included 86 patients with previously untreated mCRC receiving first-line chemo-biological therapy. NLR, PLR, and SII were assessed at three predefined time points: before treatment initiation, after completion of induction therapy, and at radiologically confirmed disease progression. Nutritional and sarcopenia risk were evaluated using the NRS-2002 and SARC-F tools. Longitudinal differences were analyzed using the Friedman test with post hoc comparisons. Results: In nutritionally preserved patients, significant longitudinal changes were observed for NLR (χ2(2) = 16.72, p < 0.001), PLR (χ2(2) = 6.36, p = 0.003), and SII (χ2(2) = 24.57, p < 0.001), characterized by a marked decline following induction therapy and re-elevation at disease progression. In high nutritional risk patients, significant dynamics were observed only for SII (χ2(2) = 5.60, p = 0.007). Similarly, in the low SARC-F subgroup, all three indices demonstrated significant modulation over time, whereas no statistical analysis was feasible in the high SARC-F subgroup due to limited sample size. Among the evaluated parameters, SII showed the most consistent and pronounced longitudinal variation. Conclusions: The clinical value of inflammatory hematologic indices in mCRC appears to derive primarily from their longitudinal dynamics rather than single absolute measurements. SII, in particular, may serve as a marker of therapy-induced modulation of systemic inflammation, especially in patients with preserved immunonutritional reserve. Integration of dynamic inflammatory indices into routine clinical monitoring could enhance early identification of biological progression and improve risk stratification in mCRC. Full article
(This article belongs to the Section Cancer Biology and Oncology)
Show Figures

Figure 1

12 pages, 1941 KB  
Article
Long-Term Results of Medial Fixed-Bearing Unicompartmental Knee Arthroplasty with Miller-Galante Prosthesis: A Minimum 10-Year Follow-Up Study
by Sumin Lim, Tae Hun Kim, Do Young Park, Hyun Il Choi and Jun Young Chung
Medicina 2026, 62(4), 663; https://doi.org/10.3390/medicina62040663 - 31 Mar 2026
Viewed by 230
Abstract
Background and Objectives: Medial unicompartmental knee arthroplasty (UKA) has emerged as an effective surgical option for isolated medial compartment osteoarthritis (OA), offering advantages in bone preservation, knee kinematics, and postoperative recovery compared with total knee arthroplasty (TKA). Although numerous studies have evaluated [...] Read more.
Background and Objectives: Medial unicompartmental knee arthroplasty (UKA) has emerged as an effective surgical option for isolated medial compartment osteoarthritis (OA), offering advantages in bone preservation, knee kinematics, and postoperative recovery compared with total knee arthroplasty (TKA). Although numerous studies have evaluated the mid- to long-term outcomes of UKA, reports focusing on cohorts with follow-up periods exceeding 10 years remain relatively limited. The purpose of this study was to analyze the long-term clinical and radiological results of medial fixed-bearing UKA using the Miller-Galante prosthesis. Methods: Sixty-eight patients who underwent UKA at a single institution with at least 10 years of follow-up were retrospectively reviewed. Clinical outcomes were assessed using the Western Ontario and McMaster Universities Osteoarthritis Index (WOMAC) score and knee range of motion (ROM). Radiological parameters including the hip-knee-ankle axis angle (HKA) and osteoarthritis (OA) grade using the Kellgren-Lawrence (K-L) grading system were evaluated. Implant survivorship was evaluated using Kaplan–Meier survival analysis. Results: A total of 68 patients were included with a mean age of 56.8 ± 7.5 years at surgery and a mean follow-up of 170.9 ± 37.3 months. Significant improvement in the WOMAC score was observed from 48.9 ± 17.2 preoperatively to 23.8 ± 27.7 at final follow-up (p = 0.002). The cumulative survival rates were 97.1% at 10 years and 84.8% at 15 years with conversion to total knee arthroplasty as the endpoint. Significant improvement in the HKA was observed from 172.5° ± 4.4° to 174.3° ± 4.8° postoperatively (p = 0.002), though residual varus alignment persisted. Progressive OA was observed in the lateral tibiofemoral and patellofemoral compartments (both p < 0.001) but showed no correlation with the WOMAC score. The failure group showed trends toward higher body mass index (BMI) and smaller preoperative HKA angle compared to the non-failure group. Conclusions: The long-term outcomes of medial fixed-bearing UKA using the Miller–Galante prosthesis were generally favorable, with significant functional improvement and acceptable implant survivorship. Although overall varus alignment was corrected, some residual varus deformity remained, and OA progression was observed in the lateral tibiofemoral and patellofemoral compartments over time. However, given the retrospective design and limited sample size, these findings should be interpreted with caution. Full article
(This article belongs to the Special Issue Recent Advances and Future Prospects in Knee Surgery)
Show Figures

Figure 1

15 pages, 857 KB  
Article
Comparative Radiologic Outcomes of Romosozumab and Teriparatide in Osteoporotic Vertebral Fractures
by Jun-Seok Lee, Geon-U Kim, Ho-Young Jung, Young-Hoon Kim, Sang-Il Kim, Sangjun Park, Young-Yul Kim and Hyung-Youl Park
J. Clin. Med. 2026, 15(6), 2349; https://doi.org/10.3390/jcm15062349 - 19 Mar 2026
Viewed by 482
Abstract
Background/Objectives: Osteoporotic vertebral fractures (OVFs) are frequently associated with progressive kyphotic deformity and vertebral height loss, adversely affecting spinal alignment and function. Although romosozumab and teriparatide are established anabolic therapies, comparative data on their longitudinal radiologic effects after OVFs remain limited. This [...] Read more.
Background/Objectives: Osteoporotic vertebral fractures (OVFs) are frequently associated with progressive kyphotic deformity and vertebral height loss, adversely affecting spinal alignment and function. Although romosozumab and teriparatide are established anabolic therapies, comparative data on their longitudinal radiologic effects after OVFs remain limited. This study compared radiologic and clinical outcomes between these agents in patients with OVFs. Methods: Sixty-two patients with single-level OVFs were included: 34 patients in the romosozumab group and 28 patients in the teriparatide group, analyzed in a retrospective, observational comparative study. All patients received anabolic therapy for 6 months followed by sequential denosumab. Radiologic parameters (Cobb angle, vertebral wedge angle, and anterior and middle vertebral body heights) were evaluated at baseline and at 1, 3, 6, and 12 months. Bone mineral density (BMD) and clinical outcomes were assessed at baseline and 12 months. Results: Baseline characteristics were comparable between groups. No statistically significant between-group differences were observed in radiologic parameters over 12 months. However, the romosozumab group showed numerically smaller increases in kyphotic angles and less vertebral height loss, particularly beyond 6 months. Lumbar spine BMD increased in both groups, with a greater absolute gain in the romosozumab group. Back pain improved substantially in both groups, while disability improvement was greater in the teriparatide group. Conclusions: Romosozumab and teriparatide demonstrated comparable radiologic and clinical outcomes in OVFs. Although differences were not statistically significant, romosozumab showed a numerical trend toward better preservation of spinal alignment and vertebral height. Full article
Show Figures

Figure 1

10 pages, 3272 KB  
Article
Anomalous Foramina Through the Greater Wing of the Sphenoid Bone: A Radio-Anatomical Study on a Cohort of Dry Skulls from the Interbellum Period Using MDCT
by Andra-Ioana Baloiu, Octavian Munteanu, Andrei Dorian Soficaru, Iuliana-Raluca Gheorghe, Andreea-Nicoleta Marinescu, Ioan-Andrei Petrescu, Răzvan Stănciulescu, Iulian Mirel Slavu and Florin Mihail Filipoiu
Diagnostics 2026, 16(6), 908; https://doi.org/10.3390/diagnostics16060908 - 19 Mar 2026
Viewed by 414
Abstract
Background: The foramen of Arnold (FA) and foramen of Vesalius (FV) are two inconstant small openings through the greater wing of the sphenoid bone. When FA is present, the lesser petrosal nerve passes through it. FV usually contains an emissary vein that connects [...] Read more.
Background: The foramen of Arnold (FA) and foramen of Vesalius (FV) are two inconstant small openings through the greater wing of the sphenoid bone. When FA is present, the lesser petrosal nerve passes through it. FV usually contains an emissary vein that connects the cavernous sinus to the pterygoid plexus. Objectives: To assess the presence, unilaterally or bilaterally, of the aforementioned inconstant foramina in order to gain a better insight into the anatomic variability of the middle cranial fossa. Methods: We analyzed five hundred random unenhanced CT examinations of human dry skulls from the “Francisc I. Rainer” Craniological Collection of the Human Anthropological Institute in Bucharest, Romania. The collection holds substantial anthropological and radiological value, as dry skulls allow the use of higher spatial-resolution imaging parameters and thus better detection of the small osseous structures. All scans were performed on the same Multi-Detector Computed Tomography (MDCT) scanner (Canon Aquilion One 64 slice, Canon Medical Systems Corporation) in the Department of Radiology of the Bucharest Emergency University Hospital. After collecting data, appropriate statistical analysis was performed. Results: FA was absent in 355 (71%) skulls and present in 145 (29%) skulls, bilaterally in 33 (6.6%) skulls, and unilaterally in 112 (22.4%) skulls. FV was absent in 151 (30.2%) skulls and present in 349 (69.8%) skulls, bilaterally in 223 (44.6%) skulls, and unilaterally in 126 (25.2%) skulls. Conclusions: The great variability in the prevalence of these foramina may be partly explained by the different methods of analysis of the skull base, as well as the different population subgroups on which the research has been focused. Knowledge of this variability holds great importance for anatomists, anthropologists, as well as clinicians who interact with this complex area. Full article
Show Figures

Figure 1

16 pages, 1678 KB  
Article
Cross-Modal Assessment of Post-Cholecystectomy Symptoms: Integrating MRCP Metrics with Upper Endoscopy
by Davut Unsal Capkan and Ibrahim Tayfun Sahiner
Tomography 2026, 12(3), 39; https://doi.org/10.3390/tomography12030039 - 16 Mar 2026
Viewed by 322
Abstract
Background/Objectives: Post-cholecystectomy syndrome (PCS) remains diagnostically challenging due to overlapping biliary and non-biliary causes. This study aimed to evaluate whether common bile duct (CBD) diameter measured by MRCP can serve as a practical triage parameter in symptomatic PCS patients and to define a [...] Read more.
Background/Objectives: Post-cholecystectomy syndrome (PCS) remains diagnostically challenging due to overlapping biliary and non-biliary causes. This study aimed to evaluate whether common bile duct (CBD) diameter measured by MRCP can serve as a practical triage parameter in symptomatic PCS patients and to define a data-supported threshold for predicting clinically relevant biliary pathology. Secondary objectives included assessing correlations between MRCP findings and upper endoscopic features. Methods: In this retrospective single-center study, symptomatic adults undergoing upper endoscopy and MRCP were analyzed. Demographic, clinical, biochemical, radiologic, and endoscopic variables were recorded. Diagnostic performance was assessed using ROC analysis, and independent predictors of biliary dilatation were evaluated with multivariable logistic regression. Results: We analyzed 141 symptomatic post-cholecystectomy patients (mean age 58.2 ± 16.3 years; 67.4% female; median time since surgery 18 [9–36] months). Major symptoms: abdominal pain 84.9%, dyspepsia/bloating 47.5%, nausea/vomiting 22.3%, diarrhea 15.1%. CBD diameter measurements were available in the MRCP subgroup (n = 45); ERCP was performed selectively (n = 12). MRCP findings: CBD ≥ 7 mm 31.9%, biliary dilatation 14.9%, stricture 2.8%, suspected Oddi dysfunction 11.3%, postoperative complications 39.7%. Endoscopy: mucosal inflammation 91.5%; normal 8.5%. Significant correlations included CBD diameter vs. mucosal inflammation (r = 0.32, p = 0.001), dilatation vs. bile reflux (r = 0.28, p = 0.004), and Oddi dysfunction vs. papillary edema (r = 0.41, p = 0.001). CBD diameter showed the best diagnostic performance (AUC 0.82, 95% CI 0.74–0.90; cut-off ≥ 8.0 mm; sensitivity 78.3%; specificity 81.5%; p < 0.001). In multivariable analysis, age independently predicted biliary dilatation (OR 1.05 per year; 95% CI 1.01–1.09; p = 0.007). Conclusions: In symptomatic post-cholecystectomy patients, MRCP-measured CBD diameter provides a useful metric for risk stratification, with a threshold of ≥8 mm identifying patients more likely to harbor biliary pathology. These findings support a structured diagnostic approach that prioritizes noninvasive imaging while reserving ERCP for selected cases. Further prospective validation is warranted. Full article
(This article belongs to the Section Abdominal Imaging)
Show Figures

Graphical abstract

17 pages, 8261 KB  
Article
Modified Hemilaminectomy for Bilateral Exposure in Intramedullary Spinal Cord Tumor Resection
by Sergio Paolini, Anthony Kevin Scafa, Roberta Morace, Vito Chiarella, Rocco Severino and Giuseppe Corazzelli
Brain Sci. 2026, 16(3), 314; https://doi.org/10.3390/brainsci16030314 - 16 Mar 2026
Viewed by 341
Abstract
Background: Posterior approaches to intramedullary spinal cord tumors traditionally rely on bilateral laminotomy or laminoplasty to ensure adequate midline exposure and contralateral dissection. Unilateral approaches are seldom applied in this context, due to concerns regarding insufficient visualization and limited working angles across the [...] Read more.
Background: Posterior approaches to intramedullary spinal cord tumors traditionally rely on bilateral laminotomy or laminoplasty to ensure adequate midline exposure and contralateral dissection. Unilateral approaches are seldom applied in this context, due to concerns regarding insufficient visualization and limited working angles across the midline. Objective: To describe a modified hemilaminectomy technique designed to achieve safe midline myelotomy and bilateral tumor dissection through a unilateral corridor, preserving the structural and clinical benefits of minimally invasive posterior access. Methods: Fourteen patients with intramedullary spinal cord tumors underwent resection via a refined hemilaminectomy technique, which incorporated systematic thinning of the spinous process and strategic dural suspension. Pre- and postoperative neurological status was assessed using the modified McCormick scale. Surgical parameters, postoperative outcomes, and radiological follow-up were retrospectively collected. Results: Gross total resection was achieved in 13 of 14 patients (92.9%), with no new permanent neurological deficits. The mean surgical duration was 194.8 ± 55.9 min, and mean hemoglobin decrease was 1.47 ± 0.94 g/dL. Early postoperative improvement in McCormick grade was observed in 50% of cases, with statistically significant overall functional recovery (p = 0.013). No cases of postoperative cord tethering were identified on follow-up magnetic resonance imaging. The approach was technically reproducible and ergonomically favorable, with a shallow learning curve in surgeons experienced with conventional hemilaminectomy. Conclusions: The modified hemilaminectomy technique enables effective bilateral exposure and safe midline myelotomy through a unilateral approach, achieving high resection rates with minimal morbidity. It represents a feasible and reproducible alternative to bilateral approaches and warrants prospective validation. Full article
(This article belongs to the Special Issue New Trends and Technologies in Modern Neurosurgery: 2nd Edition)
Show Figures

Figure 1

10 pages, 212 KB  
Article
Acute Pancreatitis in Children: Retrospective Analysis of 133 Patients
by Gamzenur Yalcinkaya and Gonul Caltepe
Children 2026, 13(3), 407; https://doi.org/10.3390/children13030407 - 15 Mar 2026
Viewed by 330
Abstract
Background: This study aimed to evaluate the etiology, clinic and laboratory features of acute pancreatitis (AP) in children retrospectively. We also aimed to determine the effects of clinical, laboratory and radiological markers on length of hospital stay (LOS). Materials and methods: This study [...] Read more.
Background: This study aimed to evaluate the etiology, clinic and laboratory features of acute pancreatitis (AP) in children retrospectively. We also aimed to determine the effects of clinical, laboratory and radiological markers on length of hospital stay (LOS). Materials and methods: This study was conducted of 133 patients diagnosed with AP. Patients were divided into two groups based on LOS: ≤7 days and >7 days. Demographic, clinical, laboratory and radiological parameters, as well as time to initiation of feeding, were analyzed. Results: The mean age of patients was 11.2 ± 4.8 years, and 54.1% were male. The most common etiologies were obstructive (30.8%) and idiopathic (29.3%). Drug-induced and traumatic causes were significantly more prevalent in patients with a hospital stay of more than seven days (p = 0.001). Radiological findings other than pancreatic edema (peripancreatic fluid, pleural effusion, or ascites) were significantly associated with prolonged LOS (p = 0.002). A positive correlation was observed between LDH and LOS (r = 0.253, p = 0.031). LOS was significantly shorter in patients who initiated oral feeding within 48 h (p < 0.001). Conclusions: LOS in pediatric AP is influenced by laboratory parameters, radiological findings, and the timing of feeding initiation. Identifying early prognostic indicators, particularly in the pediatric patient group, may guide individualized management and improve clinical outcomes. Full article
(This article belongs to the Section Pediatric Gastroenterology and Nutrition)
13 pages, 720 KB  
Article
Upper Instrumented Vertebra Selection Influences Proximal Balance but Not Long-Term Clinical Outcomes in Lenke Type 1 Adolescent Idiopathic Scoliosis
by Evren Karaali, Osman Çiloğlu, Oğuzhan Çiçek, Burak Keklikçioğlu, Hakan Uslu, Mesut Uluöz and Abdülselam Tarhan
J. Clin. Med. 2026, 15(6), 2092; https://doi.org/10.3390/jcm15062092 - 10 Mar 2026
Viewed by 235
Abstract
Background/Objectives: Selection of the upper instrumented vertebra (UIV) in Lenke type 1 adolescent idiopathic scoliosis (AIS) influences postoperative proximal balance; however, the long-term clinical relevance of radiographic differences remains uncertain. This study evaluated long-term radiological and clinical outcomes in a homogeneous Lenke type [...] Read more.
Background/Objectives: Selection of the upper instrumented vertebra (UIV) in Lenke type 1 adolescent idiopathic scoliosis (AIS) influences postoperative proximal balance; however, the long-term clinical relevance of radiographic differences remains uncertain. This study evaluated long-term radiological and clinical outcomes in a homogeneous Lenke type 1 AIS cohort undergoing posterior spinal fusion with UIV selection at T2 or T4. Methods: During the study period, 120 consecutive Lenke type 1 AIS patients underwent posterior spinal fusion. Twelve patients who developed major postoperative complications were excluded, resulting in a final cohort of 108 patients (T2: n = 61; T4: n = 47). Patients requiring posterior column osteotomies were excluded to maintain surgical homogeneity. Radiological parameters, including coronal and sagittal alignment, proximal balance measures, and curve flexibility, were assessed preoperatively, postoperatively, and at a minimum follow-up of five years. Clinical outcomes were evaluated using validated Turkish versions of the Pediatric Quality of Life Inventory (PedsQL) and the Scoliosis Research Society—22 revised questionnaire (SRS-22r). Longitudinal within-group changes were analyzed. Results: Substantial correction of the main thoracic curve was achieved postoperatively and maintained at long-term follow-up within each cohort (p < 0.001). Preoperative bending radiographs demonstrated preserved curve flexibility, indicating that postoperative alignment differences were not attributable to baseline rigidity. Proximal coronal and shoulder balance parameters improved over time within each cohort, with residual differences observed according to UIV selection. Psychosocial domains of the PedsQL and SRS-22r improved significantly over time within each cohort. In contrast, PedsQL physical functioning scores declined significantly at long-term follow-up (p < 0.001), consistent with fusion-related stiffness rather than global clinical deterioration. No clinically meaningful divergence in patient-reported outcome trajectories was observed according to the UIV strategy. Conclusions: In Lenke type 1 AIS, UIV selection influences long-term proximal balance-related radiological parameters but does not confer a clinically meaningful advantage in patient-reported outcomes. Both T2 and T4 strategies provide durable deformity correction and sustained multidimensional recovery when guided by individualized criteria. Prospective multicenter investigations are warranted to further clarify the clinical relevance of proximal balance metrics. Full article
(This article belongs to the Section Orthopedics)
Show Figures

Figure 1

12 pages, 684 KB  
Article
Real World Data of Laboratory Changes and Immunophenotyping in Patients with Multiple Sclerosis Treated with Ofatumumab—Single Center Experience
by Ružica Gudelj Zorić, Marija Radmilo, Petar Terze and Vana Košta
Biomedicines 2026, 14(3), 606; https://doi.org/10.3390/biomedicines14030606 - 9 Mar 2026
Viewed by 527
Abstract
Background/Objectives: Ofatumumab is a fully human anti-CD20 monoclonal antibody approved for the treatment of relapsing forms of multiple sclerosis (MS). While its efficacy and safety have been demonstrated in clinical trials, real-world data focusing on laboratory changes and detailed immunophenotyping during treatment [...] Read more.
Background/Objectives: Ofatumumab is a fully human anti-CD20 monoclonal antibody approved for the treatment of relapsing forms of multiple sclerosis (MS). While its efficacy and safety have been demonstrated in clinical trials, real-world data focusing on laboratory changes and detailed immunophenotyping during treatment remain limited. The objective of this study was to assess routine laboratory parameters and immunophenotyping profiles in ofatumumab-treated patients in a real-world setting. Methods: We conducted a retrospective, single-center real-world study including 59 patients with relapsing–remitting MS treated with ofatumumab. Routine laboratory parameters were analyzed at the baseline and 6–12 months after treatment initiation. Immunophenotyping by flow cytometry was available for a subset of 29 patients. Infections were assessed during a follow-up period of at least six months. Paired comparisons were performed using the Wilcoxon signed-rank test. Results: Ofatumumab induced a profound and sustained depletion of CD19+ B cells (p < 0.001). Total T cells, CD4+ and CD8+ T-cell counts, the CD4/CD8 ratio, and natural killer (NK) cells remained largely stable over time. NK cells and helper T cells showed a numerical increase without statistical significance. IgM levels and relative lymphocyte percentages showed a statistically significant decrease compared with baseline (p = 0.047 and p = 0.016, respectively), while remaining within reference ranges. Other routine laboratory parameters remained stable. Reported infections were infrequent and predominantly mild. Conclusions: In this real-world cohort, ofatumumab demonstrated a favorable immunological and laboratory profile consistent with its known mechanism of action. These findings suggest that routine laboratory monitoring is sufficient for most patients, while immunophenotyping may be reserved for selected clinical scenarios. Further prospective studies integrating clinical and radiological outcomes are needed to better define the clinical relevance of these immunological findings. Full article
(This article belongs to the Section Immunology and Immunotherapy)
Show Figures

Figure 1

13 pages, 1381 KB  
Article
The Effect of Thoracolumbar Kyphosis on the Presence and Affected Level of Lumbar Degenerative Spondylolisthesis
by Şahin Karalar, Muhammed Furkan Darilmaz, Mustafa Abdullah Özdemir, Serkan Bayram, Turgut Akgül and Fatih Dikici
J. Clin. Med. 2026, 15(5), 2030; https://doi.org/10.3390/jcm15052030 - 6 Mar 2026
Viewed by 343
Abstract
Background: This study aimed to evaluate the relationship between thoracolumbar kyphosis (TLK) and lumbar degenerative spondylolisthesis (LDS) and to determine whether TLK can serve as an independent radiological predictor for both the presence and the specific affected level of LDS. Methods: Initially, 211 [...] Read more.
Background: This study aimed to evaluate the relationship between thoracolumbar kyphosis (TLK) and lumbar degenerative spondylolisthesis (LDS) and to determine whether TLK can serve as an independent radiological predictor for both the presence and the specific affected level of LDS. Methods: Initially, 211 patients were screened for this study. After applying exclusion criteria, a final cohort of 129 patients (76 women and 53 men; mean age 62.1 ± 9.1 years) who underwent surgical intervention for degenerative lumbar spinal stenosis and had preoperative full-spine standing radiographs were retrospectively analyzed. Patients were divided into two groups: an LDS group (n = 54) comprising patients with concurrent degenerative spondylolisthesis, and a control group (n = 75) consisting of surgical patients without spondylolisthesis. Sagittal parameters, including TLK (T10–L2 angle), pelvic incidence (PI), pelvic tilt (PT), sacral slope (SS), lumbar lordosis (LL), and thoracic kyphosis (TK), were measured. LDS was classified by the affected level (L3–L4, L4–L5, L5–S1). Group differences were compared, ROC analysis was performed to identify a threshold value, and multivariate logistic regression was used to determine independent predictors. Results: Multivariate analysis revealed that the T10–L2 angle (TLK) (OR: 1.15, p = 0.001), sacral slope (OR: 1.40, p = 0.017), pelvic tilt (OR: 1.50, p = 0.003), pelvic incidence (OR: 0.68, p = 0.004), and lumbar lordosis (OR: 1.09, p = 0.005) were significant independent predictors of LDS. Conversely, global thoracic kyphosis (TK) demonstrated an inverse relationship (OR: 0.88, p = 0.001), indicative of a secondary compensatory adaptation. ROC analysis established a TLK cut-off of ≥19.5° (AUC = 0.68, p = 0.001) for predicting LDS. Furthermore, Roussouly Type 3 alignment was significantly more prevalent in the L5–S1 LDS cohort (48.1%) Conclusions: Increased TLK is independently associated with LDS, particularly at lower lumbar levels. A TLK value ≥ 19.5° may serve as a practical radiographic marker, and TLK assessment should be incorporated into sagittal alignment evaluation and surgical planning. Full article
Show Figures

Figure 1

17 pages, 4773 KB  
Article
Optimizing Radiographic Diagnosis Through Signal-Balanced Convolutional Models
by Sakina Juzar Neemuchwala, Raja Hashim Ali, Qamar Abbas, Talha Ali Khan, Ambreen Shahnaz and Iftikhar Ahmed
J. Imaging 2026, 12(3), 108; https://doi.org/10.3390/jimaging12030108 - 4 Mar 2026
Viewed by 305
Abstract
Accurate interpretation of chest radiographs is central to the early diagnosis and management of pulmonary disorders. This study introduces an explainable deep learning framework that integrates biomedical signal fidelity analysis with transfer learning to enhance diagnostic reliability and transparency. Using the publicly available [...] Read more.
Accurate interpretation of chest radiographs is central to the early diagnosis and management of pulmonary disorders. This study introduces an explainable deep learning framework that integrates biomedical signal fidelity analysis with transfer learning to enhance diagnostic reliability and transparency. Using the publicly available COVID-19 Radiography Dataset (21,165 chest X-ray images across four classes: COVID-19, Viral Pneumonia, Lung Opacity, and Normal), three architectures, namely baseline Convolutional Neural Network (CNN), ResNet-50, and EfficientNetB3, were trained and evaluated under varied class-balancing and hyperparameter configurations. Signal preservation was quantitatively verified using the Structural Similarity Index Measure (SSIM = 0.93 ± 0.02), ensuring that preprocessing retained key diagnostic features. Among all models, ResNet-50 achieved the highest classification accuracy (93.7%) and macro-AUC = 0.97 (class-balanced), whereas EfficientNetB3 demonstrated superior generalization with reduced parameter overhead. Gradient-weighted Class Activation Mapping (Grad-CAM) visualizations confirmed anatomically coherent activations aligned with pathological lung regions, substantiating clinical interpretability. The integration of signal fidelity metrics with explainable deep learning presents a reproducible and computationally efficient framework for medical image analysis. These findings highlight the potential of signal-aware transfer learning to support reliable, transparent, and resource-efficient diagnostic decision-making in radiology and other imaging-based medical domains. Full article
(This article belongs to the Section AI in Imaging)
Show Figures

Figure 1

Back to TopTop