Sign in to use this feature.

Years

Between: -

Subjects

remove_circle_outline
remove_circle_outline
remove_circle_outline
remove_circle_outline
remove_circle_outline
remove_circle_outline
remove_circle_outline

Journals

Article Types

Countries / Regions

Search Results (15)

Search Parameters:
Keywords = radial scattering distance

Order results
Result details
Results per page
Select all
Export citation of selected articles as:
14 pages, 3001 KB  
Article
Investigation of Debris Mitigation in Droplet-Based Terbium Plasma Sources Produced by Laser Ablation Under Varying Buffer Gas Pressures
by Shuaichao Zhou, Tao Wu, Ziyue Wu, Junjie Tian and Peixiang Lu
Photonics 2025, 12(10), 1035; https://doi.org/10.3390/photonics12101035 - 19 Oct 2025
Viewed by 482
Abstract
The fragment suppression ability of terbium plasma generated by laser at different environmental pressures is investigated, with a focus on exploring the slowing effect of buffer gas on high-energy particles. Using two-dimensional radiation hydrodynamic simulations with the FLASH code, this study evaluates the [...] Read more.
The fragment suppression ability of terbium plasma generated by laser at different environmental pressures is investigated, with a focus on exploring the slowing effect of buffer gas on high-energy particles. Using two-dimensional radiation hydrodynamic simulations with the FLASH code, this study evaluates the debris mitigation efficiency of terbium plasma across a range of buffer gas pressures (50–1000 Pa). Key findings reveal that helium buffer gas exhibits a nonlinear pressure-dependent response in plasma dynamics and debris suppression. Specifically, at 1000 Pa helium, the plasma shockwave stops within stopping distance xst = 12.13 mm with an attenuation coefficient of b = 0.0013 ns−1, reducing radial expansion by 40% compared to 50 Pa (xst = 23.15 mm, b = 0.0010). This pressure scaling arises from enhanced collisional dissipation, confining over 80% of debris kinetic energy below 200 eV under 1000 Pa conditions. In contrast, argon exhibits superior stopping power within ion energy domains (≤1300 eV), attaining a maximum stopping power of 2000 eV·mm−1 at 1300 eV–a value associated with a 6.4-times-larger scattering cross-section compared to helium under equivalent conditions. The study uncovers a nonlinear relationship between kinetic energy and gas pressure, where the deceleration capability of buffer gases intensifies with increasing kinetic energy. This work demonstrates that by leveraging argon’s broadband stopping efficiency and helium’s confinement capacity, debris and high energy ions can be effectively suppressed, thereby securing mirror integrity and source efficiency at high repetition rates. Full article
(This article belongs to the Special Issue The Principle and Application of Photonic Metasurfaces)
Show Figures

Figure 1

11 pages, 2585 KB  
Article
Narrow Linewidth All-Optical Microwave Oscillator Based on Torsional Radial Acoustic Modes of Single-Mode Fiber
by Wen Wang, Wenjun He, Xinyue Fang, Yi Liu, Yajun You, Mingxing Li, Lei Yu, Qing Yan, Yafei Hou, Jian He and Xiujian Chou
Micromachines 2025, 16(1), 97; https://doi.org/10.3390/mi16010097 - 15 Jan 2025
Cited by 2 | Viewed by 1232
Abstract
A Hz level narrow linewidth all-optical microwave oscillator based on the torsional radial acoustic modes (TR2,m) of a single-mode fiber (SMF) is proposed and validated. The all-optical microwave oscillator consists of a 20 km SMF main ring cavity and a 5 [...] Read more.
A Hz level narrow linewidth all-optical microwave oscillator based on the torsional radial acoustic modes (TR2,m) of a single-mode fiber (SMF) is proposed and validated. The all-optical microwave oscillator consists of a 20 km SMF main ring cavity and a 5 km SMF sub ring cavity. The main ring cavity provides forward stimulated Brillouin scattering gain and utilizes a nonlinear polarization rotation effect to achieve TR2,7 mode locking. By combining the sub ring cavity with the main ring cavity and utilizing the Vernier effect, the TR2,7 mode microwave photonic single longitudinal mode (SLM) output can be ensured. Meanwhile, the 6.281 Hz narrow linewidth of the TR2,7 mode is achieved by reducing the intrinsic linewidth of the passive resonant cavity. The acoustic mode suppression ratio and side mode suppression ratio of the TR2,7 mode were 43 dB and 54 dB, respectively. The power and frequency fluctuations of within 40 min were approximately ±0.49 dB and ±0.187 kHz, indicating good stability. At a frequency offset of 10 kHz, the TR2,7 mode had a low phase noise value of −110 dBc/Hz. This solution can be used in various fields, such as high-precision radar detection, long-distance optical communication, and high-performance fiber optic sensing. Full article
(This article belongs to the Special Issue Fiber-Optic Technologies for Communication and Sensing)
Show Figures

Figure 1

19 pages, 6797 KB  
Article
Design and Experimental Research on Staggered Straw Cleaning Device for No-Till Seeding in Drip Irrigation Area
by Panpan Yuan, Xingliang Zhu, Xuejun Zhang, Jia You, Jinshan Yan and Shilong Qiu
Agronomy 2025, 15(1), 34; https://doi.org/10.3390/agronomy15010034 - 27 Dec 2024
Cited by 1 | Viewed by 849
Abstract
To solve the problem of straw cleaning and drip irrigation belt restoration for no-till seeding in drip irrigation areas, a staggered straw cleaning device was developed for no-till seeding, which is mainly composed of a front two-sided tine discs group, a drip irrigation [...] Read more.
To solve the problem of straw cleaning and drip irrigation belt restoration for no-till seeding in drip irrigation areas, a staggered straw cleaning device was developed for no-till seeding, which is mainly composed of a front two-sided tine discs group, a drip irrigation belt laying mechanism, a middle single inner tine discs group, a rear single outer tine discs group. Different tine disc groups are set in longitudinal, transverse, and radial directions to move and throw the straw on the surface of the seeding strip. The critical parameters of the tine disc were designed and calculated, and the radius was determined to be 160 mm, the number of teeth was 12, and the theoretical working width was obtained. The movement and straw scattering process were analyzed, and the main influencing factors and the maximum straw scattering distances in the horizontal and vertical directions were determined. The interaction model of staggered tine discs group–straw–soil is established using the discrete element method (DEM). The forwarding speed, rotating speed, disc rake angle, and lateral distance of the middle tine discs were used as influencing factors, and the straw cleaning rate and the mass of straw returned in the drip irrigation coverage area were selected as the text indexes to carry out quadratic orthogonal rotation experiments. The quadratic regression model of the three sensitive parameters on the cleaning rate and the mass of straw returned in the drip irrigation coverage area was constructed and optimized. The optimal solutions were obtained: the forwarding speed was 9 km/h, the disc rake angle was 33.7°, and the lateral distance of the middle tine discs was 529 mm. The field validation test was carried out, and the results showed that the straw cleaning was 89.13%, the straw cleaning width of the seed strip was 527.2 mm, and the straw coverage rate of the drip irrigation area was 80.74%. This achievement can provide a reference for straw cleaning of no-till seeding under drip irrigation. Full article
(This article belongs to the Section Precision and Digital Agriculture)
Show Figures

Figure 1

15 pages, 6019 KB  
Article
Characterization of Plastic Scintillator Detector for In Vivo Dosimetry in Gynecologic Brachytherapy
by Antonio Herreros, José Pérez-Calatayud, Facundo Ballester, Rosa Abellana, Joana Neves, Joana Melo, Luis Moutinho, Jordi Tarrats-Rosell, Sergi Serrano-Rueda, Luca Tagliaferri, Elisa Placidi and Angeles Rovirosa
J. Pers. Med. 2024, 14(3), 321; https://doi.org/10.3390/jpm14030321 - 20 Mar 2024
Cited by 2 | Viewed by 2557
Abstract
(1) Background: High dose gradients and manual steps in brachytherapy treatment procedures can lead to dose errors which make the use of in vivo dosimetry (IVD) highly recommended for verifying brachytherapy treatments. A new procedure was presented to obtain a calibration factor which [...] Read more.
(1) Background: High dose gradients and manual steps in brachytherapy treatment procedures can lead to dose errors which make the use of in vivo dosimetry (IVD) highly recommended for verifying brachytherapy treatments. A new procedure was presented to obtain a calibration factor which allows fast and robust calibration of plastic scintillation detector (PSD) probes for the geometry of a compact phantom using Monte Carlo simulations. Additionally, characterization of PSD energy, angular, and temperature dependences was performed. (2) Methods: PENELOPE/PenEasy code was used to obtain the calibration factor. To characterize the energy dependence of the PSD, the signal was measured at different radial and transversal distances. The sensitivity to the angular position was characterized in axial and azimuthal planes. (3) Results: The calibration factor obtained allows for an absorbed dose to water determination in full scatter conditions from ionization measured in a mini polymethylmethacrylate (PMMA) phantom. The energy dependence of the PSD along the radial distances obtained was (2.3 ± 2.1)% (k = 1). The azimuthal angular dependence measured was (2.6 ± 3.4)% (k = 1). The PSD response decreased by (0.19 ± 0.02)%/°C with increasing detector probe temperature. (4) Conclusions: The energy, angular, and temperature dependence of a PSD is compatible with IVD. Full article
(This article belongs to the Special Issue Application of Brachytherapy in Clinical Practice: 2nd Edition)
Show Figures

Figure 1

15 pages, 5222 KB  
Article
Atmospheric Turbulence Effects on the Performance of Orbital Angular Momentum Multiplexed Free-Space Optical Links Using Coherent Beam Combining
by Pei Ju, Wenhui Fan, Wei Gao, Zhe Li, Qi Gao, Xiaoqiang Jiang and Tongyi Zhang
Photonics 2023, 10(6), 634; https://doi.org/10.3390/photonics10060634 - 31 May 2023
Cited by 13 | Viewed by 3653
Abstract
Atmospheric effects including absorption and scattering, and turbulence could introduce signal power loss and severe mode crosstalk for the orbital angular momentum (OAM)-based free-space optical communication (FSOC). Therefore, it is of great significance to simultaneously increase signal power and mitigate mode crosstalk. In [...] Read more.
Atmospheric effects including absorption and scattering, and turbulence could introduce signal power loss and severe mode crosstalk for the orbital angular momentum (OAM)-based free-space optical communication (FSOC). Therefore, it is of great significance to simultaneously increase signal power and mitigate mode crosstalk. In this paper, for the OAM beam from a coherent laser array with a discrete vortex (CLA-DV) based on coherent beam combining, we investigate its propagation characteristics by employing theoretical derivation and the random phase screens simulation in atmospheric propagation, respectively. The probability density and OAM spectrum are given and compared for CLA-DV and Gaussian vortex beam. The results demonstrate that the Gaussian vortex beam exhibits smaller mode crosstalk under weak atmospheric turbulence conditions, while CLA-DV shows a good performance on crosstalk mitigation for strong atmospheric turbulence conditions in long-distance links. Furthermore, with a specially designed radial phase-locked Gaussian laser array composed of two orthogonal polarized coherent laser arrays carrying different OAM states, a scheme of optical communication system possessing simultaneously polarization-division multiplexing and OAM multiplexing is proposed. The normalized energy weight matrices of all 16 non-zeroth-order OAM modes are numerically calculated. To verify the feasibility of the proposed scheme, the performance of an eight-bit grayscale Lena image facing various atmosphere turbulences is evaluated. The quality of transmitted images becomes worse with the turbulence strength and transmission distance increase, which is confirmed by the trend of average optical signal error rates. This work will provide theoretical insight for improving the performance of OAM-based FSOC under scattering conditions. Full article
(This article belongs to the Special Issue Advances and Application of Structured Light)
Show Figures

Figure 1

16 pages, 21322 KB  
Article
Mining Ground Deformation Estimation Based on Pre-Processed InSAR Open Data—A Norwegian Case Study
by Jan Blachowski and Steinar L. Ellefmo
Minerals 2023, 13(3), 328; https://doi.org/10.3390/min13030328 - 26 Feb 2023
Cited by 10 | Viewed by 3140
Abstract
Sublevel caving mining causes surface deformation in three distinct zones parallel to the extracted deposit. Most of the published research is focused on the extent of the caved and fracture zones. The extent of the largest, continuous deformation zone and, thus, the influence [...] Read more.
Sublevel caving mining causes surface deformation in three distinct zones parallel to the extracted deposit. Most of the published research is focused on the extent of the caved and fracture zones. The extent of the largest, continuous deformation zone and, thus, the influence of the mine on its surroundings is not yet fully documented. This study aimed at assessing the extent of surface deformation caused by the mining of a steep iron ore deposit in Norway. For this purpose, an innovative combination of the permanent scatterer (PS) InSAR technique and line-of-sight (LOS) movement data provided by a public web service and geographic information system (GIS) spatial interpolation methods was proposed. Two ascending tracks’ (A102 and A175) datasets spanning the period of 3 June 2016–11 October 2021 were used. Three interpolation methods, inverse distance weighted (IDW), radial basis function (RBF) and ordinary kriging (OK), were analysed in terms of their performance for mapping continuous deformation. The RBF and OK methods with anisotropy returned the lowest root mean square error (RMSE) values. The obtained difference in the maximum extent of deformation amounted to 26 m for the track A102 dataset and 44.5 m for the track A175 dataset, depending on the interpolation method used. The estimated maximum extent of the continuous deformation zone on the hanging-wall side of the sublevel caving mining operation is 663 m. This corresponds to a limit angle of 38.7 degrees, which is lower than in previously published studies. The results show that the influence of sublevel caving mining on the surroundings can be greater than previously thought. The usefulness of public PSInSAR data available from a national online service and spatial interpolation methods for determining the area of mining terrain deformations has been proven. The proposed approach provides a low-cost alternative and complementation for surveys performed about the mine and it is argued that it should be implemented as part of the mine’s monitoring system. Full article
Show Figures

Figure 1

21 pages, 13401 KB  
Article
Energy Spatial Distribution of Behind-Armor Debris Generated by Penetration of Explosively Formed Projectiles with Different Length–Diameter Ratio
by Xuanning Huang, Weibing Li, Wenbin Li, Guixiang Yin, Yajun Wang and Tengfei Guo
Appl. Sci. 2023, 13(4), 2665; https://doi.org/10.3390/app13042665 - 19 Feb 2023
Cited by 4 | Viewed by 3243
Abstract
To understand the influence of the length–diameter ratio (L/D) of explosively formed projectiles (EFPs) on the energy spatial distribution of behind-armor debris (BAD), three EFPs with different L/Ds were designed in this study. The scattering characteristics [...] Read more.
To understand the influence of the length–diameter ratio (L/D) of explosively formed projectiles (EFPs) on the energy spatial distribution of behind-armor debris (BAD), three EFPs with different L/Ds were designed in this study. The scattering characteristics of the BAD formed by the EFP penetrating a steel target were investigated. High-speed photography was used to observe the shape of the BAD cloud. Fiber and foam plates were sequentially stacked to recover the fragments. The three-dimensional damaged area by the BAD was obtained based on the spatial position information of a large amount of BAD. Finally, the energy spatial distribution characteristics of the EFP and target material fragments were analyzed. The results showed that a large EFP L/D increased the total energy of the BAD, and the proportion of the energy of projectile fragments increased. The difference in the energy spatial distribution between EFPs with varying L/Ds was mainly in the scattering angle range of 3–17°. The total energy of fragments within 17° of scattering angle accounted for 85% of the total energy of all fragments. The BAD energy of the EFP with a large L/D (L/D = 3.86) was concentrated in a small scattering angle range in which the residual projectile was located. The average projectile fragment energy of the EFP with a moderate L/D (L/D = 2.4) was evenly distributed in the scattering angle range of 5–20°. As a result, the energy distribution of the BAD from EFP (L/D = 2.4) shifted towards the large scattering angle, thus leading to a uniform radial distribution of the striking area within the range of 500–1100 mm behind the target. However, with the increase in the distance behind the target, the radial direction of the striking area of the other two EFPs was gradually reduced. The reason was explained according to the force analysis of the fragments resulting from the bulge fracture of target. The spatial energy distribution of BAD is closely related to the damage ability of EFP in relation to the armored target. Thus, it is necessary to design EFPs with appropriate L/Ds in order to maximize the damaging effect behind the armor. Full article
Show Figures

Figure 1

11 pages, 4001 KB  
Article
Fabrication and Characterization of an Optimized Low-Loss Two-Mode Fiber for Optoacoustic Sensing
by Zelin Zhang, Guanglei You, Yu Qin, Jianqin Peng, Shuhong Xie, Xinli Jiang, Caoyuan Wang, Ruowei Yu, Yichun Shen and Limin Xiao
Micromachines 2022, 13(10), 1774; https://doi.org/10.3390/mi13101774 - 19 Oct 2022
Cited by 1 | Viewed by 2277
Abstract
An optimized multi-step index (MSI) 2-LP-mode fiber is proposed and fabricated with low propagation loss of 0.179 dB/km, low intermodal crosstalk and excellent bend resistance. We experimentally clarified the characteristics of backward Brillouin scattering (BBS) and forward Brillouin scattering (FBS) induced by radial [...] Read more.
An optimized multi-step index (MSI) 2-LP-mode fiber is proposed and fabricated with low propagation loss of 0.179 dB/km, low intermodal crosstalk and excellent bend resistance. We experimentally clarified the characteristics of backward Brillouin scattering (BBS) and forward Brillouin scattering (FBS) induced by radial acoustic modes (R0,m) in the fabricated MSI 2-LP-mode fiber, respectively. Via the use of this two-mode fiber, we demonstrated a novel discriminative measurement method of temperature and acoustic impedance based on BBS and FBS, achieving improved experimental measurement uncertainties of 0.2 °C and 0.019 kg/(s·mm2) for optoacoustic chemical sensing. The low propagation loss of the sensing fiber and the new measurement method based on both BBS and FBS may pave the way for long-distance and high spatial resolution distributed fiber sensors. Full article
(This article belongs to the Section E:Engineering and Technology)
Show Figures

Figure 1

15 pages, 12295 KB  
Article
Solar Orbiter SWA Observations of Electron Strahl Properties Inside 1 AU
by Christopher J. Owen, Joel Baby Abraham, Georgios Nicolaou, Daniel Verscharen, Philippe Louarn and Timothy S. Horbury
Universe 2022, 8(10), 509; https://doi.org/10.3390/universe8100509 - 28 Sep 2022
Cited by 7 | Viewed by 3040
Abstract
The Solar Wind Analyser (SWA) suite on Solar Orbiter includes an Electron Analyser System (SWA-EAS) which is capable of high temporal and angular resolution measurements of solar wind electrons in the energy range ∼1 eV to ∼5 keV. In this article we report [...] Read more.
The Solar Wind Analyser (SWA) suite on Solar Orbiter includes an Electron Analyser System (SWA-EAS) which is capable of high temporal and angular resolution measurements of solar wind electrons in the energy range ∼1 eV to ∼5 keV. In this article we report early nominal phase observations of the suprathermal electron population at energies ≥70 eV (representative of the ’strahl’ population), and use a simple fitting routine and classification system to determine the characteristics of the distributions and determine the variations in their properties as a function of heliocentric distance and solar wind properties. We find that under our classification system a significant population of radially outward moving strahl beams is identifiable in the tested samples. These are seen in across solar wind speed regimes, but, consistent with earlier observations, are slightly more prevalent in high speed wind. These beams occur at all distances examined (∼0.43 to ∼1.0 AU), but do not show significant evolution with distance, suggesting a balance between focusing and scattering processes across the distance range covered. However, the data suggests that the beams broaden on average with increasing magnetic field strength and narrow on average with increasing solar wind speed. We also identify a small population, occurring in sporadic clusters, which have deficits in phase space density in the sunward moving part of the electron distribution. These clusters occur across the distance range sampled and show some variations in average properties with radial distance, suggesting they too are influenced by competing scattering and (de-)focusing processes. The implications for the origin and evolution of these electron populations derived from these new observations are explored. Full article
(This article belongs to the Special Issue Advances in Solar Wind Origin and Evolution)
Show Figures

Figure 1

11 pages, 1973 KB  
Article
Numerical Investigation of Multifunctional Plasmonic Micro-Fiber Based on Fano Resonances and LSPR Excited via Cylindrical Vector Beam
by Min Liu, Lan Yu, Yunze Lei, Xiang Fang, Ying Ma, Lixin Liu, Juanjuan Zheng, Ke Lin and Peng Gao
Sensors 2021, 21(16), 5642; https://doi.org/10.3390/s21165642 - 21 Aug 2021
Cited by 4 | Viewed by 3454
Abstract
Function expansion of fiber sensor is highly desired for ultrasensitive optical detection and analysis. Here, we present an approach of multifunctional fiber sensor based on Fano resonances and localized surface plasmon resonance (LSPR) excited via cylindrical vector beam with ability of refractive index [...] Read more.
Function expansion of fiber sensor is highly desired for ultrasensitive optical detection and analysis. Here, we present an approach of multifunctional fiber sensor based on Fano resonances and localized surface plasmon resonance (LSPR) excited via cylindrical vector beam with ability of refractive index (RI) sensing, nano-distance detection, and surface enhanced Raman spectroscopy (SERS). Silver (Ag)-nanocube modified microfiber is theoretically proved to enable to detect RI of the nearby solids and gases based on Fano resonances with a sensitivity of 128.63 nm/refractive index unit (RIU) and 148.21 nm/RIU for solids and gases, respectively. The scattering spectrum of the Ag nanocube has the red-shift response to the varies of the nano-distance between the nanocube and the nearby solid, providing a detection sensitivity up to 1.48 nm (wavelength)/nm (distance). Moreover, this configuration is theoretically verified to have ability to significantly enhance electric field intensity. Radially polarized beam is proved to enhance the electric field intensity as large as 5 times in the side-face configuration compared with linear polarization beam. This fiber-based sensing method is helpful in fields of remote detection, multiple species detection, and cylindrical vector beam-based detection. Full article
(This article belongs to the Special Issue Advances in Surface Plasmon Based Sensing)
Show Figures

Figure 1

15 pages, 3442 KB  
Article
Structural Analysis of Melt-Spun Polymer-Optical Poly(Methyl Methacrylate) Fibres by Small-Angle X-ray Scattering and Monte-Carlo Simulation
by Jan Kallweit, Thomas Vad, Felix Krooß, Thomas Gries, Mohmmed Houri and Christian-Alexander Bunge
Polymers 2021, 13(5), 779; https://doi.org/10.3390/polym13050779 - 3 Mar 2021
Cited by 2 | Viewed by 3181
Abstract
The structural properties, mainly the spatial variation of density and chain interaction, of melt-spun polymer optical fibres (POFs) are investigated by small-angle X-ray scattering (SAXS) and compared to Monte-Carlo polymer simulations. The amorphous PMMA POFs had been subjected to a rapid cooling in [...] Read more.
The structural properties, mainly the spatial variation of density and chain interaction, of melt-spun polymer optical fibres (POFs) are investigated by small-angle X-ray scattering (SAXS) and compared to Monte-Carlo polymer simulations. The amorphous PMMA POFs had been subjected to a rapid cooling in a water quench right after extrusion in order to obtain a radial refractive-index profile. Four fibre samples with different processing parameters are investigated and the SAXS data analysed via Guinier approach. Distance-distribution functions from the respective equatorial and meridional SAXS data are computed to extract the fibres’ nanostructures in the equatorial plane and along the fibre axis, respectively. Temperature profiles of the cooling process are simulated for different locations within the fibre and taken as input for Monte-Carlo simulations of the polymer structure. The simulation results agree with the SAXS measurements in terms of the cooling profile’s strong influence on the structural properties of the fibre: slower cooling in the centre of the fibre leads to stronger interchain interaction, but also results in a higher density and more homogenous materials with less optical scattering. Full article
(This article belongs to the Section Polymer Physics and Theory)
Show Figures

Graphical abstract

15 pages, 3183 KB  
Article
Structure and Dynamics of the Superprotonic Conductor Caesium Hydrogen Sulfate, CsHSO4
by Stewart F. Parker, Hamish Cavaye and Samantha K. Callear
Molecules 2020, 25(6), 1271; https://doi.org/10.3390/molecules25061271 - 11 Mar 2020
Cited by 7 | Viewed by 3765
Abstract
We have investigated caesium hydrogen sulfate, CsHSO4, in all three of its ambient pressure phases by total scattering neutron diffraction, inelastic neutron scattering (INS) and Raman spectroscopies and periodic density functional theory calculations. Above 140 °C, CsHSO4 undergoes a phase [...] Read more.
We have investigated caesium hydrogen sulfate, CsHSO4, in all three of its ambient pressure phases by total scattering neutron diffraction, inelastic neutron scattering (INS) and Raman spectroscopies and periodic density functional theory calculations. Above 140 °C, CsHSO4 undergoes a phase transition to a superprotonic conductor that has potential application in intermediate temperature fuel cells. Total scattering neutron diffraction data clearly show that all the existing structures of this phase are unable to describe the local structure, because they have either partial occupancies of the atoms and/or non-physical O–H distances. Knowledge of the local structure is crucial because it is this that determines the conduction mechanism. Starting from one of the previous models, we have generated a new structure that has no partial occupancies and reasonable O–H distances. After geometry optimisation, the calculated radial distribution function is in reasonable agreement with the experimental data, as are the calculated and observed INS and Raman spectra. This work is particularly notable in that we have measured INS spectra in the O–H stretch region above room temperature, which is extremely rare. The INS spectra have the enormous advantage that the electrical anharmonicity that complicates the infrared spectra is absent and the stretch modes are plainly seen. Full article
(This article belongs to the Special Issue Computational Spectroscopy 2020)
Show Figures

Graphical abstract

20 pages, 2252 KB  
Article
Comparison of Numerical Methods for Modeling the Wave Field Effects Generated by Individual Wave Energy Converters and Multiple Converter Wave Farms
by J. Cameron McNatt, Aaron Porter and Kelley Ruehl
J. Mar. Sci. Eng. 2020, 8(3), 168; https://doi.org/10.3390/jmse8030168 - 3 Mar 2020
Cited by 16 | Viewed by 3453
Abstract
This numerical study compares the wave field generated by the spectral wave action balance code, SNL-SWAN, to the linear-wave boundary-element method (BEM) code, WAMIT. The objective of this study is to assess the performance of SNL-SWAN for modeling wave field effects produced by [...] Read more.
This numerical study compares the wave field generated by the spectral wave action balance code, SNL-SWAN, to the linear-wave boundary-element method (BEM) code, WAMIT. The objective of this study is to assess the performance of SNL-SWAN for modeling wave field effects produced by individual wave energy converters (WECs) and wave farms comprising multiple WECs by comparing results from SNL-SWAN with those produced by the BEM code WAMIT. BEM codes better model the physics of wave-body interactions and thus simulate a more accurate near-field wave field than spectral codes. In SNL-SWAN, the wave field’s energy extraction is modeled parametrically based on the WEC’s power curve. The comparison between SNL-SWAN and WAMIT is made over a range of incident wave conditions, including short-, medium-, and long-wavelength waves with various amounts of directional spreading, and for three WEC archetypes: a point absorber (PA), a pitching flap (PF) terminator, and a hinged raft (HR) attenuator. Individual WECs and wave farms of five WECs in various configuration were studied with qualitative comparisons made of wave height and spectra at specific locations, and quantitative comparisons of the wave fields over circular arcs around the WECs as a function of radial distance. Results from this numerical study demonstrate that in the near-field, the difference between SNL-SWAN and WAMIT is relatively large (between 20% and 50%), but in the far-field from the array the differences are minimal (between 1% and 5%). The resultant wave field generated by the two different numerical approaches is highly dependent on parameters such as: directional wave spreading, wave reflection or scattering, and the WEC’s power curve. Full article
Show Figures

Figure 1

14 pages, 7251 KB  
Article
Experimental and Computational Studies on the Scattering of an Edge-Guided Wave by a Hidden Crack on a Racecourse Shaped Hole
by Benjamin Steven Vien, Louis Raymond Francis Rose and Wing Kong Chiu
Materials 2017, 10(7), 732; https://doi.org/10.3390/ma10070732 - 1 Jul 2017
Cited by 15 | Viewed by 5176
Abstract
Reliable and quantitative non-destructive evaluation for small fatigue cracks, in particular those in hard-to-inspect locations, is a challenging problem. Guided waves are advantageous for structural health monitoring due to their slow geometrical decay of amplitude with propagating distance, which is ideal for rapid [...] Read more.
Reliable and quantitative non-destructive evaluation for small fatigue cracks, in particular those in hard-to-inspect locations, is a challenging problem. Guided waves are advantageous for structural health monitoring due to their slow geometrical decay of amplitude with propagating distance, which is ideal for rapid wide-area inspection. This paper presents a 3D laser vibrometry experimental and finite element analysis of the interaction between an edge-guided wave and a small through-thickness hidden edge crack on a racecourse shaped hole that occurs, in practice, as a fuel vent hole. A piezoelectric transducer is bonded on the straight edge of the hole to generate the incident wave. The excitation signal consists of a 5.5 cycle Hann-windowed tone burst of centre frequency 220 kHz, which is below the cut-off frequency for the first order Lamb wave modes (SH1). Two-dimensional fast Fourier transformation (2D FFT) is applied to the incident and scattered wave field along radial lines emanating from the crack mouth, so as to identify the wave modes and determine their angular variation and amplitude. It is shown experimentally and computationally that mid-plane symmetric edge waves can travel around the hole’s edge to detect a hidden crack. Furthermore, the scattered wave field due to a small crack length, a, (compared to the wavelength λ of the incident wave) is shown to be equivalent to a point source consisting of a particular combination of body-force doublets. It is found that the amplitude of the scattered field increases quadratically as a function of a/λ, whereas the scattered wave pattern is independent of crack length for small cracks a << λ. This study of the forward scattering problem from a known crack size provides a useful guide for the inverse problem of hidden crack detection and sizing. Full article
(This article belongs to the Special Issue Structural Health Monitoring for Aerospace Applications 2017)
Show Figures

Figure 1

14 pages, 5813 KB  
Article
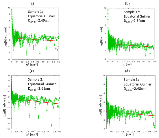
Novel Melt-Spun Polymer-Optical Poly(methyl methacrylate) Fibers Studied by Small-Angle X-ray Scattering
by Markus Beckers, Thomas Vad, Benjamin Mohr, Benjamin Weise, Wilhelm Steinmann, Thomas Gries, Gunnar Seide, Emmanuel Kentzinger and Christian-Alexander Bunge
Polymers 2017, 9(2), 60; https://doi.org/10.3390/polym9020060 - 13 Feb 2017
Cited by 14 | Viewed by 10272
Abstract
The structural properties of novel melt-spun polymer optical fibers (POFs) are investigated by small-angle X-ray scattering. The amorphous PMMA POFs were subjected to a rapid cooling in a water quench right after extrusion in order to obtain a radial refractive index profile. Four [...] Read more.
The structural properties of novel melt-spun polymer optical fibers (POFs) are investigated by small-angle X-ray scattering. The amorphous PMMA POFs were subjected to a rapid cooling in a water quench right after extrusion in order to obtain a radial refractive index profile. Four fiber samples were investigated with small-angle X-ray scattering (SAXS). The resulting distance-distribution functions obtained from the respective equatorial and meridional SAXS data exhibit a real-space correlation peak indicative of periodic cross-sectional and axial variations in the scattering density contrast. Simple model calculations demonstrate how the structural information contained particularly in the equatorial distance distribution function can be interpreted. The respective results are qualitatively verified for one of the fiber samples by comparison of the model curve with the measured SAXS data. Eventually, the study confirms that the cross-sectional variation of the (scattering-) density is the main reason for the formation of radial refractive-index profiles in the POFs. Full article
(This article belongs to the Special Issue Polymeric Fibers)
Show Figures

Graphical abstract

Back to TopTop