Sign in to use this feature.

Years

Between: -

Subjects

remove_circle_outline
remove_circle_outline
remove_circle_outline
remove_circle_outline
remove_circle_outline
remove_circle_outline
remove_circle_outline
remove_circle_outline
remove_circle_outline

Journals

remove_circle_outline
remove_circle_outline
remove_circle_outline
remove_circle_outline
remove_circle_outline
remove_circle_outline
remove_circle_outline
remove_circle_outline
remove_circle_outline
remove_circle_outline
remove_circle_outline
remove_circle_outline
remove_circle_outline
remove_circle_outline
remove_circle_outline
remove_circle_outline
remove_circle_outline
remove_circle_outline

Article Types

Countries / Regions

remove_circle_outline
remove_circle_outline
remove_circle_outline
remove_circle_outline
remove_circle_outline
remove_circle_outline

Search Results (994)

Search Parameters:
Keywords = push test

Order results
Result details
Results per page
Select all
Export citation of selected articles as:
29 pages, 2610 KB  
Article
Model-Agreement-Aware Multi-Objective Optimization for High-Frequency Transformers in EV Onboard Chargers
by Onur Kırcıoğlu and Sabri Çamur
Energies 2026, 19(4), 1000; https://doi.org/10.3390/en19041000 - 13 Feb 2026
Abstract
Developments in electric vehicle (EV) technology are pushing on-board chargers (OBCs) toward higher power density and efficiency, making high-frequency transformer loss prediction a critical design bottleneck. However, the accuracy of commonly used analytical winding-loss models varies strongly with frequency, conductor type (Litz/solid), window [...] Read more.
Developments in electric vehicle (EV) technology are pushing on-board chargers (OBCs) toward higher power density and efficiency, making high-frequency transformer loss prediction a critical design bottleneck. However, the accuracy of commonly used analytical winding-loss models varies strongly with frequency, conductor type (Litz/solid), window fill factor, and winding layout (e.g., interleaved), which can render single-model-based optimization unreliable. In this study, six analytical copper-loss models from the literature were independently reimplemented in a unified Python 3.11.5 workflow with a standardized interface to enable fair comparison under identical geometry and operating conditions. The models were benchmarked against 2D finite-element simulations on test scenarios with increasing physical complexity, including high fill-factor Litz windings and interleaved arrangements. The results confirm a regime-dependent behavior: no single model consistently outperforms others across the full design space, and model dispersion increases in geometrically stressed and higher-frequency regions. To manage this uncertainty, variance maps were generated and model disagreement was quantified using the coefficient of variation (CV). Finally, a reliability-oriented multi-objective optimization framework based on NSGA-II was developed, where a SmartTransformerRouter selects a reference loss estimate per candidate and CV is incorporated via constraints/penalties, with optional FEM triggering in high-uncertainty regions. Full article
Show Figures

Figure 1

24 pages, 5493 KB  
Article
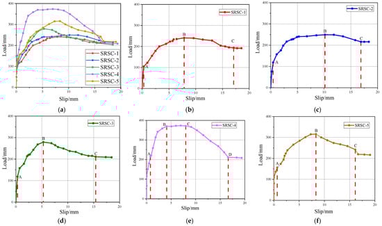
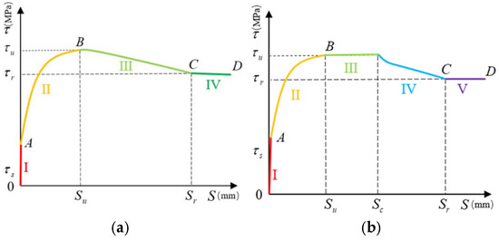
Bond–Slip Behavior Between Shotcrete and I-Shaped Steel with Studs in Tunnels: Experimental and Numerical Study via Push-Out Tests
by Minhao Li, Muyu Li and Junfu Lu
Appl. Sci. 2026, 16(4), 1854; https://doi.org/10.3390/app16041854 - 12 Feb 2026
Abstract
The bond–slip behavior between I-shaped steel and shotcrete crucially influences the cooperative deformation and overall bearing capacity of tunnel initial support. To clarify the bond–slip mechanism between the steel section and shotcrete, this study conducted push-out tests on five groups of stud-reinforced specimens, [...] Read more.
The bond–slip behavior between I-shaped steel and shotcrete crucially influences the cooperative deformation and overall bearing capacity of tunnel initial support. To clarify the bond–slip mechanism between the steel section and shotcrete, this study conducted push-out tests on five groups of stud-reinforced specimens, investigating the effects of stud geometry and arrangement. The tests revealed two primary failure modes—tensile and expansion failure—governed by stud quantity and strength. The typical bond–slip curve comprises four stages: non-slip, ascending, descending, and residual. The quantitative results highlight that stud arrangement and diameter significantly impact bearing capacity. The quincuncial layout achieved an ultimate load of 372.4 kN, which is 16.8% and 54.9% higher than that of the double-row (318.9 kN) and single-row (240.5 kN) parallel arrangements, respectively. Increasing the stud diameter from 13 mm to 16 mm boosted the ultimate load by 16.7% (from 240.5 kN to 280.7 kN). The residual load was approximately 62–87% of the ultimate load. Based on these findings, a bond–slip constitutive model was developed, showing high agreement with experimental data. This study provides theoretical support for optimizing steel–shotcrete support systems in tunnels, though generalizability is limited by sample size and the exclusion of long-term load effects. Full article
Show Figures

Figure 1

19 pages, 10980 KB  
Article
Landmine Press Kinematics Measured with an Enhanced YOLOv8 Model and Mathematical Modeling
by Rui Zhao, Rong Cong, Ruijie Zhou, Kelong Lin, Jianke Yang, Tongchun Kui, Jiajin Zhang, Ran Wang and Rou Dong
Sensors 2026, 26(4), 1161; https://doi.org/10.3390/s26041161 - 11 Feb 2026
Viewed by 83
Abstract
The landmine press is a reliable and valid test for assessing upper-body push strength. However, its application is constrained by the limitations of current mainstream monitoring technologies, such as linear position transducers (LPTs). These devices require physical attachment to the barbell, they rely [...] Read more.
The landmine press is a reliable and valid test for assessing upper-body push strength. However, its application is constrained by the limitations of current mainstream monitoring technologies, such as linear position transducers (LPTs). These devices require physical attachment to the barbell, they rely on proprietary software, and their measurement accuracy can degrade under high-load conditions due to sensor drift and electromechanical noise. To address these limitations, this study developed a markerless, non-contact, and vision-based system using an enhanced YOLOv8-OBB model and a mathematical modeling framework to measure four kinematic indicators during the concentric phase of the landmine press. By integrating a polarized self-attention mechanism, an improved C3k2 module, and an optimized SPPF structure, the system significantly enhanced detection accuracy and robustness for the small targets at both ends of the barbell, achieving an mAP@0.5 of 0.995 on the test set. A method comparison study was conducted against a widely used LPT device (GymAware) across four loads (20–35 kg) in 247 trials. The results showed strong correlations (r > 0.85) for peak velocity, mean velocity, peak power, and mean power. Although the vision-based method systematically overestimated velocity metrics, the bias was predictable. Notably, under the highest load (35 kg), where LPT limitations are pronounced, the vision system demonstrated comparative stability, suggesting its potential advantage in mitigating sensor-related errors. The findings demonstrate that this vision-based system offers a reliable and practical alternative for monitoring landmine press kinematics, suitable for both training and scientific research. Full article
(This article belongs to the Section Biomedical Sensors)
Show Figures

Figure 1

27 pages, 7563 KB  
Article
Research on the Elastic Stiffness of Stud–PBL Composite Shear Connectors in Composite Bridge Pylons
by Qinhe Li, Ronghui Wang, Yuyang Chen, Zhe Hu and Hengjie Zhao
Buildings 2026, 16(4), 720; https://doi.org/10.3390/buildings16040720 - 10 Feb 2026
Viewed by 93
Abstract
The application of steel–concrete composite structures in the pylons of long-span cable-stayed bridges can effectively address the issue of insufficient structural stiffness. Shear connectors are critical load-transfer components in steel–concrete composite segments, where they are typically arranged to ensure coordinated force transmission between [...] Read more.
The application of steel–concrete composite structures in the pylons of long-span cable-stayed bridges can effectively address the issue of insufficient structural stiffness. Shear connectors are critical load-transfer components in steel–concrete composite segments, where they are typically arranged to ensure coordinated force transmission between steel and concrete. The stud–PBL composite shear connector, as a novel type of connector, has been implemented in engineering practice. However, the collaborative load-bearing performance between studs and PBL connectors remains unclear. Most shear connectors operate within the elastic stage during service, making their elastic stiffness a key evaluation metric. Based on the Winkler elastic foundation beam theory, plane strain theory, and the spring series–parallel model, this study derives the elastic stiffness calculation formulas for stud shear connectors and PBL shear connectors, respectively. The primary focus of this study was the single-layer stud–PBL composite shear connector within the steel–concrete composite section of bridge pylons. Embedded push-out tests were designed and conducted, comprising three main categories and eight subcategories. The load–slip curves for the three types of shear connectors were generated, and the stiffness calculation formula for the stud–PBL composite shear connector was verified through finite element analysis. The comparative push-out tests and finite element simulations demonstrate that the theoretical formula proposed in this study can effectively analyze the elastic stiffness of three types of shear connectors. The elastic stiffness of composite shear connectors can be regarded as the superposition of the elastic stiffness of studs and PBL shear connectors. Compared with single shear connectors, composite shear connectors exhibit superior elastic stiffness and shear resistance, meeting the application requirements of steel–concrete composite bridge pylons. The research findings provide a theoretical basis for the optimal design of shear connectors in large-span cable-stayed bridge composite pylons. Furthermore, the established formula has broad applicability. Full article
(This article belongs to the Special Issue Innovative Design and Optimization of Steel Structures)
Show Figures

Figure 1

20 pages, 2033 KB  
Article
Effect of Preheating of Resin Luting Materials on Push-Out Bond Strength of Fiber Posts to Intraradicular Dentin
by Burcu Dikici, Nazlı Şirinsükan, Emre Alp Tüzüner and Esra Can
Polymers 2026, 18(4), 444; https://doi.org/10.3390/polym18040444 - 10 Feb 2026
Viewed by 119
Abstract
This study aimed to evaluate the effect of preheating on the push-out bond strength (PBS) and microhardness (HV) of fiber-reinforced flowable and injectable composites and to compare them with dual-cure resin–cement for post cementation. Fifty premolars were endodontically treated, and post spaces were [...] Read more.
This study aimed to evaluate the effect of preheating on the push-out bond strength (PBS) and microhardness (HV) of fiber-reinforced flowable and injectable composites and to compare them with dual-cure resin–cement for post cementation. Fifty premolars were endodontically treated, and post spaces were prepared. Specimens were divided into five groups (n = 10) based on the resin luting material. After adhesive application, fiber posts were luted with dual-cure resin–cement (LinkForce), fiber-reinforced flowable composites (EverX Flow; non-heated/preheated), and injectable composites (G-aenial Universal Injectable; non-heated/preheated). After 24 h, roots were sectioned (coronal, middle, apical) for PBS testing (Instron). For HV, 10 specimens per resin luting material were prepared, and top/bottom microhardness was measured to assess the depth of cure. Data were analyzed with two-way ANOVA and post hoc Tukey tests (p < 0.05). Both types of resin luting material and preheating significantly affected PBS and HV (p = 0.0001). Preheated EverX Flow showed significantly higher PBS and HV than LinkForce, while G-aenial Injectable exhibited the lowest values (p < 0.05). Within each resin luting material, PBS significantly decreased from the coronal to the apical region (p = 0.0001). Preheated fiber-reinforced flowable composites demonstrate improved microhardness and adhesion, offering a reliable alternative to the dual-cure resin–cements for fiber post cementation. Full article
(This article belongs to the Special Issue Advanced Polymers for Dental Applications)
Show Figures

Graphical abstract

16 pages, 2277 KB  
Article
Delayed Postural Responses to Fear of Falling During Gait Initiation in Low Vision: Insights from Virtual-Reality-Based Fear Simulation
by Mansoo Ko, Praveena K. Gupta, Gregory Brusola, Metha R. Chea, Pranati Ahuja, Tony Chao and Rodney L. Welsh
Healthcare 2026, 14(3), 400; https://doi.org/10.3390/healthcare14030400 - 5 Feb 2026
Viewed by 213
Abstract
Purpose: This study aimed to quantify the severity of fear of falling (FOF) in people with low vision (LV) compared with age–gender-matched healthy individuals during gait initiation (GI). Methods: A total of 14 adults with LV and 14 age–gender-matched healthy adults were recruited [...] Read more.
Purpose: This study aimed to quantify the severity of fear of falling (FOF) in people with low vision (LV) compared with age–gender-matched healthy individuals during gait initiation (GI). Methods: A total of 14 adults with LV and 14 age–gender-matched healthy adults were recruited from local communities. The Falls Efficacy Scale International was used to evaluate FOF. We compared temporal events between healthy and LV groups. For the healthy group, GI under normal vision was further compared to conditions using a low-vision sight simulator (SS) and an immersive virtual reality (VR) environment designed to simulate a fear-evoking experience. Independent t-test and one-way repeated measure ANOVA were conducted for statistical analysis (p < 0.05). Results: People with LV showed a significantly greater FOF than healthy individuals (p < 0.05). During GI, participants with LV exhibited significantly prolonged anticipatory postural adjustment (APA) durations compared to healthy normal and SS conditions (p < 0.05). While VR-evoked fear in healthy participants primarily prolonged the push-off (PO) phase, the delay in the LV group was characterized by a significantly extended initial anticipation (AP) phase. Notably, the APA duration in the LV group showed no significant difference compared to the healthy VR condition, indicating that the inherent fear in LV produces postural delays as severe as those induced by extreme VR-evoked fear of heights (p > 0.05). Conclusions: This study demonstrates that individuals with LV adopt a chronically conservative motor program during the transition from standing to walking. These postural hesitations are statistically comparable to those observed under fear-evoking, VR-induced environments. These findings suggest that LV is associated with a distinct biomechanical strategy that prioritizes static stability over dynamic movement. Accordingly, multidisciplinary rehabilitation approaches that emphasize sensory reweighting, including vestibular training, alongside interventions targeting FOF, may be essential for mitigating altered postural control and reducing fall risk in the LV population. Full article
(This article belongs to the Special Issue Fall Prevention and Geriatric Nursing)
Show Figures

Figure 1

38 pages, 1281 KB  
Article
Socio-Technical Transitions: Dynamic Interactions Between Actors and Regulatory Responses in Regulatory Sandboxes
by Youngdae Kim and Keuntae Cho
Sustainability 2026, 18(3), 1345; https://doi.org/10.3390/su18031345 - 29 Jan 2026
Viewed by 186
Abstract
This study draws on socio-technical transition theory to examine how multi-actor dynamics among producers, consumers, and the media within an experimental niche—Korea’s regulatory sandbox—shape policy responsiveness and the regulatory speed of governmental responses to emerging technologies, thereby influencing socio-technical transitions. We construct a [...] Read more.
This study draws on socio-technical transition theory to examine how multi-actor dynamics among producers, consumers, and the media within an experimental niche—Korea’s regulatory sandbox—shape policy responsiveness and the regulatory speed of governmental responses to emerging technologies, thereby influencing socio-technical transitions. We construct a longitudinal dataset of 2136 sandbox approvals between 2019 and 2025 and 1374 cases in which related legal or administrative adjustments have been completed. Changes in actor couplings before and after sandbox approval are first assessed using Pearson correlation analysis, while temporal lead–lag relationships are identified via vector autoregression (VAR) and Granger causality tests. Building on these dynamic analyses, the study subsequently investigates the determinants of regulatory response speed using ordered logistic regression, incorporating government policy orientation (progressive vs. conservative) as a moderating variable. The results show, first, that the strong producer–consumer coupling observed prior to sandbox approval weakens afterwards, whereas the consumer–media linkage becomes substantially stronger. Second, the time-series analysis of technologies within the regulatory sandbox reveals a typical technology-push pattern and a self-reinforcing feedback loop. Specifically, producer activity initiates the signal sequence, preceding consumer reactions; subsequently, media coverage significantly drives consumer engagement, and the resulting increase in consumer attention, in turn, stimulates further media coverage. Third, in the ordered logit model, media activity accelerates legal and regulatory reform, whereas consumer activity acts as a delaying factor, with producer activity showing no significant direct effect. Finally, government policy orientation systematically moderates the magnitude and direction of these effects. Overall, the study proposes an actor-centered mechanism in which learning generated in the sandbox is externalized through consumer–media channels and translated into regulatory pacing. Based on these findings, we derive practical implications for firms and regulators regarding proactive media engagement, transparent use of evidence, institutionalized channels for consumer input, and robust feedback standards that support sustainable commercialization of emerging technologies. Full article
(This article belongs to the Special Issue Environmental Planning and Governance for Sustainable Cities)
Show Figures

Figure 1

21 pages, 3185 KB  
Article
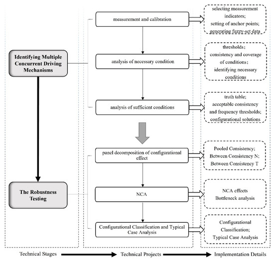
What Drives Green Technological Innovation Effectiveness? A Configurational Analysis
by Ranran Liu and Xuan Wei
Systems 2026, 14(2), 122; https://doi.org/10.3390/systems14020122 - 26 Jan 2026
Viewed by 188
Abstract
To facilitate the successful achievement of the goals outlined in the 2030 Agenda for Sustainable Development, it is imperative to accelerate the advancement of green technological innovation effectiveness (GTIE). This study aims to synthesize three types of drivers and seven concurrent driving factors [...] Read more.
To facilitate the successful achievement of the goals outlined in the 2030 Agenda for Sustainable Development, it is imperative to accelerate the advancement of green technological innovation effectiveness (GTIE). This study aims to synthesize three types of drivers and seven concurrent driving factors of green technological innovation effectiveness identified in existing theories, constructing a multiple concurrent mechanism model for such effectiveness. The fuzzy-set Qualitative Comparative Analysis (fsQCA) method is employed to identify the configurational conditions leading to high green technological innovation effectiveness. Furthermore, the robustness of these configurations is verified through panel decomposition, while Necessary Condition Analysis (NCA) is applied to test the necessity of the factors within these configurations and to conduct further examination. The results reveal that high green technological innovation effectiveness is driven by three types of multiple concurrent mechanisms: the “Demand–Pull and Technology–Push and Porter Effect-Driven” configuration type, the “Demand–Pull & Technology–Push-Driven” type, and the “Demand–Pull & Porter Effect-Driven” type. This paper’s contributions are threefold. First, it investigates the configurational drivers of green technological innovation effectiveness. Second, it uses Necessary Condition Analysis (NCA) to identify necessary conditions within these multiple concurrent effects, deepening insight into the drivers. Third, it reveals three patterns driving green innovation in industries and proposes corresponding sustainable manufacturing policy recommendations. Full article
(This article belongs to the Section Systems Practice in Social Science)
Show Figures

Figure 1

22 pages, 795 KB  
Systematic Review
AI Sparring in Conceptual Architectural Design: A Systematic Review of Generative AI as a Pedagogical Partner (2015–2025)
by Mirko Stanimirovic, Ana Momcilovic Petronijevic, Branislava Stoiljkovic, Slavisa Kondic and Bojana Nikolic
Buildings 2026, 16(3), 488; https://doi.org/10.3390/buildings16030488 - 24 Jan 2026
Viewed by 347
Abstract
Over the past five years, generative AI has carved out a major role in architecture, especially in education and visual idea generation. Most of the time, the literature talks about AI as a tool, an assistant, or sometimes a co-creator, always highlighting efficiency [...] Read more.
Over the past five years, generative AI has carved out a major role in architecture, especially in education and visual idea generation. Most of the time, the literature talks about AI as a tool, an assistant, or sometimes a co-creator, always highlighting efficiency and the end product in architectural design. There is a steady rise in empirical studies, yet the real impact on how young architects learn still lacks a solid theory behind it. In this systematic review, we dig into peer-reviewed work from 2015 to 2025, looking at how generative AI fits into architectural design education. Using PRISMA guidelines, we pull together findings from 40 papers across architecture, design studies, human–computer interaction and educational research. What stands out is a clear tension: on one hand, students crank out more creative work; on the other, their reflective engagement drops, especially when AI steps in as a replacement during early ideation instead of working alongside them. To address this, we introduce the idea of “AI sparring”. Here, generative AI is not just a helper—it becomes a provocateur, pushing students to think critically and develop stronger architectural concepts. Our review offers new ways to interpret AI’s role, moving beyond seeing it just as a productivity booster. Instead, we argue for AI as an active, reflective partner in education, and we lay out practical recommendations for studio-based teaching and future research. This paper is a theoretical review and conceptual proposal, and we urge future studies to test these ideas in practice. Full article
(This article belongs to the Section Construction Management, and Computers & Digitization)
Show Figures

Figure 1

9 pages, 836 KB  
Communication
Test–Retest Reliability of Single-Arm Closed Kinetic Chain Upper Extremity Stability Test
by Andy Waldhelm, Mareli Klopper, Matthew Paul Gonzalez, Stephanie Flynn, Edward Austin and Ron Masri
J. Funct. Morphol. Kinesiol. 2026, 11(1), 46; https://doi.org/10.3390/jfmk11010046 - 21 Jan 2026
Viewed by 179
Abstract
Background: The original Closed Kinetic Chain Upper Extremity Stability Test (CKCUEST) is a simple assessment tool but does not account for individual differences in hand starting position and fails to provide information on limb asymmetries. The purpose of the study is to evaluate [...] Read more.
Background: The original Closed Kinetic Chain Upper Extremity Stability Test (CKCUEST) is a simple assessment tool but does not account for individual differences in hand starting position and fails to provide information on limb asymmetries. The purpose of the study is to evaluate the test–retest reliability of a new single-arm CKCUEST as well as the reliability of the limb symmetry index (LSI). This version normalizes the test based on the participant’s arm length and allows for the assessment of limb symmetry since it is performed one arm at a time. Methods: Twelve healthy young adults provided both verbal and written consent to participate. Participants were excluded if they had sustained an injury in the past three months requiring medical attention and/or resulting in decreased activity for more than three days. Testing was conducted in the push-up position with participants’ thumbs placed parallel and at a distance equal to the length of their dominant arm (measured from the acromion to the tip of the middle finger), and feet positioned shoulder-width apart. Participants were instructed to keep the testing hand stable on the floor while the opposite hand reached across the body to touch the stationary hand and then return to the starting position marked with athletic tape. The goal was to complete as many touches as possible in 15 s, with each touch counted only if the participant touched the stationary hand, returned to the starting position, and maintained the shoulder-width stance. The average number of touches from the three trials was used for analysis. Intraclass Correlation Coefficients (ICC(3,1)) were computed to determine test–retest reliability. Results: Test–retest reliability of the single-arm CKCUEST individual tests was good to excellent. The ICC(3,1) was 0.88 (95% CI: 0.74–0.95) for all tests, 0.89 (95% CI: 0.66–0.96) for the dominant arm, and 0.93 (95% CI: 0.78–0.98) for the non-dominant arm. In contrast, the reliability of the Limb Symmetry Index (LSI) was questionable, showing substantial variability with an ICC(3,1) of 0.53 (95% CI: −0.03–0.83) between Day 1 and Day 2, despite similar mean values (Day 1: 93.6 ± 8.46; Day 2: 94.8 ± 5.77). The Kappa coefficient suggested a substantial level of agreement for the direction of the asymmetry (preferred limb) (Kappa coefficient = 0.62). Conclusions: The new single-arm CKCUEST, which personalizes the hand starting position and measures limb symmetry, demonstrates high reliability among healthy young adults. Full article
(This article belongs to the Section Kinesiology and Biomechanics)
Show Figures

Figure 1

17 pages, 4796 KB  
Article
Design and Wind-Induced Fatigue Analysis of a Dynamic Movable Sculpture in Coastal Environments: A Case Study of the Welcome Tower
by Leming Gu, Haixia Liu, Mingzhuo Rui, Laizhu Jiang, Jie Chen, Dagen Dong, Hai Wang and Jianguo Cai
Buildings 2026, 16(2), 350; https://doi.org/10.3390/buildings16020350 - 14 Jan 2026
Viewed by 259
Abstract
This study focuses on the design, material selection, and wind-induced fatigue analysis of a dynamic movable sculpture atop the Welcome Tower at Yazhou Bay Bougainvillea Park in Sanya. The sculpture, consisting of eight movable leaves, is driven by a hydraulic system enabling it [...] Read more.
This study focuses on the design, material selection, and wind-induced fatigue analysis of a dynamic movable sculpture atop the Welcome Tower at Yazhou Bay Bougainvillea Park in Sanya. The sculpture, consisting of eight movable leaves, is driven by a hydraulic system enabling it to assume five distinct shapes. Nickel-saving stainless steel (S22152/S32001) was chosen as the primary material due to its excellent corrosion resistance and strength, ensuring durability in the harsh coastal environment. The mechanical system is designed with a two-level lifting device, rotation system, and push-rod mechanism, allowing the leaves to perform functions such as rising, opening, closing, and rotating while minimizing mechanical load. Wind tunnel tests and numerical simulations were conducted to analyze the sculpture’s performance under wind loads. Using the rain-flow counting method and Miner’s linear fatigue accumulation theory, the study calculated stress amplitude and fatigue damage, finding that the most unfavorable fatigue life of the sculpture’s components is 380 years. This analysis demonstrates that the sculpture will not experience fatigue damage over its expected lifespan, providing valuable insights for the design of dynamic sculptures in coastal environments. The research integrates mechanical design, material selection, and fatigue analysis, ensuring the sculpture’s long-term stability and resistance to wind-induced fatigue. Full article
Show Figures

Figure 1

28 pages, 6063 KB  
Article
Experimental and Analytical Investigations on Glass-FRP Shear Transfer Reinforcement for Composite Concrete Construction
by Amr El Ragaby, Jehad Alkatan, Faouzi Ghrib and Mofrhe Alruwaili
Constr. Mater. 2026, 6(1), 5; https://doi.org/10.3390/constrmater6010005 - 9 Jan 2026
Viewed by 288
Abstract
In accelerated bridge construction, precast concrete girders are connected to cast-in-place concrete slab using shear transfer reinforcement across the interface plane to ensure the composite action. The steel transverse reinforcement is prone to severe corrosion due to the extensive use of de-icing salts [...] Read more.
In accelerated bridge construction, precast concrete girders are connected to cast-in-place concrete slab using shear transfer reinforcement across the interface plane to ensure the composite action. The steel transverse reinforcement is prone to severe corrosion due to the extensive use of de-icing salts and severe environmental conditions. As glass fiber-reinforced polymer (GFRP) reinforcement has shown to be an effective alternative to conventional steel rebars as flexural and shear reinforcement, the present research work is exploring the performance of GFRP reinforcements as shear transfer reinforcement between precast and cast-in-place concretes. Experimental testing was carried out on forty large-scale push-off specimens. Each specimen consists of two L-shaped concrete blocks cast at different times, cold joints, where GFRP reinforcement was used as shear friction reinforcement across the interface with no special treatment applied to the concrete surface at the interface. The investigated parameters included the GFRP reinforcement shape (stirrups and headed bars), reinforcement ratio, axial stiffness, and the concrete compressive strength. The relative slip, reinforcement strain, ultimate strength, and failure modes were reported. The test results showed the effectiveness and competitive shear transfer performance of GFRP compared to steel rebars. A shear friction model for predicting the shear capacity of as-cast, cold concrete joints reinforced by GFRP reinforcement is introduced. Full article
Show Figures

Figure 1

21 pages, 4727 KB  
Article
Effects of Groundwater Flux on Denitrification in a Steep Coastal Agricultural Island in Western Japan Using Push–Pull Tests
by Kelly Tiku Tarh, Shin-ichi Onodera, Mitsuyo Saito, Sharon Bih Kimbi and Miho Awamura
Hydrology 2026, 13(1), 23; https://doi.org/10.3390/hydrology13010023 - 7 Jan 2026
Viewed by 930
Abstract
This study investigated the influence of groundwater flux and temperature on denitrification in a steep coastal agricultural Island in western Japan. Push–pull tests (PPTs) were conducted at depths of 3 m, 15 m, and 30 m, during winter, spring, and summer to assess [...] Read more.
This study investigated the influence of groundwater flux and temperature on denitrification in a steep coastal agricultural Island in western Japan. Push–pull tests (PPTs) were conducted at depths of 3 m, 15 m, and 30 m, during winter, spring, and summer to assess denitrification under varying hydrogeological and seasonal conditions. The 3 m layer is silty loam, 15 m is granitic weathered soil, and 30 m is granitic weathered rock, each with distinct hydraulic conductivities and fluxes. The objectives were to assess denitrification rates and fluxes, assess depth- and season-related variability, and determine the relative roles of hydraulic flux and temperature on denitrification. Denitrification was higher at shallow (3 m) and deep (30 m) boreholes during low-flux periods, while low at the intermediate depth (15 m) where fluxes were highest. Temperature variation had weak correlations compared to hydraulic flux, which showed a strong inverse correlation with denitrification. These findings demonstrate that residence time, controlled by groundwater flux, is the dominant factor influencing nitrate attenuation in this steep coastal aquifer. The PPTs results indicate that denitrification rates derived from PPTs decrease under higher hydraulic fluxes, as these conditions promote more oxic conditions. The study highlights the potential for natural denitrification to mitigate nitrate contamination during low-flux periods, providing insights for sustainable groundwater management in agricultural island environments. Full article
Show Figures

Graphical abstract

15 pages, 2211 KB  
Article
Effect of Gutta-Percha Removal Methods on Fiber-Post Bond Strength
by Abdul Rahman Hamwieh, Haitham Elbishari, May Aljanahi, Fatemeh Amir-Rad, Amre R. Atmeh, Moosa Abuzayeda, Amar H. Khamis and Rashid El Abed
Dent. J. 2026, 14(1), 38; https://doi.org/10.3390/dj14010038 - 6 Jan 2026
Viewed by 374
Abstract
Objectives: This study evaluated the effect of three root canal filling material (RCFM) removal techniques—mechanical, thermo-mechanical, and chemico-mechanical—on the micro push-out bond strength of fiber posts to root dentin in endodontically treated teeth. Materials and Methods: Forty-five single-rooted human premolars were endodontically treated [...] Read more.
Objectives: This study evaluated the effect of three root canal filling material (RCFM) removal techniques—mechanical, thermo-mechanical, and chemico-mechanical—on the micro push-out bond strength of fiber posts to root dentin in endodontically treated teeth. Materials and Methods: Forty-five single-rooted human premolars were endodontically treated and randomly allocated into three groups (n = 15) according to the RCFM removal technique used during post-space preparation: mechanical, thermo-mechanical, or chemico-mechanical. Fiber posts were luted using a dual-cure resin cement. Roots were embedded in resin and sectioned into coronal, middle, and apical thirds. Micro push-out bond strength was measured using a universal testing machine. Failure modes were examined under a stereomicroscope and validated using scanning electron microscopy. Statistical analysis used two-way ANOVA and Chi-square tests (α = 0.05). Results: Both the thermo-mechanical and mechanical groups showed significantly higher bond strength values than the chemico-mechanical group (p < 0.001). Across all groups, the coronal third recorded the highest bond strength, while the apical third presented the lowest values (p < 0.001). Adhesive failure at the dentin–cement interface was the most frequent failure mode. Conclusions: The gutta-percha removal technique and the root canal region significantly influence fiber-post bond strength. Solvent-based chemico-mechanical methods may adversely affect adhesion quality. Clinical Relevance: Thermo-mechanical and mechanical removal techniques may provide more reliable post retention during retreatment procedures, improving adhesion and reducing the risk of post debonding in daily practice. Full article
(This article belongs to the Section Restorative Dentistry and Traumatology)
Show Figures

Figure 1

14 pages, 1828 KB  
Article
Associations Between Limited Dorsiflexion Under Load and Compensatory Hip/Pelvic Gait Patterns in Healthy Adults
by Kaden M. Kunz, David G. Kirk, John Wadner and Nickolai J. P. Martonick
Biomechanics 2026, 6(1), 6; https://doi.org/10.3390/biomechanics6010006 - 5 Jan 2026
Viewed by 440
Abstract
Background/Objectives: Limited ankle dorsiflexion has been associated with compensatory movement patterns throughout the lower extremity kinematic chain. This study investigated relationships between weight-bearing dorsiflexion capacity and lower limb kinematics and plantar pressure patterns during gait. Methods: Twenty-seven healthy adults (age: 22.8 [...] Read more.
Background/Objectives: Limited ankle dorsiflexion has been associated with compensatory movement patterns throughout the lower extremity kinematic chain. This study investigated relationships between weight-bearing dorsiflexion capacity and lower limb kinematics and plantar pressure patterns during gait. Methods: Twenty-seven healthy adults (age: 22.8 ± 3.4 years) performed a weight-bearing lunge test (WBLT) and walked at a standardized pace across a pressure-sensing walkway while wearing inertial measurement units. Statistical Parametric Mapping assessed correlations between WBLT dorsiflexion and kinematic variables throughout the stance phase. Partial correlations controlled for walking velocity and were used to examine relationships with discrete plantar pressure measurements. Results: Reduced dorsiflexion capacity during the WBLT showed bilateral moderate associations with less ankle dorsiflexion (LEFT: peak r = 0.53; RIGHT: peak r = 0.60) and knee flexion (LEFT: peak r = 0.56; RIGHT: peak r = 0.58) during terminal stance and push-off. Proximal compensations demonstrated limb-specific patterns. Hip abduction was strongly negatively correlated in the left leg only (peak r = −0.65), while pelvic tilt showed bilateral relationships with opposing temporal patterns (LEFT: peak r = −0.58 early stance; RIGHT: peak r = 0.62 terminal stance). Plantar pressure analysis revealed that reduced dorsiflexion was associated with decreased heel relative impulse bilaterally (r = 0.53–0.56) and altered temporal patterns of midfoot loading on the left leg (r = 0.56). Conclusions: Limited dorsiflexion under load is associated with compensatory movement patterns extending from the ankle to the pelvis bilaterally. The evaluation of loaded ankle mobility should be considered an essential component of lower extremity movement assessment. Full article
(This article belongs to the Section Gait and Posture Biomechanics)
Show Figures

Figure 1

Back to TopTop