Sign in to use this feature.

Years

Between: -

Subjects

remove_circle_outline
remove_circle_outline
remove_circle_outline
remove_circle_outline
remove_circle_outline
remove_circle_outline
remove_circle_outline

Journals

Article Types

Countries / Regions

Search Results (6)

Search Parameters:
Keywords = push–pull locomotion

Order results
Result details
Results per page
Select all
Export citation of selected articles as:
22 pages, 19937 KB  
Article
Development and Evaluation of a Two-Dimensional Extension/Contraction-Driven Rover for Sideslip Suppression During Slope Traversal
by Kenta Sagara, Daisuke Fujiwara and Kojiro Iizuka
Aerospace 2025, 12(8), 699; https://doi.org/10.3390/aerospace12080699 - 6 Aug 2025
Viewed by 354
Abstract
Wheeled rovers are widely used in lunar and planetary exploration missions owing to their mechanical simplicity and energy efficiency. However, they face serious mobility challenges on sloped soft terrain, especially in terms of sideslip and loss of attitude angle when traversing across slopes. [...] Read more.
Wheeled rovers are widely used in lunar and planetary exploration missions owing to their mechanical simplicity and energy efficiency. However, they face serious mobility challenges on sloped soft terrain, especially in terms of sideslip and loss of attitude angle when traversing across slopes. Previous research proposed using wheelbase extension/contraction and intentionally sinking wheels into the ground, thereby increasing shear resistance and reducing sideslip. Building upon this concept, this study proposes a novel recovery method that integrates beam extension/contraction and Archimedean screw-shaped wheels to enable lateral movement without rotating the rover body. The beam mechanism allows for independent wheel movement, maintaining stability by anchoring stationary wheels during recovery. Meanwhile, the helical structure of the screw wheels helps reduce lateral earth pressure by scraping soil away from the sides, improving lateral drivability. Driving experiments on a sloped sandbox test bed confirmed that the proposed 2DPPL (two-dimensional push-pull locomotion) method significantly reduces sideslip and prevents a drop in attitude angle during slope traversal. Full article
Show Figures

Figure 1

11 pages, 5727 KB  
Article
Experimental Verification of the Flexible Wheels for Planetary Rovers with the Push–Pull Locomotion Function
by Qingze He, Daisuke Fujiwara and Kojiro Iizuka
Aerospace 2024, 11(12), 1033; https://doi.org/10.3390/aerospace11121033 - 17 Dec 2024
Viewed by 941
Abstract
For push–pull locomotion, it has been confirmed by this research group that the support force of the wheels is enhanced by performing the sinking operation to provide support force. However, the sinking operation is an additional operation used for the rover to travel. [...] Read more.
For push–pull locomotion, it has been confirmed by this research group that the support force of the wheels is enhanced by performing the sinking operation to provide support force. However, the sinking operation is an additional operation used for the rover to travel. Ideally, if the rover can operate without sinking, travel efficiency is improved. On the other hand, flexible wheels are often used for the rover. Due to stress dispersion, these wheels are less likely to damage the ground. Therefore, it would be beneficial if the use of these wheels could improve the travel ability of the push–pull motion. In this study, we focused on whether the use of flexible wheels can avoid subsidence and tested their performance through different parameters. Full article
(This article belongs to the Section Astronautics & Space Science)
Show Figures

Figure 1

11 pages, 289 KB  
Review
Proprioceptive and Strength Exercise Guidelines to Prevent Falls in the Elderly Related to Biomechanical Movement Characteristics
by Pedro Aleixo and João Abrantes
Healthcare 2024, 12(2), 186; https://doi.org/10.3390/healthcare12020186 - 12 Jan 2024
Cited by 12 | Viewed by 4845
Abstract
Falls are a major concern in the elderly and walking is an important daily activity in which falls occur, with tripping and slipping being the most frequent causes. Gait biomechanical parameters have been related to the occurrence of falls in the elderly. Moreover, [...] Read more.
Falls are a major concern in the elderly and walking is an important daily activity in which falls occur, with tripping and slipping being the most frequent causes. Gait biomechanical parameters have been related to the occurrence of falls in the elderly. Moreover, there is evidence that falls can be prevented through exercise programs, which have been shown to be also effective in improving gait biomechanical parameters. However, a question remains: “What types of exercises must be included in exercise programs to prevent falls?”. The purpose of this manuscript was to present guidelines for a fall prevention exercise program for the elderly, which was created with the aim of improving the gait biomechanical parameters related to falls. The critical review performed during the preparation of this manuscript collected important evidence and knowledge in order to create a structural basis for the development of a fall prevention exercise program. This type of program should last 6 or more weeks and be prescribed based on four movement pillars (locomotion, level changes, pulling and pushing, and rotations); however, the locomotion pillar must be the focus of the program. Proprioceptive and functional strength exercises should be included in this program. Based on the theoretical rationale, a proposal for a fall prevention exercise program is presented. Full article
(This article belongs to the Section Healthcare Quality, Patient Safety, and Self-care Management)
12 pages, 2439 KB  
Article
Design of a Magnetic Soft Inchworm Millirobot Based on Pre-Strained Elastomer with Micropillars
by Yuzhang Wei, Zehao Wu, Ziyi Dai, Bingpu Zhou and Qingsong Xu
Biomimetics 2023, 8(1), 22; https://doi.org/10.3390/biomimetics8010022 - 6 Jan 2023
Cited by 17 | Viewed by 3622
Abstract
Rather than using longitudinal “muscle” as in biological inchworm, the existing magnetic active elastomer (MAE)-based inchworm robots utilize magnetic torque to pull and push the soft body, which hinders its locomotion mobility. In this paper, a new pre-strained MAE inchworm millirobot with micropillars [...] Read more.
Rather than using longitudinal “muscle” as in biological inchworm, the existing magnetic active elastomer (MAE)-based inchworm robots utilize magnetic torque to pull and push the soft body, which hinders its locomotion mobility. In this paper, a new pre-strained MAE inchworm millirobot with micropillars is proposed. The pre-strained elastomer serves as a pre-load muscle to contract the soft body, and the micropillars act as tiny feet to anchor the body during the locomotion. The proposed magnetic inchworm robot features a simple fabrication process that does not require special magnetization equipment. For the first time, the pre-load muscle is introduced in the design of magnetic inchworm robots, making it more like a real inchworm in terms of locomotion mechanism. The locomotion principle and parametric design for the desired locomotion performance have been investigated. Experimental results show that the fabricated magnetic inchworm robot (size: 10 mm × 5 mm, micropillars length: 200 µm, and mass: 262 g) can locomote on a smooth acrylic surface (roughness of 0.3 µm) at the speed of 0.125 body lengths per second, which is comparable with the existing magnetic inchworm robots. Moreover, the locomotion capabilities of the inchworm robot on wet surfaces and inclined planes have been verified via experimental studies. Full article
(This article belongs to the Special Issue Biorobotics)
Show Figures

Figure 1

22 pages, 12853 KB  
Article
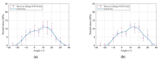
Measuring the Normal Stress Distribution Acting on a Locked-Wheel of Push–Pull Locomotion Rovers via a Wheel Sensor System
by Daisuke Fujiwara, Tetsuya Oshima and Kojiro Iizuka
Sensors 2020, 20(16), 4434; https://doi.org/10.3390/s20164434 - 8 Aug 2020
Cited by 5 | Viewed by 3011
Abstract
The resistance force generated when the locked-wheel acts on the soil is critical for deciding the traveling performance of push–pull locomotion. The resistance force depends on the tangential force of the sliding soil wedge beneath the wheel, and the tangential force depends on [...] Read more.
The resistance force generated when the locked-wheel acts on the soil is critical for deciding the traveling performance of push–pull locomotion. The resistance force depends on the tangential force of the sliding soil wedge beneath the wheel, and the tangential force depends on the forces of the soil and the wheel perpendicular to the tangential direction. Hence, the normal stress distribution of the locked-wheel can affect the resistance force. Previous studies indicated different insights that describe either a uniform or non-uniform shape of the normal stress distribution. The distribution of the locked-wheel still needs to be examined experimentally. This study measured the normal stress distribution using the wheel sensor system, and the variation of the contact area and slip surface beneath the wheel were also observed in PIV analysis. Those results showed that the normal stress distribution was non-uniform along the wheel contact area, and the change of the distribution was confirmed with the change of the contact area and slip surface. Then, the resistance force calculated by a preliminary model based on the measured data was compared with the total resistance force of the wheel measured by a separate sensor. This comparison provided a theoretical consideration for the measured data. Full article
(This article belongs to the Section Sensors and Robotics)
Show Figures

Figure 1

9 pages, 1513 KB  
Article
Control strategies of gecko’s toe in response to reduced gravity
by Zhongyuan Wang, Stanislav N. Gorb and Zhendong Dai
Appl. Sci. 2020, 10(7), 2257; https://doi.org/10.3390/app10072257 - 26 Mar 2020
Cited by 4 | Viewed by 2821
Abstract
Shear-induced adhesion is one of the key properties for the gecko moving safely and quickly in a three-dimensional environment. The control strategies of such locomotion strongly relying on adhesion are still not well understood. In this study, we measured foot alignment and three-dimensional [...] Read more.
Shear-induced adhesion is one of the key properties for the gecko moving safely and quickly in a three-dimensional environment. The control strategies of such locomotion strongly relying on adhesion are still not well understood. In this study, we measured foot alignment and three-dimensional reaction forces of the single toes of the Tokay gecko running on the ground freely (gravity condition) and running in a situation where the gravity force was counterbalanced (reduced gravity condition). The forelimb rotated from the outward position to the front-facing position and the hindlimb rotated from the outward position to the rear-facing position, when running with balanced force, which indicated that the adhesive system was employed behaviorally through the modulation of the foot alignment. The toe was compressed and pulled in the gravity condition, but it was tensed and pulled in the reduced gravity condition. There was an approximately linear relationship between peak normal forces and the corresponding shear forces in both the reduced gravity condition (FN = −0.40FS − 0.008) and the gravity condition (FN = 2.70FS − 0.12). The footpad was compressed and pushed in the gravity condition, whereas it was tensed and pulled in the reduced gravity condition. There was an approximately linear relationship between peak normal forces and the corresponding shear forces in both the reduced gravity condition (FN = −0.39FS − 0.001) and in the gravity condition (FN = −2.80FS − 0.08). The shear-induced adhesion of the gecko footpad is controlled by the coupling of the normal force and shear forces: that is why in this system adhesion was shear-sensitive and friction was load-sensitive. Our measurements of single toe reaction forces also show that geckos control their footpad attachment using ‘toe rolling-in and gripping’ motion in both gravity and reduced gravity conditions. Full article
Show Figures

Figure 1

Back to TopTop