Sign in to use this feature.

Years

Between: -

Subjects

remove_circle_outline
remove_circle_outline
remove_circle_outline
remove_circle_outline
remove_circle_outline
remove_circle_outline
remove_circle_outline
remove_circle_outline

Journals

Article Types

Countries / Regions

Search Results (45)

Search Parameters:
Keywords = pulverized fly ash

Order results
Result details
Results per page
Select all
Export citation of selected articles as:
23 pages, 9458 KB  
Article
Experimental Study on the Co-Combustion Characteristics of Brown Gas (HHO) and Bituminous Coal/Anthracite with Different Injection Modes in a One-Dimensional Furnace
by Kaihong Huo, Yunlong Cai, Yong He, Shiyan Liu, Chaoqun Xu, Siyu Liu, Wubin Weng, Yanqun Zhu and Zhihua Wang
Reactions 2026, 7(1), 2; https://doi.org/10.3390/reactions7010002 - 2 Jan 2026
Viewed by 354
Abstract
As the energy structure evolves, low-load operation of coal-fired boilers is becoming common, posing challenges to combustion stability. This study explored the co-combustion of brown gas (HHO) with bituminous coal and anthracite in a one-dimensional furnace. Results indicate that introducing HHO significantly elevated [...] Read more.
As the energy structure evolves, low-load operation of coal-fired boilers is becoming common, posing challenges to combustion stability. This study explored the co-combustion of brown gas (HHO) with bituminous coal and anthracite in a one-dimensional furnace. Results indicate that introducing HHO significantly elevated combustion temperatures, with maximum increases of 158 °C and 207 °C, respectively. In the premixed mode, the flame front shifted upstream, indicating advanced ignition timing. Moreover, HHO co-combustion notably enhanced the combustion stability of anthracite, as reflected in stabilized furnace temperatures. With increasing HHO flow rate, CO concentrations from both bituminous coal and anthracite were reduced by over 80%. The combustion efficiency of bituminous coal reached 98%, while the combustion efficiency of anthracite increased by 19% (premixed) and 13% (staged), confirming the premixed mode’s superiority in promoting complete combustion. HHO co-combustion increased SO2 emissions but had a complex effect on NOX emissions due to the competition between NOX reduction caused by HHO and NOX formation caused by the increased combustion temperature. HHO co-combustion changed the melting point of fly ash, increased the content of Al2O3, and reduced the content of Na2O, K2O, and MgO, influencing the slagging behavior of the boiler and the subsequent management of fly ash. Full article
Show Figures

Figure 1

20 pages, 2080 KB  
Article
Experimental Study on Microwave-Assisted Non-Thermal Plasma Technology for Industrial-Scale SO2 and Fly Ash Control in Coal-Fired Flue Gas
by Uğur Tekir
Processes 2025, 13(12), 3927; https://doi.org/10.3390/pr13123927 - 4 Dec 2025
Cited by 1 | Viewed by 435
Abstract
Growing efforts to reduce air pollution have accelerated the development of advanced flue gas treatment technologies for coal-fired power plants. This study presents the design, development, and industrial-scale implementation of a microwave-assisted non-thermal plasma reactor, powered by a 75 kW, 915 MHz magnetron, [...] Read more.
Growing efforts to reduce air pollution have accelerated the development of advanced flue gas treatment technologies for coal-fired power plants. This study presents the design, development, and industrial-scale implementation of a microwave-assisted non-thermal plasma reactor, powered by a 75 kW, 915 MHz magnetron, for simultaneous sulfur dioxide (SO2) removal and fly ash agglomeration. The reactor was installed on the outlet line of the selective catalytic reduction (SCR) system of a 22 MWe pulverized-coal-fired boiler and evaluated under real flue gas conditions. The flue gas stream, extracted by an induced-draft fan, was supplied to the reactor through two configurations—radial and axial injection—to investigate the influence of gas flow rate and microwave power on SO2 abatement performance. Under radial injection, the system achieved a maximum SO2 removal efficiency of 99.0% at 5194 Nm3/h and 75 kW, corresponding to a specific energy consumption of 14.4 Wh/Nm3. Axial injection resulted in a removal efficiency of 97.5% at 4100 Nm3/h. Beyond SO2 mitigation, exposure of flue gas to the microwave-assisted plasma environment significantly enhanced particle agglomeration, as confirmed by means of SEM imaging and particle size distribution analyses. Notably, the proportion of fine particles smaller than 2.5 µm (PM2.5) decreased from 70.25% to 18.63% after plasma treatment, indicating improved capture potential in the downstream electrostatic precipitator (ESP). Overall, microwave-assisted plasma provides efficient SO2 removal and enhanced particulate capture, offering a compact and potentially waste-free alternative to conventional systems. Full article
(This article belongs to the Special Issue Plasma Science and Plasma-Assisted Applications)
Show Figures

Figure 1

18 pages, 3886 KB  
Article
Bio-Desilication of Coal Fly Ash and the Impacts on Critical Metal Recovery
by Shulan Shi, Ting Chen, Simeng Ren and Jinhe Pan
Metals 2025, 15(8), 891; https://doi.org/10.3390/met15080891 - 8 Aug 2025
Cited by 2 | Viewed by 1426
Abstract
Critical metals such as rare earth elements (REEs) are primarily associated with silicates and aluminosilicates in coal fly ash, resulting in poor REE recovery. Silicate bacteria can decompose silicate minerals and release silicon, but their impact on REE extraction remains unclear. In this [...] Read more.
Critical metals such as rare earth elements (REEs) are primarily associated with silicates and aluminosilicates in coal fly ash, resulting in poor REE recovery. Silicate bacteria can decompose silicate minerals and release silicon, but their impact on REE extraction remains unclear. In this study, two coal fly ash samples with different origins and combustion methods were bioleached by Paenibacillus mucilaginosus, and the effects of bio-desilication on REE leaching were examined. First, the optimal bio-desilication conditions were determined as a pulp density of 1%, an initial pH of 7.0 and an initial cell concentration OD600 = 0.2. Compared to circulating fluidized bed (CFB) coal fly ash, silicon in pulverized coal furnace (PCF) coal fly ash was more difficult to dissolve by P. mucilaginosus. After bio-desilication, the acid leaching rate of REEs improved by 8–15% for CFB coal fly ash but only 4–5% for the PCF sample. Further investigation found that the surface turned rough and the specific surface area of coal fly ash increased after bio-desilication, which are conducive to REE extraction. Additionally, there was more quartz and mullite in PCF coal fly ash, which are more resistant to biological corrosion than amorphous silicate. The results demonstrate that bio-desilication can improve REE recovery, providing new perspectives for the low-cost green utilization of coal fly ash. Full article
Show Figures

Figure 1

15 pages, 9377 KB  
Article
The Composition–Structure Relationship and the Formation of Fly Ash Skeletal-Dendritic Ferrospheres
by Natalia N. Anshits, Elena V. Fomenko, Nadezhda P. Kirik and Alexander G. Anshits
Molecules 2025, 30(7), 1442; https://doi.org/10.3390/molecules30071442 - 24 Mar 2025
Cited by 1 | Viewed by 782
Abstract
Ferrospheres (FSs) are a microspherical component of fly ash from pulverized coal combustion. The wide variations in chemical and phase composition, morphology, and the spherical design of FSs suggest their use as functional materials capable of replacing expensive synthesized materials. A general understanding [...] Read more.
Ferrospheres (FSs) are a microspherical component of fly ash from pulverized coal combustion. The wide variations in chemical and phase composition, morphology, and the spherical design of FSs suggest their use as functional materials capable of replacing expensive synthesized materials. A general understanding of the formation of FSs from thermochemical transformations of the mineral components of the original coal is important for identifying the most promising sources of FSs with a high content of a certain morphological type active in a specific process. A systematic SEM-EDS study of the composition–structure relationship of the skeletal-dendritic FSs isolated from fly ash has revealed common routes of their formation. These FSs are formed as a result of thermochemical transformations of iron-containing minerals with the participation of aluminosilicates of the original coals. The aluminosilicate precursor that determines the skeletal-dendritic structure is illite. The crystallization of skeletal-dendritic globules occurs due to the “seed” of Al, Mg-ferrospinel formed from the thermochemical transformation of illite. The general trend of change in the structure of globules from a coarse skeletal to a fine dendritic structure is associated with a decrease in the main spinel-forming oxides content and an increase in the silicate melt viscosity. Full article
Show Figures

Figure 1

13 pages, 1553 KB  
Article
Utilization of a PFA-GGBS-Based Precursor in Geopolymer Concrete Production as a Sustainable Substitute for Conventional Concrete
by Jonathan Oti, Blessing O. Adeleke, Lito R. Casabuena, John M. Kinuthia and Samuel Sule
Materials 2025, 18(6), 1309; https://doi.org/10.3390/ma18061309 - 16 Mar 2025
Cited by 11 | Viewed by 1663
Abstract
Awareness of environmental sustainability is driving the shift from conventional Portland cement, a major contributor to carbon dioxide emissions, to more sustainable alternatives. This study focuses on developing a geopolymer concrete by optimizing geopolymer concrete mixtures with various ratios of Ground Granulated Blast [...] Read more.
Awareness of environmental sustainability is driving the shift from conventional Portland cement, a major contributor to carbon dioxide emissions, to more sustainable alternatives. This study focuses on developing a geopolymer concrete by optimizing geopolymer concrete mixtures with various ratios of Ground Granulated Blast Furnace Slag (GGBS) and pulverized fly ash (PFA) as precursors, aiming to find a mix that maximizes strength while minimizing environmental impacts. The precursor was activated using a laboratory-synthesized silica fume (SF)-derived sodium silicate solution in combination with NaOH at a molarity of 10M. This study aims to find the optimal geopolymer concrete mix with a 0.55 water-to-binder ratio, a 0.40 alkali-to-precursor ratio, and a 1:1 sodium silicate to sodium hydroxide ratio. Ordinary Portland cement was used as the control mix binder (C), while the geopolymer mixes included varying GGBS-PFA compositions [CL0 (50% GGBS—50% PFA), CL1 (60% GGBS—40% PFA), CL2 (70% GGBS—30% PFA), CL3 (80% GGBS—20% PFA), and CL4 (90% GGBS—10% PFA)]. The engineering performance of the mixtures was assessed using slump, unconfined compressive strength, split tensile, and flexural strength tests in accordance with their relevant standards. Observations showed that GPC specimens exhibited similar or slightly higher strength values than conventional concrete using PC. In addition to strength, geopolymers have a smaller environmental footprint, consuming less energy and reducing greenhouse gas emissions. These qualities make geopolymer concrete a sustainable construction option that aligns with global efforts to reduce carbon emissions and conserve resources. Full article
Show Figures

Figure 1

12 pages, 4190 KB  
Article
An Experimental Study of Coal Gangue Pulverization for Slurry Making and a Field Test on Hulusu Coal Mine Overburden Grouting
by Jian Li, Dayang Xuan, Jialin Xu and Jianchao Xu
Appl. Sci. 2025, 15(1), 475; https://doi.org/10.3390/app15010475 - 6 Jan 2025
Cited by 3 | Viewed by 1292
Abstract
Coal gangue is a solid waste produced in the coal mining process. During the mining process, mining-induced overburden fractures are a favorable place for the storage of coal gangue; therefore, coal gangue can be incorporated into filling materials for harmless disposal. Overburden isolated [...] Read more.
Coal gangue is a solid waste produced in the coal mining process. During the mining process, mining-induced overburden fractures are a favorable place for the storage of coal gangue; therefore, coal gangue can be incorporated into filling materials for harmless disposal. Overburden isolated grout filling is a better technology for solid waste reduction, which is currently in development. This paper delves into the methodology of large-scale coal gangue disposal, utilizing this specific technology. With reference to fly ash granules and their slurry characteristics that have been previously applied successfully, raw gangue was pulverized and transformed into a slurry. This experiment then investigated the fundamental characteristics of the gangue powder solids and slurry. This study’s findings reveal that the composition types of granule oxides following gangue pulverization closely resemble those of fly ash, with minimal content differences observed between identical oxides. Regarding slurry characteristics, the plastic viscosity of fly ash slurry ranged from 0.45 to 145.2 mPa·s, whereas the plastic viscosity of gangue slurry varied between 2.1 and 56.4 mPa·s. Notably, the stability and fluidity of the gangue slurry surpassed those of the fly ash slurry. Furthermore, regarding the filling efficiency, the compaction coefficient of gangue slurry is less than that of fly ash. Consequently, under identical grouting conditions, a larger mass of solids can be disposed of using gangue slurry compared to fly ash. The research findings facilitate the implementation of a practice involving the overburden isolated grout filling of over million tons of coal gangue in the 21404 working face of the Hulusu coal mine, located in Inner Mongolia, China. This practice has demonstrated a daily filling capacity of up to 4000 t, accumulating to a total gangue filling mass of 1,068,000 t. This study’s findings present a viable and efficient approach to the large-scale, environmentally friendly disposal of coal gangue. Full article
Show Figures

Figure 1

16 pages, 2282 KB  
Article
The Effects of Bi-Combination of GGBS and PFA on the Mechanical Properties of Concrete
by Qusai Al-Waked, Amin Almasri, Jiping Bai, Mohammad Aljaberi, Fandi Al-Waked and Ahmad Al-Waked
Waste 2024, 2(4), 474-489; https://doi.org/10.3390/waste2040025 - 21 Nov 2024
Viewed by 3565
Abstract
The main thrust of the current study is to examine the effects of ground granulated blast-furnace slag (GGBS), pulverized fuel ash (PFA), and bi-combination of GGBS and PFA on the mechanical properties of concrete. Seven concrete mixes were carried out in this study; [...] Read more.
The main thrust of the current study is to examine the effects of ground granulated blast-furnace slag (GGBS), pulverized fuel ash (PFA), and bi-combination of GGBS and PFA on the mechanical properties of concrete. Seven concrete mixes were carried out in this study; including the control mix and the other six mixes had supplementary cementitious materials (GGBS, and PFA) as partial replacement of Portland cement at different replacement levels. The physical properties, oxides, and chemical composition of OPC, GGBS and PFA were experimentally investigated. The workability of the fresh concrete mixes was carried out by means of slump test and compaction index test. This study also examined the compressive strength of the different concrete mixes at different curing ages along with the splitting tensile strength. Cost analysis and the environmental impact of the different concrete mixes was also evaluated. The study results showed that the workability was significantly improved through the replacement of cement with PFA and GGBS. The utilisation of fly ash at 30% replacement level achieved the highest workability. The highest compressive strength was achieved by concrete mixes replacing 30% GGBS with cement, and a bi-combination of 10% PFA and 20% GGBS. The results also showed that the bi-combination of fly ash and GGBS at 10% and 20% replacement level was found to be favorable in terms of both cost and environmental impact. Full article
Show Figures

Figure 1

21 pages, 2501 KB  
Review
Ex Situ Stabilization/Solidification Approaches of Marine Sediments Using Green Cement Admixtures
by Pravendra Yadav, Andrea Petrella, Francesco Todaro, Sabino De Gisi, Claudia Vitone, Rossella Petti and Michele Notarnicola
Materials 2024, 17(14), 3597; https://doi.org/10.3390/ma17143597 - 21 Jul 2024
Cited by 6 | Viewed by 2858
Abstract
The routine dredging of waterways produces huge volumes of sediments. Handling contaminated dredged sediments poses significant and diverse challenges around the world. In recent years, novel and sustainable ex situ remediation technologies for contaminated sediments have been developed and applied. This review article [...] Read more.
The routine dredging of waterways produces huge volumes of sediments. Handling contaminated dredged sediments poses significant and diverse challenges around the world. In recent years, novel and sustainable ex situ remediation technologies for contaminated sediments have been developed and applied. This review article focuses on cement-based binders in stabilizing contaminants through the stabilization/solidification (S/S) technique and the utilization of contaminated sediments as a resource. Through S/S techniques, heavy metals can be solidified and stabilized in dense and durable solid matrices, reducing their permeability and restricting their release into the environment. Industrial by-products like red mud (RM), soda residue (SR), pulverized fly ash (PFA), and alkaline granulated blast furnace slag (GGBS) can immobilize heavy metal ions such as lead, zinc, cadmium, copper, and chromium by precipitation. However, in a strong alkali environment, certain heavy metal ions might dissolve again. To address this, immobilization in low pH media can be achieved using materials like GGBS, metakaolin (MK), and incinerated sewage sludge ash (ISSA). Additionally, heavy metals can be also immobilized through the formation of silicate gels and ettringites during pozzolanic reactions by mechanisms such as adsorption, ion exchanges, and encapsulation. It is foreseeable that, in the future, the scientific community will increasingly turn towards multidisciplinary studies on novel materials, also after an evaluation of the effects on long-term heavy metal stabilization. Full article
(This article belongs to the Section Advanced Composites)
Show Figures

Figure 1

17 pages, 24095 KB  
Article
Effect of Nozzle Quantity on the Flow Field Characteristics and Grinding Efficiency in a Steam Jet Mill
by Shenglong Huang, Yulu Zhang, Xixi Yin, Mingxing Zhang, Hong Li, Zhe Wang, Haiyan Chen and Huan Wang
Processes 2024, 12(7), 1500; https://doi.org/10.3390/pr12071500 - 17 Jul 2024
Cited by 2 | Viewed by 2338
Abstract
A steam jet mill (SJM), which employs industrial waste heat steam as a gas source, is a widely utilized apparatus for the pulverization of fly ash. To achieve elevated single-machine grinding capacity, efficiency improvement research based on structural optimization should be conducted. In [...] Read more.
A steam jet mill (SJM), which employs industrial waste heat steam as a gas source, is a widely utilized apparatus for the pulverization of fly ash. To achieve elevated single-machine grinding capacity, efficiency improvement research based on structural optimization should be conducted. In this study, numerical simulations and industrial experiments are carried out on SJMs equipped with three and six nozzles (hereinafter referred to as N3 and N6, respectively) to study the influence of nozzle quantity on the flow field and grinding efficiency. The numerical simulation results indicate that, under the N3 structure, particles can achieve a higher impact velocity in the comminution area and improve the kinetic energy of a single impact. In the conveying area, the airflow diffusion is better, resulting in an upward flow field that is more uniform. The classification area shows an increase in the uniformity of the flow field and a significant reduction in the local vortex structure, which is beneficial for accurate particle classification. In the interim, industrial experiments demonstrate that the N3 structure can markedly enhance the processing capacity and energy efficiency of the system. The smaller the feed particle size, the more pronounced the efficiency improvement. Full article
Show Figures

Figure 1

10 pages, 2509 KB  
Article
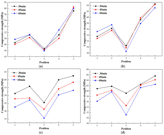
Effect of Pouring Time on the Integrity of Pulverized Fuel Ash Concrete
by Longyue Ni, Dapeng Zheng, Haibin Yang and Xiaobo Ding
Appl. Sci. 2024, 14(4), 1332; https://doi.org/10.3390/app14041332 - 6 Feb 2024
Viewed by 1462
Abstract
The effects of pouring time intervals on the integrity of pulverized fuel ash (PFA) concrete were evaluated by measuring ultrasonic pulse velocity and compressive strength. Concrete was poured progressively at different time intervals (30 min, 45 min, and 60 min) under similar conditions [...] Read more.
The effects of pouring time intervals on the integrity of pulverized fuel ash (PFA) concrete were evaluated by measuring ultrasonic pulse velocity and compressive strength. Concrete was poured progressively at different time intervals (30 min, 45 min, and 60 min) under similar conditions after the first batch of concrete was vibrated. The effects of the water–cement ratio (w/c) on ultrasonic pulse velocity were also compared and analyzed. Both compressive strength and ultrasonic pulse velocity decreased as the pouring time interval increased. When the water–cement ratio was 0.55, the pouring time interval had little effect on compressive strength, but when the w/c was reduced to 0.45, improvements in the compressive strength of concrete with different pouring time intervals were as high as 10 MPa. Under the condition of the same w/c and the same pouring time interval, improvements in the compressive strength of the interface were as high as 15 MPa, and the prolongation of the aging period could reduce the difference in strength to 8 MPa. The formula Fc=0.63e0.95Vc was used to infer the compressive strength of fly ash concrete at different ages by ultrasonic pulse velocity. Full article
Show Figures

Figure 1

13 pages, 17644 KB  
Article
Comparison of the Properties of Coal Gasification Fly Ash and Pulverized Coal Fly Ash as Supplementary Cementitious Materials
by Feng Luo and Yujie Jin
Sustainability 2023, 15(20), 14960; https://doi.org/10.3390/su152014960 - 17 Oct 2023
Cited by 4 | Viewed by 2278
Abstract
Using industrial waste as part of the raw material to produce cement-based materials is considered to be a sustainable cement and concrete materials production method. Coal gasification fly ash (hereafter CGFA) is a solid waste produced during the coal gasification process. Similar to [...] Read more.
Using industrial waste as part of the raw material to produce cement-based materials is considered to be a sustainable cement and concrete materials production method. Coal gasification fly ash (hereafter CGFA) is a solid waste produced during the coal gasification process. Similar to pulverized coal fly ash (hereafter PCFA), it is also a kind of fly ash discharged from combustion coal furnaces. With the development of coal gasification technology, more and more CGFA needs to be treated. Based on the successful experience of PCFA as a supplementary cementitious material in cement-based materials, CGFA is used as a supplementary cementitious material in this paper. A comparison of the performance of two coal-based fly ashes as a supplementary cementitious material (hereafter SCM) was conducted. The effects of two fly ashes on the fluidity and strength of cement mortar were discussed, and the mechanism was analyzed from the mineral composition and morphology of hydration products. At the same time, the properties of CGFA and ultrafine CGFA (UFCGFA) as an SCM were compared. The results show that CGFA has more negative effects on the fluidity of cement mortar than PCFA. But it has a greater contribution to the strength of cement mortar than PCFA. X-ray diffraction (XRD) and scanning electron microscopy (SEM) results show that the active components of CGFA participate in the hydration reaction faster, showing a stronger pozzolanic reactivity than PCFA. Ultrafine treatment of CGFA not only improves the pozzolanic activity but also reduces the negative effect on the fluidity of cement mortar. The contribution of UFCGFA to the fluidity and strength of cement mortar can be greatly improved. Full article
(This article belongs to the Collection Waste Utilization and Resource Recovery)
Show Figures

Figure 1

21 pages, 23259 KB  
Article
Microstructure and Water Retention Kinetics in Autogenous Cured Self-Compacting Concrete Blends Using Super Absorbent Polymer
by Lija Rajamony Laila, Aarthi Karmegam, Siva Avudaiappan and Erick I. Saavedra Flores
Polymers 2023, 15(18), 3720; https://doi.org/10.3390/polym15183720 - 11 Sep 2023
Cited by 3 | Viewed by 1749
Abstract
This research aimed to determine how a super absorbent polymer affects the microstructural characteristics and water retention kinetics of a new composite made by substituting granite pulver (GP) and fly ash (FA) for cement. Understanding the mechanics of water movement is crucial for [...] Read more.
This research aimed to determine how a super absorbent polymer affects the microstructural characteristics and water retention kinetics of a new composite made by substituting granite pulver (GP) and fly ash (FA) for cement. Understanding the mechanics of water movement is crucial for comprehending the effectiveness of autogenous curing. Several experiments were conducted to analyze the water mitigation kinetics of super absorbent polymer (SAP) in the hydrating cement paste of autogenous cured self-compacting concrete (GP-ACSSC) mixtures. In the first hours following casting, water sorptivity, water retention, and hydration tests were carried out. The effects of various concentrations of SAP and GP, which was utilized as an alternative cement for the production of sustainable concrete that leads to reduction in carbon footprint, on the autogenous cured self-compacting concrete with reference to the abovementioned properties were explored. The investigation showed that releasing the curing water at a young age, even around the beginning of hydration, allowed homogenous and almost immediate distribution of water across the full cured paste volume, which improved the water retention kinetics. Compared to the control mixtures, the addition of SAP up to 0.6% and the substitution of cement with GP up to 15% had favorable impacts on all water kinetics parameters. Full article
Show Figures

Figure 1

13 pages, 4395 KB  
Article
Effect of Carbonation Treatment on the Properties of Steel Slag Aggregate
by Jian Ma, Guangjian Dai, Feifei Jiang, Ning Wang, Yufeng Zhao and Xiaodong Wang
Materials 2023, 16(17), 5768; https://doi.org/10.3390/ma16175768 - 23 Aug 2023
Cited by 23 | Viewed by 3001
Abstract
Steel slag is the waste slag generated after steel smelting, which has cementitious activity. However, untreated steel slag can damage the integrity of steel slag concrete due to its harmful expansion. This study prepared porous aggregates by mixing powdered steel slag, fly ash, [...] Read more.
Steel slag is the waste slag generated after steel smelting, which has cementitious activity. However, untreated steel slag can damage the integrity of steel slag concrete due to its harmful expansion. This study prepared porous aggregates by mixing powdered steel slag, fly ash, and cement and carbonated them with CO2 under high pressure conditions (0.2 MPa). The effect of carbonation on the performance of steel slag aggregate was studied using volume stability and crushing value. The effect of different carbonation conditions on the products was studied using X-ray diffraction (XRD) and thermogravimetric (TG) analyses, and the carbon sequestration efficiency of steel slag under different treatment methods was quantitatively evaluated. The research results indicate that untreated steel slag was almost completely destroyed and lost its strength after autoclave curing. With the increase in temperature and carbonation time, the performance of steel slag aggregate gradually improved and the pulverization rate, expansion rate, and crushing value gradually decreased. According to the experimental results of XRD and TG, it was found that the reaction between f-CaO (free CaO) and CO2 in steel slag generated CaCO3, filling the pores inside the aggregate, which was the internal reason for the improvement of aggregate performance. After comparison, the best carbonation method was maintained at 55 °C for 72 h. After carbonation, the steel slag aggregate had a pulverization rate of 2.4%, an expansion rate of 0.23%, a crushing value of 23%, and a carbon sequestration efficiency of 11.27% per unit weight of aggregate. Full article
Show Figures

Figure 1

16 pages, 3363 KB  
Article
Study on the Utilization of Waste Thermoset Glass Fiber-Reinforced Polymer in Normal Strength Concrete and Controlled Low Strength Material
by Yeou-Fong Li, Yi-Wei Hsu, Jin-Yuan Syu, Bian-Yu Chen and Bo Song
Materials 2023, 16(9), 3552; https://doi.org/10.3390/ma16093552 - 5 May 2023
Cited by 8 | Viewed by 2736
Abstract
Thermoset glass fiber-reinforced polymers (GFRP) have been widely used in manufacturing and construction for nearly half a century, but the large amount of waste produced by this material is difficult to dispose of. In an effort to address this issue, this research investigates [...] Read more.
Thermoset glass fiber-reinforced polymers (GFRP) have been widely used in manufacturing and construction for nearly half a century, but the large amount of waste produced by this material is difficult to dispose of. In an effort to address this issue, this research investigates the reuse of thermoset GFRP waste in normal strength concrete (NSC) and controlled low-strength materials (CLSM). The mechanical performance and workability of the resulting concrete were also evaluated. To prepare the concrete specimens, the thermoset GFRP waste was first pulverized into granular pieces, which were then mixed with cement, fly ash, and water to form cylindrical concrete specimens. The results showed that when the proportion of thermoset GFRP waste aggregate in the concrete increased, the compressive strengths of NSC and CLSM would decrease. However, when incorporating 5% GFRP waste into CLSM, the compressive strength was 7% higher than concrete without GFRP. However, the workability of CLSM could be improved to meet engineering standards by adding an appropriate amount of superplasticizer. This finding suggests that the use of various combinations of proportions in the mixture during production could allow for the production of CLSM with different compressive strength needs. In addition, the use of recycled thermoset GFRP waste as a new aggregate replacement for traditional aggregates in CLSM was found to be a more sustainable alternative to the current CLSM combinations used in the market. Full article
(This article belongs to the Special Issue Strengthening, Repair, and Retrofit of Reinforced Concrete)
Show Figures

Figure 1

15 pages, 14507 KB  
Article
Distribution of Rare-Earth Elements in Ashes Produced in the Coal Combustion Process from Power Boilers
by Zdzisław Adamczyk, Joanna Komorek, Magdalena Kokowska-Pawłowska and Jacek Nowak
Energies 2023, 16(6), 2696; https://doi.org/10.3390/en16062696 - 14 Mar 2023
Cited by 9 | Viewed by 3130
Abstract
The growing demand for rare-earth elements and yttrium (REY) in modern technologies has resulted in the systematic depletion of primary ores. For this reason, research is being conducted around the world on alternative sources of rare-earth elements, e.g., on the possibilities of recovering [...] Read more.
The growing demand for rare-earth elements and yttrium (REY) in modern technologies has resulted in the systematic depletion of primary ores. For this reason, research is being conducted around the world on alternative sources of rare-earth elements, e.g., on the possibilities of recovering REY from coal waste or coal combustion. The article presents the results of comprehensive tests of the fuel—hard coal, and high-temperature HTA ash, fly ash, and bottom ash. Examined samples were taken from a Polish power plant. In the tests, fuel quality parameters were determined in accordance with the standards; microscopic observations in reflected and transmitted light, as well as a scanning electron microscope (SEM/EDS), were used, and chemical and phase composition were determined using ICP-MS and XRD methods, respectively. The distribution of REY between these ashes was analyzed. Their suitability as alternative sources of REY was assessed. The obtained results showed that the process of hard coal combustion in pulverized coal boilers influenced the geochemical differentiation of REY elements in energy waste. This differentiation is manifested by higher concentrations of REY and critical elements in the fly ash than in the bottom ash. The obtained values of the Coutl prospective coefficient made it possible to classify the analyzed fly and bottom ashes as prospective REY raw materials. Full article
(This article belongs to the Special Issue Selected Papers from the 5th Polish Mining Congress)
Show Figures

Figure 1

Back to TopTop