Bio-Desilication of Coal Fly Ash and the Impacts on Critical Metal Recovery
Abstract
1. Introduction
2. Materials and Methods
2.1. Materials
2.2. Bio-Desilication of Coal Fly Ash
2.3. Acid Leaching of Rare Earth Elements
3. Results and Discussion
3.1. Bio-Desilication of Coal Fly Ash by P. mucilaginosus
3.1.1. Condition Optimization of Bio-Desilication
3.1.2. The Effect of Culture Medium on Desilication
3.1.3. The Effect of Coal Fly Ash Type on Desilication
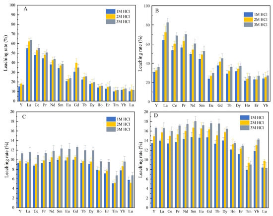
3.2. The Effect of Bio-Desilication on REE Extraction
3.3. Bio-Desilication Mechanisms
4. Conclusions
- The optimal bio-desilication conditions were pulp density 1%, initial pH 7.0, initial cell concentration OD600 = 0.2 and culture medium with a nitrogen source. Organic acids were produced by P. mucilaginosus, which decreased pH during bio-desilication.
- The silicon leaching rate was higher in CFB coal fly ash than in PCF coal fly ash. This is because PCF coal fly ash has a smooth surface and lower specific surface area, and contains more quartz and mullite, which are more resistant to biocorrosion compared to amorphous silicate.
- Bio-desilication improved the REE leaching rate of coal fly ash, with an increase of 8–15% for CFB coal fly ash and only 4–5% for PCF coal fly ash, indicating that the impact of bio-desilication on REE extraction depends on the coal fly ash type.
- P. mucilaginosus destroyed the structure of aluminosilicate, made the surface of CFA coarser and increased the specific surface area of CFA, which released REEs encapsulated in aluminosilicate and enhanced the reaction between coal fly ash and HCl, thus promoting REE recovery.
Supplementary Materials
Author Contributions
Funding
Data Availability Statement
Conflicts of Interest
Abbreviations
| REEs | Rare earth elements |
| CFB | Circulating fluidized bed |
| PCF | Pulverized coal furnace |
| CFA | Coal fly ash |
| FTIR | Fourier transform infrared |
| XRD | X-ray diffraction |
| SEM | Scanning electron microscopy |
| HPLC | High-performance liquid chromatography |
| OD600 | Optical density at 600 nm |
| RSD | Relative standard deviation |
References
- Zhang, W.; Noble, A.; Yang, X.; Honaker, R. A comprehensive review of rare earth elements recovery from coal-related materials. Minerals 2020, 10, 451. [Google Scholar] [CrossRef]
- Wu, G.; Wang, T.; Chen, G.; Shen, Z.; Pan, W.-P. Coal fly ash activated by NaOH roasting: Rare earth elements recovery and harmful trace elements migration. Fuel 2022, 324, 124515. [Google Scholar] [CrossRef]
- Pan, J.; Zhou, C.; Tang, M.; Cao, S.; Liu, C.; Zhang, N.; Wen, M.; Luo, Y.; Hu, T.; Ji, W. Study on the modes of occurrence of rare earth elements in coal fly ash by statistics and a sequential chemical extraction procedure. Fuel 2019, 237, 555–565. [Google Scholar] [CrossRef]
- Yildirim, H.; Sümer, M.; Akyüncü, V.; Gürbüz, E. Comparison on efficiency factors of F and C types of fly ashes. Constr. Build. Mater. 2011, 25, 2939–2947. [Google Scholar] [CrossRef]
- Liu, P.; Huang, R.; Tang, Y. Comprehensive understandings of rare earth element (REE) Speciation in coal fly ashes and implication for REE extractability. Environ. Sci. Technol. 2019, 53, 5369–5377. [Google Scholar] [CrossRef] [PubMed]
- Pan, J.; Long, X.; Zhang, L.; Shoppert, A.; Valeev, D.; Zhou, C.; Liu, X. The discrepancy between coal ash from muffle, circulating fluidized bed (CFB), and pulverized coal (PC) furnaces, with a focus on the recovery of iron and rare earth elements. Materials 2022, 15, 8494. [Google Scholar] [CrossRef] [PubMed]
- Pan, J.; Nie, T.; Vaziri Hassas, B.; Rezaee, M.; Wen, Z.; Zhou, C. Recovery of rare earth elements from coal fly ash by integrated physical separation and acid leaching. Chemosphere 2020, 248, 126112. [Google Scholar] [CrossRef]
- Pan, J.H.; Hassas, B.V.; Rezaee, M.; Zhou, C.C.; Pisupati, S.V. Recovery of rare earth elements from coal fly ash through sequential chemical roasting, water leaching, and acid leaching processes. J. Clean. Prod. 2021, 284, 124725. [Google Scholar] [CrossRef]
- Wang, Z.; Dai, S.; Zou, J.; French, D.; Graham, I.T. Rare earth elements and yttrium in coal ash from the Luzhou power plant in Sichuan, Southwest China: Concentration, characterization and optimized extraction. Int. J. Coal Geol. 2019, 203, 1–14. [Google Scholar] [CrossRef]
- Taggart, R.K.; Hower, J.C.; Hsu-Kim, H. Effects of roasting additives and leaching parameters on the extraction of rare earth elements from coal fly ash. Int. J. Coal Geol. 2018, 196, 106–114. [Google Scholar] [CrossRef]
- Shi, S.; Pan, J.; Dong, B.; Zhou, W.; Zhou, C. Bioleaching of rare earth elements: Perspectives from mineral characteristics and microbial species. Minerals 2023, 13, 1186. [Google Scholar] [CrossRef]
- Yang, Z.; Peng, C.; Iwan, M.; Chen, L.; He, M.; Zhang, Z.; Chen, Y.; Tang, J.; Wang, J.; Liu, Y.; et al. Microbial consortia-driven bioweathering provides new potential for sustainable recovery of rare earth elements (REE) in fly ash: From metagenome exploration to performance verification. J. Environ. Chem. Eng. 2024, 12, 113540. [Google Scholar] [CrossRef]
- Shen, L.; Zhou, H.; Qiu, G.; Zhao, H. A review of bioleaching combined with low-cost fermentation and metabolic engineering technology to leach rare earth elements. J. Environ. Chem. Eng. 2024, 12, 112117. [Google Scholar] [CrossRef]
- Seidel, A.; Zimmels, Y.; Armon, R. Mechanism of bioleaching of coal fly ash by Thiobacillus thiooxidans. Chem. Eng. J. 2001, 83, 123–130. [Google Scholar] [CrossRef]
- Ma, J.; Li, S.; Wang, J.; Jiang, S.; Panchal, B.; Sun, Y. Bioleaching rare earth elements from coal fly ash by Aspergillus niger. Fuel 2023, 354, 129387. [Google Scholar] [CrossRef]
- Fan, X.; Lv, S.; Xia, J.; Nie, Z.; Zhang, D.; Pan, X.; Liu, L.; Wen, W.; Zheng, L.; Zhao, Y. Extraction of Al and Ce from coal fly ash by biogenic Fe3+ and H2SO4. Chem. Eng. J. 2019, 370, 1407–1424. [Google Scholar] [CrossRef]
- Rezaei, H.; Shafaei, S.Z.; Abdollahi, H.; Ghassa, S.; Boroumand, Z.; Fallah Nosratabad, A. Spent-medium leaching of germanium, vanadium and lithium from coal fly ash with biogenic carboxylic acids and comparison with chemical leaching. Hydrometallurgy 2023, 217, 106038. [Google Scholar] [CrossRef]
- Su, H.; Tan, F.; Lin, J. An integrated approach combines hydrothermal chemical and biological treatment to enhance recycle of rare metals from coal fly ash. Chem. Eng. J. 2020, 395, 124640. [Google Scholar] [CrossRef]
- Raturi, G.; Sharma, Y.; Rana, V.; Thakral, V.; Myaka, B.; Salvi, P.; Singh, M.; Dhar, H.; Deshmukh, R. Exploration of silicate solubilizing bacteria for sustainable agriculture and silicon biogeochemical cycle. Plant Physiol. Biochem. 2021, 166, 827–838. [Google Scholar] [CrossRef]
- Zhang, Q.; Yan, X.; Peng, Y. Feasibility of bioleaching for extracting effective silicon from coal tailings: Optimization and modeling. J. Environ. Chem. Eng. 2025, 13, 115964. [Google Scholar] [CrossRef]
- Wang, Q.; Sheng, X.-F.; He, L.-Y.; Shan, Y. Improving bio-desilication of a high silica bauxite by two highly effective silica-solubilizing bacteria. Miner. Eng. 2018, 128, 179–186. [Google Scholar] [CrossRef]
- Sen, S.K.; Das, M.M.; Bandyopadhyay, P.; Dash, R.R.; Raut, S. Green process using hot spring bacterium to concentrate alumina in coal fly ash. Ecol. Eng. 2016, 88, 10–19. [Google Scholar] [CrossRef]
- Guo, Y.; Teng, Q.; Yang, Z.; Sun, B.; Liu, S. Investigation on bio-desilication process of fly ash based on a self-screened strain of Bacillus amyloliquefaciens and its metabolites. J. Biotechnol. 2021, 341, 146–154. [Google Scholar] [CrossRef] [PubMed]
- Li, X.; Yu, Y.; Li, Y.; Yin, Z.; Liu, X.; Lian, B. Molecular mechanism of increasing extracellular polysaccharide production of Paenibacillus mucilaginosus K02 by adding mineral powders. Int. Biodeterior. Biodegrad. 2022, 167, 105340. [Google Scholar] [CrossRef]
- Grady, E.N.; MacDonald, J.; Liu, L.; Richman, A.; Yuan, Z.-C. Current knowledge and perspectives of Paenibacillus: A review. Microb. Cell Fact. 2016, 15, 203. [Google Scholar] [CrossRef]
- Goswami, D.; Parmar, S.; Vaghela, H.; Dhandhukia, P.; Thakker, J.N. Describing Paenibacillus mucilaginosus strain N3 as an efficient plant growth promoting rhizobacteria (PGPR). Cogent Food Agr. 2015, 1, 1000714. [Google Scholar] [CrossRef]
- Xu, C.; Zhao, X.; Duan, H.; Gu, W.; Zhang, D.; Wang, R.; Lu, X. Synergistic enzymatic mechanism of lepidolite leaching enhanced by a mixture of Bacillus mucilaginosus and Bacillus circulans. Sci. Total Environ. 2024, 947, 174711. [Google Scholar] [CrossRef]
- Zhao, J.; Wu, W.; Zhang, X.; Zhu, M.; Tan, W. Characteristics of bio-desilication and bio-flotation of Paenibacillus mucilaginosus BM-4 on aluminosilicate minerals. Int. J. Miner. Process 2017, 168, 40–47. [Google Scholar] [CrossRef]
- Zhang, Q.; Liang, L.; Jing, M.; Yan, X.; Peng, Y. Bioleaching of available silicon from coal tailings using Bacillus mucilaginosus: A sustainable solution for soil improvement. Environ. Sci. Pollut. Res. 2023, 30, 93142–93154. [Google Scholar] [CrossRef]
- Hu, X.-F.; Li, S.-X.; Wu, J.-G.; Wang, J.-F.; Fang, Q.-L.; Chen, J.-S. Transfer of Bacillus mucilaginosus and Bacillus edaphicus to the genus Paenibacillus as Paenibacillus mucilaginosus comb. nov. and Paenibacillus edaphicus comb. nov. Int. J. Syst. Evol. Microbiol. 2010, 60, 8–14. [Google Scholar] [CrossRef]
- Liu, W.; Xu, X.; Wu, X.; Yang, Q.; Luo, Y.; Christie, P. Decomposition of silicate minerals by Bacillus mucilaginosus in liquid culture. Environ. Geochem. Health 2006, 28, 133–140. [Google Scholar] [CrossRef]
- Tian, H.; Cai, Z.; Zhang, Y.; Zheng, Q. Chemical mutation of Bacillus mucilaginosus genes to enhance the bioleaching of vanadium-bearing shale. Biochem. Eng. J. 2023, 197, 108962. [Google Scholar] [CrossRef]
- Hong, D.F. Determination of silicon dioxide in kaolin by silicon molybdenum blue spectrophotometry. Yejin Fenxi/Metall. Anal. 2017, 37, 59–64. [Google Scholar] [CrossRef]
- Ehrlich, H.; Demadis, K.D.; Pokrovsky, O.S.; Koutsoukos, P.G. Modern views on desilicification: Biosilica and abiotic silica dissolution in natural and artificial environments. Chem. Rev. 2010, 110, 4656–4689. [Google Scholar] [CrossRef]
- Delić, D.; Stajković-Srbinović, O.; Buntić, A. Hazards and usability of coal fly ash. In Advances in Understanding Soil Degradation; Saljnikov, E., Mueller, L., Lavrishchev, A., Eulenstein, F., Eds.; Springer International Publishing: Cham, Switzerland, 2022; pp. 571–608. [Google Scholar]
- Wang, W.; Guo, S.; Gu, X.; Li, X.; Huang, W.; Li, A. Bio-modification and application of coal fly ash in cementitious composites. Case Stud. Constr. Mat. 2022, 17, e01584. [Google Scholar] [CrossRef]
- Zhang, L.; Qiu, G.-Z.; Hu, Y.-H.; Sun, X.-J.; Li, J.-H.; Gu, G.-H. Bioleaching of pyrite by A. ferrooxidans and L. ferriphilum. Trans. Nonferr. Met. Soc. China 2008, 18, 1415–1420. [Google Scholar] [CrossRef]
- Lin, Y.; Li, S.; Li, X.; Lin, H.; Lei, N.; Wu, D.; Tong, J.; Xie, H. Bioleaching of silicon from fly ash by co-culture of silicate bacteria and fungi. Water Air Soil Pollut. 2023, 234, 755. [Google Scholar] [CrossRef]
- Li, O.; Lu, C.; Liu, A.; Zhu, L.; Wang, P.-M.; Qian, C.-D.; Jiang, X.-H.; Wu, X.-C. Optimization and characterization of polysaccharide-based bioflocculant produced by Paenibacillus elgii B69 and its application in wastewater treatment. Bioresour. Technol. 2013, 134, 87–93. [Google Scholar] [CrossRef]
- Tang, J.; Qi, S.; Li, Z.; An, Q.; Xie, M.; Yang, B.; Wang, Y. Production, purification and application of polysaccharide-based bioflocculant by Paenibacillus mucilaginosus. Carbohydr. Polym. 2014, 113, 463–470. [Google Scholar] [CrossRef]
- Lv, Y.; Li, J.; Chen, Z.; Liu, X.; Chen, B.; Zhang, M.; Ke, X.; Zhang, T.C. Effects of different silicate minerals on silicon activation by Ochrobactium sp. T-07-B. Environ. Sci. Pollut. Res. 2022, 29, 87393–87401. [Google Scholar] [CrossRef]
- Liu, Y.; Tian, B.; Xiao, R.; Li, Y.; Li, Z.; Cui, L.; Li, Z.; Liang, H. The bio-activation of pozzolanic activity of circulating fluidized-bed fly ash by Paenibacilllus mucilaginosus. Adv. Powder Technol. 2022, 33, 103621. [Google Scholar] [CrossRef]
- Huang, S.; Ning, S.; Zhang, D.; Cai, Y.; Yan, X.; Liu, K.; Xu, X. Rare earth element characteristics in coal ash from the Jungar energy gangue power plant, Inner Mongolia, China. Minerals 2023, 13, 1212. [Google Scholar] [CrossRef]
- Wang, T.; Yang, H.; Wu, Y.; Liu, Q.; Lv, J.; Zhang, H. Experimental study on the effects of chemical and mineral components on the attrition characteristics of coal ashes for fluidized bed boilers. Energy Fuels 2012, 26, 990–994. [Google Scholar] [CrossRef]
- Chen, H.; Wen, Z.; Pan, J.; Zhang, L.; He, X.; Valeev, D.; Zhou, C. Study on leaching behavior differences of rare earth elements from coal fly ash during microwave-assisted HCl leaching. Int. J. Coal Prep. Util. 2023, 43, 1993–2015. [Google Scholar] [CrossRef]
- Matias, P.C.; Mattiello, E.M.; Santos, W.O.; Badel, J.L.; Alvarez V., V.H. Solubilization of a K-silicate rock by Acidithiobacillus thiooxidans. Miner. Eng. 2019, 132, 69–75. [Google Scholar] [CrossRef]
- Rimer, J.D.; Trofymluk, O.; Navrotsky, A.; Lobo, R.F.; Vlachos, D.G. Kinetic and thermodynamic studies of silica nanoparticle dissolution. Chem. Mater. 2007, 19, 4189–4197. [Google Scholar] [CrossRef]











| Tartaric Acid | Citric Acid | Oxalic Acid | |
|---|---|---|---|
| Culture medium A | 0.53 | 1.75 | 0.36 |
| Culture medium B | 1.61 | 0.09 | 0.14 |
| Coal Fly Ash | Specific Surface Area (m2/g) |
|---|---|
| Circulating fluidized bed, raw | 9.45 |
| Circulating fluidized bed, residue | 14.28 |
| Pulverized coal furnace, raw | 1.88 |
| Pulverized coal furnace, residue | 8.66 |
Disclaimer/Publisher’s Note: The statements, opinions and data contained in all publications are solely those of the individual author(s) and contributor(s) and not of MDPI and/or the editor(s). MDPI and/or the editor(s) disclaim responsibility for any injury to people or property resulting from any ideas, methods, instructions or products referred to in the content. |
© 2025 by the authors. Licensee MDPI, Basel, Switzerland. This article is an open access article distributed under the terms and conditions of the Creative Commons Attribution (CC BY) license (https://creativecommons.org/licenses/by/4.0/).
Share and Cite
Shi, S.; Chen, T.; Ren, S.; Pan, J. Bio-Desilication of Coal Fly Ash and the Impacts on Critical Metal Recovery. Metals 2025, 15, 891. https://doi.org/10.3390/met15080891
Shi S, Chen T, Ren S, Pan J. Bio-Desilication of Coal Fly Ash and the Impacts on Critical Metal Recovery. Metals. 2025; 15(8):891. https://doi.org/10.3390/met15080891
Chicago/Turabian StyleShi, Shulan, Ting Chen, Simeng Ren, and Jinhe Pan. 2025. "Bio-Desilication of Coal Fly Ash and the Impacts on Critical Metal Recovery" Metals 15, no. 8: 891. https://doi.org/10.3390/met15080891
APA StyleShi, S., Chen, T., Ren, S., & Pan, J. (2025). Bio-Desilication of Coal Fly Ash and the Impacts on Critical Metal Recovery. Metals, 15(8), 891. https://doi.org/10.3390/met15080891

