Sign in to use this feature.

Years

Between: -

Subjects

remove_circle_outline
remove_circle_outline
remove_circle_outline
remove_circle_outline
remove_circle_outline
remove_circle_outline

Journals

Article Types

Countries / Regions

Search Results (7)

Search Parameters:
Keywords = pseudo-reference feedback

Order results
Result details
Results per page
Select all
Export citation of selected articles as:
26 pages, 27683 KB  
Article
A 0.9 V, Ultra-Low-Power OTA with Low NEF and High CMRR for Batteryless Biomedical Front-Ends
by Md. Zubair Alam Emon, Rifatuzzaman Apu and Mohamed B. Elamien
Electronics 2025, 14(22), 4520; https://doi.org/10.3390/electronics14224520 - 19 Nov 2025
Viewed by 529
Abstract
This paper presents a new operational transconductance amplifier (OTA) design for batteryless biomedical front-ends. The proposed OTA operates in the subthreshold region and utilizes self-cascode devices to achieve ultra-low power, low noise, and a high common-mode rejection ratio (CMRR [...] Read more.
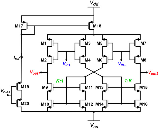
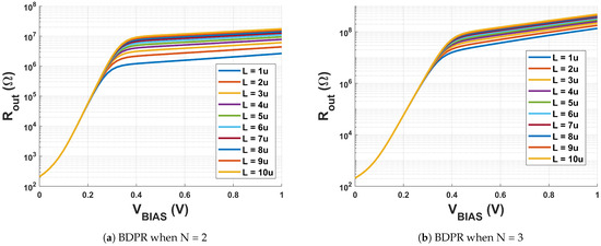
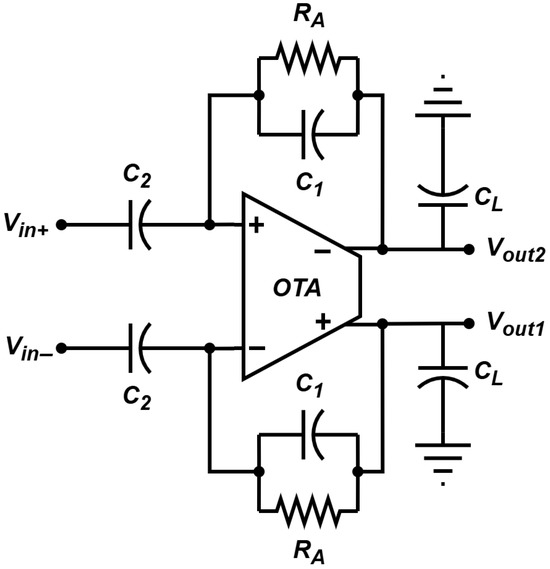
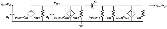
This paper presents a new operational transconductance amplifier (OTA) design for batteryless biomedical front-ends. The proposed OTA operates in the subthreshold region and utilizes self-cascode devices to achieve ultra-low power, low noise, and a high common-mode rejection ratio (CMRR). Post-layout simulations in Cadence, using 45 nm CMOS technology with 0.9 V supply voltage, show a power consumption of 49.3 nW, a CMRR of 144.9 dB, an input-referred noise of 4.51 μVrms integrated over 0.5–208 Hz, and a noise efficiency factor of 1.023 with a core silicon area of 0.00138 mm2. Using the proposed OTA, we implemented a 10-channel neural recording amplifier for Local Field Potentials (LFPs) based on a capacitively coupled, capacitive-feedback (CC-CF) topology with a body-driven pseudo-resistor high-pass path. The system achieves a total CMRR ≥ 70 dB and an estimated power of 494.2 nW for 10 channels. Compared with prior art, the proposed OTA offers competitive noise efficiency and common-mode rejection at lower power, making it a viable building block for batteryless neural and biomedical sensing front-ends. Full article
Show Figures

Figure 1

15 pages, 1924 KB  
Article
A New Method for Identification of Ginseng Radix et Rhizoma Adulterated with Panacis Quinquefolii Radix
by Yihang He, Xinyue Zhang, Zhe Wu, Wen Li, Lihui Zhang, Jiating Zhang, Fangliang He, Jia Chen, Xianlong Cheng and Feng Wei
Foods 2025, 14(20), 3566; https://doi.org/10.3390/foods14203566 - 20 Oct 2025
Viewed by 930
Abstract
In the regulatory market, it is not uncommon for ginseng radix et rhizoma (GR) to be adulterated with panacis quinquefolii radix (PR). Amid the digital transformation, this study puts forward a new method for the identification of GR adulterated with PR. Ultra-high-performance liquid [...] Read more.
In the regulatory market, it is not uncommon for ginseng radix et rhizoma (GR) to be adulterated with panacis quinquefolii radix (PR). Amid the digital transformation, this study puts forward a new method for the identification of GR adulterated with PR. Ultra-high-performance liquid chromatography–quadrupole time-of-flight mass spectrometry (UPLC-QTOF-MS) was used to detect multiple batches of GR and PR to obtain mass spectrometry data. The common ions were isolated from multiple batches of GR and PR, serving as GR and PR’s “ion matrices”. Furthermore, GR and PR’s “ion matrices” were used to eliminate intersecting ion data to extract the top-100 ions as GR and PR “matrix identity cards” (MICs). Then, GR and PR’s MICs were employed as a reference for identification, yielding contrast credibility (CC) as feedback. The results indicated that leveraging the MICs of GR and PR enables efficient and precise digital identification of the two herbs: pure GR showed CC ≥ 95% when matched with GR MIC (≤2% with PR MIC), pure PR showed CC ≥ 93% with PR MIC (≤3% with GR MIC), and non-parametric analysis confirmed significant differences between groups (p < 0.01). Even in 5% PR-adulterated samples, CC ranged from 24% to 28% (avg. 25.8%) when matched with PR MIC, leading to a 26% adulteration detection threshold. Moreover, two adulterated batches were identified among ten GR blind samples, which was consistent with verification via PR-specific pseudo-ginsenoside F11. This research is practically valuable for distinguishing between GR and PR, combating adulteration, and reinforcing GR quality management. It also informs the digital identification of GR via UPLC-QTOF-MS and “MICs”, contributing to the digital quality control of traditional Chinese medicines (TCMs). Full article
(This article belongs to the Section Food Analytical Methods)
Show Figures

Figure 1

23 pages, 6135 KB  
Article
Assessing Stability in Renewable Microgrid Using a Novel-Optimized Controller for PVBattery Based Micro Grid with Opal-RT-Based Real-Time Validation
by Anshuman Satpathy, Rahimi Bin Baharom, Naeem M. S. Hannon, Niranjan Nayak and Snehamoy Dhar
Energies 2024, 17(20), 5024; https://doi.org/10.3390/en17205024 - 10 Oct 2024
Cited by 3 | Viewed by 1806
Abstract
This paper focuses on the distributed generation (DG) controller of a PV-based microgrid. An independent DG controller (IDGC) is designed for PV applications to improve Maximum-Power Point Tracking (MPPT). The Extreme-Learning Machine (ELM)-based MPPT method exactly estimates the controller’s reference input, such as [...] Read more.
This paper focuses on the distributed generation (DG) controller of a PV-based microgrid. An independent DG controller (IDGC) is designed for PV applications to improve Maximum-Power Point Tracking (MPPT). The Extreme-Learning Machine (ELM)-based MPPT method exactly estimates the controller’s reference input, such as the voltage and current at the MPP. Feedback controls employ linear PI schemes or nonlinear, intricate techniques. Here, the converter controller is an IDGC that is improved by directly measuring the converter duty cycle and PWM index in a single DG PV-based MG. It introduces a fast-learning Extreme-Learning Machine (ELM) using the Moore–Penrose pseudo-inverse technique and online sequential ridge methods for robust control reference (CR) estimation. This approach ensures the stability of the microgrid during PV uncertainties and various operational conditions. The internal DG control approach improves the stability of the microgrid during a three-phase fault at the load bus, partial shading, irradiance changes, islanding operations, and load changes. The model is designed and simulated on the MATLAB/SIMULINK platform, and some of the results are validated on a hardware-in-the-loop (HIL) platform. Full article
(This article belongs to the Topic Advanced Energy Harvesting Technology)
Show Figures

Graphical abstract

14 pages, 3008 KB  
Article
Contrastive Refinement for Dense Retrieval Inference in the Open-Domain Question Answering Task
by Qiuhong Zhai, Wenhao Zhu, Xiaoyu Zhang and Chenyun Liu
Future Internet 2023, 15(4), 137; https://doi.org/10.3390/fi15040137 - 31 Mar 2023
Cited by 2 | Viewed by 2994
Abstract
In recent years, dense retrieval has emerged as the primary method for open-domain question-answering (OpenQA). However, previous research often focused on the query side, neglecting the importance of the passage side. We believe that both the query and passage sides are equally important [...] Read more.
In recent years, dense retrieval has emerged as the primary method for open-domain question-answering (OpenQA). However, previous research often focused on the query side, neglecting the importance of the passage side. We believe that both the query and passage sides are equally important and should be considered for improved OpenQA performance. In this paper, we propose a contrastive pseudo-labeled data constructed around passages and queries separately. We employ an improved pseudo-relevance feedback (PRF) algorithm with a knowledge-filtering strategy to enrich the semantic information in dense representations. Additionally, we proposed an Auto Text Representation Optimization Model (AOpt) to iteratively update the dense representations. Experimental results demonstrate that our methods effectively optimize dense representations, making them more distinguishable in dense retrieval, thus improving the OpenQA system’s overall performance. Full article
Show Figures

Figure 1

16 pages, 34204 KB  
Article
A Standard-Cell-Based CMFB for Fully Synthesizable OTAs
by Francesco Centurelli, Riccardo Della Sala and Giuseppe Scotti
J. Low Power Electron. Appl. 2022, 12(2), 27; https://doi.org/10.3390/jlpea12020027 - 5 May 2022
Cited by 26 | Viewed by 5058
Abstract
In this paper, we propose a fully standard-cell-based common-mode feedback (CMFB) loop with an explicit voltage reference to improve the CMRR of pseudo-differential standard-cell-based amplifiers and to stabilize the dc output voltage. This latter feature allows robust biasing of operational transconductance amplifiers (OTAs) [...] Read more.
In this paper, we propose a fully standard-cell-based common-mode feedback (CMFB) loop with an explicit voltage reference to improve the CMRR of pseudo-differential standard-cell-based amplifiers and to stabilize the dc output voltage. This latter feature allows robust biasing of operational transconductance amplifiers (OTAs) based on a cascade of such stages. A detailed analysis of the CMFB is reported to both provide insight into circuit behavior and to derive useful design guidelines. The proposed CMFB is then exploited to build a fully standard-cell OTA suitable for automatic place and route. Simulation results referring to the standard-cell library of a commercial 130 nm CMOS process illustrated a differential gain of 28.3 dB with a gain-bandwidth product of 15.4 MHz when driving a 1.5 pF load capacitance. The OTA exhibits good robustness under PVT and mismatch variations and achieves state-of-the-art FOMs also thanks to the limited area footprint. Full article
(This article belongs to the Special Issue Ultra-Low-Power ICs for the Internet of Things)
Show Figures

Figure 1

27 pages, 3777 KB  
Article
A New, Fast Pseudo-Random Pattern Generator for Advanced Logic Built-In Self-Test Structures
by Tomasz Garbolino
Appl. Sci. 2021, 11(20), 9476; https://doi.org/10.3390/app11209476 - 12 Oct 2021
Cited by 7 | Viewed by 3864
Abstract
Digital cores that are currently incorporated into advanced Systems on Chip (SoC) frequently include Logic Built-In Self-Test (LBIST) modules with the Self-Test Using MISR/Parallel Shift Register Sequence Generator (STUMPS) architecture. Such a solution always comprises a Pseudo-Random Pattern Generator (PRPG), usually designed as [...] Read more.
Digital cores that are currently incorporated into advanced Systems on Chip (SoC) frequently include Logic Built-In Self-Test (LBIST) modules with the Self-Test Using MISR/Parallel Shift Register Sequence Generator (STUMPS) architecture. Such a solution always comprises a Pseudo-Random Pattern Generator (PRPG), usually designed as a Linear Feedback Shift Register (LFSR) with a phase shifter attached to the register and arranged as a network of XOR gates. This study discloses an original and innovative structure of such a PRPG unit referred to as the DT-LFSR-TPG module that needs no phase shifter. The module is designed as a set of identical linear registers of the DT-LFSR type with the same primitive polynomial. Each register has a form of a ring made up exclusively of D and T flip-flops. This study is focused on the investigation of those parameters of DT-LFSR registers that are essential to use these registers as components of PRPG modules. The investigated parameters include phase shifts and the correlation between sequences of bits appearing at outputs of T flip-flops, implementation cost, and the maximum frequency of the register operation. It is demonstrated that PRPG modules of the DT-LFSR-TPG type enable much higher phase shifts and substantially higher operation frequencies as compared to competitive solutions. Such modules can also drive significantly more scan paths than other PRPGs described in reference studies and based on phase shifters. However, the cost of the foregoing advantages of DT-LFSR-TPG modules is the larger hardware overhead associated with the implementation of the solution proposed. Full article
(This article belongs to the Special Issue Energy, Area, and Speed—Efficient Digital Circuits)
Show Figures

Figure 1

15 pages, 1766 KB  
Article
A Selective Video Encryption Scheme Based on Coding Characteristics
by Shuli Cheng, Liejun Wang, Naixiang Ao and Qingqing Han
Symmetry 2020, 12(3), 332; https://doi.org/10.3390/sym12030332 - 26 Feb 2020
Cited by 44 | Viewed by 6466
Abstract
The protection of video data has become a hot topic of research. Researchers have proposed a series of coding algorithms to ensure the safe and efficient transmission of video information. We propose an encryption scheme that can protect video information with higher security [...] Read more.
The protection of video data has become a hot topic of research. Researchers have proposed a series of coding algorithms to ensure the safe and efficient transmission of video information. We propose an encryption scheme that can protect video information with higher security by combining the video coding algorithm with encryption algorithm. The H.264/AVC encoding algorithm encodes the video into multiple slices, and the slices are independent of each other. With this feature, we encrypt each slice while using the cipher feedback (CFB) mode of the advanced encryption standard (AES) with the dynamic key. The key is generated by the pseudo-random number generator (PRNG) and updated in real time. The encryption scheme goes through three phases: constructing plaintext, encrypting plaintext, and replacing the original bitstream. In our scheme, we encrypt the code stream after encoding, so it does not affect the coding efficiency. The purpose of the CFB mode while using the AES encryption algorithm is to maintain the exact same bit rate and produce a format compatible bitstream. This paper proposes a new four-dimensional (4-D) hyperchaotic algorithm to protect data privacy in order to further improve the security of video encryption. Symmetric encryption requires that the same key is used for encryption and decoding. In this paper, the symmetry method is used to protect the privacy of video data due to the large amount of video encrypted data. In the experiment, we evaluated the proposed algorithm while using different reference video sequences containing motion, texture, and objects. Full article
Show Figures

Graphical abstract

Back to TopTop