Sign in to use this feature.

Years

Between: -

Subjects

remove_circle_outline
remove_circle_outline
remove_circle_outline
remove_circle_outline
remove_circle_outline

Journals

Article Types

Countries / Regions

Search Results (19)

Search Parameters:
Keywords = proppant embedment

Order results
Result details
Results per page
Select all
Export citation of selected articles as:
30 pages, 3627 KB  
Article
A Multi-Parameter Integrated Model for Shale Gas Re-Fracturing Candidate Selection
by Wei Liu, Yanchao Li, Pinghua Shu, Cai Deng, Hao Jiang, Haobo Feng, Dechun Chen and Liangliang Wang
Energies 2026, 19(1), 23; https://doi.org/10.3390/en19010023 - 19 Dec 2025
Viewed by 298
Abstract
With the continuous advancement of shale gas field development, well productivity following initial hydraulic fracturing often declines due to mechanisms such as proppant embedment and fracture conductivity degradation. However, such wells may still retain significant development potential, making re-fracturing crucial for restoring production [...] Read more.
With the continuous advancement of shale gas field development, well productivity following initial hydraulic fracturing often declines due to mechanisms such as proppant embedment and fracture conductivity degradation. However, such wells may still retain significant development potential, making re-fracturing crucial for restoring production and highlighting the critical importance of accurate candidate selection for re-fracturing. To improve the precision of candidate well selection for re-fracturing in shale gas wells, this study focuses on a shale gas block in the Southern Chuan Basin. Through comparative analysis of existing selection methods, 14 key parameters were finalized. The threshold values for some of these key parameters were recalibrated based on the specific geological, engineering, and production characteristics of the target block in the Southern Chuan Basin. Furthermore, the AHP-GRA (Analytic Hierarchy Process-Gray Relational Analysis) weighting method was integrated to achieve a balance between empirical knowledge and quantitative objectivity. Ultimately, a more targeted, comprehensive, and combined subjective–objective methodology for selecting re-fracturing candidate wells was developed. A computational tool developed in Python 3.9 was utilized to evaluate 13 candidate wells in the block, successfully identifying three high-priority wells for re-fracturing implementation. The reliability of this selection result was validated by analyzing production data before and after re-fracturing, confirming that the production performance of the selected wells showed relatively significant improvement post re-fracturing, with a notable increase in recovery factor. This model provides critical decision-making support for the low-cost and large-scale development of shale gas. It holds significant theoretical and practical value for promoting the secondary development of mature shale gas wells and contributes positively to the efficient utilization of unconventional natural gas resources and energy security. Full article
Show Figures

Figure 1

26 pages, 8052 KB  
Article
A Numerical Simulation Investigation into the Impact of Proppant Embedment on Fracture Width in Coal Reservoirs
by Yi Zou, Desheng Zhou, Chen Lu, Yufei Wang, Haiyang Wang, Peng Zheng and Qingqing Wang
Processes 2025, 13(10), 3159; https://doi.org/10.3390/pr13103159 - 3 Oct 2025
Viewed by 633
Abstract
Deep coalbed methane reservoirs must utilize hydraulic fracturing technology to create high-conductivity sand-filled fractures for economical development. However, the mechanism by which proppant embedment affects fracture width in coal rock is not yet clear. In this article, using the discrete element particle flow [...] Read more.
Deep coalbed methane reservoirs must utilize hydraulic fracturing technology to create high-conductivity sand-filled fractures for economical development. However, the mechanism by which proppant embedment affects fracture width in coal rock is not yet clear. In this article, using the discrete element particle flow method, we have developed a numerical simulation model that can replicate the dynamic process of proppant embedment into the fracture surface. By tracking particle positions, we have accurately characterized the dynamic changes in fracture width and proppant embedment depth. The consistency between experimental measurements of average fracture width and numerical results demonstrates the reliability of our numerical model. Using this model, we analyzed the mechanisms by which different proppant particle sizes, number of layers, and closure stresses affect fracture width. The force among particles under different proppant embedment conditions and the induced stress field around the fracture were also studied. Numerical simulation results show that stress concentration formed by proppant embedment in the fracture surface leads to the generation of numerous induced micro-fractures. As the proppant grain size and closure stress increase, the stress concentration formed by proppant embedment in the fracture surface intensifies, and the variability in fracture width along the fracture length direction also increases. With more layers of proppant placement, the particles counteract some of the closure stress, thereby reducing the degree of proppant embedment around the fracture surface. Full article
(This article belongs to the Section Chemical Processes and Systems)
Show Figures

Figure 1

18 pages, 6722 KB  
Article
A Generic Fracture Conductivity Model for Partially Propped Fracture Networks with Proppant Embedment and Proppant Pack Deformation
by Guolin Shao, Yizhong Zhao, Xiaodong Jia, Zhaoyang Zhi, Qijing Wang, Jie Zeng, Shiqian Xu and Cong Lu
Processes 2025, 13(5), 1462; https://doi.org/10.3390/pr13051462 - 10 May 2025
Viewed by 1011
Abstract
Hydraulic fracturing involving proppant injection is currently the most effective technology to stimulate tight, unconventional reservoirs. The conductivity offered by the created propped and unpropped fracture segments is directly linked to the well deliverability. The accurate modeling of the fracture network conductivity is [...] Read more.
Hydraulic fracturing involving proppant injection is currently the most effective technology to stimulate tight, unconventional reservoirs. The conductivity offered by the created propped and unpropped fracture segments is directly linked to the well deliverability. The accurate modeling of the fracture network conductivity is key to well performance prediction. Unlike most previous studies that have focused on the single-fracture conductivity, a comprehensive fracture network conductivity model was developed by incorporating more complex rock and proppant deformation mechanisms and integrating the conductivity of different propped and unpropped fracture segments through hydraulic–electric analogies. Specifically, for propped fracture segments, the proppant pack permeability was described by simultaneously considering the viscous shear from fracture walls, stress sensitivity, and multiple- or single-proppant-layer placement, while the dynamic width was controlled through proppant pack compaction and proppant embedment. In unpropped fracture segments, as self-supported fracture surface deformation changes the fracture compressibility, the stress-dependent compressibility was utilized to depict the dynamic width. The developed propped and unpropped fracture conductivity models were separately verified against experimental measurement data. Through the hydraulic–electric analogies, a new partially propped fracture network conductivity model was established. For propped fracture segments, an increase in the proppant pack compressibility significantly reduced the fracture conductivity, particularly under high-stress conditions. A larger initial propped fracture aperture offered higher fracture conductivity under identical stress conditions. For single-layer propped fractures, a decrease in the fracture surface elastic modulus from 15 GPa to 10 GPa slightly reduced the fracture conductivity due to greater proppant embedment. For unpropped fractures, a larger compressibility reduction rate (lower fracture compressibility) led to better fracture conductivity maintenance. The fracture network conductivity was dominated by the unpropped fracture segment conductivity when the unpropped length reached 45.5% of the total fracture network length. Full article
Show Figures

Figure 1

16 pages, 11150 KB  
Article
Study on the Long-Term Influence of Proppant Optimization on the Production of Deep Shale Gas Fractured Horizontal Well
by Siyuan Chen, Shiming Wei, Yan Jin and Yang Xia
Appl. Sci. 2025, 15(5), 2365; https://doi.org/10.3390/app15052365 - 22 Feb 2025
Cited by 2 | Viewed by 1276
Abstract
As shale gas development gradually advances to a deeper level, the economic exploitation of deep shale gas has become one of the key technologies for sustainable development. Large-scale, long-term and effective hydraulic fracturing fracture networks are the core technology for achieving economic exploitation [...] Read more.
As shale gas development gradually advances to a deeper level, the economic exploitation of deep shale gas has become one of the key technologies for sustainable development. Large-scale, long-term and effective hydraulic fracturing fracture networks are the core technology for achieving economic exploitation of deep shale gas. Due to the high-pressure and high-temperature characteristics of deep shale gas reservoirs, traditional seepage models cannot effectively simulate gas flow in such environments. Therefore, this paper constructs a fluid–solid–thermal coupling model, considering the creep characteristics of deep shale, the effects of proppant embedment and deformation on fracture closure, and deeply analyzes the effects of proppant parameters on the shale gas production process. The results show that factors such as proppant concentration, placement, mechanical properties and particle size have a significant effect on fracture width, fracture surface seepage characteristics and final gas production. Specifically, an increase in proppant concentration can expand the fracture width but has limited effect on increasing gas production; uneven proppant placement will significantly reduce the fracture conductivity, resulting in a significant decrease in gas production; proppants with smaller sizes are more suitable for deep shale gas fracturing construction, which not only reduces construction costs but also improves gas seepage capacity. This study provides theoretical guidance for proppant optimization in deep shale gas fracturing construction. Full article
(This article belongs to the Topic Exploitation and Underground Storage of Oil and Gas)
Show Figures

Figure 1

13 pages, 6645 KB  
Article
Experimental Study on Factors Affecting Fracture Conductivity
by Fuchun Tian, Yunpeng Jia, Liyong Yang, Xuewei Liu, Xinhui Guo and Dmitriy A. Martyushev
Processes 2024, 12(7), 1465; https://doi.org/10.3390/pr12071465 - 13 Jul 2024
Cited by 8 | Viewed by 2839
Abstract
The conductivity of propped fractures following hydraulic fracturing is crucial in determining the success of the fracturing process. Understanding the primary factors affecting fracture conductivity and uncovering their impact patterns are essential for guiding the selection of fracturing engineering parameters. We conducted experiments [...] Read more.
The conductivity of propped fractures following hydraulic fracturing is crucial in determining the success of the fracturing process. Understanding the primary factors affecting fracture conductivity and uncovering their impact patterns are essential for guiding the selection of fracturing engineering parameters. We conducted experiments to test fracture conductivity and analyzed the effects of proppant particle size, closure pressure, and fracture surface properties on conductivity. Using the orthogonal experimental method, we clarified the primary and secondary relationships of the influencing factors on conductivity. The results indicate that proppant particle size, formation closure pressure, and fracture surface properties significantly affect fracture conductivity, with the order of influence being closure pressure > fracture surface properties > proppant particle size. Using large-particle-size proppants effectively increases interparticle porosity and enhances fracture conductivity. However, large-particle-size proppants reduce the number of contact points between particles, increasing the pressure on individual particles and making them more prone to crushing, which decreases fracture conductivity. Proppants become compacted under closure pressure, leading to a reduction in fracture conductivity. Proppant particles can embed into the fracture surface under closure pressure, further impacting fracture conductivity. Compared to non-laminated fracture surfaces, proppant particles are more likely to embed into laminated fracture surfaces under closure pressure, resulting in a greater embedding depth and reduced conductivity. Full article
(This article belongs to the Special Issue Advanced Fracturing Technology for Oil and Gas Reservoir Stimulation)
Show Figures

Figure 1

19 pages, 4462 KB  
Article
Effect of Lateral Confining Pressure on Shale’s Mechanical Properties and Its Implications for Fracture Conductivity
by Jinliang Song, Yuan Liu, Yujie Luo, Fujian Yang and Dawei Hu
Appl. Sci. 2024, 14(13), 5825; https://doi.org/10.3390/app14135825 - 3 Jul 2024
Cited by 1 | Viewed by 1980
Abstract
The field stress of the shale affects the proppant embedment, fracture conductivity, well production rate, and ultimately the recovery of hydrocarbons from reservoir formations. This paper presents, for the first time, an experimental study investigating the mechanical characteristics of a shale under confining [...] Read more.
The field stress of the shale affects the proppant embedment, fracture conductivity, well production rate, and ultimately the recovery of hydrocarbons from reservoir formations. This paper presents, for the first time, an experimental study investigating the mechanical characteristics of a shale under confining pressures that simulate the in situ stress state in deep reservoirs. Bidirectional but equal confining pressures were applied to the shale sample to replicate its field stress state. Microindentation tests were conducted to assess the alterations of mechanical properties resulting from the application of confining pressures. The results demonstrate a significant increase in Young’s modulus, hardness, and fracture toughness for the samples subjected to confining pressure. Considering the effect of confining pressure, the decrease in proppant embedment is proportional to Young’s modulus of the shale. For larger-sized proppants (e.g., D = 2.50 mm), the influence of confining pressure on fracture conductivity is relatively minor. However, when smaller-sized proppants (e.g., D = 1.00 mm) are used, particularly in scenarios involving shale debris swelling due to prolonged interaction with fracturing fluid, there is a noticeable improvement in fracture conductivity. Importantly, previous computational models have tended to overestimate proppant embedment depth while underestimating fracture conductivity. The findings from this study contribute to advancing the understanding of shale’s mechanical characteristics under in situ reservoir conditions and support the optimization of proppant embedment and fracture conductivity calculation models for the efficient extraction of shale gas. Full article
(This article belongs to the Special Issue Advances in Unconventional Natural Gas: Exploration and Development)
Show Figures

Figure 1

20 pages, 4435 KB  
Article
Numerical Simulation of Proppant Transport in Transverse Fractures of Horizontal Wells
by Zhengrong Chen, Xin Xie, Guangai Wu, Yanan Hou, Bumin Guo and Yantao Xu
Processes 2024, 12(5), 909; https://doi.org/10.3390/pr12050909 - 29 Apr 2024
Cited by 3 | Viewed by 2770
Abstract
Proppant transport and distribution law in hydraulic fractures has important theoretical and field guidance significance for the optimization design of hydraulic fracturing schemes and accurate production prediction. Many studies aim to understand proppant transportation in complex fracture systems. Few studies, however, have addressed [...] Read more.
Proppant transport and distribution law in hydraulic fractures has important theoretical and field guidance significance for the optimization design of hydraulic fracturing schemes and accurate production prediction. Many studies aim to understand proppant transportation in complex fracture systems. Few studies, however, have addressed the flow path mechanism between the transverse fracture and horizontal well, which is often neglected in practical design. In this paper, a series of mathematical equations, including the rock elastic deformation equation, fracturing fluid continuity equation, fracturing fluid flow equation, and proppant continuity equation for the proppant transport, were established for the transverse fracture of a horizontal well, while the finite element method was used for the solution. Moreover, the two-dimensional radial flow was considered in the proppant transport modeling. The results show that proppant breakage, embedding, and particle migration are harmful to fracture conductivity. The proppant concentration and fracture wall roughness effect can slow down the proppant settling rate, but at the same time, it can also block the horizontal transportation of the proppant and shorten the effective proppant seam length. Increasing the fracturing fluid viscosity and construction displacement, reducing the proppant density and particle size, and adopting appropriate sanding procedures can all lead to better proppant placement and, thus, better fracturing and remodeling results. This paper can serve as a reference for the future study of proppant design for horizontal wells. Full article
(This article belongs to the Special Issue Study of Multiphase Flow and Its Application in Petroleum Engineering)
Show Figures

Figure 1

14 pages, 5571 KB  
Article
Mechanisms of Stress Sensitivity on Artificial Fracture Conductivity in the Flowback Stage of Shale Gas Wells
by Xuefeng Yang, Tianpeng Wu, Liming Ren, Shan Huang, Songxia Wang, Jiajun Li, Jiawei Liu, Jian Zhang, Feng Chen and Hao Chen
Processes 2023, 11(9), 2760; https://doi.org/10.3390/pr11092760 - 15 Sep 2023
Cited by 3 | Viewed by 1396
Abstract
The presence of a reasonable flowback system after fracturing is a necessary condition for the high production of shale gas wells. At present, the optimization of the flowback system lacks a relevant theoretical basis. Due to this lack, this study established a new [...] Read more.
The presence of a reasonable flowback system after fracturing is a necessary condition for the high production of shale gas wells. At present, the optimization of the flowback system lacks a relevant theoretical basis. Due to this lack, this study established a new method for evaluating the conductivity of artificial fractures in shale, which can quantitatively characterize the backflow, embedment, and fragmentation of proppant during the flowback process. Then, the mechanism of the stress sensitivity of artificial fractures on fracture conductivity during the flowback stage of the shale gas well was revealed by performing the artificial fracture conductivity evaluation experiment. The results show that a large amount of proppant migrates, and the fracture conductivity decreases rapidly in the early stage of flowback, and then the decline gradually slows down. When the effective stress is low, the proppant is mainly plastically deformed, and the degree of fragmentation and embedment is low. When the effective stress exceeds 15.0 MPa, the fragmentation and embedment of the proppant will increase, and the fracture conductivity will be greatly reduced. The broken proppant ratio and embedded proppant ratio are the same under the two choke-management strategies. In the mode of increasing choke size step by step, the backflow proppant ratio is lower, and the broken proppant is mainly retained in fractures, so the damage ratio of fracture conductivity is lower. In the mode of decreasing choke size step by step, most of the proppant flows back from fractures, so the damage to fracture conductivity is greater. The research results have important theoretical guiding significance for optimizing the flowback system of shale gas wells. Full article
Show Figures

Figure 1

23 pages, 3823 KB  
Article
Investigation on Nonlinear Behaviors of Seepage in Deep Shale Gas Reservoir with Viscoelasticity
by Xuhua Gao, Junhong Yu, Xinchun Shang and Weiyao Zhu
Energies 2023, 16(17), 6297; https://doi.org/10.3390/en16176297 - 30 Aug 2023
Viewed by 1380
Abstract
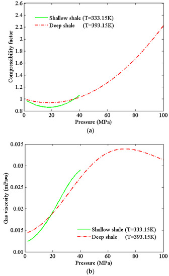
The nonlinear behaviors in deep shale gas seepage are investigated, involving the non-Darcy effect, desorption, and viscoelasticity. The seepage model accounts for the nonlinear compressibility factor and gas viscosity due to their stronger non-linearity at a high pressure and temperature. The viscoelastic behavior [...] Read more.
The nonlinear behaviors in deep shale gas seepage are investigated, involving the non-Darcy effect, desorption, and viscoelasticity. The seepage model accounts for the nonlinear compressibility factor and gas viscosity due to their stronger non-linearity at a high pressure and temperature. The viscoelastic behavior in deep shales, including matrix deformation and proppant embedment, is quantified, and the evolution of the time-varying and pressure-dependent porosity and permeability is derived. A semi-analytical approach with explicit iteration schemes is developed to solve the pressure field. The proposed model and method are verified by comparing the simulation results with the field data. The results show that the gas production contributed by the non-Darcy effect and desorption is much higher in deep shale than in shallow shale. However, Darcy flow contributes 85% of the total gas production of deep shales. If the effect of viscoelastic behavior is neglected, the accumulative gas production would be overestimated by 18.2% when the confining pressure is 80 MPa. Due to the higher pressure and temperature, the accumulative gas production in deep shale is 150% higher than that in shallow shale. This investigation helps to clarify the performance of the non-Darcy effect, desorption, and viscoelastic behavior in deep shales, and the proposed model and approach can facilitate the optimization simulations for hydraulic fracturing strategy and production system due to its high efficiency. Full article
(This article belongs to the Section H: Geo-Energy)
Show Figures

Figure 1

13 pages, 2348 KB  
Article
Assessment of the Suitability of Coke Material for Proppants in the Hydraulic Fracturing of Coals
by Tomasz Suponik, Krzysztof Labus and Rafał Morga
Materials 2023, 16(11), 4083; https://doi.org/10.3390/ma16114083 - 30 May 2023
Cited by 2 | Viewed by 2805
Abstract
To enhance the extraction of methane gas from coal beds, hydraulic fracturing technology is used. However, stimulation operations in soft rocks, such as coal beds, are associated with technical problems related mainly to the embedment phenomenon. Therefore, the concept of a novel coke-based [...] Read more.
To enhance the extraction of methane gas from coal beds, hydraulic fracturing technology is used. However, stimulation operations in soft rocks, such as coal beds, are associated with technical problems related mainly to the embedment phenomenon. Therefore, the concept of a novel coke-based proppant was introduced. The purpose of the study was to identify the source coke material for further processing to obtain a proppant. Twenty coke materials differing in type, grain size, and production method from five coking plants were tested. The values of the following parameters were determined for the initial coke: micum index 40; micum index 10; coke reactivity index; coke strength after reaction; and ash content. The coke was modified by crushing and mechanical classification, and the 3–1 mm class was obtained. This was enriched in heavy liquid with a density of 1.35 g/cm3. The crush resistance index and Roga index, which were selected as key strength parameters, and the ash content were determined for the lighter fraction. The most promising modified coke materials with the best strength properties were obtained from the coarse-grained (fraction 25–80 mm and greater) blast furnace and foundry coke. They had crush resistance index and Roga index values of at least 44% and at least 96%, respectively, and contained less than 9% ash. After assessing the suitability of coke material for proppants in the hydraulic fracturing of coal, further research will be needed to develop a technology to produce proppants with parameters compliant with the PN-EN ISO 13503-2:2010 standard. Full article
(This article belongs to the Topic Materials for Energy Harvesting and Storage)
Show Figures

Figure 1

23 pages, 367000 KB  
Article
Development and Evaluation of Large-Size Phase Change Proppants for Fracturing of Marine Natural Gas Hydrate Reservoirs
by Zhanqing Qu, Jiacheng Fan, Tiankui Guo, Xiaoqiang Liu, Jian Hou and Meijia Wang
Energies 2022, 15(21), 8018; https://doi.org/10.3390/en15218018 - 28 Oct 2022
Cited by 8 | Viewed by 1638
Abstract
The stimulation method of the marine natural gas hydrate (NGH) reservoir through hydraulic fracturing has been proposed to resolve the problem of the low production capacity in the conventional development method of pressure drawdown. Nevertheless, due to the strong plasticity and high argillaceous [...] Read more.
The stimulation method of the marine natural gas hydrate (NGH) reservoir through hydraulic fracturing has been proposed to resolve the problem of the low production capacity in the conventional development method of pressure drawdown. Nevertheless, due to the strong plasticity and high argillaceous siltstone content of the marine NGH reservoir, conventional small-particle-size proppant cannot form effective support for fractures after fracturing because of serious embedding in the reservoir. To solve this problem, the large-size phase change proppants were developed in this study. First, an epoxy resin curing system that can reduce curing time to 40 min in low temperature and humid environment was developed. Then, the epoxy resin and curing system was emulsified, and through the optimization of the emulsification process, the particle size of the proppant can be controlled in 0.5–4.5 mm and the cementation between the proppant particles during the curing process can be prevented. Finally, the proppant performances were evaluated. The performance evaluation shows that the cured proppants have regular structure and good compressive strength, and the emulsion proppants have good transport capacity. Their large sizes provide effective propping effects for fractures generated in weakly cemented clayey silt marine NGH reservoirs. Full article
(This article belongs to the Section A5: Hydrogen Energy)
Show Figures

Figure 1

18 pages, 4750 KB  
Article
The Effect of Bedding Plane Angle on Hydraulic Fracture Propagation in Mineral Heterogeneity Model
by Weige Han, Zhendong Cui, Zhengguo Zhu and Xianmin Han
Energies 2022, 15(16), 6052; https://doi.org/10.3390/en15166052 - 20 Aug 2022
Cited by 5 | Viewed by 2422
Abstract
The bedding planes of unconventional oil and gas reservoirs are relatively well developed. Bedding planes directly interfere with hydraulic fracture expansion. Determining how bedding planes influence hydraulic fractures is key for understanding the formation and evolution of hydraulic fracturing networks. After conducting X-ray [...] Read more.
The bedding planes of unconventional oil and gas reservoirs are relatively well developed. Bedding planes directly interfere with hydraulic fracture expansion. Determining how bedding planes influence hydraulic fractures is key for understanding the formation and evolution of hydraulic fracturing networks. After conducting X-ray diffraction analysis of shale, we used Python programming to establish a numerical model of mineral heterogeneity with a 0-thickness cohesive element and a bedding plane that was globally embedded. The influence of the bedding-plane angle on hydraulic fracture propagation was studied. Acoustic emission (AE) data were simulated using MATLAB programming to study fracture propagation in detail. The numerical simulation and AE data showed that the propagation paths of hydraulic fractures were determined by the maximum principal stress and bedding plane. Clearer bedding effects were observed with smaller angles between the bedding surface and the maximum principal stress. However, the bedding effect led to continuous bedding slip fractures, which is not conducive to forming a complex fracture network. At moderate bedding plane angles, cross-layer and bedding fractures alternately appeared, characteristic of intermittent dislocation fracture and a complex fracture network. During hydraulic fracturing, tensile fractures represented the dominant fracture type and manifested in cross-layer fractures. We observed large fracture widths, which are conducive to proppant migration and filling. However, the shear fractures mostly manifested as bedding slip fractures with small fracture widths. Combining the fracture-network, AE, and fractal dimension data showed that a complex fracture network was most readily generated when the angle between the bedding plane and the maximum principal stress was 30°. The numerical simulation results provide important technical information for fracturing construction, which should support the efficient extraction of unconventional tight oil and gas. Full article
Show Figures

Figure 1

16 pages, 4227 KB  
Article
Experiment and Model of Conductivity Loss of Fracture Due to Fine-Grained Particle Migration and Proppant Embedment
by Weidong Zhang, Qingyuan Zhao, Xuhui Guan, Zizhen Wang and Zhiwen Wang
Energies 2022, 15(7), 2359; https://doi.org/10.3390/en15072359 - 24 Mar 2022
Cited by 8 | Viewed by 2466
Abstract
In weakly cemented reservoirs or coal-bed methane reservoirs, the conductivity of hydraulic fractures always declines after a period of production, which greatly influences gas production. In this paper, a comprehensive model considering fine-grained particle migration and proppant embedment is proposed to give a [...] Read more.
In weakly cemented reservoirs or coal-bed methane reservoirs, the conductivity of hydraulic fractures always declines after a period of production, which greatly influences gas production. In this paper, a comprehensive model considering fine-grained particle migration and proppant embedment is proposed to give a precise prediction for conductivity decline. Then, an experiment was conducted to simulate this process. A published experiment using coal fines was also tested and simulated. The results indicate that both fine-grained particle migration and proppant embedment have great negative effect on conductivity of fractures in weakly cemented sandstone and coal-bed methane reservoirs. The formulation we proposed matches the experimental data smoothly and can be widely used in the prediction of conductivity decline in weakly cemented sandstone and coal-bed methane reservoirs. In order to discuss the influencing factors of the filtration coefficient in the particle transport model, a porous media network model was established based on the theoretical model. The simulation results show that the filtration coefficient increases with the increase in particle size and/or throat size, and the filtration coefficient increases with the decrease in the fluid velocity. At the same time, it was found that the large larynx did not easily cause particle retention. Large size particles tend to cause particle retention. Full article
Show Figures

Figure 1

21 pages, 6585 KB  
Article
Coupled Numerical Method for Modeling Propped Fracture Behavior
by Tamás Lengyel, Attila Varga, Ferenc Safranyik and Anita Jobbik
Appl. Sci. 2021, 11(20), 9681; https://doi.org/10.3390/app11209681 - 17 Oct 2021
Cited by 2 | Viewed by 2530
Abstract
Hydraulic fracturing is a well-known production intensification technique in the petroleum industry that aims to enhance the productivity of a well drilled mostly in less permeable reservoirs. The process’s effectiveness depends on the achieved fracture conductivity, the product of fracture width, and the [...] Read more.
Hydraulic fracturing is a well-known production intensification technique in the petroleum industry that aims to enhance the productivity of a well drilled mostly in less permeable reservoirs. The process’s effectiveness depends on the achieved fracture conductivity, the product of fracture width, and the permeability of the proppant pack placed within the fracture. This article presents an innovative method developed by our research activity that incorporates the benefit of the Discrete—and Finite Element Method to describe the in situ behavior of hydraulic fractures with a particular emphasis on fracture conductivity. DEM (Discrete Element Method) provided the application of random particle generation and non-uniform proppant placement. We also used FEM (Finite Element Method) Static Structural module to simulate the elastic behavior of solid materials: proppant and formation, while CFD (Computational Fluid Dynamics) module was applied to represent fluid dynamics within the propped fracture. The results of our numerical model were compared to data of API RP-19D and API RP-61 laboratory measurements and findings gained by publishers dealing with propped fracture conductivity. The match of the outcomes verified the method and encouraged us to describe proppant deformation and embedment and their effect as precisely as possible. Based on the results, we performed sensitivity analysis which pointed out the impact of several factors affecting proppant embedment, deformation, and fracture conductivity and let one be aware of a reasonable interpretation of propped hydraulic fracture operation. However, DEM–CFD coupled models were introduced regarding fracturing before, to the best of our knowledge, the developed workflow of coupling DEM–FEM–CFD for modeling proppant-supported fracture behavior has not been applied yet, thus arising new perspectives for explorers and engineers. Full article
Show Figures

Figure 1

25 pages, 6931 KB  
Article
A New Modeling Framework for Multi-Scale Simulation of Hydraulic Fracturing and Production from Unconventional Reservoirs
by J. T. Birkholzer, J. Morris, J. R. Bargar, F. Brondolo, A. Cihan, D. Crandall, H. Deng, W. Fan, W. Fu, P. Fu, A. Hakala, Y. Hao, J. Huang, A. D. Jew, T. Kneafsey, Z. Li, C. Lopano, J. Moore, G. Moridis, S. Nakagawa, V. Noël, M. Reagan, C. S. Sherman, R. Settgast, C. Steefel, M. Voltolini, W. Xiong and J. Ciezobkaadd Show full author list remove Hide full author list
Energies 2021, 14(3), 641; https://doi.org/10.3390/en14030641 - 27 Jan 2021
Cited by 26 | Viewed by 7289
Abstract
This paper describes a new modeling framework for microscopic to reservoir-scale simulations of hydraulic fracturing and production. The approach builds upon a fusion of two existing high-performance simulators for reservoir-scale behavior: the GEOS code for hydromechanical evolution during stimulation and the TOUGH+ code [...] Read more.
This paper describes a new modeling framework for microscopic to reservoir-scale simulations of hydraulic fracturing and production. The approach builds upon a fusion of two existing high-performance simulators for reservoir-scale behavior: the GEOS code for hydromechanical evolution during stimulation and the TOUGH+ code for multi-phase flow during production. The reservoir-scale simulations are informed by experimental and modeling studies at the laboratory scale to incorporate important micro-scale mechanical processes and chemical reactions occurring within the fractures, the shale matrix, and at the fracture-fluid interfaces. These processes include, among others, changes in stimulated fracture permeability as a result of proppant behavior rearrangement or embedment, or mineral scale precipitation within pores and microfractures, at µm to cm scales. In our new modeling framework, such micro-scale testing and modeling provides upscaled hydromechanical parameters for the reservoir scale models. We are currently testing the new modeling framework using field data and core samples from the Hydraulic Fracturing Field Test (HFTS), a recent field-based joint research experiment with intense monitoring of hydraulic fracturing and shale production in the Wolfcamp Formation in the Permian Basin (USA). Below, we present our approach coupling the reservoir simulators GEOS and TOUGH+ informed by upscaled parameters from micro-scale experiments and modeling. We provide a brief overview of the HFTS and the available field data, and then discuss the ongoing application of our new workflow to the HFTS data set. Full article
Show Figures

Figure 1

Back to TopTop