Sign in to use this feature.

Years

Between: -

Subjects

remove_circle_outline
remove_circle_outline
remove_circle_outline
remove_circle_outline
remove_circle_outline

Journals

Article Types

Countries / Regions

Search Results (11)

Search Parameters:
Keywords = prestressed textile

Order results
Result details
Results per page
Select all
Export citation of selected articles as:
20 pages, 3219 KB  
Article
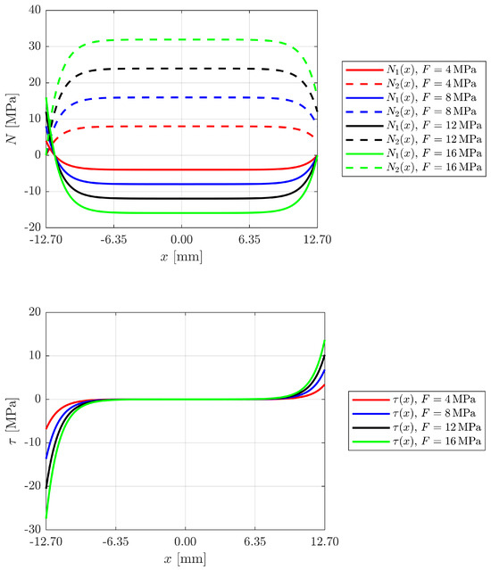
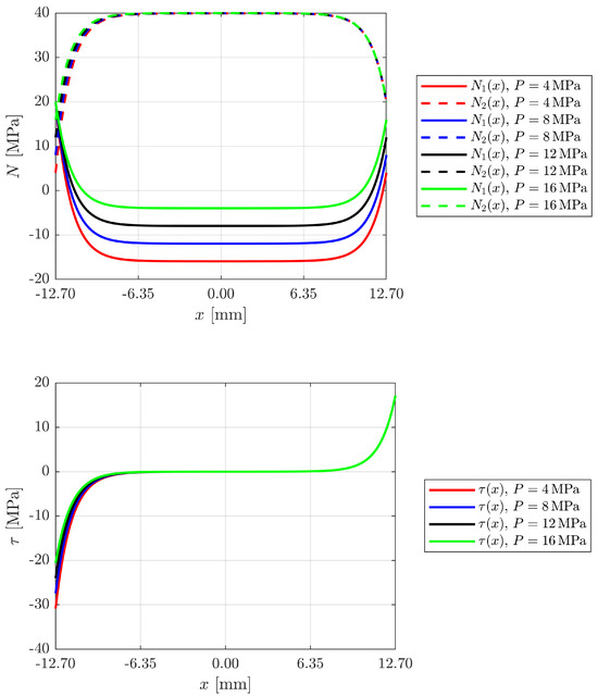
Stress Analysis in Single-Lap Adhesive Joints: Comparison of Unreinforced, Reinforced and Prestressed Configurations Assembled with Brittle Structural Adhesives
by Francesco Marchione
Materials 2025, 18(18), 4224; https://doi.org/10.3390/ma18184224 - 9 Sep 2025
Viewed by 701
Abstract
Adhesive joints provide an effective and lightweight solution for the assembly of structures and offer both mechanical and operational advantages over conventional mechanical fastening systems. In this study, a new single-layer adhesive joint is investigated in which a thin, pretensioned textile reinforcement is [...] Read more.
Adhesive joints provide an effective and lightweight solution for the assembly of structures and offer both mechanical and operational advantages over conventional mechanical fastening systems. In this study, a new single-layer adhesive joint is investigated in which a thin, pretensioned textile reinforcement is inserted into the adhesive layer. In the first part, a simplified analytical model is proposed to describe the distribution of axial stresses in the adhesives and the reinforcement as well as the shear stresses in the adhesive layer. In the second part, the effects of geometric, mechanical and loading variables are investigated in a parametric analysis, focussing on the role of the initial pre-compression on the tensile response of the joint. The third part of this study compares the theoretical results with experimental data obtained with static tests on specimens made of unreinforced GFRP and epoxy resin. The results show small deviations (3–8%) between model and test. Finally, a simplified method for estimating the load-bearing capacity of brittle joints, both conventional and reinforced, is proposed. It is shown how the introduction of reinforcement and prestressing can modulate the stiffness and improve the stability of the joint without significantly affecting the load-bearing capacity. Full article
(This article belongs to the Section Mechanics of Materials)
Show Figures

Figure 1

17 pages, 16329 KB  
Review
The Application of Heat-Shrinkable Fibers and Internal Curing Aggregates in the Field of Crack Resistance of High-Strength Marine Structural Mass Concrete: A Review and Prospects
by Jinhui Li, Zi Yu, Jing Wu, Qingjun Ding, Wei Xu and Shaolong Huang
Polymers 2023, 15(19), 3884; https://doi.org/10.3390/polym15193884 - 26 Sep 2023
Cited by 6 | Viewed by 2110
Abstract
High-strength large-volume marine concrete is a critical material required for the construction of large-span sea-crossing bridges. However, the widespread issue of cracking in this concrete type significantly impacts the durability and load-bearing capacity of concrete structures. Dealing with these cracks not only delays [...] Read more.
High-strength large-volume marine concrete is a critical material required for the construction of large-span sea-crossing bridges. However, the widespread issue of cracking in this concrete type significantly impacts the durability and load-bearing capacity of concrete structures. Dealing with these cracks not only delays construction schedules but also increases project costs. Addressing these pressing technical issues, this project proposes the use of newly developed high-modulus heat-shrinkable fibers (polyethylene terephthalate fiber, also known as PET fiber) from the textile industry. These fibers utilize the heat generated during the hydration of large-volume concrete to trigger its contraction, applying three-dimensional micro-prestressing stress to enhance its crack resistance, while simultaneously incorporating prewetted aggregates with high-performance micro-porous structures and utilizing their internal curing effect to reduce concrete shrinkage. This helps to minimize the loss of micro-prestressing stress caused by concrete shrinkage and creep. This synergistic approach aims to improve the crack resistance of high-strength large-volume marine concrete. By employing modern testing and simulation analysis techniques, this study aims to uncover the mechanism by which the heat-shrinkable fibers exert micro-prestressing stress on concrete and the water release mechanism of internal curing aggregates during the temperature rise and fall stages of large-volume concrete. It seeks to elucidate the cooperative regulation of the microstructure and performance enhancement mechanisms of high-strength large-volume marine concrete by the heat-shrinkable fibers and internal curing aggregates. This research will lead to the development of novel methods for the design and crack control of high-strength large-volume marine concrete, which will be validated through engineering demonstrations. The outcomes of this study will provide theoretical foundations and technical support for the preparation of the crack-resistant large-volume marine concrete used in large-span bridges. Full article
Show Figures

Figure 1

18 pages, 11218 KB  
Article
Bending Behaviour of Prestressed T-Shaped Concrete Beams Reinforced with FRP—Experimental and Analytical Investigations
by Mathias Hammerl and Benjamin Kromoser
Materials 2022, 15(11), 3843; https://doi.org/10.3390/ma15113843 - 27 May 2022
Cited by 6 | Viewed by 3276
Abstract
Materials such as high performance (HPC) or ultra-high performance concrete (UHPC), and fibre-reinforced polymer (FRP) reinforcement can be used to improve the resource efficiency in concrete construction by, for example, enabling the production of thin-walled structures. When building filigree concrete beams two essential [...] Read more.
Materials such as high performance (HPC) or ultra-high performance concrete (UHPC), and fibre-reinforced polymer (FRP) reinforcement can be used to improve the resource efficiency in concrete construction by, for example, enabling the production of thin-walled structures. When building filigree concrete beams two essential factors must be considered: the low stiffness of the structure and the bond between the materials. By prestressing the structural stiffness is improved while an adequate concrete cover ensures sufficient bond strength. Based on this the bending behaviour of prestressed T-shaped beams reinforced with FRP, focussing on determining the influence of four parameters on the bearing capacity, bond behaviour and failure mode, is investigated in this paper. Comprehensive experimental investigations prove the potential of the approach and show that a reduction of the web thickness down to 40 mm, a lower concrete quality, and the use of glass FRP instead of carbon FRP allow a more resource-efficient structure while the applied prestressing leads to a higher utilisation of the high performance materials. Full article
(This article belongs to the Section Construction and Building Materials)
Show Figures

Graphical abstract

15 pages, 4206 KB  
Article
Prestressing Effect of Shape Memory Alloy Reinforcements under Serviceability Tensile Loads
by Markus Beßling, Christoph Czaderski and Jeanette Orlowsky
Buildings 2021, 11(3), 101; https://doi.org/10.3390/buildings11030101 - 6 Mar 2021
Cited by 13 | Viewed by 3399
Abstract
Repairing and strengthening of existing aged steel-reinforced concrete structures is a major challenge. Today, much of the repair work completed is insufficient and brittle. A promising new solution for repair and strengthening tasks is the use of iron-based shape memory alloy (Fe-SMA). The [...] Read more.
Repairing and strengthening of existing aged steel-reinforced concrete structures is a major challenge. Today, much of the repair work completed is insufficient and brittle. A promising new solution for repair and strengthening tasks is the use of iron-based shape memory alloy (Fe-SMA). The pre-strained Fe-SMA components enable the pre-stressing of existing building components due to the heat-triggered contraction of the steel. Thus, deflections can be reduced or even recovered. In addition, the cracking process can be adapted, and an improvement in the load, under which the first crack appears, is possible. In this paper, the effects of pre-stress generated by activated Fe-SMA rebars, which were centrally embedded inside of a concrete specimen, are shown. The objective of the study is to quantify the improvement in the loads of the first crack and show the influences of the pre-stressing on the load-bearing behavior and the cracking process. For this purpose, axial tensile tests were performed on concrete bars with height, width, and length of 50 mm, 70 mm, and 900 mm, respectively. These were compared to usual construction steel rebars, pre-strained but nonactivated Fe-SMA rebars, and activated Fe-SMA steel rebars. The evaluation of crack patterns and openings was done using digital image correlation (DIC). The pre-stressing of the concrete causes an increase in the first crack loads of more than 150%, which indicates a clear improvement in the state of serviceability limit. Full article
(This article belongs to the Section Building Materials, and Repair & Renovation)
Show Figures

Figure 1

15 pages, 3640 KB  
Review
4D Textiles Made by Additive Manufacturing on Pre-Stressed Textiles—An Overview
by Hannah Carlotta Koch, David Schmelzeisen and Thomas Gries
Actuators 2021, 10(2), 31; https://doi.org/10.3390/act10020031 - 10 Feb 2021
Cited by 49 | Viewed by 8031
Abstract
Four-dimensional textiles are textiles that can change shape or function over time by the influence of a stimulus, mainly force and heat. In this review, the focus is on 4D textiles made by additive manufacturing which is built on the concept of 4D [...] Read more.
Four-dimensional textiles are textiles that can change shape or function over time by the influence of a stimulus, mainly force and heat. In this review, the focus is on 4D textiles made by additive manufacturing which is built on the concept of 4D printing. A literature survey in Web of Science and Scopus was carried out, which resulted in 29 contributions on additive manufacturing on pre-stressed textiles. In this paper, an overview of materials, production technologies and testing methods is given. The concepts of form giving and shape change transferred to 4D textiles are classified. The influencing factors on the properties of the material structure are presented. The main focus of the literature lies in defining process and material properties for improving the adhesion. Only limited research has been conducted on simulating the material behavior. Ideas for applications exist but no research has been conducted on real applications. Therefore, the challenges are identified, and future research directions are derived. Full article
(This article belongs to the Special Issue Shape Memory Polymer Actuators)
Show Figures

Figure 1

18 pages, 6995 KB  
Article
Flexural Behavior of Fire-Damaged Prefabricated RC Hollow Slabs Strengthened with CFRP versus TRM
by Zheng-Ang Sui, Kun Dong, Jitong Jiang, Shutong Yang and Kexu Hu
Materials 2020, 13(11), 2556; https://doi.org/10.3390/ma13112556 - 4 Jun 2020
Cited by 12 | Viewed by 2621
Abstract
In this paper, carbon fiber reinforced polymer (CFRP) and textile reinforced mortar (TRM) strengthening techniques were proposed to retrofit and strengthen fire-damaged prefabricated concrete hollow slabs. A total of six slabs, from an actual multi-story masonry building, were tested to investigate the flexural [...] Read more.
In this paper, carbon fiber reinforced polymer (CFRP) and textile reinforced mortar (TRM) strengthening techniques were proposed to retrofit and strengthen fire-damaged prefabricated concrete hollow slabs. A total of six slabs, from an actual multi-story masonry building, were tested to investigate the flexural performance of reinforced concrete (RC) hollow slabs strengthened with TRM and CFRP. The investigated parameters included the strengthening method (CFRP versus TRM), the number of CFRP layers, and with or without fire exposure. One unstrengthened slab and one TRM strengthened slab served as the control specimens without fire exposure. The remaining four slabs were first exposed to ISO-834 standard fire for 1 h, and then three of them were strengthened with CFRP or TRM. Through the four-point bending tests at ambient temperature, the failure modes, load and deformation response were recorded and discussed. Both CFRP and TRM strengthening methods can significantly increase the cracking load and peak load of the fire-damaged hollow slabs, as well as the stiffness in the early stage. The prefabricated hollow slabs strengthened by CFRP have better performance in the ultimate bearing capacity, but the ductility reduced with the increase of CFRP layers. Meanwhile, the TRM strengthening technique is a suitable method for the performance improvement of fire-damaged hollow slabs, in terms of not only the load capacity, especially the cracking load, but also the flexural stiffness and deformation capacity. Full article
(This article belongs to the Special Issue Fiber Reinforced Materials for Buildings Strengthening)
Show Figures

Figure 1

14 pages, 3385 KB  
Article
Experimental Study of Flexural Behavior of Reinforced Concrete Beam Strengthened with Prestressed Textile-Reinforced Mortar
by Jongho Park, Sun-Kyu Park and Sungnam Hong
Materials 2020, 13(5), 1137; https://doi.org/10.3390/ma13051137 - 4 Mar 2020
Cited by 21 | Viewed by 3736
Abstract
In this study, nine specimens were experimentally tested to analyze the strengthening efficiency of textile-reinforced mortar (TRM) and the difference in flexural behavior between prestressed and non-prestressed TRM-strengthened reinforced concrete beam. The test results show that TRM strengthening improves the flexural strength of [...] Read more.
In this study, nine specimens were experimentally tested to analyze the strengthening efficiency of textile-reinforced mortar (TRM) and the difference in flexural behavior between prestressed and non-prestressed TRM-strengthened reinforced concrete beam. The test results show that TRM strengthening improves the flexural strength of TRM-strengthened reinforced concrete beams with alkali-resistant-(AR-) glass textile as well as that with carbon textile. However, in the case of textile prestressing, the strengthening efficiency for flexural strength of the AR-glass textile was higher than that of the carbon textile. The flexural stiffness of AR-glass textiles increased when prestressing was introduced and the use of carbon textiles can be advantageous to reduce the decreasing ratio of flexural stiffness as the load increased. In the failure mode, textile prestressing prevents the damage of textiles effectively owing to the crack and induces the debonding of the TRM. Full article
(This article belongs to the Section Construction and Building Materials)
Show Figures

Figure 1

13 pages, 4276 KB  
Article
Experimental Study on the Flexural Behavior of Steel-Textile-Reinforced Concrete: Various Textile Reinforcement Details
by Jungbhin You, Jongho Park, Sun-Kyu Park and Sungnam Hong
Appl. Sci. 2020, 10(4), 1425; https://doi.org/10.3390/app10041425 - 20 Feb 2020
Cited by 13 | Viewed by 3233
Abstract
In this study, one reinforced concrete specimen and six textile reinforced concrete (TRC) specimens were produced to analyze the flexural behavior of steel-textile-reinforced concrete. The TRC specimen was manufactured using a total of four variables: textile reinforcement amount, textile reinforcement hook, textile mesh [...] Read more.
In this study, one reinforced concrete specimen and six textile reinforced concrete (TRC) specimens were produced to analyze the flexural behavior of steel-textile-reinforced concrete. The TRC specimen was manufactured using a total of four variables: textile reinforcement amount, textile reinforcement hook, textile mesh type, textile lay out form. Flexural performance increases with textile reinforcement amount, textile reinforcement hook type and textile reinforcement mesh type. The flexural performance was improved when physical hooks were used. Furthermore, textile reinforcement was verified as being effective at controlling the deflection. Full article
(This article belongs to the Section Civil Engineering)
Show Figures

Figure 1

19 pages, 8815 KB  
Article
Uniaxial Tensile Behavior of Carbon Textile Reinforced Mortar
by Fen Zhou, Huanhui Liu, Yunxing Du, Lingling Liu, Deju Zhu and Wei Pan
Materials 2019, 12(3), 374; https://doi.org/10.3390/ma12030374 - 25 Jan 2019
Cited by 33 | Viewed by 5037
Abstract
This paper investigates the effects of the reinforcement ratio, volume fraction of steel fibers, and prestressing on the uniaxial tensile behavior of carbon textile reinforced mortar (CTRM) through uniaxial tensile tests. The results show that the tensile strength of CTRM specimens increases with [...] Read more.
This paper investigates the effects of the reinforcement ratio, volume fraction of steel fibers, and prestressing on the uniaxial tensile behavior of carbon textile reinforced mortar (CTRM) through uniaxial tensile tests. The results show that the tensile strength of CTRM specimens increases with the reinforcement ratio, however the textile–matrix bond strength becomes weaker and debonding can occur. Short steel fibers are able to improve the mechanical properties of the entire CTRM composite and provide additional “shear resistant ability” to enhance the textile– matrix bond strength, resulting in finer cracks with smaller spacing and width. Investigations into the fracture surfaces using an optical microscope clarify these inferences. Increases in first-crack stress and tensile strength are also observed in prestressed TRM specimens. In this study, the combination of 1% steel fibers and prestressing at 15% of the ultimate tensile strength of two-layer textiles is found to be the optimum configuration, producing the highest first-crack stress and tensile strength and the most reasonable multi-cracking pattern. Full article
Show Figures

Figure 1

19 pages, 16132 KB  
Article
Flexural Behaviour of Carbon Textile-Reinforced Concrete with Prestress and Steel Fibres
by Yunxing Du, Xinying Zhang, Lingling Liu, Fen Zhou, Deju Zhu and Wei Pan
Polymers 2018, 10(1), 98; https://doi.org/10.3390/polym10010098 - 20 Jan 2018
Cited by 44 | Viewed by 6847
Abstract
Four-point bending tests were adopted to investigate the influences of the number of textile layers, volume content of steel fibres, and prestress on the flexural behaviour of carbon textile-reinforced concrete (TRC). The failure mode of the specimen changed from debonding failure to shear [...] Read more.
Four-point bending tests were adopted to investigate the influences of the number of textile layers, volume content of steel fibres, and prestress on the flexural behaviour of carbon textile-reinforced concrete (TRC). The failure mode of the specimen changed from debonding failure to shear failure, accompanied by the matrix-textile interfacial debonding with an increasing number of textile layers. The interfacial bonding performance between the textile and matrix improved with the addition of steel fibres in the TRC specimens. The presence of prestress or steel fibres improved first-crack and ultimate stresses of the TRC specimen. In comparison with the first-crack stress, a more pronounced enhancement in the ultimate stress was achieved by the addition of steel fibres. However, the effect of prestress on the first-crack stress was found to be more significant than on the ultimate stress. The prestress combined with steel fibres further improved the flexural behaviour of the TRC specimens. The prestressed TRC specimens with 1% volume content of steel fibres effectively avoided debonding. Thus, the utilization of the textiles could be improved. Full article
(This article belongs to the Special Issue Textile and Textile-Based Materials)
Show Figures

Graphical abstract

15 pages, 5107 KB  
Article
Strengthening of Existing Bridge Structures for Shear and Bending with Carbon Textile-Reinforced Mortar
by Martin Herbrand, Viviane Adam, Martin Classen, Dominik Kueres and Josef Hegger
Materials 2017, 10(9), 1099; https://doi.org/10.3390/ma10091099 - 19 Sep 2017
Cited by 58 | Viewed by 8031
Abstract
Increasing traffic loads and changes in code provisions lead to deficits in shear and flexural capacity of many existing highway bridges. Therefore, a large number of structures are expected to require refurbishment and strengthening in the future. This projection is based on the [...] Read more.
Increasing traffic loads and changes in code provisions lead to deficits in shear and flexural capacity of many existing highway bridges. Therefore, a large number of structures are expected to require refurbishment and strengthening in the future. This projection is based on the current condition of many older road bridges. Different strengthening methods for bridges exist to extend their service life, all having specific advantages and disadvantages. By applying a thin layer of carbon textile-reinforced mortar (CTRM) to bridge deck slabs and the webs of pre-stressed concrete bridges, the fatigue and ultimate strength of these members can be increased significantly. The CTRM layer is a combination of a corrosion resistant carbon fiber reinforced polymer (CFRP) fabric and an efficient mortar. In this paper, the strengthening method and the experimental results obtained at RWTH Aachen University are presented. Full article
Show Figures

Figure 1

Back to TopTop