Sign in to use this feature.

Years

Between: -

Subjects

remove_circle_outline
remove_circle_outline
remove_circle_outline
remove_circle_outline
remove_circle_outline
remove_circle_outline
remove_circle_outline

Journals

Article Types

Countries / Regions

Search Results (46)

Search Parameters:
Keywords = prepreg technology

Order results
Result details
Results per page
Select all
Export citation of selected articles as:
32 pages, 3720 KB  
Review
Advances in Composite Materials and String Technologies for Optimised Tennis Equipment Performance
by Andy Danis, Jiemin Zhang and Imrana I. Kabir
J. Compos. Sci. 2026, 10(1), 37; https://doi.org/10.3390/jcs10010037 - 8 Jan 2026
Viewed by 70
Abstract
The evolution of tennis equipment is fundamentally linked to advances in materials science and engineering, which have enabled enhanced player performance through optimised racquet and string designs. This review comprehensively examines the critical role of modern composite materials, manufacturing methods, and string technologies [...] Read more.
The evolution of tennis equipment is fundamentally linked to advances in materials science and engineering, which have enabled enhanced player performance through optimised racquet and string designs. This review comprehensively examines the critical role of modern composite materials, manufacturing methods, and string technologies in tennis equipment, focusing on how these elements influence mechanical performance and player experience. It first explores the contributions of matrix and reinforcing materials, particularly carbon fibre and aramid composites, to racquet stiffness, strength, and vibration damping. Next, it details advanced manufacturing techniques such as prepreg layup, autoclave curing, and hollow moulding, which enable precise control over mechanical properties and quality assurance. This paper further evaluates various string materials including natural gut, Kevlar, polyester, nylon, and emerging hybrid setups, analysing their mechanical characteristics, tension maintenance, and impact on ball response and player comfort. Special attention is given to the interaction between design choices and playing conditions, such as court surfaces and player sensitivity, underscoring the complex interplay between equipment mechanics and gameplay dynamics. Through an interdisciplinary lens, this paper synthesises current scientific knowledge and experimental findings, providing a critical foundation for optimising tennis equipment design. By integrating materials science with practical application, this paper provides a comprehensive understanding of tennis equipment design, identifying gaps in current research and offering insights to guide future innovation for manufacturers, coaches, and players. Full article
(This article belongs to the Section Composites Applications)
Show Figures

Figure 1

27 pages, 17548 KB  
Article
The Use of the Overmolding Technique for the Preparation of Basalt Fiber (BF)-Based Composite, the Comparative Study of Poly(ethylene terephthalate)/Polycarbonate—PET/PC and Poly(butylene terephthalate)—PBT/PC Blends
by Jacek Andrzejewski, Wiktoria Gosławska, Michalina Salamaga, Weronika Zgoła and Mateusz Barczewski
Polymers 2026, 18(1), 54; https://doi.org/10.3390/polym18010054 - 24 Dec 2025
Viewed by 294
Abstract
The presented study is focused on the evaluation of the mechanical and heat resistance performance of the polyester-based injection-molded components. For comparative purposes, we used a poly(ethylene terephthalate)/polycarbonate blend (PET/PC) and a poly(butylene terephthalate)/polycarbonate (PBT/PC) mixture, where both types of polymer blends were [...] Read more.
The presented study is focused on the evaluation of the mechanical and heat resistance performance of the polyester-based injection-molded components. For comparative purposes, we used a poly(ethylene terephthalate)/polycarbonate blend (PET/PC) and a poly(butylene terephthalate)/polycarbonate (PBT/PC) mixture, where both types of polymer blends were used as a matrix for different types of basalt fiber (BF)-reinforced composites. The investigated molding procedure consists of injection overmolding of the composite prepreg (insert). During the technological procedure, various material configurations were used, including overmolding with both unmodified blends and a composition with additional short basalt fibers. The results confirmed that the best balance of properties was obtained for complex parts reinforced with short BF and overmolded insert, where the tensile modulus can reach 8 GPa, while the impact strength was more than 30 kJ/m2. The results of comparative tests indicate a significantly higher strength of overmolding joints for PET/PC-based materials. The relatively low heat deflection temp. (HDT) of around 70 °C after the injection molding procedure can be successfully improved by the annealing treatment, where the HDT can reach around 120 °C. The structural tests revealed that, besides some differences in crystallinity between the PET- and PBT-based blends, the thermomechanical performance of the manufactured composites is almost similar. It is worth pointing out the fundamental differences in the miscibility of the investigated blend systems, where for the PBT/PC mixture structural tests confirm the miscibility of polymer phases, while PET/PC particles are immiscible. Full article
(This article belongs to the Special Issue Polymer Composites: Structure, Properties and Processing, 2nd Edition)
Show Figures

Graphical abstract

23 pages, 3813 KB  
Article
Comparative Analysis of Impregnation Methods for Polyimide-Based Prepregs: Insights from Industrial Perspective
by Biljana Kostadinoska, Blagoja Samakoski, Samoil Samak, Dijana Cvetkoska and Anka Trajkovska Petkoska
J. Compos. Sci. 2025, 9(12), 651; https://doi.org/10.3390/jcs9120651 - 1 Dec 2025
Viewed by 542
Abstract
This study presents a comparative analysis of two industrially relevant technologies for manufacturing of prepreg composite materials based on polyimide (PI) resin: hot-melt and solvent-based technology. More specifically, the study focuses on evaluating the relationship between key processing parameters and the final properties [...] Read more.
This study presents a comparative analysis of two industrially relevant technologies for manufacturing of prepreg composite materials based on polyimide (PI) resin: hot-melt and solvent-based technology. More specifically, the study focuses on evaluating the relationship between key processing parameters and the final properties of the composite material manufactured with unidirectional (UD) C-fibers and woven fabrics used as reinforcement for both technologies. The impregnation process was carried out using a custom-designed coating equipment developed by Mikrosam D.O.O. Manufactured prepregs were characterized in terms of their resin content, volatile content, weight, width, and quality of the applied resin film. The hot-melt method that involves applying the resin in a semi-molten state with minimal solvent content provided a stable resin content (34–35%) and low volatiles (~1.2–1.5%) in the final product. The solvent-based method, using a resin/solvent ratio of 50:50, enabled deeper resin penetration into the fibers, particularly in woven fabrics (resin content: 34–37%) and lower residual volatiles (~0.3–0.5%). These results showed that the hot-melt technology consistently produced prepregs with very stable resin content, which is critical for structural applications requiring increased mechanical performance. In contrast, the solvent-based method demonstrated better adaptability to different reinforcement forms, improved impregnation depth, and excellent film uniformity, particularly suitable for woven fabrics. Representative SEM micrographs confirmed uniform resin distribution, full fiber wetting, and absence of voids, validating the impregnation quality obtained by both techniques. These findings highlight the technological relevance of selecting the appropriate impregnation route for each reinforcement architecture, offering direct guidance for industrial-scale composite manufacturing, where the hot-melt method is preferred for UD prepregs requiring precise resin control, while solvent-based impregnation ensures deeper and uniform resin distribution in woven fabric structures. Full article
Show Figures

Figure 1

24 pages, 13851 KB  
Article
Analysis of the Influence of Manufacturing Technology on Selected Static, Fatigue and Morphological Properties of CFRP Composites
by Andrzej Kubit, Kishore Debnath, Ján Slota, Filip Dominik, Ankit Dhar Dubey, Gorrepotu Surya Rao and Krzysztof Żaba
Materials 2025, 18(1), 102; https://doi.org/10.3390/ma18010102 - 30 Dec 2024
Cited by 1 | Viewed by 2249
Abstract
The aim of this study was to compare the mechanical properties of carbon-fiber-reinforced polymer (CFRP) composites produced using three popular technologies. The tests were performed on composites produced from prepregs in an autoclave, the next variant is composites produced using the infusion method, [...] Read more.
The aim of this study was to compare the mechanical properties of carbon-fiber-reinforced polymer (CFRP) composites produced using three popular technologies. The tests were performed on composites produced from prepregs in an autoclave, the next variant is composites produced using the infusion method, and the third variant concerns composites produced using the vacuum-assisted hand lay-up method. For each variant, flat plates with dimensions of 1000 mm × 1000 mm were produced while maintaining similar material properties and fabric arrangement configuration. Samples for testing were cut using a plotter in the 0° and 45° directions. Non-destructive tests (NDTs) were carried out using the active thermography method, demonstrating the correctness of the composites, i.e., the absence of structural defects for all variants. Static peel strength tests were carried out for samples with different directional orientations. The tests were carried out at temperatures of +25 °C and +80 °C. At room temperature, similar strengths were demonstrated, which for the 0° orientation were 619 MPa, 599 MPa and 536 MPa for the autoclave, vacuum and infusion variants, respectively. However, at a temperature of +80 °C, only the composite produced in the autoclave maintained the stability of its properties, showing a strength of 668 MPa. Meanwhile, in the case of the composite produced by the infusion method, a decrease in strength at an elevated temperature of 46.5% was demonstrated, while for the composite produced by the hand lay-up method, there was a decrease of 46.2%. For the last two variants, differential scanning calorimetry (DSC) analysis of epoxy resins constituting the composite matrices was carried out, showing a glass transition temperature value of 49.91 °C for the infusion variant and 56.07 °C for the vacuum variant. In the three-point static bending test, the highest strength was also demonstrated for the 0ᵒ orientation, and the bending strength was 1088 MPa for the autoclave variant, 634 MPa for the infusion variant and 547 MPa for the vacuum variant. The fatigue strength tests in tension at 80% of the static strength for the infusion variant showed an average fatigue life of 678.788 × 103 cycles for the autoclave variant, 176.620 × 103 cycles for the vacuum variant and 159.539 × 103 cycles for the infusion variant. Full article
(This article belongs to the Special Issue Advances in Carbon Fiber/Resin Matrix Polymer Composites)
Show Figures

Figure 1

15 pages, 4672 KB  
Article
Impact of Cell Design Parameters on Mechanical Properties of 3D-Printed Cores for Carbon Epoxy Sandwich Composites
by Mustafa Aslan, Kutay Çava, Altuğ Uşun and Onur Güler
Polymers 2025, 17(1), 2; https://doi.org/10.3390/polym17010002 - 24 Dec 2024
Cited by 2 | Viewed by 1526
Abstract
The introduction of 3D printing technology has broadened manufacturing possibilities, allowing the production of complex cellular geometries, including auxetic and curved plane structures, beyond the standard honeycomb patterns in sandwich composite materials. In this study, the effects of cell design parameters, such as [...] Read more.
The introduction of 3D printing technology has broadened manufacturing possibilities, allowing the production of complex cellular geometries, including auxetic and curved plane structures, beyond the standard honeycomb patterns in sandwich composite materials. In this study, the effects of cell design parameters, such as cell geometry (honeycomb and auxetic) and cell size (cell thickness and width), are examined on acrylonitrile butadiene styrene (ABS) core materials produced using fusion deposition modeling (FDM). They are produced as a result of the epoxy bonding of carbon epoxy prepreg composite materials to the surfaces of core materials. Increasing the wall thickness from 0.6 mm to 1 mm doubled the elastic modulus of the re-entrant structures (5 GPa to 10 GPa) and improved compressive strength by 50–60% for both geometries. In contrast, increasing cell size from 6 mm to 10 mm significantly reduced compressive strength by 80% (from 2.5–2.8 MPa to 0.5–0.6 MPa) and elastic modulus by 70–78% (from 9–10 GPa to 2–3 GPa). Flexural testing showed that the re-entrant cores, with a maximum load capacity of 148 N, exhibited more uniform deformation, while the honeycomb cores achieved a higher load capacity of 273 N but were prone to localized failures. These findings emphasize the directional anisotropy and specific advantages of auxetic and honeycomb designs, offering valuable insights for lightweight, high-strength structural applications. Full article
(This article belongs to the Special Issue Research on Additive Manufacturing of Polymer Composites)
Show Figures

Figure 1

22 pages, 5283 KB  
Article
Free-Forming of Customised NFRP Profiles for Architecture Using Simplified Adaptive and Stay-In-Place Moulds
by Piotr Baszyński and Hanaa Dahy
Designs 2024, 8(6), 129; https://doi.org/10.3390/designs8060129 - 3 Dec 2024
Viewed by 1692
Abstract
Design and production technology of natural fibre reinforced polymers not only aims to offer products with a lower environmental impact than conventional glass fibre composites but also caters for designers’ needs for the fabrication of lightweight free-formed architectural components. To combine both characteristics, [...] Read more.
Design and production technology of natural fibre reinforced polymers not only aims to offer products with a lower environmental impact than conventional glass fibre composites but also caters for designers’ needs for the fabrication of lightweight free-formed architectural components. To combine both characteristics, the forming process itself, once scaled up, needs to be based on efficient material moulding strategies. Based on case studies of adaptive forming techniques derived from the composite industry and concrete casting, two approaches for the mass production of customised NFRP profiles are proposed. Both processes are based on foam from recycled PET, which is used as either a removable mould or a stay-in-place (SIP) core. Once the textile reinforcement is placed on a mould, either by helical winding of natural fibre prepregs or in the form of mass-produced textile preforms, its elastic properties allow for the free-forming of the composite profile before the resin is fully cured. This paper investigates the range of deformations that it is possible to achieve by each method and describes the realisation of a small structural demonstrator, in the form of a stool, through the helical winding of a flax prepreg on a SIP core. Full article
Show Figures

Figure 1

33 pages, 14094 KB  
Review
Formulation of Epoxy Prepregs, Synthesization Parameters, and Resin Impregnation Approaches—A Comprehensive Review
by Yashoda Somarathna, Madhubhashitha Herath, Jayantha Epaarachchi and Md Mainul Islam
Polymers 2024, 16(23), 3326; https://doi.org/10.3390/polym16233326 - 27 Nov 2024
Cited by 6 | Viewed by 5493
Abstract
Prepregs are resin-impregnated, expensive composites mainly limited to high-end applications within the aeronautical, defense, automotive, and energy sectors. Prepreg technology is mainly protected by trade secrets, resulting in limited studies on prepreg resin matrix development and recent advancements. Three key parameters for epoxy [...] Read more.
Prepregs are resin-impregnated, expensive composites mainly limited to high-end applications within the aeronautical, defense, automotive, and energy sectors. Prepreg technology is mainly protected by trade secrets, resulting in limited studies on prepreg resin matrix development and recent advancements. Three key parameters for epoxy resin matrix development including B-staging, viscosity, and tackiness, and their control strategies are discussed in detail. The B-stage is defined as the partially cured stage of epoxy prepregs and is extremely important for prepreg layup, pot life, and final performances. The three key parameters are interrelated and accurately controlled, and, hence, resin development plays a huge role in the prepreg development process. This review also discusses the measuring techniques of the parameters in detail. Based on the resin impregnation techniques and B-stage control, two approaches are proposed to develop the prepreg resin formulations: conventional resin impregnation and viscosity-controlled resin impregnation. The approaches would be extremely useful, especially for advancing beyond the existing prepreg applications and developing smart materials and functional composites through advanced resin modification strategies. Full article
(This article belongs to the Section Polymer Composites and Nanocomposites)
Show Figures

Figure 1

16 pages, 13683 KB  
Article
The Effects of Laser-Assisted Winding Process Parameters on the Tensile Properties of Carbon Fiber/Polyphenylene Sulfide Composites
by Hongbo Geng, Xuewen Cao, Lei Zu, Helin Pan, Guiming Zhang, Qian Zhang, Jianhui Fu, Lichuan Zhou, Qiaoguo Wu, Xiaolong Jia and Honghao Liu
Materials 2024, 17(18), 4664; https://doi.org/10.3390/ma17184664 - 23 Sep 2024
Cited by 5 | Viewed by 2065
Abstract
Currently, there is limited research on the in situ forming process of thermoplastic prepreg tape winding, and the unclear impact of process parameters on mechanical properties during manufacturing is becoming increasingly prominent. The study aimed to investigate the influence of process parameters on [...] Read more.
Currently, there is limited research on the in situ forming process of thermoplastic prepreg tape winding, and the unclear impact of process parameters on mechanical properties during manufacturing is becoming increasingly prominent. The study aimed to investigate the influence of process parameters on the mechanical properties of thermoplastic composite materials (CFRP) using laser-assisted CF/PPS winding forming technology. The melting point and decomposition temperature of CF/PPS materials were determined using DSC and TGA instruments, and based on the operating parameters of the laser-assisted winding equipment, the process parameter range for this fabrication technology was designed. A numerical model for the temperature of laser-heated CF/PPS prepreg was established, and based on the filament winding process setup, the heating temperature and tensile strength were simulated and tested. The effects of process parameters on the heating temperature of the prepreg and the tensile strength of NOL rings were then analyzed. The non-dominated sorting genetic algorithm (NSGA-II) was employed to globally optimize the process parameters, aiming to maximize winding rate and tensile strength. The results indicated that core mold temperature, winding rate, laser power, and their interactions significantly affected mechanical properties. The optimal settings were 90 °C, 418.6 mm/s, and 525 W, achieving a maximum tensile strength of 2571.51 MPa. This study provides valuable insights into enhancing the forming efficiency of CF/PPS-reinforced high-performance engineering thermoplastic composites. Full article
(This article belongs to the Special Issue Advanced Manufacturing Technologies of Thermoplastic Composites)
Show Figures

Figure 1

17 pages, 9263 KB  
Article
Development and Manufacturing of a Fibre Reinforced Thermoplastic Composite Spar Produced by Oven Vacuum Bagging
by Helena Rocha, Agnieszka Rocha, Joana Malheiro, Bruno Sousa, Andreia Vilela, Filipa Carneiro and Paulo Antunes
Polymers 2024, 16(15), 2216; https://doi.org/10.3390/polym16152216 - 3 Aug 2024
Cited by 2 | Viewed by 2437
Abstract
The limited recyclability of fibre-reinforced thermoset composites has fostered the development of alternative thermoplastic-based composites and their manufacturing processes. The most common thermoplastic-based composites are often costly due to their availability in the form of prepreg materials and to the high pressure and [...] Read more.
The limited recyclability of fibre-reinforced thermoset composites has fostered the development of alternative thermoplastic-based composites and their manufacturing processes. The most common thermoplastic-based composites are often costly due to their availability in the form of prepreg materials and to the high pressure and temperatures required for their manufacturing. Yet, the manufacturing of economic and recyclable composites, made of semi-preg composite materials using traditional composite manufacturing technologies, has only been proved at a laboratory scale through the manufacturing of flat plates. This work reports the manufacturing of a real structural part, a wing spar section with complex geometry, made of commingled polyamide 12 (PA12) fibres and carbon fibres (CFs) semi-preg and by oven vacuum bagging (OVB). The composite layup was studied using finite element analysis, and processing simulation assisted in the determination of the PA12/CF preform for OVB. Processing of two forms of semi-preg materials was first evaluated and optimised. The material selection for part manufacturing was mainly defined by the materials’ processability. The spar section was manufactured in two OVB stages and was then mechanically tested. The mechanical test showed a linear strain response of the prototype up to the maximum load and validated the optimised layup configuration of the composite structure. Full article
Show Figures

Figure 1

15 pages, 7505 KB  
Article
Research and Validation of CF/PEEK-Based Truss Rod Crimping and Pultruding Process for On-Orbit Isoform Forming
by Jiayong Yan, Peng Li, Chao Geng, Xuanyu Guo and Lixin Zhang
Materials 2024, 17(10), 2393; https://doi.org/10.3390/ma17102393 - 16 May 2024
Cited by 1 | Viewed by 1692
Abstract
A crimping and pultruding forming process for truss rods using Carbon Fiber (CF)/Polyether–Ether–Ketone (PEEK) prepreg tape as the raw material is proposed to address the problem of continuous manufacturing of space trusses on orbit. The proposed process provides material rods for continuous truss [...] Read more.
A crimping and pultruding forming process for truss rods using Carbon Fiber (CF)/Polyether–Ether–Ketone (PEEK) prepreg tape as the raw material is proposed to address the problem of continuous manufacturing of space trusses on orbit. The proposed process provides material rods for continuous truss manufacturing. Through numerical simulation and experimental verification, the effects of relevant parameters on the forming process are determined, an efficient method of rod curl pultrusion, in-rail, equal material forming is proposed, and the structural configuration of the rod curl pultrusion forming mold is determined. The equivalent macroscopic mechanical properties of unidirectional CF/PEEK prepreg strips are considered, and the rod-forming process is investigated. Rod samples with different process parameters are prepared, and several tests are conducted on them. The results show that the forming load pull is negatively correlated with the temperature at the same forming speed, and forming speed is positively correlated with the forming load pull at a certain temperature. Temperature and speed affect the surface quality of the rod, the density of the material filling, and the mechanical properties of the rod. The optimal forming process parameters are determined through numerical simulation and experimental verification. The developed molding technology has the advantages of high efficiency, low energy consumption, and high integration. It reduces manufacturing costs and improves manufacturing efficiency, so it can serve as a new and effective solution for the manufacturing of high-performance truss rods in the aerospace field. Full article
Show Figures

Figure 1

36 pages, 6218 KB  
Article
Towards Advancing Translators’ Guidance for Organisations Tackling Innovation Challenges in Manufacturing within an Industry 5.0 Context
by Paul-Ludwig Michael Noeske, Alexandra Simperler, Welchy Leite Cavalcanti, Vinicius Carrillo Beber, Tasmin Alliott, Peter Schiffels and Gerhard Goldbeck
Sustainability 2024, 16(8), 3486; https://doi.org/10.3390/su16083486 - 22 Apr 2024
Cited by 1 | Viewed by 2528
Abstract
Following the vision of the European Commission, organisations and workers establishing Industry 5.0 approaches aspire to more future-proof, resilient, sustainable, and human-centred European industries. In this contribution, we explore how technological innovations that contribute to a “win–win” interaction with involved stakeholders may be [...] Read more.
Following the vision of the European Commission, organisations and workers establishing Industry 5.0 approaches aspire to more future-proof, resilient, sustainable, and human-centred European industries. In this contribution, we explore how technological innovations that contribute to a “win–win” interaction with involved stakeholders may be advanced in a human-centred and transparent proceeding supported by impartial expert translators who provide information or knowledge-based guidance for decision-makers, initiators and implementers in manufacturing innovation driven by sustainability. We elaborate a stepwise procedure for agreeing on milestones and conjointly treading the path towards solving innovation challenges during a translation process. We exemplify the technological aspects of such a process using an innovation case aiming at identifying parameters for enhancements in a vacuum-bagging process applied to the manufacturing of composite parts from prepregs based on condensation-curing matrix resins made from renewable resources. In detail, we present a straightforward design of an experimental approach varying the dwelling temperature and the temperature ramps during the curing of stacked prepregs. In this way, we demonstrate that for cured composites comprising a poly(furfuryl alcohol)-based matrix, the porosity and connected mechanical properties achieved with autoclave-free curing processes sensitively depend on these process parameters. Applying the resulting data-based model is shown to support decision-making for sustainable composite manufacture. Full article
(This article belongs to the Special Issue Sustainable Materials, Manufacturing and Design)
Show Figures

Figure 1

28 pages, 7128 KB  
Review
Various FDM Mechanisms Used in the Fabrication of Continuous-Fiber Reinforced Composites: A Review
by Armin Karimi, Davood Rahmatabadi and Mostafa Baghani
Polymers 2024, 16(6), 831; https://doi.org/10.3390/polym16060831 - 18 Mar 2024
Cited by 121 | Viewed by 11577
Abstract
Fused Deposition Modeling (FDM) is an additive manufacturing technology that has emerged as a promising technique for fabricating 3D printed polymers. It has gained attention recently due to its ease of use, efficiency, low cost, and safety. However, 3D-printed FDM components lack sufficient [...] Read more.
Fused Deposition Modeling (FDM) is an additive manufacturing technology that has emerged as a promising technique for fabricating 3D printed polymers. It has gained attention recently due to its ease of use, efficiency, low cost, and safety. However, 3D-printed FDM components lack sufficient strength compared to those made using conventional manufacturing methods. This low strength can be mainly attributed to high porosity and low sinterability of layers and then to the characteristics of the polymer used in the FDM process or the FDM process itself. Regarding polymer characteristics, there are two main types of reinforcing fibers: discontinuous (short) and continuous. Continuous-fiber reinforced composites are becoming popular in various industries due to their excellent mechanical properties. Since continuous reinforcing fibers have a more positive effect on increasing the strength of printed parts, this article focuses primarily on continuous long fibers. In addition to polymer characteristics, different mechanisms have been developed and introduced to address the issue of insufficient strength in 3D-printed FDM parts. This article comprehensively explains two main FDM mechanisms: in-situ fusion and ex-situ prepreg. It also provides relevant examples of these mechanisms using different reinforcing elements. Additionally, some other less frequently utilized mechanisms are discussed. Each mechanism has its own advantages and disadvantages, indicating that further development and modification are needed to increase the strength of 3D-printed FDM parts to be comparable to those produced using traditional methods. Full article
(This article belongs to the Special Issue Additive Manufacturing of Polymer Composites II)
Show Figures

Figure 1

15 pages, 8879 KB  
Article
Impact of Process Technology on Properties of Large-Scale Wind Turbine Blade Composite Spar Cap
by Yuanrong Sun, Congli Hu and Jianbo Li
Energies 2024, 17(5), 1149; https://doi.org/10.3390/en17051149 - 28 Feb 2024
Cited by 1 | Viewed by 4055
Abstract
As wind turbine blade length increases, reconciling lightweight design with strength necessitates continuous advancements in process technology. The impact of three different process technologies–vacuum-assisted resin transfer moulding (VARTM), prepreg, and pultrusion–on the properties of wind turbine blade composite spar caps was investigated using [...] Read more.
As wind turbine blade length increases, reconciling lightweight design with strength necessitates continuous advancements in process technology. The impact of three different process technologies–vacuum-assisted resin transfer moulding (VARTM), prepreg, and pultrusion–on the properties of wind turbine blade composite spar caps was investigated using scanning electron microscopy, dynamic mechanical analysis, differential scanning calorimetry, thermogravimetric analysis, and static and fatigue testing. The results demonstrated that the fibre weight content and 0° tensile modulus of the VARTM and pultrusion composites increased as compared to those of the prepreg samples. Subsequently, the properties of a 94-m blade were analysed using the Ansys Composite PrepPost (ACP) and static structure modules in Ansys simulations, and the weights of the spar cap were compared with test data of materials under different process technologies. The results showed that the masses of the spar cap of a 94-m blade in the pultrusion, VARTM, and prepreg processes were 7965, 9170, and 9942 kg, respectively. The quantitative influence rules on the weight of the wind turbine blade spar cap prepared through different process technologies were formulated. The findings of this study are promising and are expected to aid the development of wind turbine blade process technologies. Full article
(This article belongs to the Section A3: Wind, Wave and Tidal Energy)
Show Figures

Figure 1

15 pages, 6448 KB  
Article
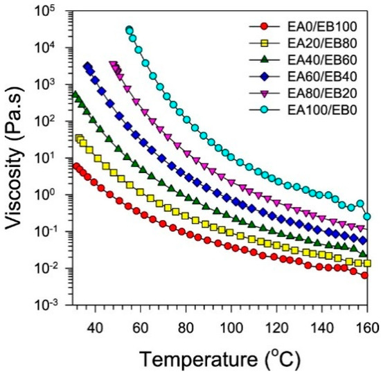
Preparation and Mechanical Properties of Flexible Prepreg Resin with High Strength and Low Creep
by Zhaoyi Sun, Zhiyuan Mei, Zheng Huang and Guorong Wang
Polymers 2024, 16(4), 558; https://doi.org/10.3390/polym16040558 - 18 Feb 2024
Cited by 5 | Viewed by 2870
Abstract
In this study, aiming at the problem of low strength and high creep caused by medium–low modulus flexible resin based on the formulation design idea of high-molecular-weight epoxy resin (E12)-reinforced flexible epoxy-terminated urethane resin (EUR), a flexible epoxy prepreg resin with high strength [...] Read more.
In this study, aiming at the problem of low strength and high creep caused by medium–low modulus flexible resin based on the formulation design idea of high-molecular-weight epoxy resin (E12)-reinforced flexible epoxy-terminated urethane resin (EUR), a flexible epoxy prepreg resin with high strength and low bending creep was prepared to be suitable for hot melt processing technology. Flexible EUR was synthesized by grafting flexible polyurethane segments onto the epoxy side chain by urethane bonding. By adjusting the ratio of E12 and EUR, the effects of different ratios of the two components on the mechanical properties and viscoelasticity of the resin were systematically studied with dicyandiamide as the latent curing system. Research has found that when the E12 content is between 20%wt and 40%wt, the resin system has the best coating viscosity at 65 °C to 85 °C. The molecular weight and the content of aromatic heterocyclic groups of the resin determine the strength and creep behavior of the resin. When the content of E12 in the system is less than 50%wt, modulus and strength increase linearly, but after more than 50%wt E12 content, the modulus is almost unchanged and the strength begins to decrease. By increasing the content of E12 in the resin, the creep behavior of the resin is greatly reduced. When the content of E12 increases to 50%wt, the bending creep is the lowest. Full article
Show Figures

Figure 1

19 pages, 8732 KB  
Article
Experimental Study on the Optimization of the Autoclave Curing Cycle for the Enhancement of the Mechanical Properties of Prepreg Carbon–Epoxy Laminates
by Soňa Rusnáková, Michal Grunt, Milan Žaludek, Jakub Javořík and Barbora Kotlánová
Polymers 2024, 16(1), 47; https://doi.org/10.3390/polym16010047 - 22 Dec 2023
Cited by 3 | Viewed by 3598
Abstract
In this study, the influence of the technological parameters of autoclave curing on the resulting mechanical properties of laminates was investigated. The main criterion for optimizing the curing was to extend the processing window with a lower prepreg viscosity. At the same time, [...] Read more.
In this study, the influence of the technological parameters of autoclave curing on the resulting mechanical properties of laminates was investigated. The main criterion for optimizing the curing was to extend the processing window with a lower prepreg viscosity. At the same time, the issue of setting the pressure level before the heat ramp to the final cure temperature was also addressed. An experimental method of measuring the indentation viscosity of the prepreg was used to determine the viscosity profile. Despite the experimental nature of the method, the reliability of this method for rapid approximate identification of the processing window of the prepreg was verified by the results of the study. Several laminates with the same ply orientation were produced using the selected cure cycles, from which test specimens were cut with a water jet and inspected by confocal microscopy. The mechanical properties of tension and flexure were measured within the individual curing cycles using tests according to ISO standards. The data reported demonstrate that the experimental method of optimizing the curing parameters has successfully increased the selected mechanical properties. The resulting mechanical properties of the laminates were enhanced by up to 20% compared to the non-optimized cure cycle. The influence of the type of cure cycle on the resulting thickness of the cured laminate was evaluated in this study. Full article
Show Figures

Figure 1

Back to TopTop