The Use of the Overmolding Technique for the Preparation of Basalt Fiber (BF)-Based Composite, the Comparative Study of Poly(ethylene terephthalate)/Polycarbonate—PET/PC and Poly(butylene terephthalate)—PBT/PC Blends
Abstract
1. Introduction
2. Research Methodology
2.1. Materials
2.2. Sample Preparation
2.3. Characterization
3. Results and Discussion
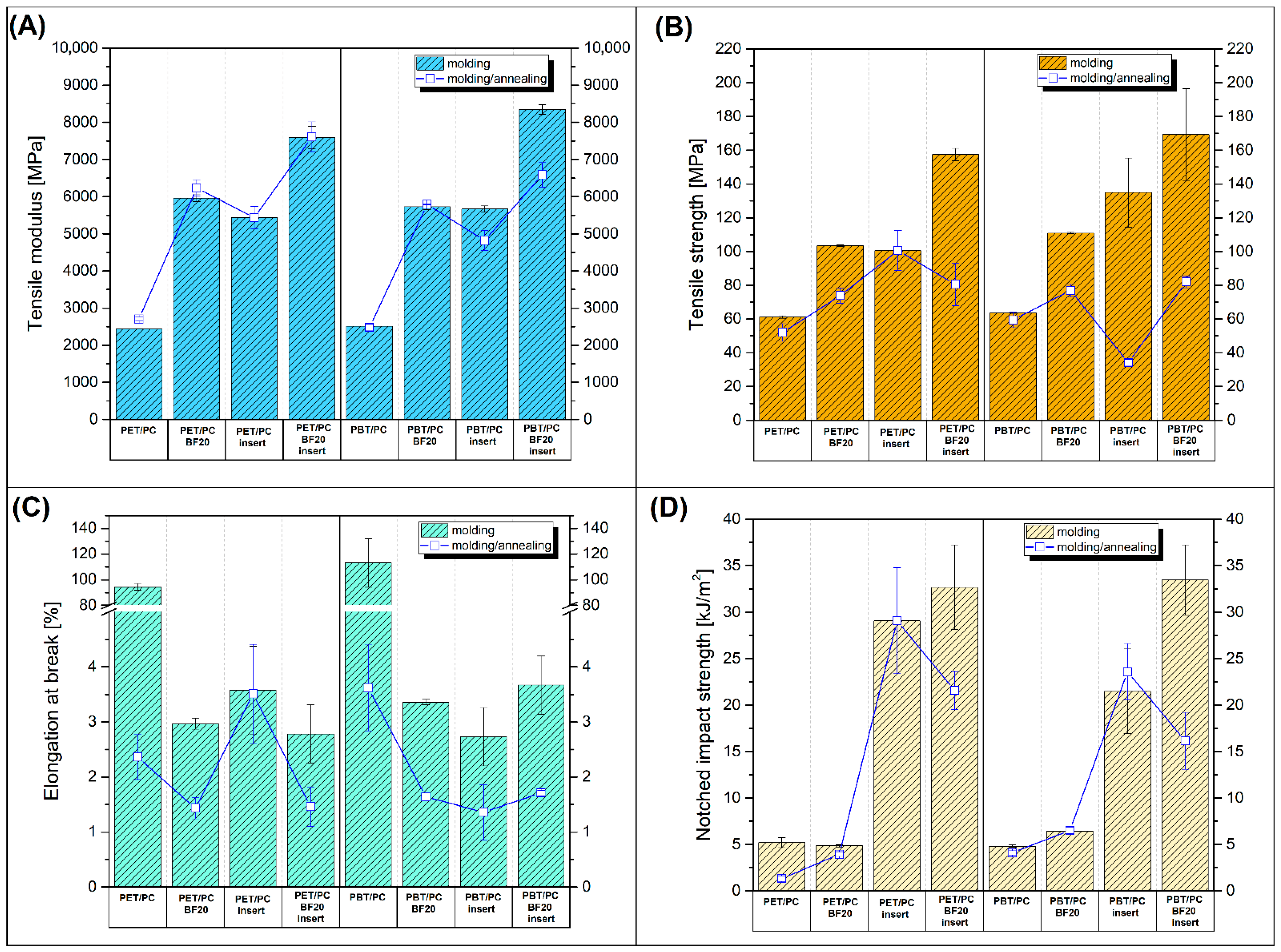
3.1. Mechanical Performance—Static Measurements, Impact Tests and Interlaminar Shear Strength Analysis
3.2. Thermomechanical Properties—DMTA Analysis and HDT Tests
3.3. Thermal Properties—Differential Scanning Calorimetry (DSC) Analysis
4. Conclusions
Supplementary Materials
Author Contributions
Funding
Institutional Review Board Statement
Data Availability Statement
Conflicts of Interest
References
- Muniyan, V.; Vijay Kumar, V.; Suyambulingam, I.; Priyadharshini, S.; Divakaran, D.; Rangappa, S.M.; Siengchin, S. A Review of Recent Advancements in the Impact Response of Fiber Metal Laminates. Heliyon 2025, 11, e41756. [Google Scholar] [CrossRef]
- Trzepieciński, T.; Najm, S.M.; Sbayti, M.; Belhadjsalah, H.; Szpunar, M.; Lemu, H.G. New Advances and Future Possibilities in Forming Technology of Hybrid Metal–Polymer Composites Used in Aerospace Applications. J. Compos. Sci. 2021, 5, 217. [Google Scholar] [CrossRef]
- Zhang, J.; Lin, G.; Vaidya, U.; Wang, H. Past, Present and Future Prospective of Global Carbon Fibre Composite Developments and Applications. Compos. Part B Eng. 2023, 250, 110463. [Google Scholar] [CrossRef]
- Landi, D. A New Interactive Design Method for Carbon Fibres Laminate Component. Int. J. Interact. Des. Manuf. 2024, 18, 4189–4208. [Google Scholar] [CrossRef]
- Tayebi, S.T.; Sambucci, M.; Valente, M. Waste Management of Wind Turbine Blades: A Comprehensive Review on Available Recycling Technologies with A Focus on Overcoming Potential Environmental Hazards Caused by Microplastic Production. Sustainability 2024, 16, 4517. [Google Scholar] [CrossRef]
- Alavi, Z.; Khalilpour, K.; Florin, N.; Hadigheh, A.; Hoadley, A. End-of-Life Wind Turbine Blade Management across Energy Transition: A Life Cycle Analysis. Resour. Conserv. Recycl. 2025, 213, 108008. [Google Scholar] [CrossRef]
- Lan, T.; Wang, B.; Zhang, J.; Wei, H.; Liu, X. Utilization of Waste Wind Turbine Blades in Performance Improvement of Asphalt Mixture. Front. Mater 2023, 10, 1164693. [Google Scholar] [CrossRef]
- Aldosari, S.M.; AlOtaibi, B.M.; Alblalaihid, K.S.; Aldoihi, S.A.; AlOgab, K.A.; Alsaleh, S.S.; Alshamary, D.O.; Alanazi, T.H.; Aldrees, S.D.; Alshammari, B.A. Mechanical Recycling of Carbon Fiber-Reinforced Polymer in a Circular Economy. Polymers 2024, 16, 1363. [Google Scholar] [CrossRef] [PubMed]
- Ballout, W.; Sallem-Idrissi, N.; Sclavons, M.; Doneux, C.; Bailly, C.; Pardoen, T.; Van Velthem, P. High Performance Recycled CFRP Composites Based on Reused Carbon Fabrics through Sustainable Mild Solvolysis Route. Sci. Rep. 2022, 12, 5928. [Google Scholar] [CrossRef]
- Giorgini, L.; Benelli, T.; Brancolini, G.; Mazzocchetti, L. Recycling of Carbon Fiber Reinforced Composite Waste to Close Their Life Cycle in a Cradle-to-Cradle Approach. Curr. Opin. Green Sustain. Chem. 2020, 26, 100368. [Google Scholar] [CrossRef]
- Szatkowski, P.; Twaróg, R. Thermal Recycling Process of Carbon Fibers from Composite Scrap—Characterization of Pyrolysis Conditions and Determination of the Quality of Recovered Fibers. Fibers 2024, 12, 68. [Google Scholar] [CrossRef]
- Ren, Y.; Xu, L.; Shang, X.; Shen, Z.; Fu, R.; Li, W.; Guo, L. Evaluation of Mechanical Properties and Pyrolysis Products of Carbon Fibers Recycled by Microwave Pyrolysis. ACS Omega 2022, 7, 13529–13537. [Google Scholar] [CrossRef] [PubMed]
- Li, X.; Xu, L.; Ren, Y.; Nan, Z.; Xiao, S.; Shen, Z. Research on Microwave Pyrolysis Recovery and Reuse Performance of Carbon Fiber Composites. Polymers 2024, 16, 1383. [Google Scholar] [CrossRef]
- Hubbard, A.M.; Ren, Y.; Papaioannou, P.; Sarvestani, A.; Picu, C.R.; Konkolewicz, D.; Roy, A.K.; Varshney, V.; Nepal, D. Vitrimer Composites: Understanding the Role of Filler in Vitrimer Applicability. ACS Appl. Polym. Mater. 2022, 4, 6374–6385. [Google Scholar] [CrossRef]
- Zheng, J.; Png, Z.M.; Ng, S.H.; Tham, G.X.; Ye, E.; Goh, S.S.; Loh, X.J.; Li, Z. Vitrimers: Current Research Trends and Their Emerging Applications. Mater. Today 2021, 51, 586–625. [Google Scholar] [CrossRef]
- Ye, G.; Wang, C.; Guo, Y.; Yang, Q.; Huo, S. Vitrimer as a Sustainable Alternative to Traditional Thermoset: Recent Progress and Future Prospective. ACS Polym. Au 2025, 5, 445–457. [Google Scholar] [CrossRef]
- Denissen, W.; Winne, J.M.; Du Prez, F.E. Vitrimers: Permanent Organic Networks with Glass-like Fluidity. Chem. Sci. 2016, 7, 30–38. [Google Scholar] [CrossRef]
- Sun, X.; Belnoue, J.P.H.; Wang, W.T.; Kim, B.C.; Hallett, S.R. “Un-Forming” Fibre-Steered Preforms: Towards Fast and Reliable Production of Complex Composites Parts. Compos. Sci. Technol. 2021, 216, 109060. [Google Scholar] [CrossRef]
- Gómez, C.; Tobalina-Baldeon, D.; Cavas, F.; Sanz-Adan, F. Geometrical Optimization of Thermoforming Continuous Fibers Reinforced Thermoplastics with Finite Element Models: A Case Study. Compos. Part B Eng. 2022, 239, 109950. [Google Scholar] [CrossRef]
- Wakeman, M.D.; Rudd, C.D. Compression Molding of Thermoplastic Composites. In Comprehensive Composite Materials; Elsevier: Amsterdam, The Netherlands, 2000; pp. 915–963. [Google Scholar]
- Duhovic, M.; Bhattacharyya, D. Knitted Fabric Composites. In Advances in Knitting Technology; Elsevier Ltd.: Amsterdam, The Netherlands, 2011; pp. 193–212. ISBN 9781845693725. [Google Scholar]
- Tan, Y.; Wang, X.; Wu, D. Preparation, Microstructures, and Properties of Long-Glass-Fiber-Reinforced Thermoplastic Composites Based on Polycarbonate/Poly (Butylene Terephthalate) Alloys. J. Reinf. Plast. Compos. 2015, 34, 1804–1820. [Google Scholar] [CrossRef]
- Zhang, D.; He, M.; Qin, S.; Yu, J. Effect of Fiber Length and Dispersion on Properties of Long Glass Fiber Reinforced Thermoplastic Composites Based on Poly(Butylene Terephthalate). RSC Adv. 2017, 7, 15439–15454. [Google Scholar] [CrossRef]
- Bazan, P.; Kuciel, S.; Sądej, M. The Influence of Adding Long Basalt Fiber on the Mechanical and Thermal Properties of Composites Based on Poly (Oxymethylene). J. Thermoplast. Compos. Mater. 2020, 33, 435–450. [Google Scholar] [CrossRef]
- Bartus, S.D.; Vaidya, U.K. Performance of Long Fiber Reinforced Thermoplastics Subjected to Transverse Intermediate Velocity Blunt Object Impact. Compos. Struct. 2005, 67, 263–277. [Google Scholar] [CrossRef]
- Alwekar, S.; Ogle, R.; Kim, S.; Vaidya, U. Manufacturing and Characterization of Continuous Fiber-Reinforced Thermoplastic Tape Overmolded Long Fiber Thermoplastic. Compos. Part B Eng. 2021, 207, 108597. [Google Scholar] [CrossRef]
- Zhang, J.M.; Reynolds, C.T.; Peijs, T. All-Poly(Ethylene Terephthalate) Composites by Film Stacking of Oriented Tapes. Compos. Part A Appl. Sci. Manuf. 2009, 40, 1747–1755. [Google Scholar] [CrossRef]
- Ary Subagia, I.D.G.; Kim, Y.; Tijing, L.D.; Kim, C.S.; Shon, H.K. Effect of Stacking Sequence on the Flexural Properties of Hybrid Composites Reinforced with Carbon and Basalt Fibers. Compos. Part B Eng. 2014, 58, 251–258. [Google Scholar] [CrossRef]
- Wang, J.; Chen, J.; Dai, P.; Wang, S.; Chen, D. Properties of Polypropylene Single-Polymer Composites Produced by the Undercooling Melt Film Stacking Method. Compos. Sci. Technol. 2015, 107, 82–88. [Google Scholar] [CrossRef]
- Liu, J.; Quan, D.; Ma, Y.; Bai, S.; Wang, X.; Yang, X.; Zhao, G. An Integrated Stamp Forming and Injection Overmolding Process for Thermoplastic Composite Components: Enhancing Overmolding Interface. J. Manuf. Process. 2025, 152, 332–345. [Google Scholar] [CrossRef]
- Akkerman, R.; Bouwman, M.; Wijskamp, S. Analysis of the Thermoplastic Composite Overmolding Process: Interface Strength. Front. Mater 2020, 7, 27. [Google Scholar] [CrossRef]
- Boros, R.; Rajamani, P.K.; Kovács, J.G. Thermoplastic Overmolding onto Injection-Molded and in Situ Polymerization-Based Polyamides. Materials 2018, 11, 2140. [Google Scholar] [CrossRef]
- Jerpdal, L.; Schuette, P.; Ståhlberg, D.; åkermo, M. Influence of Temperature during Overmolding on the Tensile Modulus of Self-Reinforced Poly (Ethylene Terephthalate) Insert. J. Appl. Polym. Sci. 2020, 137, 48334. [Google Scholar] [CrossRef]
- Andrzejewski, J.; Szostak, M. Preparation of Hybrid Poly(Lactic Acid)/Flax Composites by the Insert Overmolding Process: Evaluation of Mechanical Performance and Thermomechanical Properties. J. Appl. Polym. Sci. 2020, 138, 49646. [Google Scholar] [CrossRef]
- Bula, K.; Korzeniewski, B. Polyamide 6-Aluminum Assembly Enhanced by Laser Microstructuring. Polymers 2022, 14, 288. [Google Scholar] [CrossRef]
- Vasconcelos, R.L.; Oliveira, G.H.M.; Amancio-Filho, S.T.; Canto, L.B. Injection Overmolding of Polymer-Metal Hybrid Structures: A Review. Polym. Eng. Sci. 2023, 63, 691–722. [Google Scholar] [CrossRef]
- Geminger, T.; Jarka, S. Injection Molding of Multimaterial Systems. In Specialized Injection Molding Techniques; Elsevier Inc.: Amsterdam, The Netherlands, 2016; pp. 165–210. ISBN 9780323371216. [Google Scholar]
- Novák, L.; Fojtl, L.; Kadlečková, M.; Maňas, L.; Smolková, I.; Musilová, L.; Minařík, A.; Mráček, A.; Sedláček, T.; Smolka, P. Surface Modification of Metallic Inserts for Enhancing Adhesion at the Metal–Polymer Interface. Polymers 2021, 13, 4015. [Google Scholar] [CrossRef] [PubMed]
- Paramasivam, A. Investigating the Failure Behavior of Over-Molded Thermoplastic Composites: Experimental Testing and Numerical Modelling. Appl. Compos. Mater. 2025, 32, 1659–1687. [Google Scholar] [CrossRef]
- Héri-Szuchács, A.; Kovács, J.G. Calculation of the Bonding Strength of Semi-Crystalline Polymers during Overmolding. Polym. Test. 2024, 139, 108579. [Google Scholar] [CrossRef]
- Reyes, E.; Tardif, X.; Bailleul, J.L.; Allanic, N.; Sobotka, V. Inverse Heat Transfer Optimization of Stamping with Over-Molding Process Involving High Performance Thermoplastic Composites: Experimental Validation. Int. J. Mater. Form. 2022, 15, 5. [Google Scholar] [CrossRef]
- Andrzejewski, J.; Przyszczypkowski, P.; Szostak, M. Development and Characterization of Poly(Ethylene Terephthalate) Based Injection Molded Self-Reinforced Composites. Direct Reinforcement by Overmolding the Composite Inserts. Mater. Des. 2018, 153, 273–286. [Google Scholar] [CrossRef]
- Lombardo, B.S.; Keskkula, H.; Paul, D.R. Influence of ABS Type on Morphology and Mechanical Properties of PC/ABS Blends. J. Appl. Polym. Sci. 1994, 54, 1697–1720. [Google Scholar] [CrossRef]
- Nishino, K.; Shindo, Y.; Takayama, T.; Ito, H. Improvement of Impact Strength and Hydrolytic Stability of PC/ABS Blend Using Reactive Polymer. J. Appl. Polym. Sci. 2017, 134, 1–6. [Google Scholar] [CrossRef]
- Chiu, H.T.; Huang, J.K.; Kuo, M.T.; Huang, J.H. Characterisation of PC/ABS Blend during 20 Reprocessing Cycles and Subsequent Functionality Recovery by Virgin Additives. J. Polym. Res. 2018, 25, 124. [Google Scholar] [CrossRef]
- Bärwinkel, S.; Seidel, A.; Hobeika, S.; Hufen, R.; Mörl, M.; Altstädt, V. Morphology Formation in PC/ABS Blends during Thermal Processing and the Effect of the Viscosity Ratio of Blend Partners. Materials 2016, 9, 659. [Google Scholar] [CrossRef] [PubMed]
- Andrzejewski, J.; Mohanty, A.K.; Misra, M. Development of Hybrid Composites Reinforced with Biocarbon/Carbon Fiber System. The Comparative Study for PC, ABS and PC/ABS Based Materials. Compos. Part B Eng. 2020, 200, 108319. [Google Scholar] [CrossRef]
- Öge, T.Ö.; Öge, M. Prediction of Tribological Properties of PC-PBT/GNP-MWCNT Nanocomposites Using Machine Learning Models. J. Appl. Polym. Sci. 2025, 142, e56834. [Google Scholar] [CrossRef]
- Wang, K.; Wu, J.; Zeng, H. Microstructures and Fracture Behavior of Glass-Fiber Reinforced PBT/PC/E-GMA Elastomer Blends-1: Microstructures. Compos. Sci. Technol. 2001, 61, 1529–1538. [Google Scholar] [CrossRef]
- Rezaei, M.H.; Bagheri, R. Enhancing Adhesion and Mechanical Properties of Recycled-Poly(Ethylene Terephthalate)/Polycarbonate/Glass Fiber Blends Using Copolymer Modifiers. Polymer 2026, 343, 129442. [Google Scholar] [CrossRef]
- Xiong, Z.; Sun, Y.; Wang, L.; Guo, Z.; Yu, J. Electrical Conductivities of Carbon Nanotube-Filled Polycarbonate/Polyester Blends. Sci. China Chem. 2012, 55, 808–813. [Google Scholar] [CrossRef]
- Vyavahare, S.A.; Kharat, B.M.; More, A.P. Polybutylene Terephthalate (PBT) Blends and Composites: A Review. Vietnam. J. Chem. 2024, 62, 579–589. [Google Scholar] [CrossRef]
- Andrzejewski, J. The Use of Recycled Polymers for the Preparation of Self-Reinforced Composites by the Overmolding Technique: Materials Performance Evaluation. Sustainability 2023, 15, 11318. [Google Scholar] [CrossRef]
- Seelig, T.; Giessen, E. Effects of Microstructure on Crack Tip Fields and Fracture Toughness in PC/ABS Polymer Blends. Int. J. Fract. 2007, 145, 205–222. [Google Scholar] [CrossRef]
- Bai, L.; Liu, Z.; Yu, C.; Ma, M.; Chen, S.; Shi, Y.; He, H.; Wang, X. Enhanced Interfacial Adhesion for Effectively Stress Transfer Inducing the Plastic Deformation of Matrix towards High-Toughness PC/PBT/EMA-GMA Blends. Polymer 2022, 261, 125403. [Google Scholar] [CrossRef]
- Shi, P.; Tang, J.; Duan, H. Influence of Different Tougheners on the Properties of PC/PBT Alloy. J. Mater. Sci. Chem. Eng. 2021, 9, 70–82. [Google Scholar] [CrossRef]
- Dal Lago, E.; Boaretti, C.; Piovesan, F.; Roso, M.; Lorenzetti, A.; Modesti, M. The Effect of Different Compatibilizers on the Properties of a Post-Industrial PC/PET Blend. Materials 2018, 12, 49. [Google Scholar] [CrossRef]
- Al-Jabareen, A.; Illescas, S.; Maspoch, M.L.; Santana, O.O. Effects of Composition and Transesterification Catalysts on the Physico-Chemical and Dynamic Properties of PC/PET Blends Rich in PC. J. Mater. Sci. 2010, 45, 6623–6633. [Google Scholar] [CrossRef]
- Luo, F.; Liu, X.; Liu, C.; Ma, J.; Wang, X.; Shen, C. Dynamic Viscoelasticity and Molecular Orientation in Uniaxially Drawn PC/PET Blends. J. Appl. Polym. Sci. 2019, 136, 47514. [Google Scholar] [CrossRef]
- Jerpdal, L.; Åkermo, M. Influence of Fibre Shrinkage and Stretching on the Mechanical Properties of Self-Reinforced Poly (Ethylene Terephthalate) Composite. J. Reinf. Plast. Compos. 2014, 33, 1644–1655. [Google Scholar] [CrossRef]
- Barczewski, M.; Mysiukiewicz, O.; Matykiewicz, D.; Kloziński, A.; Andrzejewski, J.; Piasecki, A. Synergistic Effect of Different Basalt Fillers and Annealing on the Structure and Properties of Polylactide Composites. Polym. Test. 2020, 89, 106628. [Google Scholar] [CrossRef]
- Kong, Y.; Hay, J.N. The Effect of Annealing on the Crystallization of Poly(Ethylene Terephthalate)/Polycarbonate Blends. J. Polym. Sci. Part B Polym. Phys. 2004, 42, 2129–2136. [Google Scholar] [CrossRef]
- Andrzejewski, J.; Chmielewski, P.; Osiński, F.; Markowski, M.; Marciniak-Podsadna, L.; Piasecki, A. Use of Recycled Poly(Ethylene Terephthalate)-Based (RPET) Blends in Additive Manufacturing Techniques to Prepare Sustainable, Tough, and Heat-Resistant Parts. ACS Sustain. Chem. Eng. 2024, 12, 17383–17405. [Google Scholar] [CrossRef]
- Bhandari, S.; Lopez-Anido, R.A.; Gardner, D.J. Enhancing the Interlayer Tensile Strength of 3D Printed Short Carbon Fiber Reinforced PETG and PLA Composites via Annealing. Addit. Manuf. 2019, 30, 100922. [Google Scholar] [CrossRef]
- Marchese, P.; Celli, A.; Fiorini, M.; Gabaldi, M. Effects of Annealing on Crystallinity and Phase Behaviour of PET/PC Block Copolymers. Eur. Polym. J. 2003, 39, 1081–1089. [Google Scholar] [CrossRef]
- ISO 527-1:2019; Plastics—Determination of Tensile Properties. International Organization for Standardization: Geneva, Switzerland, 2019.
- ISO 179-1; Plastics—Determination of Charpy Impact Properties. International Organization for Standardization: Geneva, Switzerland, 2010.
- Wach, R.A.; Wolszczak, P.; Adamus-Wlodarczyk, A. Enhancement of Mechanical Properties of FDM-PLA Parts via Thermal Annealing. Macromol. Mater. Eng. 2018, 303, 1800169. [Google Scholar] [CrossRef]
- Orue, A.; Eceiza, A.; Arbelaiz, A. The Effect of Sisal Fiber Surface Treatments, Plasticizer Addition and Annealing Process on the Crystallization and the Thermo-Mechanical Properties of Poly(Lactic Acid) Composites. Ind. Crops Prod. 2018, 118, 321–333. [Google Scholar] [CrossRef]
- Simmons, H.; Tiwary, P.; Colwell, J.E.; Kontopoulou, M. Improvements in the Crystallinity and Mechanical Properties of PLA by Nucleation and Annealing. Polym. Degrad. Stab. 2019, 166, 248–257. [Google Scholar] [CrossRef]
- Ahmad Saidi, M.A.; Hassan, A.; Wahit, M.U.; Lai, J.C. Mechanical and Thermal Properties of Polyethylene Terephthalate/Polybutylene Terephthalate Blends. In Proceedings of the 7th International Graduate Conference on Engineering, Science and Humanities, IGCESH, Johor Bahru, Malaysia, 13–15 August 2018. [Google Scholar]
- Wasti, S.; Clarkson, C.; Johnston, E.; Pu, Y.; Bhagia, S.; Tekinalp, H.; Ozcan, S.; Vaidya, U. Sizing of Discontinuous Natural Fibers: Effect of Sizing Approach and Sizing Concentration on Composite Properties. Compos. Part A Appl. Sci. Manuf. 2025, 197, 109029. [Google Scholar] [CrossRef]
- Kahl, C.; Feldmann, M.; Sälzer, P.; Heim, H.P. Advanced Short Fiber Composites with Hybrid Reinforcement and Selective Fiber-Matrix-Adhesion Based on Polypropylene—Characterization of Mechanical Properties and Fiber Orientation Using High-Resolution X-Ray Tomography. Compos. Part A Appl. Sci. Manuf. 2018, 111, 54–61. [Google Scholar] [CrossRef]
- Andrzejewski, J.; Gapiński, B.; Islam, A.; Szostak, M. The Influence of the Hybridization Process on the Mechanical and Thermal Properties of Polyoxymethylene (POM) Composites with the Use of a Novel Sustainable Reinforcing System Based on Biocarbon and Basalt Fiber (BC/BF). Materials 2020, 13, 3496. [Google Scholar] [CrossRef]
- Barczewski, M.; Mysiukiewicz, O.; Lewandowski, K.; Nowak, D.; Matykiewicz, D.; Andrzejewski, J.; Skórczewska, K.; Piasecki, A. Effect of Basalt Powder Surface Treatments on Mechanical and Processing Properties of Polylactide-Based Composites. Materials 2020, 13, 5436. [Google Scholar] [CrossRef]
- Andrzejewski, J.; Danielak, A.; Piasecki, A.; Islam, A.; Szostak, M. Biocarbon-Based Sustainable Reinforcing System for Technical Polymers. The Structure-Properties Correlation between Polycarbonate (PC) and Polybutylene Terephthalate (PBT)-Based Blends Containing Acrylonitrile-Butadiene-Styrene (ABS). Sustain. Mater. Technol. 2023, 36, e00612. [Google Scholar] [CrossRef]
- Aniśko, J.; Bartczak, D.; Barczewski, M. Limitations of Short Basalt Fibers Use as an Effective Reinforcement of Polyethylene Composites in Rotational Molding Technology. Adv. Sci. Technol. Res. J. 2023, 17, 110–123. [Google Scholar] [CrossRef]
- Tábi, T.; Égerházi, A.Z.; Tamás, P.; Czigány, T.; Kovács, J.G. Investigation of Injection Moulded Poly(Lactic Acid) Reinforced with Long Basalt Fibres. Compos. Part A Appl. Sci. Manuf. 2014, 64, 99–106. [Google Scholar] [CrossRef]
- Chowdhury, I.R.; Pemberton, R.; Summerscales, J. Developments and Industrial Applications of Basalt Fibre Reinforced Composite Materials. J. Compos. Sci. 2022, 6, 367. [Google Scholar] [CrossRef]
- Rochardjo, H.S.B.; Budiyantoro, C. Manufacturing and Analysis of Overmolded Hybrid Fiber Polyamide 6 Composite. Polymers 2021, 13, 3820. [Google Scholar] [CrossRef]
- Jiang, W.; Chen, C.; Deng, T.; Wang, X.; Huang, Z.; Zhou, H.; Zhou, H. Effect of Material and Processing Parameters on Fiber Pinning Effect and Resultant Interfacial Bonding Strength of CF/PEEK Bilayer Parts in Overmolding Process. Polym. Test. 2022, 108, 107509. [Google Scholar] [CrossRef]
- Yan, B.; Wu, H.; Jiang, G.; Guo, S.; Huang, J. Interfacial Crystalline Structures in Injection Over-Molded Polypropylene and Bond Strength. ACS Appl. Mater. Interfaces 2010, 2, 3023–3036. [Google Scholar] [CrossRef]
- Giusti, R.; Lucchetta, G. Modeling the Adhesion Bonding Mechanism in Overmolding Hybrid Structural Parts for Lightweight Applications. In Key Engineering Materials; Trans Tech Publications Ltd.: Baech, Switzerland, 2014; Volume 611–612, pp. 915–921. [Google Scholar]
- Liu, J.; Zhao, X.; Ye, L. Compatibility and Toughening Mechanism of Poly(Ethylene Terephthalate)/Polycarbonate Blends. Polym. Int. 2020, 69, 1297–1307. [Google Scholar] [CrossRef]
- Meziane, O.; Bensedira, A.R.; Guessoum, M. Morphological and Thermal Characterization of an Immiscible Catalyzed Polymer Blends (PC/PET). Polym. Polym. Compos. 2021, 29, S937–S948. [Google Scholar] [CrossRef]
- Pozorski, Z.; Andrzejewski, J. Experimental Determination of Mechanical Properties of 3D Printed PLA. Methodology for Testing Orthotropic Materials. Polym. Test. 2025, 149, 108860. [Google Scholar] [CrossRef]
- Hubmann, M.; Madadnia, B.; Groten, J.; Pletz, M.; Vanfleteren, J.; Stadlober, B.; Bossuyt, F.; Kaur, J.; Lucyshyn, T. Process Optimization of Injection Overmolding Structural Electronics with Regard to Film Distortion. Polymers 2022, 14, 5060. [Google Scholar] [CrossRef] [PubMed]
- Qiu, J.; Xu, Z.; Cai, C.; Chen, D.; Huang, S.; Hu, C.; He, X. A Novel Model for Predicting Deformation of Thermoplastic Composites during Heat-Pressing Process. Compos. Part B Eng. 2025, 288, 111912. [Google Scholar] [CrossRef]
- Zhao, Z.; Zhang, J.; Bi, R.; Chen, C.; Yao, J.; Liu, G. Study on the Overmolding Process of Carbon-Fiber-Reinforced Poly (Aryl Ether Ketone) (PAEK)/Poly (Ether Ether Ketone) (PEEK) Thermoplastic Composites. Materials 2023, 16, 4456. [Google Scholar] [CrossRef] [PubMed]
- Hubmann, M.; Bakr, M.; Groten, J.; Pletz, M.; Vanfleteren, J.; Bossuyt, F.; Madadnia, B.; Stadlober, B. Parameter Study on Force Curves of Assembled Electronic Components on Foils during Injection Overmolding Using Simulation. Micromachines 2023, 14, 876. [Google Scholar] [CrossRef]
- Fareez, U.N.M.; Loudiy, A.; Erkartal, M.; Yilmaz, C. Basalt Fiber Reinforced Polymers: A Recent Approach to Electromagnetic Interference (EMI) Shielding. J. Polym. Sci. 2025, 63, 50–73. [Google Scholar] [CrossRef]
- Ramesh, V.; Anand, P. Thermal Analysis of Kevlar/Basalt Reinforced Hybrid Polymer Composite. Mater. Res. Express 2021, 8, 115302. [Google Scholar] [CrossRef]
- Pan, H.; Wang, X.; Jia, S.; Lu, Z.; Bian, J.; Yang, H.; Han, L.; Zhang, H. Fiber-Induced Crystallization in Polymer Composites: A Comparative Study on Poly(Lactic Acid) Composites Filled with Basalt Fiber and Fiber Powder. Int. J. Biol. Macromol. 2021, 183, 45–54. [Google Scholar] [CrossRef] [PubMed]
- Barczewski, M.; Mysiukiewicz, O.; Andrzejewski, J.; Piasecki, A.; Strzemięcka, B.; Adamek, G. The Inhibiting Effect of Basalt Powder on Crystallization Behavior and the Structure-Property Relationship of α-Nucleated Polypropylene Composites. Polym. Test. 2021, 103, 107372. [Google Scholar] [CrossRef]













| PC [%] | PET [%] | PBT [%] | Short Basalt Fiber (BF) [%] | Composite Prepreg (Insert) [-/1] | |
|---|---|---|---|---|---|
| Standard injection molding | |||||
| PC | 100 | - | - | - | - |
| PET | - | 100 | - | - | - |
| PBT | - | - | 100 | - | - |
| PET/PC(50:50) | 50 | 50 | - | - | - |
| PET/PC-BF20 | 40 | 40 | 0 | 20 | - |
| PBT/PC(50:50) | 50 | - | 50 | - | - |
| PBT/PC-BF20 | 40 | - | 40 | 20 | - |
| Overmolding process | |||||
| PET/PC-insert | 50 | 50 | - | - | 1 |
| PET/PC-BF20/insert | 40 | 40 | 0 | 20 | 1 |
| PBT/PC-insert | 50 | - | 50 | - | 1 |
| PBT/PC-BF20/insert | 40 | - | 40 | 20 | 1 |
[J/g] | [J/g] | [°C] | [°C] | [°C] | [°C] | |
|---|---|---|---|---|---|---|
| Reference | ||||||
| PET | 17.0 | 48.9 | 253.0 | 128.9 | 193.7 | 22.8 |
| PBT | - * | 51.9 | 227.1 | - | 178.3 | 36.5 |
| Molded samples | ||||||
| PET/PC(50/50) | 9.1 | 24.1 | 246.9 | 138.2 | 167.8 | 21.3 |
| PET/PC-BF20 | 12.4 | 18.6 | 242.3 | 154.9 | 162.0 | 11.1 |
| PBT/PC(50/50) | 9.7 | 29.3 | 225.9 | - | 164.5 | 27.6 |
| PBT/PC-BF20 | 21.0 | 32.7 | 219.9 | 118.0 | 170.1 | 20.7 |
| Samples after annealing | ||||||
| PET/PC(50/50) | - | 28.9 | 248.0 | - | 165.8 | 41.2 |
| PET/PC-BF20 | - | 18.9 | 242.3 | - | 161.1 | 33.8 |
| PBT/PC(50/50) | - | 31.9 | 225.9 | - | 164.5 | 44.9 |
| PBT/PC-BF20 | - | 32.1 | 220.8 | - | 172.0 | 56.5 |
Disclaimer/Publisher’s Note: The statements, opinions and data contained in all publications are solely those of the individual author(s) and contributor(s) and not of MDPI and/or the editor(s). MDPI and/or the editor(s) disclaim responsibility for any injury to people or property resulting from any ideas, methods, instructions or products referred to in the content. |
© 2025 by the authors. Licensee MDPI, Basel, Switzerland. This article is an open access article distributed under the terms and conditions of the Creative Commons Attribution (CC BY) license.
Share and Cite
Andrzejewski, J.; Gosławska, W.; Salamaga, M.; Zgoła, W.; Barczewski, M. The Use of the Overmolding Technique for the Preparation of Basalt Fiber (BF)-Based Composite, the Comparative Study of Poly(ethylene terephthalate)/Polycarbonate—PET/PC and Poly(butylene terephthalate)—PBT/PC Blends. Polymers 2026, 18, 54. https://doi.org/10.3390/polym18010054
Andrzejewski J, Gosławska W, Salamaga M, Zgoła W, Barczewski M. The Use of the Overmolding Technique for the Preparation of Basalt Fiber (BF)-Based Composite, the Comparative Study of Poly(ethylene terephthalate)/Polycarbonate—PET/PC and Poly(butylene terephthalate)—PBT/PC Blends. Polymers. 2026; 18(1):54. https://doi.org/10.3390/polym18010054
Chicago/Turabian StyleAndrzejewski, Jacek, Wiktoria Gosławska, Michalina Salamaga, Weronika Zgoła, and Mateusz Barczewski. 2026. "The Use of the Overmolding Technique for the Preparation of Basalt Fiber (BF)-Based Composite, the Comparative Study of Poly(ethylene terephthalate)/Polycarbonate—PET/PC and Poly(butylene terephthalate)—PBT/PC Blends" Polymers 18, no. 1: 54. https://doi.org/10.3390/polym18010054
APA StyleAndrzejewski, J., Gosławska, W., Salamaga, M., Zgoła, W., & Barczewski, M. (2026). The Use of the Overmolding Technique for the Preparation of Basalt Fiber (BF)-Based Composite, the Comparative Study of Poly(ethylene terephthalate)/Polycarbonate—PET/PC and Poly(butylene terephthalate)—PBT/PC Blends. Polymers, 18(1), 54. https://doi.org/10.3390/polym18010054

