Sign in to use this feature.

Years

Between: -

Subjects

remove_circle_outline
remove_circle_outline
remove_circle_outline
remove_circle_outline
remove_circle_outline
remove_circle_outline
remove_circle_outline

Journals

Article Types

Countries / Regions

Search Results (10)

Search Parameters:
Keywords = prediction of back irradiance

Order results
Result details
Results per page
Select all
Export citation of selected articles as:
13 pages, 2693 KB  
Communication
Prediction of Aluminum Alloy Surface Roughness Through Nanosecond Pulse Laser Assisted by Continuous Laser Paint Removal
by Jingyi Li, Rongfan Liang, Han Li, Junjie Liu and Jingdong Sun
Photonics 2025, 12(6), 575; https://doi.org/10.3390/photonics12060575 - 6 Jun 2025
Viewed by 808
Abstract
Reducing surface roughness can enhance the mechanical properties of processed materials. The variation law of the aluminum alloy surface roughness induced by continuous-nanosecond combined laser (CL) with different continuous laser power densities and laser delay is investigated experimentally. A back propagation neural network [...] Read more.
Reducing surface roughness can enhance the mechanical properties of processed materials. The variation law of the aluminum alloy surface roughness induced by continuous-nanosecond combined laser (CL) with different continuous laser power densities and laser delay is investigated experimentally. A back propagation neural network (BPNN) coupled with a sparrow search algorithm (SSA) is employed to predict surface roughness. The nanosecond laser energy density, continuous laser power density and laser delay are input parameters, while the surface roughness is output parameter. The lowest surface roughness is achieved with completely paint film removed by the CL while the nanosecond laser energy density is 1.99 J/cm2, the continuous laser power density is 2118 W/cm2 and the laser delay is 1 ms. Compared to the original target and the target irradiated by nanosecond pulse laser (ns laser), the reductions in the surface roughness are 20.62% and 12.00%, respectively. The SSA-BPNN model demonstrates high prediction accuracy, with a correlation coefficient (R2) of 0.98628, root mean square error (RMSE) of 0.024, mean absolute error (MAE) of 0.020 and mean absolute percentage error (MAPE) of 1.30% on the test set. These results indicate that the SSA-BPNN demonstrates higher-precision surface roughness prediction with limited experimental data than BPNN. Furthermore, the findings confirm that the CL can effectively reduce surface roughness. Full article
Show Figures

Figure 1

35 pages, 2366 KB  
Review
Activities to Promote the Moon as an Absolute Calibration Reference
by Zhenhua Jing, Xiuqing Hu, Yang Wang, Ronghua Wu, Lin Chen, Lu Zhang, Yu Huang, Shuang Wang, Shuang Li and Peng Zhang
Remote Sens. 2023, 15(9), 2431; https://doi.org/10.3390/rs15092431 - 5 May 2023
Cited by 5 | Viewed by 6223
Abstract
The accuracy and consistency of Earth observation (EO) instrument radiometric calibration is a fundamental prerequisite for achieving accurate results and delivering reliable predictions. Frequent calibration and validation (Cal/Val) activities are needed during the instrument’s lifetime, and this procedure is often extended to historical [...] Read more.
The accuracy and consistency of Earth observation (EO) instrument radiometric calibration is a fundamental prerequisite for achieving accurate results and delivering reliable predictions. Frequent calibration and validation (Cal/Val) activities are needed during the instrument’s lifetime, and this procedure is often extended to historical archives. Numerous satellites in orbit and proposed future missions have incorporated lunar observation into their vicarious calibration components over recent years, facilitated by the extreme long-term photometric stability of the Moon. Since the birth of the first lunar calibration reference model, lunar-dependent calibration techniques have developed rapidly, and the application and refinement of the lunar radiometric model have become a welcome research focus in the calibration community. Within the context of the development of lunar observation activities and calibration systems globally, we provide a comprehensive review of the activities and results spawned by treating the Moon as a reference for instrument response and categorize them against the understanding of lunar radiometric reference. In general, this appears to be a process of moving from data to instruments, then back into data, working towards a stated goal. Here we highlight lunar radiometric models developed by different institutions or agencies over the last two decades while reporting on the known limitations of these solutions, with unresolved challenges remaining and multiple lunar observation plans and concepts attempting to address them from various perspectives, presenting a temporal development. We also observe that the methods seeking uncertainty reduction at this stage are rather homogeneous, lacking the combination of approaches or results from lunar surface studies conducted by many spacecraft missions, and joint deep learning methods to extract information. The factors that influence the accuracy of the measurement irradiance may be regulated when practical models arrive. As a central element in lunar calibration, the development of an absolute radiometric datum helps to better understand the Earth system. Full article
Show Figures

Figure 1

14 pages, 783 KB  
Article
Photovoltaic Power Prediction Based on VMD-BRNN-TSP
by Guici Chen, Tingting Zhang, Wenyu Qu and Wenbo Wang
Mathematics 2023, 11(4), 1033; https://doi.org/10.3390/math11041033 - 17 Feb 2023
Cited by 12 | Viewed by 2108
Abstract
Overfitting often occurs in neural network training, and neural networks with higher generalization ability are less prone to this phenomenon. Aiming at the problem that the generalization ability of photovoltaic (PV) power prediction model is insufficient, a PV power time-sharing prediction (TSP) model [...] Read more.
Overfitting often occurs in neural network training, and neural networks with higher generalization ability are less prone to this phenomenon. Aiming at the problem that the generalization ability of photovoltaic (PV) power prediction model is insufficient, a PV power time-sharing prediction (TSP) model combining variational mode decomposition (VMD) and Bayesian regularization neural network (BRNN) is proposed. Firstly, the meteorological sequences related to the output power are selected by mutual information (MI) analysis. Secondly, VMD processing is performed on the filtered sequences, which is aimed at reducing the non-stationarity of the data; then, normalized cross-correlation (NCC) and signal-to-noise ratio (SNR) between the components obtained by signal decomposition and the original data are calculated, after which the key influencing factors are screened out to eliminate the correlation and redundancy of the data. Finally, the filtered meteorological sequences are divided into two datasets based on whether the irradiance of the day is zero or not. Meanwhile, the predictions are performed using BRNN for each of the two datasets. Then, the results are reordered in chronological order, and the prediction of PV power is realized conclusively. It was experimentally verified that the mean absolute value error (MAE) of the method proposed in this paper is 0.1281, which is reduced by 40.28% compared with the back propagation neural network (BPNN) model on the same dataset, the mean squared error (MSE) is 0.0962, and the coefficient of determination (R2) is 0.9907. Other error indicators also confirm that VMD is of much significance and TSP is contributive. Full article
(This article belongs to the Special Issue Mathematic Control and Artificial Intelligence)
Show Figures

Figure 1

13 pages, 2608 KB  
Article
An Innovative Technique for Energy Assessment of a Highly Efficient Photovoltaic Module
by Filippo Spertino, Gabriele Malgaroli, Angela Amato, Muhammad Aoun Ejaz Qureshi, Alessandro Ciocia and Hafsa Siddiqi
Solar 2022, 2(2), 321-333; https://doi.org/10.3390/solar2020018 - 16 Jun 2022
Cited by 8 | Viewed by 3238
Abstract
For a photovoltaic (PV) generator, knowledge of the parameters describing its equivalent circuit is fundamental to deeply study and simulate its operation in any weather conditions. In the literature, many papers propose methods to determine these parameters starting from experiments. In the most [...] Read more.
For a photovoltaic (PV) generator, knowledge of the parameters describing its equivalent circuit is fundamental to deeply study and simulate its operation in any weather conditions. In the literature, many papers propose methods to determine these parameters starting from experiments. In the most common circuit, there are five of these parameters, and they generally refer to specific weather conditions. Moreover, the dependence on irradiance and temperature is not investigated for the entire set of parameters. In fact, a few papers present some equations describing the dependence of each parameter on weather conditions, but some of their coefficients are unknown. As a consequence, this information cannot be used to predict the PV energy in any individual weather condition. This work proposes an innovative technique to assess the generated energy by PV modules starting from the knowledge of their equivalent parameters. The model is applied to a highly efficient PV generator with all-back contact, monocrystalline silicon technology, and rated power of 370 W. The effectiveness of the model is investigated by comparing its energy prediction with the value estimated by the most common model in the literature to assess PV energy. Generated energy is predicted by assuming PV power to be constant for a time interval of 1 min. Full article
(This article belongs to the Special Issue Solar Technologies—A Snapshot of the Editorial Board)
Show Figures

Figure 1

12 pages, 4532 KB  
Article
The Efficiency Prediction of the Laser Charging Based on GA-BP
by Chengmin Wang, Guangji Li, Imran Ali, Hongchao Zhang, Han Tian and Jian Lu
Energies 2022, 15(9), 3143; https://doi.org/10.3390/en15093143 - 25 Apr 2022
Cited by 6 | Viewed by 1991
Abstract
In IoT applications, energy supply, especially wireless power transfer (WPT), has attracted the most attention in the relevant literature. In this paper, we present a new approach to laser irradiance solar cell panels and predicting energy transfer efficiency. From the previous experimental datasets, [...] Read more.
In IoT applications, energy supply, especially wireless power transfer (WPT), has attracted the most attention in the relevant literature. In this paper, we present a new approach to laser irradiance solar cell panels and predicting energy transfer efficiency. From the previous experimental datasets, it has been discovered that in the laser charging (LC) process, temperature has a great impact on the efficiency, which is highly correlated with the laser intensity. Then, based on artificial neural network (ANN), we set the above temperature and laser intensity as inputs, and the efficiency as output through back propagation (BP) algorithm, and use neural network and BP to train and modify the network parameters to approach the real efficiency value. We also propose the genetic algorithm (GA) to optimize the learning rate of the BP, which achieved slightly superior results. The results of the experiment indicate that the prediction method reaches a high accuracy of about 99.4%. The research results in this paper provide an improved solution for the LC application, particularly the energy supply of IoT devices or small electronic devices through WPT. Full article
(This article belongs to the Section F5: Artificial Intelligence and Smart Energy)
Show Figures

Figure 1

11 pages, 2770 KB  
Article
Study on Heat Effect of High-Power Continuous Wave Laser on Steel Cylinder
by Liu Yang, Tang Wei, Liu Lisheng, Shao Junfeng, Shao Ming and Cheng Xiangzheng
Appl. Sci. 2020, 10(21), 7844; https://doi.org/10.3390/app10217844 - 5 Nov 2020
Cited by 5 | Viewed by 2766
Abstract
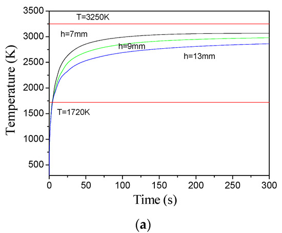
This paper investigates the heat effects of continuous high-power lasers on steel cylinders. A theoretical model combining the mechanical characteristics and heat transfer of the steel cylinder that irradiated by a high-power laser is established. Simulations in temperature fields predict the varying heat [...] Read more.
This paper investigates the heat effects of continuous high-power lasers on steel cylinders. A theoretical model combining the mechanical characteristics and heat transfer of the steel cylinder that irradiated by a high-power laser is established. Simulations in temperature fields predict the varying heat effects on steel cylinders corresponding to different laser power levels, and more importantly, the thresholds of laser penetrations. The predictions are further validated by experimental tests, which use 1.5–2.8 kW laser irradiating on 7–15 mm thick steel cylinders. It has been found that the ablation mechanism of steel cylinder is primarily dependent on either the mass transfer of vaporized ablation or liquefied material under the action of vaporized back pressing. The present 0–300 s temperature field analyses show that steel melts at 1720 K and vaporizing ablation happens at 3250 K. It has also been observed that in the contact region between the laser and steel cylinder, the melting and vaporization accompanied by the interaction of the ablation process are followed by the sharp splash phenomenon. Full article
(This article belongs to the Section Optics and Lasers)
Show Figures

Figure 1

20 pages, 8991 KB  
Article
Power Prediction of Bifacial Si PV Module with Different Reflection Conditions on Rooftop
by Hae Lim Cha, Byeong Gwan Bhang, So Young Park, Jin Ho Choi and Hyung Keun Ahn
Appl. Sci. 2018, 8(10), 1752; https://doi.org/10.3390/app8101752 - 28 Sep 2018
Cited by 29 | Viewed by 6271
Abstract
A bifacial solar module has a structure that allows the rear electrode to be added to the existing silicon photovoltaic module structure. Thus, it can capture energy from both the front and rear sides of the module. In this paper, modeling is suggested [...] Read more.
A bifacial solar module has a structure that allows the rear electrode to be added to the existing silicon photovoltaic module structure. Thus, it can capture energy from both the front and rear sides of the module. In this paper, modeling is suggested to estimate the amount of energy generated from the rear of the bifacial photovoltaic module. After calculating the amount of irradiance from the rear side, the estimated power generation is compared with the real power output from the rear side of the module. The experiments were performed using four different environments with different albedos. The theoretical prediction of the model shows a maximum of 5% and average of 1.86% error in the measurement data. Based on the nature of the bifacial solar module, which receives additional irradiance from the rear side, this study compared the output amounts with respect to different rear environments. Recently, installation of floating Photovoltaic has been increasing. As the reflection of irradiation from the water surface occurs, the positive influence of the installation with the bifacial photovoltaic can be expected. We are confident that this research will contribute to zero energy construction by designing systems based on bifacial PV module with high performance ratio when applying solar power in a microgrid environment, which is the future energy. Full article
(This article belongs to the Special Issue Building-Integrated Photovoltaics)
Show Figures

Figure 1

17 pages, 10323 KB  
Article
A Seasonal Model Using Optimized Multi-Layer Neural Networks to Forecast Power Output of PV Plants
by Yang Hu, Weiwei Lian, Yutong Han, Songyuan Dai and Honglu Zhu
Energies 2018, 11(2), 326; https://doi.org/10.3390/en11020326 - 2 Feb 2018
Cited by 37 | Viewed by 4274
Abstract
With the continuous increase of grid-connected photovoltaic (PV) installed capacity and the urgent demand of synergetic utilization with the other power generation forms, the high-precision prediction of PV power generation is increasingly important for the optimal scheduling and safe operation of the grid. [...] Read more.
With the continuous increase of grid-connected photovoltaic (PV) installed capacity and the urgent demand of synergetic utilization with the other power generation forms, the high-precision prediction of PV power generation is increasingly important for the optimal scheduling and safe operation of the grid. In order to improve the power prediction accuracy, using the response characteristics of PV array under different environmental conditions, a data driven multi-model power prediction method for PV power generation is proposed, based on the seasonal meteorological features. Firstly, through the analysis of PV power characteristics in typical seasons and seasonal distribution of the weather factors, such as solar irradiance and ambient temperature, the influences of different weather factors on PV power prediction are studied. Then, according to the meteorology characteristics of Beijing, different seasons can be divided. The historical data corresponding to different seasons are acquired and then the seasonal PV power forecasting models are established based on optimized multi-layer back propagation neural network (BPNN), realizing the multi-model prediction of PV power. Finally, effectiveness of the seasonal PV power forecasting method is compared and validated. The performance analysis of the neural network forecasting model under typical seasonal conditions shows that the multi-model forecasting method based on seasonal characteristics of PV power generation is better than that of single power forecasting model for the whole year. The results show that the proposed method can effectively improve the power forecasting accuracy of PV power. Full article
Show Figures

Figure 1

15 pages, 3836 KB  
Article
Degradation of Methyl 2-Aminobenzoate (Methyl Anthranilate) by H2O2/UV: Effect of Inorganic Anions and Derived Radicals
by Grazia Maria Lanzafame, Mohamed Sarakha, Debora Fabbri and Davide Vione
Molecules 2017, 22(4), 619; https://doi.org/10.3390/molecules22040619 - 12 Apr 2017
Cited by 30 | Viewed by 8468
Abstract
This study shows that methyl 2-aminobenzoate (also known as methyl anthranilate, hereafter MA) undergoes direct photolysis under UVC and UVB irradiation and that its photodegradation is further accelerated in the presence of H2O2. Hydrogen peroxide acts as a source [...] Read more.
This study shows that methyl 2-aminobenzoate (also known as methyl anthranilate, hereafter MA) undergoes direct photolysis under UVC and UVB irradiation and that its photodegradation is further accelerated in the presence of H2O2. Hydrogen peroxide acts as a source of hydroxyl radicals (·OH) under photochemical conditions and yields MA hydroxyderivatives. The trend of MA photodegradation rate vs. H2O2 concentration reaches a plateau because of the combined effects of H2O2 absorption saturation and ·OH scavenging by H2O2. The addition of chloride ions causes scavenging of ·OH, yielding Cl2· as the most likely reactive species, and it increases the MA photodegradation rate at high H2O2 concentration values. The reaction between Cl2· and MA, which has second-order rate constant k C l 2 + M A = (4.0 ± 0.3) × 108 M−1·s−1 (determined by laser flash photolysis), appears to be more selective than the ·OH process in the presence of H2O2, because Cl2· undergoes more limited scavenging by H2O2 compared to ·OH. While the addition of carbonate causes ·OH scavenging to produce CO3· ( k C O 3 + M A = (3.1 ± 0.2) × 108 M−1·s−1), carbonate considerably inhibits the photodegradation of MA. A possible explanation is that the elevated pH values of the carbonate solutions make H2O2 to partially occur as HO2, which reacts very quickly with either ·OH or CO3· to produce O2·. The superoxide anion could reduce partially oxidised MA back to the initial substrate, with consequent inhibition of MA photodegradation. Fast MA photodegradation is also observed in the presence of persulphate/UV, which yields SO4· that reacts effectively with MA ( k S O 4 + M A = (5.6 ± 0.4) × 109 M−1·s−1). Irradiated H2O2 is effective in photodegrading MA, but the resulting MA hydroxyderivatives are predicted to be about as toxic as the parent compound for aquatic organisms (most notably, fish and crustaceans). Full article
(This article belongs to the Special Issue Photon-involving Purification of Water and Air)
Show Figures

Figure 1

18 pages, 7901 KB  
Article
Silicon Drift Detectors with the Drift Field Induced by PureB-Coated Trenches
by Tihomir Knežević, Lis K. Nanver and Tomislav Suligoj
Photonics 2016, 3(4), 54; https://doi.org/10.3390/photonics3040054 - 29 Oct 2016
Cited by 5 | Viewed by 7533
Abstract
Junction formation in deep trenches is proposed as a new means of creating a built-in drift field in silicon drift detectors (SDDs). The potential performance of this trenched drift detector (TDD) was investigated analytically and through simulations, and compared to simulations of conventional [...] Read more.
Junction formation in deep trenches is proposed as a new means of creating a built-in drift field in silicon drift detectors (SDDs). The potential performance of this trenched drift detector (TDD) was investigated analytically and through simulations, and compared to simulations of conventional bulk-silicon drift detector (BSDD) configurations. Although the device was not experimentally realized, the manufacturability of the TDDs is estimated to be good on the basis of previously demonstrated photodiodes and detectors fabricated in PureB technology. The pure boron deposition of this technology allows good trench coverage and is known to provide nm-shallow low-noise p+n diodes that can be used as radiation-hard light-entrance windows. With this type of diode, the TDDs would be suitable for X-ray radiation detection down to 100 eV and up to tens of keV energy levels. In the TDD, the drift region is formed by varying the geometry and position of the trenches while the reverse biasing of all diodes is kept at the same constant voltage. For a given wafer doping, the drift field is lower for the TDD than for a BSDD and it demands a much higher voltage between the anode and cathode, but also has several advantages: it eliminates the possibility of punch-through and no current flows from the inner to outer perimeter of the cathode because a voltage divider is not needed to set the drift field. In addition, the loss of sensitive area at the outer perimeter of the cathode is much smaller. For example, the simulations predict that an optimized TDD geometry with an active-region radius of 3100 µm could have a drift field of 370 V/cm and a photo-sensitive radius that is 500-µm larger than that of a comparable BSDD structure. The PureB diodes on the front and back of the TDD are continuous, which means low dark currents and high stability with respect to leakage currents that otherwise could be caused by radiation damage. The dark current of the 3100-µm TDD will increase by only 34% if an interface trap concentration of 1012 cm−2 is introduced to approximate the oxide interface degradation that could be caused during irradiation. The TDD structure is particularly well-suited for implementation in multi-cell drift detector arrays where it is shown to significantly decrease the cross-talk between segments. The trenches will, however, also present a narrow dead area that can split the energy deposited by high-energy photons traversing this dead area. The count rate within a cell of a radius = 300 µm in a multi-cell TDD array is found to be as high as 10 Mcps. Full article
(This article belongs to the Special Issue Advanced Photodetectors Devices and Technologies)
Show Figures

Figure 1

Back to TopTop