Sign in to use this feature.

Years

Between: -

Subjects

remove_circle_outline
remove_circle_outline
remove_circle_outline
remove_circle_outline
remove_circle_outline
remove_circle_outline
remove_circle_outline
remove_circle_outline
remove_circle_outline

Journals

remove_circle_outline
remove_circle_outline
remove_circle_outline
remove_circle_outline
remove_circle_outline
remove_circle_outline
remove_circle_outline
remove_circle_outline
remove_circle_outline
remove_circle_outline
remove_circle_outline
remove_circle_outline
remove_circle_outline
remove_circle_outline
remove_circle_outline
remove_circle_outline
remove_circle_outline
remove_circle_outline
remove_circle_outline
remove_circle_outline
remove_circle_outline
remove_circle_outline
remove_circle_outline
remove_circle_outline
remove_circle_outline
remove_circle_outline
remove_circle_outline
remove_circle_outline
remove_circle_outline
remove_circle_outline
remove_circle_outline
remove_circle_outline
remove_circle_outline
remove_circle_outline
remove_circle_outline
remove_circle_outline
remove_circle_outline
remove_circle_outline
remove_circle_outline

Article Types

Countries / Regions

remove_circle_outline
remove_circle_outline
remove_circle_outline
remove_circle_outline
remove_circle_outline
remove_circle_outline
remove_circle_outline
remove_circle_outline
remove_circle_outline

Search Results (8,188)

Search Parameters:
Keywords = pre-clinical model

Order results
Result details
Results per page
Select all
Export citation of selected articles as:
18 pages, 2641 KB  
Article
Novel NSAID Analogs Exhibit Anti-Leukemic Activity Through Modulation of Apoptotic and Survival Pathways
by Hind A. Alkhatabi, Mohammed Basabrain, Alaa G. Alahmadi, Shiekhah M. Alzahrani, Yosra A. Muhammad, Maha Almuhaiyawi, Maha M. Alreemi, Reem M. Alotibi, Roaa M. Alreemi, Heba A. Alkhattabi, Reem N. Hassan, Wedad M. Albeshri, Mohammed El-Mezgueldi and Abdelsattar M. Omar
Int. J. Mol. Sci. 2026, 27(9), 3850; https://doi.org/10.3390/ijms27093850 (registering DOI) - 26 Apr 2026
Abstract
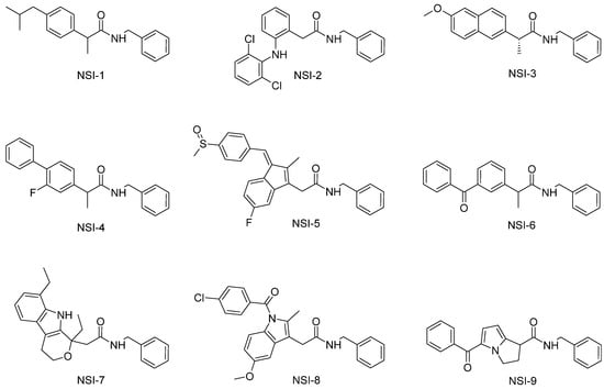
Acute myeloid leukemia (AML) is a complex blood cancer that primarily affects relapsing or refractory patients receiving conventional chemotherapy. Nonsteroidal anti-inflammatory drugs (NSAIDs) have anticancer properties with restricted clinical efficacy attributable to cyclooxygenase (COX)-induced toxicities. To address this issue, a group of benzylamide [...] Read more.
Acute myeloid leukemia (AML) is a complex blood cancer that primarily affects relapsing or refractory patients receiving conventional chemotherapy. Nonsteroidal anti-inflammatory drugs (NSAIDs) have anticancer properties with restricted clinical efficacy attributable to cyclooxygenase (COX)-induced toxicities. To address this issue, a group of benzylamide analogs of the classical NSAIDs (NSI-1–NSI-9) were developed and synthesized to mask the carboxylic acid moiety and minimize COX-induced adverse effects while maintaining anticancer activity. The cytotoxic effect of such substances has been demonstrated in some leukemia cell lines (HL-60, MV4-11, KG1a, and K562). NSI-5 exerted the highest anti-leukemic activity among these sulindac analogs, as determined at a sub-micromolar level in all cell lines studied, by IC50. This mechanistic data also demonstrated that NSI-5 induced apoptosis that was dose-dependent, especially in HL-60 cell lines, and increased the sub-G1 cell fraction. This apoptotic process was also accompanied by a significant decrease in mitochondrial membrane potential, which is characteristic of the induction of the intrinsic apoptotic process. Interestingly, NSI-5 decreased the intracellular reactive oxygen species (ROS) and the expression of most antioxidants (catalase and glutathione synthetase), as well as the redox balance. Gene characterization in vitro also suggested activation of apoptotic pathways, where expression of Bax, Bak1, and Caspase-3 increased, suggesting a potential p53-independent apoptotic pathway, in contrast to control for Bcl-2 expression. Collectively, these findings indicate that NSI-5 is a promising in vitro anti-leukemic lead compound, with activity associated with mitochondrial dysfunction and altered redox regulation. The observed effects are consistent with previously reported COX-independent activity of structurally related NSAID derivatives, and support further investigation of NSI-5 in preclinical models. Full article
Show Figures

Figure 1

29 pages, 1603 KB  
Article
Gadolinium-Doped Iron Oxide Nanoparticles Enhance Radiosensitivity in Melanoma Models Associated with Metabolic Dysfunction
by Roxana Cristina Popescu, Cosmin Catalin Mustaciosu, Adrian-Ionut Nicoara, Paul Emil Mereuta, Verena Kopatz, Roxana Trusca, Stela Patrascu, Elif Menlivuap, Cosmin-Florin Sovan, Diana Iulia Savu and Sorin Ion Jinga
Pharmaceutics 2026, 18(5), 525; https://doi.org/10.3390/pharmaceutics18050525 (registering DOI) - 26 Apr 2026
Abstract
Background. Nanoparticle-mediated radiotherapy is a promising approach to enhance tumor radiosensitivity while reducing damage to healthy tissues. Particularly, melanoma is a highly aggressive malignancy with an increasing global incidence and limited therapeutic options in advanced stages, due to its intrinsic radioresistance and narrow [...] Read more.
Background. Nanoparticle-mediated radiotherapy is a promising approach to enhance tumor radiosensitivity while reducing damage to healthy tissues. Particularly, melanoma is a highly aggressive malignancy with an increasing global incidence and limited therapeutic options in advanced stages, due to its intrinsic radioresistance and narrow therapeutic window in metastatic settings. In this study, we developed a systematic library of gadolinium-doped iron oxide nanoparticles (Fe-Gd NPs) with controlled compositions (0–75% Gd) to investigate the functional and compositional determinants of radiosensitization in melanoma. Methods. The physicochemical properties of the Fe-Gd NPs, including the morphology, crystallinity, and composition, were thoroughly characterized and correlated with biological responses. The biological evaluation was performed using both 2D and tissue-relevant 3D melanoma models, integrating metabolic viability assays (MTT/MTS), mitochondrial function (ATP quantification, MitoTracker analysis), and clonogenic survival following low-energy X-Ray irradiation (150 kV, 4 Gy). In vivo systemic tolerance and response in non-tumor tissues were investigated in BALB/C mice. Results. Our results showed that radiosensitization did not increase linearly with the Gd content, with the 25% Fe-Gd NPs being identified as a therapeutic window and having the most pronounced effect in melanoma cell models, while maintaining good systemic safety in vivo. This study provides functional evidence that nanoparticle-mediated radiosensitization is not only determined by a high Z content, but also by tumor-specific metabolic adaptability and the nanoparticle composition. Conclusions. These findings support the rational design of Fe-Gd nanoparticles with optimized therapeutic windows and highlight the importance of metabolic and 3D tissue-relevant models in preclinical evaluation of nanoparticle-mediated radiotherapy. Full article
(This article belongs to the Special Issue Advanced Nanomaterials for Drug Delivery, 2nd Edition)
Show Figures

Figure 1

19 pages, 611 KB  
Review
Carob (Ceratonia siliqua L.) in Glucose Homeostasis and Energy Balance: The Role of D-Pinitol
by Daniel Torres-Oteros, Emily Pardo-Araujo, Pedro F. Marrero, Sílvia Canudas, Diego Haro and Joana Relat
Nutrients 2026, 18(9), 1357; https://doi.org/10.3390/nu18091357 (registering DOI) - 25 Apr 2026
Abstract
The global rise in obesity and metabolic disorders has intensified interest in dietary bioactives capable of improving glycemic control and metabolic health. Inositols, particularly D-pinitol, have emerged as insulin-sensitizing cyclitols with potential metabolic relevance. Carob (Ceratonia siliqua L.), one of the richest [...] Read more.
The global rise in obesity and metabolic disorders has intensified interest in dietary bioactives capable of improving glycemic control and metabolic health. Inositols, particularly D-pinitol, have emerged as insulin-sensitizing cyclitols with potential metabolic relevance. Carob (Ceratonia siliqua L.), one of the richest natural sources of D-pinitol, represents a promising nutritional matrix for metabolic regulation. This narrative review critically evaluates current evidence on the role of D-pinitol in glucose homeostasis and energy balance, integrating data from chemical characterization studies, mechanistic research, preclinical models, and human clinical trials assessing purified D-pinitol and D-pinitol–rich preparations, particularly from carob-derived sources. Available evidence suggests that D-pinitol may enhance insulin signaling efficiency, primarily through PI3K/Akt-dependent pathways, modulate hepatic metabolic flexibility, and influence endocrine balance without acting as a classical hypoglycemic agent. Preclinical models consistently report improvements in insulin sensitivity, lipid handling, oxidative stress parameters, and tissue-specific metabolic adaptations. In contrast, clinical trials in healthy, prediabetic, and type 2 diabetic individuals show more heterogeneous outcomes, including attenuation of postprandial glycemia, reductions in circulating insulin and HOMA-IR, and modest improvements in lipid and inflammatory markers. Overall, carob-derived D-pinitol appears to act as a potential insulin-sensitizing metabolic modulator with context-dependent effects influenced by metabolic phenotype and food matrix composition. However, available data remains limited and heterogeneous, with most data derived from preclinical studies and relatively small clinical trials. These findings should therefore be interpreted with caution. Larger, longer-term randomized controlled trials using standardized preparations are required to establish clinical relevance and translational applicability. Notably, the contribution of other bioactive components within the carob matrix cannot be excluded. Full article
(This article belongs to the Section Phytochemicals and Human Health)
Show Figures

Figure 1

23 pages, 772 KB  
Review
Therapeutic and Adjuvant Effects of Probiotics in the Management of Oral Cancer: A Scoping Review of Preclinical and Clinical Evidence
by Gabriel Tchuente Kamsu and Eugene Jamot Ndebia
Drugs Drug Candidates 2026, 5(2), 30; https://doi.org/10.3390/ddc5020030 (registering DOI) - 25 Apr 2026
Abstract
Background/Objectives: Oral cancer remains a major global health challenge, with persistent limitations in treatment efficacy and significant therapy-related morbidity. Probiotics, owing to their immunomodulatory, anti-inflammatory, and microbiota-regulating properties, have emerged as potential therapeutic and adjuvant agents. This scoping review aimed to systematically map [...] Read more.
Background/Objectives: Oral cancer remains a major global health challenge, with persistent limitations in treatment efficacy and significant therapy-related morbidity. Probiotics, owing to their immunomodulatory, anti-inflammatory, and microbiota-regulating properties, have emerged as potential therapeutic and adjuvant agents. This scoping review aimed to systematically map and critically appraise preclinical and clinical evidence regarding the therapeutic and supportive effects of probiotics in oral cancer. Methods: A comprehensive literature search was conducted across PubMed, Scopus, Web of Science, and Google Scholar without temporal restrictions, including studies published up to February 2026. Eligible studies comprised in vitro, in vivo, and clinical investigations evaluating the effects of live or non-viable probiotic interventions on oral cancer biology and related clinical outcomes. Results: Twenty-one studies were included: 13 in vitro, 3 in vivo, and 6 clinical studies. Preclinical evidence indicates that strains such as Lactiplantibacillus plantarum, Lactobacillus acidophilus, and Lacticaseibacillus paracasei exert selective antiproliferative effects (up to 85% inhibition) via apoptosis induction, modulation of PTEN/MAPK and NF-κB signaling, and reduction in pro-inflammatory mediators. In vivo models demonstrated tumor growth suppression and improved survival without significant toxicity. Clinically, probiotics reduced treatment-induced oral mucositis, improved salivary function, and enhanced microbiota stability and patient-reported outcomes. However, evidence on direct oncological endpoints remains limited. Conclusions: Probiotics demonstrate biologically plausible, strain-specific antitumor and supportive effects, with the strongest evidence supporting their role as adjunctive agents, particularly in managing treatment-related complications. Further well-designed in vivo and clinical studies are required to define optimal strains, dosing strategies, and integration with standard oncologic treatments. Full article
(This article belongs to the Section Drug Candidates from Natural Sources)
Show Figures

Figure 1

13 pages, 1294 KB  
Article
Impact of Neuroendocrine Neoplasm-Specific Systemic Treatments on Somatostatin Receptors Expression and Function in Neuroendocrine Tumor Cells
by Christof Däubler, Clara Böttcher, Laura-Sophie Landwehr, Philipp E. Hartrampf, Alexander Meining, Rudolf A. Werner, Yingjun Zhi, Otilia Kimpel, Simon Kloock, Ulrich Dischinger, Alexander Weich and Dorothee Rogoll
Cancers 2026, 18(9), 1368; https://doi.org/10.3390/cancers18091368 (registering DOI) - 25 Apr 2026
Abstract
Background: Somatostatin receptors (SSTRs) are pivotal diagnostic and therapeutic targets in well-differentiated neuroendocrine neoplasms (NENs). SSTR-directed treatment strategies rely on sufficient SSTR2 expression. Thus, receptor loss during dedifferentiation limits therapeutic efficacy. Preclinical data suggest pharmacologic modulation of SSTRs’ expression. However, there are [...] Read more.
Background: Somatostatin receptors (SSTRs) are pivotal diagnostic and therapeutic targets in well-differentiated neuroendocrine neoplasms (NENs). SSTR-directed treatment strategies rely on sufficient SSTR2 expression. Thus, receptor loss during dedifferentiation limits therapeutic efficacy. Preclinical data suggest pharmacologic modulation of SSTRs’ expression. However, there are no robust data on the effect of NEN-specific systemic treatments on SSTRs’ expression and function. Methods: We systematically evaluated the effects of six systemic agents commonly used in NEN therapy—isplatin, etoposide, 5-fluorouracil (5-FU), streptozotocin (STZ), temozolomide (TMZ), and everolimus—on SSTR2 and SSTR5 expression, as well as on uptake of 68Ga-DOTATOC, in BON-1 and QGP-1 cells, as well as the MS-18 cell line. Analyses included qRT-PCR, Western blotting, immunohistochemistry, and radiopeptide uptake assays. Results: Systemic agents modulated SSTR expression and radioligand uptake in a drug- and cell line-dependent manner. Etoposide consistently upregulated SSTR2 expression and significantly increased radioligand uptake across all three cell lines. TMZ enhanced SSTR2 expression and uptake in BON-1 cells, but reduced uptake in QGP-1 and MS-18 cells. In contrast, 5-FU, STZ, cisplatin, and everolimus showed heterogeneous, compound- and cell line-specific effects on SSTR2 expression and 68Ga-DOTATOC uptake, including both up- and downregulation depending on the model. Conclusions: All agents under investigation affect SSTR expression in vitro, while etoposide is identified as the most consistent enhancer of SSTR2’s expression and function across cellular NEN models. Our findings highlight both the potential and the risks of systemic therapy-induced receptor modulation and therefore support further investigation of treatment sequencing strategies to optimize SSTR-targeted approaches. However, further studies are required to translate these observations to a clinical setting. Full article
(This article belongs to the Special Issue Neuroendocrine Tumors: From Diagnosis to Therapy (2nd Edition))
Show Figures

Figure 1

27 pages, 554 KB  
Review
Bordetella pertussis Infection: From Immune Pathogenesis to Next-Generation Vaccines
by Vasiliki E. Georgakopoulou and Vassiliki C. Pitiriga
Vaccines 2026, 14(5), 384; https://doi.org/10.3390/vaccines14050384 (registering DOI) - 24 Apr 2026
Abstract
Pertussis is a highly contagious respiratory infection caused by Bordetella pertussis and remains a persistent global health challenge despite widespread vaccination. This review aims to analyze the immune pathogenesis of B. pertussis infection and to identify key immunological limitations of current acellular pertussis [...] Read more.
Pertussis is a highly contagious respiratory infection caused by Bordetella pertussis and remains a persistent global health challenge despite widespread vaccination. This review aims to analyze the immune pathogenesis of B. pertussis infection and to identify key immunological limitations of current acellular pertussis vaccines that contribute to ongoing transmission. A narrative review of the literature was conducted, focusing on mechanisms of host–pathogen interaction, immune evasion, and vaccine-induced immunity. Evidence indicates that although acellular vaccines effectively reduce disease severity, they fail to prevent nasopharyngeal colonization and transmission, largely due to insufficient induction of mucosal immunity, T helper 1 (Th1) and T helper 17 (Th17) responses, and airway tissue-resident memory T cells. In contrast, natural infection induces broader immune responses, including secretory IgA production and robust cellular immunity, which are associated with improved bacterial clearance. Emerging next-generation vaccine strategies, including mucosal, outer membrane vesicle-based, and live-attenuated platforms, demonstrate enhanced ability to reduce bacterial colonization in preclinical and clinical models. In conclusion, effective control of pertussis transmission will require vaccine approaches that replicate infection-induced immunity at the respiratory mucosa, emphasizing the need for redesigned immunization strategies. Full article
(This article belongs to the Section Pathogens-Host Immune Boundaries)
15 pages, 728 KB  
Article
Picropodophyllotoxin Mitigates Severe Inflammation Through HMGB1 Inhibition
by Gyuri Han, Ga Eun Kim and Jong-Sup Bae
Biomolecules 2026, 16(5), 638; https://doi.org/10.3390/biom16050638 - 24 Apr 2026
Abstract
Background/Objectives: Plant-derived phytochemicals are being increasingly explored for their ability to treat various illnesses, especially those affecting the vasculature. High mobility group box 1 (HMGB1) acts as a crucial mediator during the late phase of sepsis, promoting the secretion of pro-inflammatory cytokines and [...] Read more.
Background/Objectives: Plant-derived phytochemicals are being increasingly explored for their ability to treat various illnesses, especially those affecting the vasculature. High mobility group box 1 (HMGB1) acts as a crucial mediator during the late phase of sepsis, promoting the secretion of pro-inflammatory cytokines and thereby fueling inflammation and systemic complications. Higher plasma HMGB1 levels not only hinder accurate diagnosis and prognosis but also worsen disease outcomes in inflammatory states. Picropodophyllotoxin (PPT), a key bioactive ingredient isolated from the root of Podophyllum hexandrum, has shown a range of beneficial effects, including anti-cancer and anti-proliferative actions, across several tumor types. Nevertheless, its possible involvement in HMGB1-driven severe vascular inflammation remains unexplored. The current work aimed to investigate whether PPT could influence lipopolysaccharide (LPS)-induced HMGB1 activity and its related inflammatory signaling in human umbilical vein endothelial cells (HUVECs). Methods: A combination of in vitro and in vivo approaches was used to assess the anti-inflammatory action of PPT. These included measurements of endothelial barrier function, cell survival, leukocyte attachment and migration, levels of cell adhesion molecules, and the release of pro-inflammatory factors. Both cultured human endothelial cells and mouse disease models were used to thoroughly evaluate how PPT affects HMGB1-triggered inflammatory reactions. Results: The findings showed that PPT markedly reduced HMGB1 movement from inside HUVECs to the outside, thereby limiting its release into the environment. Moreover, PPT effectively decreased neutrophil sticking and migration, lowered the appearance of HMGB1 receptors, and prevented the activation of nuclear factor-κB (NF-κB), a master switch in inflammatory signaling. At the same time, PPT treatment strongly lowered tumor necrosis factor-α (TNF-α) production, adding to its anti-inflammatory profile. Conclusions: Taken together, these results indicate that PPT potently inhibits HMGB1-driven inflammatory processes by acting at several levels of the inflammatory cascade, such as HMGB1 movement, receptor binding, NF-κB activation, and subsequent cytokine release. Therefore, PPT stands out as a hopeful therapeutic option for HMGB1-related inflammatory diseases and deserves further exploration in preclinical and clinical studies. Full article
(This article belongs to the Section Cellular Biochemistry)
25 pages, 3097 KB  
Article
Healthcare AI as Critical Digital Health Infrastructure: A Public Health Preparedness Framework for Systemic Risk
by Nikolay Lipskiy and Stephen V. Flowerday
Future Internet 2026, 18(5), 232; https://doi.org/10.3390/fi18050232 - 24 Apr 2026
Abstract
Healthcare artificial intelligence (AI) is moving from the laboratory into the infrastructure of care. As these systems become embedded in imaging, electronic health records, triage, and clinical decision support, their failures can affect not only individual encounters but also institutions and patient populations. [...] Read more.
Healthcare artificial intelligence (AI) is moving from the laboratory into the infrastructure of care. As these systems become embedded in imaging, electronic health records, triage, and clinical decision support, their failures can affect not only individual encounters but also institutions and patient populations. Yet governance still centers on model development, local validation, and one-time compliance, with limited attention to cross-site failure after deployment. This article examines how public health preparedness can help close that gap. It presents a conceptual analysis grounded in two cases: a pneumonia-screening convolutional neural network that learned institutional confounders rather than portable clinical signals, and a widely deployed sepsis prediction model whose external performance and alert burden fell short of developer claims. Together, these cases reveal five governance features of systemic healthcare AI risk: population-level exposure, cascade effects across shared infrastructures, unequal vulnerability, delayed recognition, and coordination needs beyond any single institution. In response, we propose a tripartite framework combining stronger pre-deployment assurance, post-deployment surveillance with escalation thresholds, and tertiary response through investigation, rollback, remediation, and cross-site learning. The argument is not that AI failures are epidemics, but that high-impact clinical AI systems now function as critical digital health infrastructure requiring preparedness alongside lifecycle oversight. Full article
(This article belongs to the Section Techno-Social Smart Systems)
Show Figures

Figure 1

28 pages, 880 KB  
Article
Prediction Pipeline Selection for Incomplete Clinical Data via Missingness Fingerprints and Instance Augmentation
by Runze Li, Zhuyi Shen, Chengkai Wu, Jingsong Li and Yu Tian
Bioengineering 2026, 13(5), 497; https://doi.org/10.3390/bioengineering13050497 (registering DOI) - 24 Apr 2026
Abstract
Clinical prediction from electronic health records (EHRs) is complicated by pervasive missingness and label scarcity, which make performance sensitive to the match between data conditions and pipeline choice. Choosing the best pipeline for a new incomplete dataset still requires costly trial-and-error. We cast [...] Read more.
Clinical prediction from electronic health records (EHRs) is complicated by pervasive missingness and label scarcity, which make performance sensitive to the match between data conditions and pipeline choice. Choosing the best pipeline for a new incomplete dataset still requires costly trial-and-error. We cast this as an algorithm selection problem and address two bottlenecks—instance scarcity and distance quality—that have so far prevented meta-learning from reaching clinical settings. Graph neural networks offer diverse strategies (patient similarity networks, bipartite imputation graphs, attention-driven feature interaction), yet no single architecture dominates across missingness patterns, and selecting the best pipeline for a new dataset remains a trial-and-error approach. Formal algorithm selection could automate this choice but requires many characterized meta-instances—more than clinical settings typically provide. We propose two solutions: (1) constructive instance augmentation, applying controlled quality perturbations (MCAR and MNAR missingness injection, label trimming) to 20 base EHR datasets to expand the meta-knowledge base to 83 characterized meta-instances, each described by a 10-dimensional missingness fingerprint, without additional model training; and (2) dynamic-supervised metric learning, using differential evolution to optimize fingerprint feature weights so that static distances preserve method-performance similarity captured by dynamic fingerprints, which require model sweeps and are unavailable at deployment. Under base-dataset-level leave-one-dataset-out cross-validation over 21 pipelines, the resulting metric-learned kNN recommender attains the highest win rate (20.5%) among non-oracle strategies on the augmented store, selecting the correct pipeline more often than any fixed default. At deployment, the recommender needs only the 10-dimensional static fingerprint with pre-learned weights; no sweep data is required for new datasets. Cross-domain evaluation on 25 external subsets (colorectal cancer, kidney disease, MIMIC-IV) demonstrates framework modularity: when the fingerprint module is adapted (standard meta-features in place of the missingness-specific set), the recommender achieves regret of 0.025 (55% below random selection). Full article
28 pages, 802 KB  
Review
A Narrative Review of In Vivo Studies on the Role of Reactive Oxygen Species in Ovarian Cancer
by Jeongmin Lee, Seung Geun Yeo, Hye Ok Kim, Jae Min Lee, Manish Kumar Singh, Sung Soo Kim, Tong In Oh and Dong Choon Park
Antioxidants 2026, 15(5), 540; https://doi.org/10.3390/antiox15050540 (registering DOI) - 24 Apr 2026
Abstract
In ovarian cancer, reactive oxygen species (ROS) are both toxic byproducts and mediators of signaling and stress adaptation, such that the same “ROS change” can suppress or promote tumors in vivo. Here, we integratively summarize how ROS modulation reshapes tumor growth, metastasis, and [...] Read more.
In ovarian cancer, reactive oxygen species (ROS) are both toxic byproducts and mediators of signaling and stress adaptation, such that the same “ROS change” can suppress or promote tumors in vivo. Here, we integratively summarize how ROS modulation reshapes tumor growth, metastasis, and treatment response in ovarian cancer, based on 22 original in vivo-containing studies that were selected from a five-database search of papers published from January 1990 to December 2025. On the antitumor axis, ROS amplification in xenograft models is accompanied by reduced tumor burden and increased markers of cell death, and can operate through diverse death programs beyond apoptosis, including pyroptosis and ferroptosis. ROS-based anticancer effects may vary depending on whether cytoprotective autophagy is co-induced. For example, in models treated with daphnetin, ROS-dependent cell death occurs together with induction of cytoprotective autophagy and the anticancer effect is strengthened when an autophagy inhibitor is added. In a therapeutic context, autophagy may thus function as an adaptive response in tumor cells to partially buffer ROS-induced stress. Conversely, on the pro-tumor axis, ROS can serve as an upstream signal driving inflammatory and metastatic processes. In a peritoneal metastasis model, GPX1 inhibition-induced ROS elevation was linked to increased metastatic burden. In the context of drug resistance, platinum resistance is proposed to be an adaptive state shaped not by the absolute level of ROS alone, but by integrated ROS-sensing and buffering circuits, the DNA damage response (DDR), and NF-κB networks. In vivo, AMPK–ROS axis activation through ACLY inhibition or resetting of drug responsiveness can be connected to tumor suppression and increased sensitivity. Furthermore, ROS modulation is not limited to tumor cell-intrinsic targets: it can also be linked to therapeutic response reprogramming at the tumor microenvironment (TME) level, such as via regulation of acidity/ROS conditions and coupling to macrophage polarization in immunocompetent syngeneic models. Taken together, these lines of in vivo evidence indicate that, in ovarian cancer, ROS should not be interpreted in a binary “increase/decrease” manner, but rather in terms of redox-buffering capacity, the engaged signaling axes (cell death, DDR, metastasis/inflammation), and interactions with TME factors. Full article
Show Figures

Figure 1

19 pages, 6243 KB  
Article
Therapeutic Potential of Specific Lacticaseibacillus rhamnosus Strains for DNCB-Induced Atopic Dermatitis in Mice
by Tingchao He, Qidong Lu, Jian Zhang, Xinyu Xie, Xin Liu, Hua Jiang, Jing Li and Yumei Zhang
Nutrients 2026, 18(9), 1335; https://doi.org/10.3390/nu18091335 - 23 Apr 2026
Viewed by 150
Abstract
Background: Atopic dermatitis (AD) is a chronic inflammatory skin disease linked to epidermal barrier dysfunction, Th2-skewed immune polarization, and disrupted gut microbiota homeostasis. While probiotic interventions show promise in managing AD, the mechanisms governing strain-specific efficacy—particularly systemic modulation via the “gut–skin axis”—remaining [...] Read more.
Background: Atopic dermatitis (AD) is a chronic inflammatory skin disease linked to epidermal barrier dysfunction, Th2-skewed immune polarization, and disrupted gut microbiota homeostasis. While probiotic interventions show promise in managing AD, the mechanisms governing strain-specific efficacy—particularly systemic modulation via the “gut–skin axis”—remaining to be fully elucidated. Methods: This study systematically compared the oral therapeutic effects of three Lacticaseibacillus rhamnosus strains (MG-A047, MG-A054, and LGG) in a 2,4-dinitrochlorobenzene (DNCB)-induced AD mouse model. Results: By integrating behavioral, histopathological, and serological assessments with 16S rRNA-based gut microbiota profiling and in vitro functional assays, this study offers a multidimensional evaluation of the strain-specific advantages and potential therapeutic mechanisms of three L. rhamnosus strains. The results demonstrate that MG-A054 most effectively alleviated cutaneous inflammation and pruritus, significantly reduced serum IgE and IL-4 levels, and attenuated epidermal hyperplasia and inflammatory cell infiltration (including mast cells and eosinophils). Mechanistically, this strain may directly inhibit hyaluronidase activity and mast cell degranulation, and specifically remodel the gut microbiota structure, thereby promoting a shift toward a healthier functional profile. Conclusions: These findings suggest that the superior efficacy of MG-A054 may be achieved through coordinated modulation of the gut–skin axis and related pathways. This study offers new mechanistic clues for understanding the strain-specific actions of probiotics and lays a preclinical foundation for the further development of MG-A054 as a potential targeted microecological therapy for AD. Full article
(This article belongs to the Special Issue Diet, the Exposome, and Immunity: Microbiota and Beyond)
Show Figures

Figure 1

25 pages, 29765 KB  
Review
Engineering Organ-on-a-Chip Systems for Cancer Immunotherapy: Strategies and Assay Integration
by Jie Wang and Zongjie Wang
Bioengineering 2026, 13(5), 492; https://doi.org/10.3390/bioengineering13050492 - 23 Apr 2026
Viewed by 276
Abstract
Translating preclinical findings into effective clinical cancer immunotherapies remains a major challenge, mainly because conventional in vitro and animal models often fail to capture the complexity, dynamics, and species-specific features of human immune responses. Organ-on-a-chip (OoC) technologies that combine engineered tissue architectures with [...] Read more.
Translating preclinical findings into effective clinical cancer immunotherapies remains a major challenge, mainly because conventional in vitro and animal models often fail to capture the complexity, dynamics, and species-specific features of human immune responses. Organ-on-a-chip (OoC) technologies that combine engineered tissue architectures with precisely controlled microfluidic transport provide human-relevant microphysiological platforms for mechanistic studies of immune–tumor interactions and evaluation of therapeutic efficacy and immunotoxicity under defined microenvironmental conditions. However, immune responses involve time-dependent and interconnected processes, including immune cell trafficking, cytokine programs, metabolic shifts, and cytolysis, that are not adequately resolved by static or endpoint assays. Engineering immune-competent OoC systems therefore requires coordinated design of platform architectures, immune cell incorporation strategies, and integrated measurement workflows capable of capturing dynamic and state-dependent responses. In this review, we summarize engineering strategies for building immune-competent OoC platforms for cancer immunotherapy, focusing on platform architectures, immune cell incorporation methods, and fit-for-purpose assay workflows. Emphasis is placed on embedded sensing modalities (e.g., cytokine, oxygen, and impedance readouts) that provide valuable kinetic and state-variable data. Finally, we discuss key translational challenges, including reproducibility, standardization, and benchmarking, and outline near-term priorities to accelerate the adoption of immune-competent OoC systems in immunotherapy research and development. Full article
Show Figures

Figure 1

15 pages, 2033 KB  
Article
Deep-Learning with Domain-Specific Pretraining for Breast Cancer Neoadjuvant Chemotherapy Response Prediction from Pre-Treatment B-Mode Ultrasound
by Christoph Fürböck, Ivana Janickova, Georg Langs, Thomas H. Helbich, Paola Clauser, Raoul Varga, Pascal Baltzer and Panagiotis Kapetas
Cancers 2026, 18(9), 1345; https://doi.org/10.3390/cancers18091345 - 23 Apr 2026
Viewed by 161
Abstract
Objective: We evaluated whether a deep-learning model could predict the response to neoadjuvant chemotherapy (NAC) in breast cancer using the pre-treatment B-mode ultrasound. Methods: This retrospective study included 245 female patients (253 lesions) treated with NAC between 2017 and 2019. Lesions were categorized [...] Read more.
Objective: We evaluated whether a deep-learning model could predict the response to neoadjuvant chemotherapy (NAC) in breast cancer using the pre-treatment B-mode ultrasound. Methods: This retrospective study included 245 female patients (253 lesions) treated with NAC between 2017 and 2019. Lesions were categorized as complete response (CR; 103) or non-CR (150) based on postoperative pathology. We trained ResNet18-based models using pre-treatment B-mode ultrasound images (Image) and clinical features. Three training strategies were evaluated: training from scratch (SC); transfer learning (TL); and domain-specific pretraining (USP). Predictive performance was assessed using descriptive statistics. Results: The best-performing model (USP Image) achieved 0.76 accuracy (specificity: 0.80; sensitivity: 0.72), significantly outperforming all other models, including those that used additional clinical features (p<0.05). USP improved performance across most model types compared to SC and TL, highlighting the value of domain-specific pretraining. Clinical features added value with SC or TL, but not with USP, suggesting that pretrained models can extract the most relevant information directly from images. Grad-CAM analysis revealed that non-CR predictions focused on the tumor and posterior shadowing—features linked to chemoresistant subtypes. CR predictions focused mainly on more heterogeneous, peritumoral regions. Conclusion: This finding underscores ultrasound’s potential as a low-cost, accessible tool for predictive oncology in personalized, AI-driven treatment planning. Full article
22 pages, 4515 KB  
Review
A Review of Translational Behavioral Assays in Depression Research
by Ayush Sabherwal, Julianna E. Peña, Anthony T. Lopez and Frederick L. Hitti
Biology 2026, 15(9), 667; https://doi.org/10.3390/biology15090667 - 23 Apr 2026
Viewed by 106
Abstract
Major depressive disorder is a highly prevalent psychiatric disease, and many patients remain symptomatic despite treatment. Rodent models are central to preclinical depression research, but their translational impact is often constrained by the lack of direct human analogs. We conducted a review to [...] Read more.
Major depressive disorder is a highly prevalent psychiatric disease, and many patients remain symptomatic despite treatment. Rodent models are central to preclinical depression research, but their translational impact is often constrained by the lack of direct human analogs. We conducted a review to identify behavioral tasks with direct cross-species analogs between rodents and humans. We focused on tests with comparable assay structures that measure depressive symptoms and related constructs. We followed PRISMA (Preferred Reporting Items for Systematic Reviews and Meta-Analyses) guidelines and included all relevant studies. After screening 9680 studies and applying inclusion and exclusion criteria, 62 studies were included. We identified 10 behavioral tests with comparable human and rodent versions. These tests include assays of positive and negative valence systems, affective bias, and cognitive systems. These cross-species behavioral tests help close the gap between animal and human paradigms and advance the understanding of the neurobiology underlying depression. Each test has distinct strengths and limitations in its implementation across species. These assays offer a promising bridge between human and rodent research, and continued efforts to standardize and develop these tests will help maximize their utility in enhancing the understanding of depression and developing more effective treatments for mood disorders. Full article
(This article belongs to the Section Behavioural Biology)
20 pages, 7267 KB  
Review
3D Printing for Pelvic Organ Prolapse Management: A Narrative Review of Emerging Applications
by Xinyi Wei, Xiaolong Wang, Xin Yang, Mingjing Qiao, Yannan Chen, Andre Hoerning, Xianhu Liu and Chenchen Ren
Bioengineering 2026, 13(5), 488; https://doi.org/10.3390/bioengineering13050488 - 23 Apr 2026
Viewed by 286
Abstract
Pelvic organ prolapse (POP) is a common benign gynecological disorder that substantially affects quality of life, particularly in aging female populations. Current management strategies, including standardized vaginal pessaries and synthetic surgical meshes, are often limited by poor anatomical adaptability, mechanical mismatch with native [...] Read more.
Pelvic organ prolapse (POP) is a common benign gynecological disorder that substantially affects quality of life, particularly in aging female populations. Current management strategies, including standardized vaginal pessaries and synthetic surgical meshes, are often limited by poor anatomical adaptability, mechanical mismatch with native pelvic tissues, and long-term safety concerns. These limitations have driven increasing interest in personalized and biomechanically compatible therapeutic solutions. Three-dimensional (3D) printing, also known as additive manufacturing, has emerged as a promising bioengineering technology to address these unmet clinical needs. By enabling layer-by-layer fabrication directly from digital models, 3D printing allows for precise control over device geometry, mechanical properties, and material composition, facilitating patient-specific design. This narrative review summarizes recent progress in 3D printing for POP management across three major application domains: (i) next-generation meshes based on biodegradable polymers, elastomeric materials, natural biomaterials, and hydrogel systems; (ii) customized vaginal pessaries tailored to individual pelvic anatomy using imaging-assisted workflows; and (iii) imaging-based pelvic models and prototype devices for surgical planning, education, and exploratory assessment. Overall, existing studies demonstrate that 3D printing enables improved biomechanical compatibility, enhanced tissue integration, and multifunctional device design, including drug delivery capability. Although current evidence is largely pre-clinical or based on pilot studies, additive manufacturing holds strong potential to advance POP management toward safer, personalized, and functionally optimized clinical solutions. Full article
(This article belongs to the Collection 3D Bioprinting in Bioengineering)
Show Figures

Figure 1

Back to TopTop