Sign in to use this feature.

Years

Between: -

Subjects

remove_circle_outline
remove_circle_outline
remove_circle_outline
remove_circle_outline

Journals

Article Types

Countries / Regions

Search Results (13)

Search Parameters:
Keywords = postpartum immunosuppression

Order results
Result details
Results per page
Select all
Export citation of selected articles as:
29 pages, 1691 KB  
Review
Phosphorus Metabolism and Function in Ruminants: Current Knowledge
by Beata Abramowicz, Ewa Tomaszewska, Oliwia Brzezińska, Karolina Kłos, Miroslav Urosevic and Łukasz Kurek
Animals 2026, 16(1), 130; https://doi.org/10.3390/ani16010130 - 2 Jan 2026
Viewed by 434
Abstract
Phosphorus (P) is a key macromineral essential for numerous physiological processes, including energy metabolism, skeletal mineralization, and cellular signaling. In dairy cattle, its homeostasis is tightly regulated by parathyroid hormone, calcitriol, and fibroblast growth factor 23 (FGF23). Phosphorus deficiency is common during the [...] Read more.
Phosphorus (P) is a key macromineral essential for numerous physiological processes, including energy metabolism, skeletal mineralization, and cellular signaling. In dairy cattle, its homeostasis is tightly regulated by parathyroid hormone, calcitriol, and fibroblast growth factor 23 (FGF23). Phosphorus deficiency is common during the transition period and is associated with reduced milk yield, anemia, muscle weakness, and immunosuppression in severe or prolonged cases. This review summarizes the current understanding of phosphorus metabolism in ruminants, emphasizing differences from monogastric species, hormonal regulation, and the clinical manifestations of deficiency. Particular attention is given to postpartum hypophosphatemia, its relationship with acute-phase proteins, and the pathogenesis of postpartum hemoglobinuria and recumbency. The review also discusses diagnostic methods for assessing phosphorus status, recent findings on FGF23 physiology in cattle, and including demonstrated effects of phosphorus imbalance on periparturient immune suppression and increased environmental phosphorus losses through manure. Maintaining optimal phosphorus nutrition is crucial for bovine health, productivity, and reduction in environmental phosphorus losses. Full article
(This article belongs to the Section Cattle)
Show Figures

Figure 1

29 pages, 12967 KB  
Article
Integrative Analysis of Differentially Expressed miRNAs and Noncoding RNA Networks Reveals Molecular Mechanisms Underlying Metritis in Postpartum Dairy Cows
by Ramanathan Kasimanickam, Joao Ferreira and Vanmathy Kasimanickam
Curr. Issues Mol. Biol. 2025, 47(8), 643; https://doi.org/10.3390/cimb47080643 - 11 Aug 2025
Viewed by 1151
Abstract
Postpartum metritis in dairy cows compromises reproductive performance and leads to substantial economic losses. This study investigated the molecular mechanisms underlying metritis by integrating high-throughput circulating microRNA (miRNA) profiling with systems-level bioinformatics. Previously, 30 differentially expressed miRNAs, 16 upregulated and 14 downregulated, were [...] Read more.
Postpartum metritis in dairy cows compromises reproductive performance and leads to substantial economic losses. This study investigated the molecular mechanisms underlying metritis by integrating high-throughput circulating microRNA (miRNA) profiling with systems-level bioinformatics. Previously, 30 differentially expressed miRNAs, 16 upregulated and 14 downregulated, were identified in metritis-affected cows compared to healthy controls. Building on these findings, this study predicted miRNA target genes and constructed regulatory networks involving miRNAs, mRNAs, circRNAs, lncRNAs, and snRNAs, alongside protein–protein interaction networks. Functional annotation and KEGG pathway analysis revealed that upregulated miRNAs influenced genes involved in immune activation, apoptosis, and metabolism, while downregulated miRNAs were associated with angiogenesis, immune suppression, and tissue repair. Hub genes such as AKT3, VEGFA, and HIF1A were central to immune and angiogenic signaling, whereas UBE3A and ZEB1 were linked to immune inhibition. Interferon-stimulated genes (e.g., ISG15, RSAD2, CXCL chemokines) were shown to regulate solute carriers, contributing to immune dysregulation. Key pathways included PI3K-Akt, NF-κB, JAK-STAT, insulin resistance, and T cell receptor signaling. Noncoding RNAs such as NEAT1, KCNQ1OT1, and XIST, along with miRNAs like bta-miR-15b and bta-miR-148a, emerged as pro-inflammatory regulators, while bta-miR-199a-3p appeared to exert immunosuppressive effects. These findings offer new insights into the complex regulatory networks driving metritis and suggest potential targets for improving fertility in dairy cows. Full article
(This article belongs to the Section Biochemistry, Molecular and Cellular Biology)
Show Figures

Figure 1

21 pages, 4061 KB  
Case Report
Hydatid Cyst in Pregnancy—A Diagnostic and Therapeutic Dilemma: Study Case Report
by Liliana Steriu, Ionut Eduard Iordache, Antonia Bisinicu, Bianca Andreea Steriu, Gabriela Baltatescu, Andreea Nelson Twakor, Eugen Dumitru and Vlad Tica
J. Clin. Med. 2025, 14(14), 5073; https://doi.org/10.3390/jcm14145073 - 17 Jul 2025
Cited by 2 | Viewed by 2479
Abstract
Background: Hydatid disease, caused by the larval form of Echinococcus granulosus, is a rare but potentially life-threatening condition during pregnancy, with an estimated incidence of 1 in 20,000 to 30,000 gestations. Physiological immunosuppression and increased placental steroid levels during pregnancy may promote cyst [...] Read more.
Background: Hydatid disease, caused by the larval form of Echinococcus granulosus, is a rare but potentially life-threatening condition during pregnancy, with an estimated incidence of 1 in 20,000 to 30,000 gestations. Physiological immunosuppression and increased placental steroid levels during pregnancy may promote cyst growth, elevating the risk of rupture, which can result in anaphylactic shock, sepsis, or widespread peritoneal dissemination. Diagnostic imaging, particularly ultrasonography, plays a central role in detection, while treatment decisions are complicated by the lack of standardized guidelines and the need to balance maternal–fetal safety. Methods: This case report describes a 29-year-old pregnant woman at 22 weeks’ gestation who was incidentally diagnosed with two large hepatic hydatid cysts during a routine ultrasound. Results: Given the high rupture risk, she underwent successful laparoscopic surgery in the second trimester, followed by careful monitoring and elective cesarean delivery at term. A third retroperitoneal cyst, initially managed conservatively, was excised postpartum. Conclusions: This case highlights the critical importance of individualized, multidisciplinary management in achieving favorable maternal and neonatal outcomes in complex presentations of hydatid disease during pregnancy. Full article
(This article belongs to the Section Obstetrics & Gynecology)
Show Figures

Figure 1

15 pages, 560 KB  
Review
Management of Evans’ Syndrome in Pregnancy: A Case Report and a Narrative Review
by Giulia Fontana, Micaela Fredi, Cecilia Nalli, Rossana Orabona, Brunetta Guaragni, Laura Picciau, Valeria Cancelli, Laura Andreoli, Sonia Zatti and Angela Tincani
Reprod. Med. 2025, 6(1), 6; https://doi.org/10.3390/reprodmed6010006 - 4 Mar 2025
Cited by 2 | Viewed by 3466
Abstract
Background/Objectives: Evans’ syndrome (ES) is a rare autoimmune disorder characterized by the simultaneous or sequential onset of immune thrombocytopenia (ITP) and autoimmune hemolytic anemia (AIHA). Given its rarity, available data concerning the clinical course and optimal management in pregnancy are limited. Methods [...] Read more.
Background/Objectives: Evans’ syndrome (ES) is a rare autoimmune disorder characterized by the simultaneous or sequential onset of immune thrombocytopenia (ITP) and autoimmune hemolytic anemia (AIHA). Given its rarity, available data concerning the clinical course and optimal management in pregnancy are limited. Methods: We present the case of a 32-year-old woman who experienced ES during her first pregnancy. She had been previously diagnosed with childhood-onset SLE at the age of 14 but had been in treatment-free remission since the age of 24. The treatment of both AIHA and ITP included intravenous immunoglobulins, cyclosporine-A, high dosage oral corticosteroids, and, in the second trimester, rituximab. The delivery was planned at 34 + 6 weeks of gestation (GW); no immunological alterations or infectious complications were detected in the newborn. The post-delivery period was uncomplicated, and the mother was discharged with a normal blood count. A narrative review of available ES cases during pregnancy is also presented. Results: A total of 16 patients with ES in pregnancy were reported, including the one we described. None of them developed major bleedings during gestation, while a case of abruptio placentae with delayed postpartum hemorrhage occurred. ITP was difficult to treat in 4/16 women after delivery; 4/16 patients also developed gestational hypertensive disorders. Perinatal outcomes include 13/17 healthy newborns and 4/17 stillbirths (2 of them were twins), of which 1 was due to fetal AIHA. Gestational age at birth was before 37 GW in 8/17. In 15/16 women, ES resolved after delivery. Conclusions: The occurrence of ES during pregnancy has been rarely reported; it constitutes a clinical challenge due to the need for multiple treatments, including conventional immunosuppressants and/or biologic drugs as steroid-sparing agents. After delivery, ES appeared to be less resistant to treatment than it was during pregnancy. Full article
Show Figures

Figure 1

10 pages, 510 KB  
Review
Acquired Hemophilia—A Case Series and Review
by Liat Waldman Radinsky, Maayan Sivan, Aharon Lubetsky, Mudi Misgav, Shadan Lalezari, Omri Cohen, Tlalit Barhod, Gili Kenet and Orly Efros
J. Clin. Med. 2025, 14(5), 1597; https://doi.org/10.3390/jcm14051597 - 26 Feb 2025
Cited by 2 | Viewed by 3177
Abstract
Background: Acquired hemophilia A (AHA) is a rare, life-threatening autoimmune disorder characterized by inhibitory autoantibodies against factor VIII (FVIII), resulting in spontaneous or trauma-related bleeding. This study reviews a single-center cohort to evaluate patient characteristics, treatments, and outcomes. Methods: We retrospectively reviewed the [...] Read more.
Background: Acquired hemophilia A (AHA) is a rare, life-threatening autoimmune disorder characterized by inhibitory autoantibodies against factor VIII (FVIII), resulting in spontaneous or trauma-related bleeding. This study reviews a single-center cohort to evaluate patient characteristics, treatments, and outcomes. Methods: We retrospectively reviewed the records of 22 adult patients diagnosed with AHA between 2012 and 2024. The data included demographics, clinical presentation, laboratory findings, treatments, and outcomes. Statistical analysis compared genders and evaluated treatment strategies and remission outcomes. Results: The cohort had an equal gender distribution with an average age of 62 years (22–102 years). Suspected etiologies included pregnancy (27%), malignancy (23%), autoimmune diseases (5%), and idiopathic causes (45%). The most common presentation was spontaneous cutaneous hematoma (82%). Severe bleeding necessitating hemostatic therapy occurred in 9% of cases. Initial immunosuppressive therapy (IST) with corticosteroids achieved remission in 45% of patients, while additional treatment with Rituximab or Cyclophosphamide was required in others. Emicizumab, a novel FVIII-mimetic, was successfully used in one patient with severe refractory bleeding. Remission was achieved in 64% of patients within a median of 3 months, with a recurrence rate of 14%. No thrombotic events were observed, although corticosteroid side effects, including one hip fracture, were noted. Conclusions: IST remains the cornerstone of AHA treatment, though side effects necessitate individualized care. Emicizumab shows promise, particularly in refractory cases and fragile populations. Future research is needed to evaluate long-term outcomes and spontaneous remission rates, especially in special populations like post-partum women and the elderly. Full article
(This article belongs to the Section Hematology)
Show Figures

Figure 1

12 pages, 427 KB  
Case Report
Progression of HTLV-1 Associated Myelopathy/Tropical Spastic Paraparesis after Pregnancy: A Case Series and Review of the Literature
by Frederique A. Jacquerioz, Mauricio La Rosa, Elsa González-Lagos, Carolina Alvarez, Martin Tipismana, Karen Luhmann and Eduardo Gotuzzo
Pathogens 2024, 13(9), 731; https://doi.org/10.3390/pathogens13090731 - 28 Aug 2024
Cited by 2 | Viewed by 2883
Abstract
HTLV-1-associated Myelopathy/Tropical Spastic Paraparesis (HAM/TSP) is a progressive non-remitting and incapacitating disease more frequently seen in women and with a patchy worldwide distribution. HAM/TSP develops in a small percentage of HTLV-1-infected individuals during their lifetime and etiologic factors for disease progression are still [...] Read more.
HTLV-1-associated Myelopathy/Tropical Spastic Paraparesis (HAM/TSP) is a progressive non-remitting and incapacitating disease more frequently seen in women and with a patchy worldwide distribution. HAM/TSP develops in a small percentage of HTLV-1-infected individuals during their lifetime and etiologic factors for disease progression are still unclear. This study aims to describe the first case series of the progression of HAM/TSP in relation to pregnancy. Between January and March of 2012, we reviewed medical charts of women with HAM/TSP currently enrolled in the HTLV-1 cohort at the institute of tropical medicine of Cayetano Heredia University. Inclusion criteria included having a diagnosis of HAM/TSP according to the WHO guidelines and self-reported initial symptoms of HAM/TSP during pregnancy or within six months of delivery. Fifteen women reported having had symptoms compatible with HAM/TSP within four months of delivery. Among them, ten women had no symptoms before pregnancy and reported gait impairment after delivery. Five women with mild gait impairment before pregnancy noticed a worsening of their symptoms after delivery. Symptoms worsened after successive pregnancies. Recent studies have shown that HTLV-1 infection induces a strong T cell-mediated response and that the quality of this response plays a role in HAM/TSP pathogenesis. The relative immunosuppression during pregnancy, including blunting of the T-cell response, might allowed in certain women enhanced replication of HTLV-1 and disease progression in the postpartum. This is the first study looking specifically at HAM/TSP and pregnancy and the number of cases is remarkable. Further prospective studies of HTLV-1-infected women assessing immune markers during pregnancy are warranted. Breastfeeding was the main route of transmission. Strategies to prevent vertical transmission need to be evaluated in HTLV-1 endemic countries of Latin America. Full article
(This article belongs to the Special Issue Viral Infections of Humans: Epidemiology and Control)
18 pages, 626 KB  
Review
Invited Review: Increasing Milk Yield and Negative Energy Balance: A Gordian Knot for Dairy Cows?
by Holger Martens
Animals 2023, 13(19), 3097; https://doi.org/10.3390/ani13193097 - 4 Oct 2023
Cited by 27 | Viewed by 8145
Abstract
The continued increase in milk production during the last century has not been accompanied by an adequate dry matter intake (DMI) by cows, which therefore experience a negative energy balance (NEB). NEB is low and of minor importance at low milk yield (MY), [...] Read more.
The continued increase in milk production during the last century has not been accompanied by an adequate dry matter intake (DMI) by cows, which therefore experience a negative energy balance (NEB). NEB is low and of minor importance at low milk yield (MY), such as for the nutrition of one calf, and under these circumstances is considered “natural”. MY and low DMI around parturition are correlated and are the reason for the genetic correlation between increasing MY and increasing NEB up to 2000 MJ or more for 2–3 months postpartum in high-genetic-merit dairy cows. The extension and duration of NEB in high-producing cows cannot be judged as “natural” and are compensated by the mobilization of nutrients, particularly of fat. The released non-esterified fatty acids (NEFAs) overwhelm the metabolic capacity of the cow and lead to the ectopic deposition of NEFAs as triglycerides (TGs) in the liver. The subsequent lipidosis and the concomitant hampered liver functions cause subclinical and clinical ketosis, both of which are associated with “production diseases”, including oxidative and endoplasmatic stress, inflammation and immunosuppression. These metabolic alterations are regulated by homeorhesis, with the priority of the physiological function of milk production. The prioritization of one function, namely, milk yield, possibly results in restrictions in other physiological (health) functions under conditions of limited resources (NEB). The hormonal framework for this metabolic environment is the high concentration of growth hormone (GH), the low concentration of insulin in connection with GH-dependent insulin resistance and the low concentration of IGF-1, the so-called GH-IGF-1 axis. The fine tuning of the GH-IGF-1 axis is uncoupled because the expression of the growth hormone receptor (GHR-1A) in the liver is reduced with increasing MY. The uncoupled GH-IGF-1 axis is a serious impairment for the GH-dependent stimulation of gluconeogenesis in the liver with continued increased lipolysis in fat tissue. It facilitates the pathogenesis of lipidosis with ketosis and, secondarily, “production diseases”. Unfortunately, MY is still increasing at inadequate DMI with increasing NEB and elevated NEFA and beta–hydroxybutyric acid concentrations under conditions of low glucose, thereby adding health risks. The high incidences of diseases and of early culling and mortality in dairy cows are well documented and cause severe economic problems with a waste of resources and a challenge to the environment. Moreover, the growing public concerns about such production conditions in agriculture can no longer be ignored. Full article
(This article belongs to the Topic Precision Feeding and Management of Farm Animals)
Show Figures

Figure 1

19 pages, 774 KB  
Review
Acquired Hemophilia A: An Update on the Etiopathogenesis, Diagnosis, and Treatment
by Ezio Zanon
Diagnostics 2023, 13(3), 420; https://doi.org/10.3390/diagnostics13030420 - 23 Jan 2023
Cited by 26 | Viewed by 13250
Abstract
Acquired haemophilia A (AHA) is a rare bleeding disorder caused by inhibitory autoantibodies against coagulation factor VIII (FVIII). AHA is a disease that most commonly affects the elderly but has also been observed in children and in the postpartum period. AHA is idiopathic [...] Read more.
Acquired haemophilia A (AHA) is a rare bleeding disorder caused by inhibitory autoantibodies against coagulation factor VIII (FVIII). AHA is a disease that most commonly affects the elderly but has also been observed in children and in the postpartum period. AHA is idiopathic in 50% of cases and is associated with autoimmune diseases, malignancies, and infections in the remaining 50%. Recently, cases of association between AHA, COVID-19 vaccination, and infection have been reported in the literature. For diagnoses, determining FVIII levels is crucial to distinguish the different causes of aPTT prolongation. Treatment of AHA is based on bypassing agents (recombinant factor VIIa, activated prothrombin complex concentrate) and porcine FVIII to control the bleeding and immunosuppressive therapy (corticosteroids, rituximab, cyclophosphamide) to suppress autoantibody production. It is important to start a prophylactic regimen to prevent further bleeding episodes until the inhibitor is negative. Recently, the series of cases reported in the literature suggest that emicizumab may provide effective and safe haemorrhage prophylaxis in the outpatient setting. Full article
(This article belongs to the Special Issue Diagnostic and Management of Acquired Hemophilia)
Show Figures

Figure 1

26 pages, 6419 KB  
Article
Proportion of Concentrate in the Diet of Early Lactation Dairy Cows Has Contrasting Effects on Circulating Leukocyte Global Transcriptomic Profiles, Health and Fertility According to Parity
by Zhangrui Cheng, Danielle L. McLaughlin, Mark W. Little, Conrad Ferris, Mazdak Salavati, Klaus L. Ingvartsen, Mark A. Crowe, D. Claire Wathes and the GplusE Consortium
Int. J. Mol. Sci. 2023, 24(1), 39; https://doi.org/10.3390/ijms24010039 - 20 Dec 2022
Cited by 4 | Viewed by 3519
Abstract
The functionality of circulating leukocytes in dairy cows is suppressed after calving, with negative energy balance as a risk factor. Leukocyte transcriptomic profiles were compared separately in 44 multiparous (MP) and 18 primiparous (PP) Holstein–Friesian cows receiving diets differing in concentrate proportion to [...] Read more.
The functionality of circulating leukocytes in dairy cows is suppressed after calving, with negative energy balance as a risk factor. Leukocyte transcriptomic profiles were compared separately in 44 multiparous (MP) and 18 primiparous (PP) Holstein–Friesian cows receiving diets differing in concentrate proportion to test whether immune dysfunction could be mitigated by appropriate nutrition. After calving, cows were offered either (1) low concentrate (LC); (2) medium concentrate (MC) or (3) high concentrate (HC) diets with proportions of concentrate to grass silage of 30%:70%, 50%:50% and 70%:30%, respectively. Cow phenotype data collected included circulating metabolites, milk yield and health and fertility records. RNA sequencing of circulating leukocytes at 14 days in milk was performed. The HC diet improved energy balance in both age groups. There were more differentially expressed genes in PP than MP cows (460 vs. 173, HC vs. LC comparison) with few overlaps. The MP cows on the LC diet showed upregulation of the complement and coagulation cascade and innate immune defence mechanisms against pathogens and had a trend of more cases of mastitis and poorer fertility. In contrast, the PP cows on the HC diet showed greater immune responses based on both gene expression and phenotypic data and longer interval of calving to conception. The leukocytes of MP and PP cows therefore responded differentially to the diets between age, nutrient supply and immunity affecting their health and subsequent fertility. Full article
(This article belongs to the Special Issue Reproductive Immunology and Pregnancy 3.0)
Show Figures

Figure 1

14 pages, 2988 KB  
Article
Callicarpa dichotoma Leaf Extract Alleviates Atopic Dermatitis through the Suppression of T Cells and Keratinocytes Activation
by Eun-Nam Kim, Hyun-Su Lee and Gil-Saeng Jeong
Pharmaceuticals 2022, 15(10), 1280; https://doi.org/10.3390/ph15101280 - 18 Oct 2022
Cited by 10 | Viewed by 3177
Abstract
Atopic dermatitis (AD) is a highly recurrent chronic inflammatory skin disease, characterized by severe itching, immune imbalance, and skin barrier dysfunction. Damage to the skin barrier function is known to be the main cause of Th1/Th2 immune imbalance, due to the Th2-mediated immune [...] Read more.
Atopic dermatitis (AD) is a highly recurrent chronic inflammatory skin disease, characterized by severe itching, immune imbalance, and skin barrier dysfunction. Damage to the skin barrier function is known to be the main cause of Th1/Th2 immune imbalance, due to the Th2-mediated immune response, and pro-inflammatory cytokines, including IL-4, IL-5, IL-13 and IL-31 and it plays an important role in further eliciting the environment of AD through stimulation. Currently, the most widely used drugs for the treatment of AD are corticosteroids, antihistamines and immunosuppressants (used by more than 60% of patients), which are reported to exhibit various side effects when taken for a long time. Therefore, interest in the physiological activity of safer plant-derived natural extracts is increasing. Callicarpa dichotoma is traditionally used in oriental medicine for bruises, habitual pain, gastric and postpartum hemorrhage. Recent studies have reported that it exhibits antioxidant anti-inflammatory and anti-hepatotoxic activity, but the role and activity of C. dichotoma in AD have not yet been studied. Therefore, in this study, the new physiological activity of C. dichotoma in the AD environment was investigated, suggesting its potential as a natural therapeutic agent. Full article
Show Figures

Figure 1

13 pages, 937 KB  
Review
Cytokine Storms in the Course of COVID-19 and Haemophagocytic Lymphohistiocytosis in Pregnant and Postpartum Women
by Aleksandra Obuchowska, Arkadiusz Standyło, Karolina Obuchowska, Żaneta Kimber-Trojnar and Bożena Leszczyńska-Gorzelak
Biomolecules 2021, 11(8), 1202; https://doi.org/10.3390/biom11081202 - 13 Aug 2021
Cited by 20 | Viewed by 3697
Abstract
The term ‘cytokine storm’ (CS) applies to a pathological autoimmune reaction when the interactions that lead to cytokine production are destabilised and may even lead to death. CS may be induced by severe acute respiratory syndrome coronavirus 2 (SARS-CoV-2) infection. In this study, [...] Read more.
The term ‘cytokine storm’ (CS) applies to a pathological autoimmune reaction when the interactions that lead to cytokine production are destabilised and may even lead to death. CS may be induced by severe acute respiratory syndrome coronavirus 2 (SARS-CoV-2) infection. In this study, we present our analysis of certain pathological processes that induce a CS in pregnant and postpartum women. We draw our attention to the similarities between the severe course of Coronavirus Disease 2019 (COVID-19) and haemophagocytic lymphohistiocytosis (HLH). It is noteworthy that many of the criteria used to diagnose HLH are described as COVID-19 mortality predictors. Cytokine storms are considered to be an important cause of death in patients with the severe course of SARS-CoV-2 infection. Due to the fact that pregnant women are in an immunosuppressive state, viral pulmonary infections are more perilous for them—possible risks include miscarriage, intrauterine growth restriction or birth before the term; sometimes ventilation support is needed. HLH should be considered in pregnant and puerperal women suffering from moderately severe to severe COVID-19 and presenting with: fever unresponsive to antibiotic therapy, cytopenia, hepatitis and hyperferritinaemia. The HLH disorder is rare and difficult to diagnose; however, its early detection could reduce patient mortality. Full article
Show Figures

Figure 1

10 pages, 1068 KB  
Article
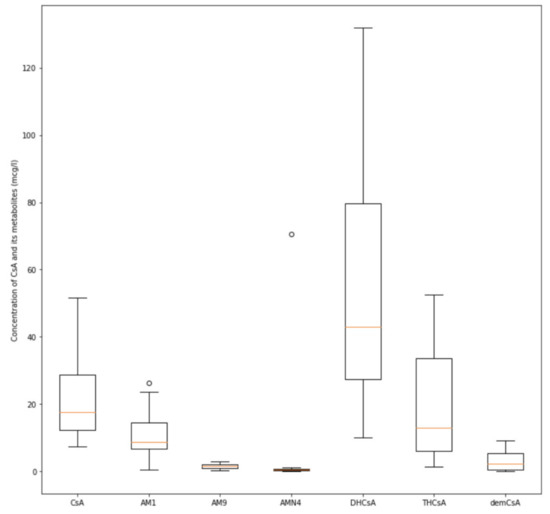
Low Content of Cyclosporine A and Its Metabolites in the Colostrum of Post-Transplant Mothers
by Bożena Kociszewska-Najman, Natalia Mazanowska, Beata Borek-Dzięcioł, Leszek Pączek, Emilia Samborowska, Monika Szpotańska-Sikorska, Bronisława Pietrzak, Michał Dadlez and Mirosław Wielgoś
Nutrients 2020, 12(9), 2713; https://doi.org/10.3390/nu12092713 - 4 Sep 2020
Cited by 12 | Viewed by 7758
Abstract
The rate of post-transplant mothers who breastfeed while on immunosuppression is progressively increasing. Data on breastfeeding while on cyclosporine-based regimens are limited. Therefore, we assessed the amount of cyclosporine and its metabolites that might be ingested by a breastfed infant by measuring the [...] Read more.
The rate of post-transplant mothers who breastfeed while on immunosuppression is progressively increasing. Data on breastfeeding while on cyclosporine-based regimens are limited. Therefore, we assessed the amount of cyclosporine and its metabolites that might be ingested by a breastfed infant by measuring the concentration of cyclosporine and its metabolites in the colostrum of seven post-transplant mothers. The mean concentration of cyclosporine in the colostrum was 22.40 ± 9.43 mcg/L, and the estimated mean daily dose of the drug was 1049.22 ± 397.41 ng/kg/24 h. Only three metabolites (AM1, DHCsA, and THCsA) had mean colostrum amounts comparable to or higher than cyclosporine itself, with the daily doses being 468.51 ± 80.37, 2757.79 ± 1926.11, and 1044.76 ± 948.56 ng/kg/24 h, respectively. Our results indicate a low transfer of cyclosporine and its metabolites into the colostrum in the first two days postpartum and confirm the emerging change to the policy on breastfeeding among post-transplant mothers. A full assessment of the safety of immunosuppressant exposure via breastmilk will require further studies with long-term follow-ups of breastfed children. Full article
(This article belongs to the Section Nutrition Methodology & Assessment)
Show Figures

Figure 1

17 pages, 1611 KB  
Review
Metabolic Stress in the Transition Period of Dairy Cows: Focusing on the Prepartum Period
by Osvaldo Bogado Pascottini, Jo L. M. R. Leroy and Geert Opsomer
Animals 2020, 10(8), 1419; https://doi.org/10.3390/ani10081419 - 14 Aug 2020
Cited by 82 | Viewed by 11344
Abstract
All modern, high-yielding dairy cows experience a certain degree of reduced insulin sensitivity, negative energy balance, and systemic inflammation during the transition period. Maladaptation to these changes may result in excessive fat mobilization, dysregulation of inflammation, immunosuppression, and, ultimately, metabolic or infectious disease [...] Read more.
All modern, high-yielding dairy cows experience a certain degree of reduced insulin sensitivity, negative energy balance, and systemic inflammation during the transition period. Maladaptation to these changes may result in excessive fat mobilization, dysregulation of inflammation, immunosuppression, and, ultimately, metabolic or infectious disease in the postpartum period. Up to half of the clinical diseases in the lifespan of high-yielding dairy cows occur within 3 weeks of calving. Thus, the vast majority of prospective studies on transition dairy cows are focused on the postpartum period. However, predisposition to clinical disease and key (patho)physiological events such as a spontaneous reduction in feed intake, insulin resistance, fat mobilization, and systemic inflammation already occur in the prepartum period. This review focuses on metabolic, adaptive events occurring from drying off until calving in high-yielding cows and discusses determinants that may trigger (mal)adaptation to these events in the late prepartum period. Full article
Show Figures

Figure 1

Back to TopTop