Sign in to use this feature.

Years

Between: -

Subjects

remove_circle_outline
remove_circle_outline
remove_circle_outline

Journals

Article Types

Countries / Regions

Search Results (9)

Search Parameters:
Keywords = polycyclic polyprenylated acylphloroglucinols

Order results
Result details
Results per page
Select all
Export citation of selected articles as:
14 pages, 3301 KB  
Article
Targeted Dereplication of H. patulum and H. hookeranium Extracts: Establishing MS/MS Fingerprints for the Identification of Polycyclic Polyprenylated Acylphloroglucinols
by Annabelle Dugay, Florence Souquet, David Hozain, Gilles Alex Pakora, Didier Buisson, Séverine Amand, Marie-Christine Lallemand and Raimundo Gonçalves de Oliveira Junior
Molecules 2025, 30(12), 2531; https://doi.org/10.3390/molecules30122531 - 10 Jun 2025
Viewed by 1018
Abstract
In this study, we combined automated annotation tools with targeted dereplication based on MS/MS fragmentation pathway studies to identify polycyclic polyprenylated acylphloroglucinols (PPAPs) in Hypericum species, using H. patulum and H. hookeranium as a case study. These species, extensively used in traditional medicine, [...] Read more.
In this study, we combined automated annotation tools with targeted dereplication based on MS/MS fragmentation pathway studies to identify polycyclic polyprenylated acylphloroglucinols (PPAPs) in Hypericum species, using H. patulum and H. hookeranium as a case study. These species, extensively used in traditional medicine, exhibit morphological similarities that often result in misidentification. Following UHPLC-HRMS/MS analysis of plant extracts, a molecular network approach facilitated a comprehensive comparison of their chemical composition, assigning specific clusters to O-glycosylated flavonoids and PPAPs. Eight peaks, including quercitrin, isoquercitrin, procyanidins, chlorogenic acid, quercetin, and glycosylated derivatives, were annotated from the GNPS database. For PPAPs, despite the structural complexity posing challenges for automated annotation using public databases, our targeted-dereplication strategy, relying on in-house spectral data, led to the putative identification of 22 peaks for H. patulum and H. hookeranium. Key compounds such as hyperforin, hyperscabrone K, and garcinialliptone M were detected in both species, underscoring their chemical similarity. MS/MS fragmentation pathways, particularly the successive losses of isobutene and isoprenyl units, emerged as a consistent signature for PPAP detection and may be useful for selecting PPAP-enriched extracts or fractions for further phytochemical investigations. Full article
Show Figures

Graphical abstract

19 pages, 2024 KB  
Article
Antimicrobial Evaluation of Two Polycyclic Polyprenylated Acylphloroglucinol Compounds: PPAP23 and PPAP53
by Aparna Viswanathan Ammanath, Miki Matsuo, Huanhuan Wang, Frank Kraus, Anton Bleisch, Philipp Peslalz, Majd Mohammad, Meghshree Deshmukh, Anne Grießhammer, Moushumi Purkayastha, Andreas Vorbach, Boris Macek, Heike Brötz-Oesterhelt, Lisa Maier, Dorothee Kretschmer, Andreas Peschel, Tao Jin, Bernd Plietker and Friedrich Götz
Int. J. Mol. Sci. 2024, 25(15), 8023; https://doi.org/10.3390/ijms25158023 - 23 Jul 2024
Cited by 1 | Viewed by 2735
Abstract
Polycyclic polyprenylated acylphloroglucinols (PPAPs) comprise a large group of compounds of mostly plant origin. The best-known compound is hyperforin from St. John’s wort with its antidepressant, antitumor and antimicrobial properties. The chemical synthesis of PPAP variants allows the generation of compounds with improved [...] Read more.
Polycyclic polyprenylated acylphloroglucinols (PPAPs) comprise a large group of compounds of mostly plant origin. The best-known compound is hyperforin from St. John’s wort with its antidepressant, antitumor and antimicrobial properties. The chemical synthesis of PPAP variants allows the generation of compounds with improved activity and compatibility. Here, we studied the antimicrobial activity of two synthetic PPAP-derivatives, the water-insoluble PPAP23 and the water-soluble sodium salt PPAP53. In vitro, both compounds exhibited good activity against methicillin-resistant Staphylococcus aureus (MRSA) and vancomycin-resistant Enterococcus faecium. Both compounds had no adverse effects on Galleria mellonella wax moth larvae. However, they were unable to protect the larvae from infection with S. aureus because components of the larval coelom neutralized the antimicrobial activity; a similar effect was also seen with serum albumin. In silico docking studies with PPAP53 revealed that it binds to the F1 pocket of human serum albumin with a binding energy of −7.5 kcal/mol. In an infection model of septic arthritis, PPAP23 decreased the formation of abscesses and S. aureus load in kidneys; in a mouse skin abscess model, topical treatment with PPAP53 reduced S. aureus counts. Both PPAPs were active against anaerobic Gram-positive gut bacteria such as neurotransmitter-producing Clostridium, Enterococcus or Ruminococcus species. Based on these results, we foresee possible applications in the decolonization of pathogens. Full article
(This article belongs to the Special Issue Antibacterial and Antioxidant Effects of Plant-Sourced Compounds)
Show Figures

Figure 1

9 pages, 1301 KB  
Article
Hyperacmosin R, a New Decarbonyl Prenylphloroglucinol with Unusual Spiroketal Subunit from Hypericum acmosepalum
by Yonghui Ma, Xiaoyu Liu, Bo Liu, Pingping Li, Xinyue Suo, Tingting Zhu, Tengfei Ji, Jin Li and Xiaoxiu Li
Molecules 2022, 27(18), 5932; https://doi.org/10.3390/molecules27185932 - 13 Sep 2022
Cited by 3 | Viewed by 2080
Abstract
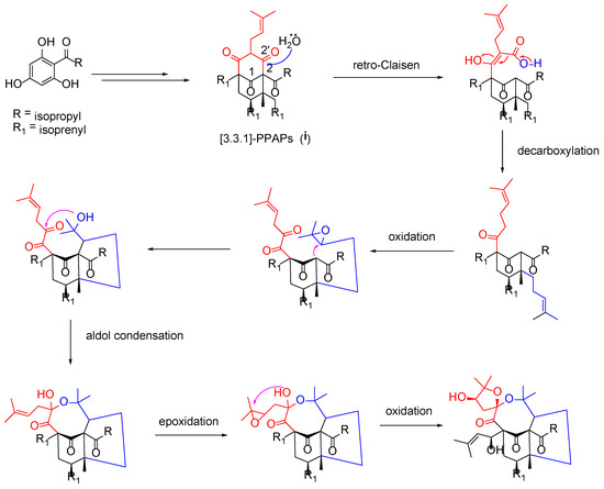
Two previously undescribed polycyclic polyprenylated acylphloroglucinols, hyperacmosins R-S (12), were obtained from the aerial parts of Hypericum acmosepalum. Their structures were elucidated by extensive spectroscopic analysis and electronic circular dichroism calculation (ECD). Compound 1 featured an unprecedented 5,8-spiroketal [...] Read more.
Two previously undescribed polycyclic polyprenylated acylphloroglucinols, hyperacmosins R-S (12), were obtained from the aerial parts of Hypericum acmosepalum. Their structures were elucidated by extensive spectroscopic analysis and electronic circular dichroism calculation (ECD). Compound 1 featured an unprecedented 5,8-spiroketal subunit as well as the loss of C-2′ carbonyl in the phloroglucinol ring. In addition, compounds 1 and 4 showed weak hepatoprotective activity against paracetamol-induced HepG2 cell damage at 10 μm. The plausible biosynthetic pathway of 1 was proposed via a retro-Clasisen reaction and decarboxylation. Full article
(This article belongs to the Section Natural Products Chemistry)
Show Figures

Graphical abstract

3 pages, 635 KB  
Correction
Correction: Wang et al. Polycyclic Polyprenylated Acylphloroglucinol Derivatives from Hypericum acmosepalum. Molecules 2019, 24, 50
by Jiao Wang, Mengjiao Shi, Jiajia Wang, Jin Li and Tengfei Ji
Molecules 2022, 27(13), 3986; https://doi.org/10.3390/molecules27133986 - 21 Jun 2022
Viewed by 1594
Abstract
The authors wish to make the following correction to their paper [...] Full article
(This article belongs to the Collection Bioactive Compounds)
Show Figures

Figure 1

18 pages, 2726 KB  
Article
Discovery of Novel Polycyclic Polyprenylated Acylphloroglucinols from the Fruits of Garcinia xanthochymus as Antitumor Agents by Suppressing the STAT3 Signaling
by Shan Jin, Wen Wang, Fei Gan, Wenli Xie, Jing Xu, Yu Chen, Zhinan Mei and Guangzhong Yang
Int. J. Mol. Sci. 2021, 22(19), 10365; https://doi.org/10.3390/ijms221910365 - 26 Sep 2021
Cited by 9 | Viewed by 2872
Abstract
Pharmacologic studies have revealed that polycyclic polyprenylated acylphloroglucinols (PPAPs) collectively exhibit a broad range of biological activities, including antineoplastic potential. Here, six new PPAPs, named garcixanthochymones F–K (3, 5, 7, 8, 11, and 15), together with [...] Read more.
Pharmacologic studies have revealed that polycyclic polyprenylated acylphloroglucinols (PPAPs) collectively exhibit a broad range of biological activities, including antineoplastic potential. Here, six new PPAPs, named garcixanthochymones F–K (3, 5, 7, 8, 11, and 15), together with nine known analogues were isolated from the fruits of Garcinia xanthochymus. Their structures were elucidated based on the spectroscopic data, including UV, HRESIMS, and NMR, and quantum chemical calculations. All the isolated PPAPs were tested for anti-proliferative activity against four human tumor cell lines, including SGC7901, A549, HepG2, and MCF-7. Most of the PPAPs possessed high anti-proliferative activity with IC50 values in the range of 0.89 to 36.98 μM, and significant apoptosis was observed in MCF-7 cells exposed to compounds 2 and 5. Besides, docking results showed that compounds 2 and 5 could strongly combine with the Src homology 2 (SH2) domain of STAT3 via hydrogen bond and hydrophobic interaction, which is one of the key oncogenes and crucial therapeutic targets. Furthermore, compounds 2 and 5 efficiently downregulated the expression of p-STAT3Tyr705 and pivotal effector proteins involved in oncogenic signaling pathways of MCF-7 cells. Full article
Show Figures

Graphical abstract

13 pages, 3327 KB  
Article
A Photoalkylative Fluorogenic Probe of Guttiferone A for Live Cell Imaging and Proteome Labeling in Plasmodium falciparum
by Romain Duval, Kevin Cottet, Magali Blaud, Anaïs Merckx, Sandrine Houzé, Philippe Grellier, Marie-Christine Lallemand and Sylvie Michel
Molecules 2020, 25(21), 5139; https://doi.org/10.3390/molecules25215139 - 4 Nov 2020
Cited by 5 | Viewed by 3211
Abstract
Guttiferone A (GA) 1, a polycyclic polyprenylated acylphloroglucinol (PPAP) isolated from the plant Symphonia globulifera (Clusiaceae), constitutes a novel hit in antimalarial drug discovery. PPAPs do not possess identified biochemical targets in malarial parasites up to now. Towards this aim, we designed [...] Read more.
Guttiferone A (GA) 1, a polycyclic polyprenylated acylphloroglucinol (PPAP) isolated from the plant Symphonia globulifera (Clusiaceae), constitutes a novel hit in antimalarial drug discovery. PPAPs do not possess identified biochemical targets in malarial parasites up to now. Towards this aim, we designed and evaluated a natural product-derived photoactivatable probe AZC-GA 5, embedding a photoalkylative fluorogenic motif of the 7-azidocoumarin (AZC) type, devoted to studying the affinity proteins interacting with GA in Plasmodium falciparum. Probe 5 manifested a number of positive functional and biological features, such as (i) inhibitory activity in vitro against P. falciparum blood-stages that was superimposable to that of GA 1, dose–response photoalkylative fluorogenic properties (ii) in model conditions using bovine serum albumin (BSA) as an affinity protein surrogate, (iii) in live P. falciparum-infected erythrocytes, and (iv) in fresh P. falciparum cell lysate. Fluorogenic signals by photoactivated AZC-GA 5 in biological settings were markedly abolished in the presence of excess GA 1 as a competitor, indicating significant pharmacological specificity of the designed molecular probe relative to the native PPAP. These results open the way to identify the detected plasmodial proteins as putative drug targets for the natural product 1 by means of proteomic analysis. Full article
(This article belongs to the Special Issue Chemical Probe Synthesis and Applications in Chemical Biology)
Show Figures

Figure 1

17 pages, 6885 KB  
Article
Targeting MHC Regulation Using Polycyclic Polyprenylated Acylphloroglucinols Isolated from Garcinia bancana
by Chloé Coste, Nathalie Gérard, Chau Phi Dinh, Antoine Bruguière, Caroline Rouger, Sow Tein Leong, Khalijah Awang, Pascal Richomme, Séverine Derbré and Béatrice Charreau
Biomolecules 2020, 10(9), 1266; https://doi.org/10.3390/biom10091266 - 2 Sep 2020
Cited by 11 | Viewed by 3916
Abstract
Modulation of major histocompatibility complex (MHC) expression using drugs has been proposed to control immunity. Phytochemical investigations on Garcinia species have allowed the isolation of bioactive compounds such as polycyclic polyprenylated acylphloroglucinols (PPAPs). PPAPs such as guttiferone J (1), display anti-inflammatory [...] Read more.
Modulation of major histocompatibility complex (MHC) expression using drugs has been proposed to control immunity. Phytochemical investigations on Garcinia species have allowed the isolation of bioactive compounds such as polycyclic polyprenylated acylphloroglucinols (PPAPs). PPAPs such as guttiferone J (1), display anti-inflammatory and immunoregulatory activities while garcinol (4) is a histone acetyltransferases (HAT) p300 inhibitor. This study reports on the isolation, identification and biological characterization of two other PPAPs, i.e., xanthochymol (2) and guttiferone F (3) from Garcinia bancana, sharing structural analogy with guttiferone J (1) and garcinol (4). We show that PPAPs 14 efficiently downregulated the expression of several MHC molecules (HLA-class I, -class II, MICA/B and HLA-E) at the surface of human primary endothelial cells upon inflammation. Mechanistically, PPAPs 14 reduce MHC proteins by decreasing the expression and phosphorylation of the transcription factor STAT1 involved in MHC upregulation mediated by IFN-γ. Loss of STAT1 activity results from inhibition of HAT CBP/p300 activity reflected by a hypoacetylation state. The binding interactions to p300 were confirmed through molecular docking. Loss of STAT1 impairs the expression of CIITA and GATA2 but also TAP1 and Tapasin required for peptide loading and transport of MHC. Overall, we identified new PPAPs issued from Garcinia bancana with potential immunoregulatory properties. Full article
(This article belongs to the Section Natural and Bio-derived Molecules)
Show Figures

Graphical abstract

14 pages, 2967 KB  
Article
Hypermongone C Accelerates Wound Healing through the Modulation of Inflammatory Factors and Promotion of Fibroblast Migration
by Sara E. Moghadam, Mahdi Moridi Farimani, Sara Soroury, Samad N. Ebrahimi and Ehsan Jabbarzadeh
Molecules 2019, 24(10), 2022; https://doi.org/10.3390/molecules24102022 - 27 May 2019
Cited by 16 | Viewed by 4286
Abstract
The physiology of wound healing is dependent on the crosstalk between inflammatory mediators and cellular components of skin regeneration including fibroblasts and endothelial cells. Therefore, strategies to promote healing must regulate this crosstalk to achieve maximum efficacy. In light of the remarkable potential [...] Read more.
The physiology of wound healing is dependent on the crosstalk between inflammatory mediators and cellular components of skin regeneration including fibroblasts and endothelial cells. Therefore, strategies to promote healing must regulate this crosstalk to achieve maximum efficacy. In light of the remarkable potential of natural compounds to target multiple signaling mechanisms, this study aims to demonstrate the potential of hypermongone C, a polycyclic polyprenylated acylphloroglucinol (PPAP), to accelerate wound closure by concurrently enhancing fibroblast proliferation and migration, promoting angiogenesis, and suppressing pro-inflammatory cytokines. This compound belongs to a family of plants (Hypericum) that traditionally have been used to treat injuries. Nevertheless, the exact biological evidence to support the claims is still missing. The results were obtained using a traditional model of cell scratch assay and endothelial cell tube formation, combined with the analysis of protein and gene expression by macrophages. In summary, the data suggest that hypermongone C is a multi-targeting therapeutic natural compound for the promotion of tissue repair and the regulation of inflammation. Full article
Show Figures

Graphical abstract

10 pages, 1289 KB  
Article
Polycyclic Polyprenylated Acylphloroglucinol Derivatives from Hypericum acmosepalum
by Jiao Wang, Mengjiao Shi, Jiajia Wang, Jin Li and Tengfei Ji
Molecules 2019, 24(1), 50; https://doi.org/10.3390/molecules24010050 - 23 Dec 2018
Cited by 12 | Viewed by 4176 | Correction
Abstract
Hypericum acmosepalum belongs to the Hypericum genus of the Guttiferae family. The characteristic components in Hypericum are mainly a series of polycyclic polyprenylated acylphloroglucinols (PPAPs), flavonoids, and xanthones. Among them, the PPAPs have received much attention due to their novel structures and diverse [...] Read more.
Hypericum acmosepalum belongs to the Hypericum genus of the Guttiferae family. The characteristic components in Hypericum are mainly a series of polycyclic polyprenylated acylphloroglucinols (PPAPs), flavonoids, and xanthones. Among them, the PPAPs have received much attention due to their novel structures and diverse pharmacological activities and have become hot spots in organic chemistry and medicinal chemistry. However, there are few reports about the chemical constituents of Hypericum acmosepalum at present, especially the PPAPs. This research is dedicated to the study of the air-dried aerial parts of Hypericum acmosepalum, which were extracted with 95% EtOH under reflux, then suspended and successively partitioned with petroleum ether and ethyl acetate. Five PPAP derivatives were obtained using various chromatographic techniques, and their structures were determined by NMR spectroscopic data, including two new phloroglucinol derivatives, hyperacmosin A (1) and hyperacmosin B (2). Those compounds were evaluated for their neuroprotective effect using two models. Full article
Show Figures

Figure 1

Back to TopTop