Due to scheduled maintenance work on our servers, there may be short service disruptions on this website between 11:00 and 12:00 CEST on March 28th.
Sign in to use this feature.

Years

Between: -

Subjects

remove_circle_outline
remove_circle_outline
remove_circle_outline
remove_circle_outline
remove_circle_outline
remove_circle_outline
remove_circle_outline
remove_circle_outline
remove_circle_outline

Journals

remove_circle_outline
remove_circle_outline
remove_circle_outline
remove_circle_outline
remove_circle_outline
remove_circle_outline
remove_circle_outline
remove_circle_outline
remove_circle_outline
remove_circle_outline
remove_circle_outline
remove_circle_outline
remove_circle_outline
remove_circle_outline

Article Types

Countries / Regions

remove_circle_outline
remove_circle_outline
remove_circle_outline
remove_circle_outline
remove_circle_outline
remove_circle_outline
remove_circle_outline

Search Results (1,861)

Search Parameters:
Keywords = polyamide-11

Order results
Result details
Results per page
Select all
Export citation of selected articles as:
16 pages, 12978 KB  
Article
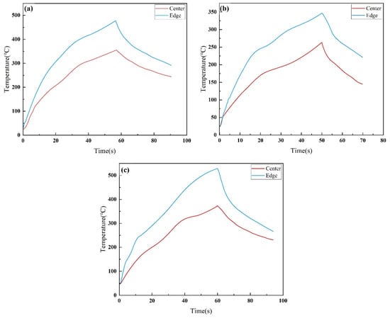
Effects of Welding Parameters and Film Thickness on the Joint Performance of CF/PA6 Resistance Welding with Perforated Stainless-Steel Mesh
by Shiyuan Wang, Yuanduo Yang, Zhanyi Geng, Sansan Ao and Yang Li
J. Compos. Sci. 2026, 10(4), 181; https://doi.org/10.3390/jcs10040181 - 27 Mar 2026
Abstract
Thermoplastic composite resistance welding boasts stable process, low cost and reliable quality, making it a dependable joining technique for such materials. This process employs a heating element (HE) as the sole heat source and therefore, it is critical in controlling the welding process. [...] Read more.
Thermoplastic composite resistance welding boasts stable process, low cost and reliable quality, making it a dependable joining technique for such materials. This process employs a heating element (HE) as the sole heat source and therefore, it is critical in controlling the welding process. This study proposed a perforated stainless-steel mesh (SSM) as the HE and investigated the effect of welding parameters and insulation film thickness on the joint performance of resistance welded carbon-fiber-reinforced polyamide 6 (CF/PA6). The results showed that the joint lap shear strength (LSS) increased first then decreased as the welding pressure, welding time and welding current increased. The maximum LSS reached 24.4 MPa when 0.2-mm-thick films were used. The joint failure mode was identified as blocky fiber peeling with compromised fiber continuity for the joints welded with 0.1-mm-thick and 0.3 mm-thick PA6 films. For the joints made with 0.2-mm-thick PA6 films, the joint failure mode was characterized by resin peeling from the fiber surface. Full article
(This article belongs to the Section Composites Manufacturing and Processing)
Show Figures

Figure 1

18 pages, 3294 KB  
Article
Optimization of Extraction Process for Flavonoids from Sonchus oleraceus L. and Evaluation of Anti-Inflammatory Activity of Luteoloside
by Ke Sheng, Junyao You, Shuai Tian, Yaling Lu, Jiamin Wu and Jianping Zhang
Molecules 2026, 31(7), 1105; https://doi.org/10.3390/molecules31071105 - 27 Mar 2026
Abstract
Sonchus oleraceus L., a member of the Asteraceae family native to Eurasia, is a herbaceous plant whose young stems and leaves are consumed globally as a medicinal and edible wild vegetable; it is rich in flavonoids and exhibits various pharmacological activities, including anti-inflammatory [...] Read more.
Sonchus oleraceus L., a member of the Asteraceae family native to Eurasia, is a herbaceous plant whose young stems and leaves are consumed globally as a medicinal and edible wild vegetable; it is rich in flavonoids and exhibits various pharmacological activities, including anti-inflammatory and anti-tumor effects. This study optimized the extraction process of flavonoids from Xinjiang S. oleraceus using response surface methodology and evaluated the anti-inflammatory activity of luteoloside in vitro. Based on single-factor experiments and Box–Behnken design, the effects of ethanol concentration, extraction time, solid-to-liquid ratio, and extraction temperature on flavonoid yield were investigated. The optimal extraction conditions were determined as ethanol concentration 62%, extraction time 30 min, solid-to-liquid ratio 1:91 g/mL, and extraction temperature 64 °C, with a flavonoid yield of 21.64 mg/g. After purification via polyamide column chromatography, the luteoloside content was determined by HPLC to be 44.06 μg/g. Cytotoxicity assays revealed that a luteoloside concentration of 100 μmol/L reduced the viability of Oryctolagus cuniculus colon epithelial cells to approximately 80%. ELISA results demonstrated that luteoloside significantly inhibited the release of pro-inflammatory factors, including TNF-α, while promoting the expression of the anti-inflammatory factor IL-10. These findings indicate that luteoloside effectively alleviates LPS-induced cellular inflammation. Full article
(This article belongs to the Section Natural Products Chemistry)
Show Figures

Figure 1

25 pages, 3193 KB  
Article
Process Factors in Long-Fiber Thermoplastic Compression Molding Materials
by Christoph Schelleis, Andrew Hrymak and Frank Henning
Polymers 2026, 18(7), 806; https://doi.org/10.3390/polym18070806 - 26 Mar 2026
Abstract
Long-fiber thermoplastic (LFT) materials are a versatile category of composite materials that can be directly compounded (LFT-D) in twin screw extruders and compression molded. Originating in the automotive sector, the LFT-D process is becoming increasingly attractive for other industries where low cycle times, [...] Read more.
Long-fiber thermoplastic (LFT) materials are a versatile category of composite materials that can be directly compounded (LFT-D) in twin screw extruders and compression molded. Originating in the automotive sector, the LFT-D process is becoming increasingly attractive for other industries where low cycle times, lightweight performance and recyclability are required. The purpose of this work is to summarize mechanical properties and findings from the investigations into LFT-D process–microstructure–property relationships and present a design of experiments (DoE) study based on the current state of the art. Primary parameters from LFT-D compounding, screw speed, fiber roving amount and polymer throughput mp are chosen as DoE factors. Polyamide 6 (PA6) is reinforced with a glass fiber (GF) mass fraction wf between wf = 20% and wf = 60%. Tensile, flexural and impact properties are chosen as DoE output parameters, characterized and discussed in relation to the state of the art. The unique microstructure of LFT-D materials, especially the existence of a charge and flow area as well as the fiber migration, is considered in the discussion. All mechanical properties characterized have a linear relation to wf. This study demonstrates the interactive relationship between the main factors and wf, which significantly influences the mechanical properties. This dependence of wf on the DoE factors is accounted for in advanced response contour plots proposed in this work. Parameter recommendations for the screw speed are reported by ranges of wf and polymer throughput for the goal of maximum mechanical properties or low coefficient of variations. At wf < 30% a low screw speed is recommended to improve most mechanical properties as well as the coefficient of variation. Full article
Show Figures

Figure 1

16 pages, 3930 KB  
Article
The Effect of Electro–Thermal Ageing of Polymer–Ceramic Nanocomposite Insulation on Dielectric Endurance
by Keyvan Rasti, Sathyamoorthy Dhayalan, Nick Tucker, Len Dissado and Nikola Chalashkanov
Energies 2026, 19(7), 1629; https://doi.org/10.3390/en19071629 - 26 Mar 2026
Abstract
This study investigates the electro-thermal ageing (ETA) behaviour of neat polyamide-6 (PA6) and PA6/barium titanate (BTO) nanocomposites. Time–to–breakdown measurements were performed at 333 K, 353 K, and 373 K at field strengths between 50 and 90 kV/mm to assess the impact of nanofiller [...] Read more.
This study investigates the electro-thermal ageing (ETA) behaviour of neat polyamide-6 (PA6) and PA6/barium titanate (BTO) nanocomposites. Time–to–breakdown measurements were performed at 333 K, 353 K, and 373 K at field strengths between 50 and 90 kV/mm to assess the impact of nanofiller level on lifetime to failure. The ageing experiment showed that moderate amounts of nanofiller improved the electro-thermal endurance while excessive filler addition (20 wt.%) led to faster breakdown. The Dissado–Montanari–Mazzanti (DMM) model was used to evaluate the ageing parameters for neat PA6 and PA6/10 wt.% BTO across all three temperatures. Neat PA6 and PA6/10 wt.% BTO both showed nearly identical activation enthalpy (H/k) values, indicating that the intrinsic thermally activated ageing mechanism of PA6 is preserved in the nanocomposite. Variations in the field-sensitivity parameters (C/k and b) align with an interpretation involving changes in charge transport and interfacial trapping introduced by the addition of BTO. Furthermore, analysis of all filler concentrations confirmed that 1–10 wt.% BTO maintains or slightly improves the time to breakdown, while 20 wt.% significantly accelerated the ageing process. This research forms part of the research programme of DPI, project #852. Full article
Show Figures

Figure 1

18 pages, 7894 KB  
Article
Laser Surface Microtexturing for Enhanced Adhesive Bonding in Steel–Polymer and Steel–Ceramic Joints
by Szymon Tofil, Leonardo Orazi, Vincenzina Siciliani, Cyril Mauclair, António B. Pereira, Sascha Stribick, Felix Hartmann, Jianhua Yao, Qunli Zhang, Liang Wang and Shuyang Lin
Appl. Sci. 2026, 16(6), 3010; https://doi.org/10.3390/app16063010 - 20 Mar 2026
Viewed by 107
Abstract
Laser surface microtexturing has emerged as an effective approach for improving the performance of adhesive joints between dissimilar materials. In this study, the influence of laser-generated micrometric surface features on the mechanical behavior of hybrid adhesive joints was investigated for two material systems: [...] Read more.
Laser surface microtexturing has emerged as an effective approach for improving the performance of adhesive joints between dissimilar materials. In this study, the influence of laser-generated micrometric surface features on the mechanical behavior of hybrid adhesive joints was investigated for two material systems: structural steel bonded to polyamide (PA66) and structural steel bonded to technical ceramic (Al2O3). Single-lap joints were manufactured using a two-component epoxy adhesive with two nominal bond-line thicknesses (0.1 mm and 1.0 mm). Prior to bonding, selected surfaces were modified by ultrashort-pulse laser microtexturing, producing well-defined circular features with characteristic depths on the order of tens of micrometers. The resulting microstructures were characterized using optical and scanning electron microscopy, and their geometric parameters were quantified through profilometric measurements. Mechanical performance was evaluated under shear and bending loading conditions. The results demonstrate a substantial increase in joint strength for laser-microtextured surfaces compared with non-textured references for both material combinations. The effect of surface microtexturing was more pronounced than the influence of adhesive layer thickness within the investigated range. These findings confirm that laser-induced surface microtexturing is a versatile and application-oriented surface preparation method capable of enhancing the reliability of adhesive bonding in hybrid metal–polymer and metal–ceramic assemblies. Full article
(This article belongs to the Special Issue The Applications of Laser-Based Manufacturing for Material Science)
Show Figures

Figure 1

23 pages, 1592 KB  
Article
Kinetic Investigation of Dyeing Polyamide Fabrics with Acid Dyestuff in Microwave and Conventional Heating Media
by Raşit Dağlı, Murat Teker and Ayşe Usluoğlu
Processes 2026, 14(6), 992; https://doi.org/10.3390/pr14060992 - 20 Mar 2026
Viewed by 200
Abstract
In this study, the dyeing kinetics of polyamide fabrics with acid dyes, such as Telon Blue M2R, under both conventional and microwave-assisted heating conditions were comprehensively investigated. While the conventional dyeing reaction was completed in 30 min, microwave-assisted dyeing was performed in the [...] Read more.
In this study, the dyeing kinetics of polyamide fabrics with acid dyes, such as Telon Blue M2R, under both conventional and microwave-assisted heating conditions were comprehensively investigated. While the conventional dyeing reaction was completed in 30 min, microwave-assisted dyeing was performed in the microwave device for 10 min. Dyeing kinetics were investigated as a function of reaction time, reaction concentration and dyeing temperatures. The K/S values (color depth) of the dyed fabrics were correlated with the concentration. A significant reduction in the dyeing process time for polyamide fabric was observed with microwave heating compared to the conventional method. Kinetic analysis revealed that the Pseudo-Second-Order (PSO) kinetic model provides a better fit to the experimental data on the diffusion process of acid dye in polyamide fabrics, as evidenced by higher correlation coefficients (R2) compared to the Pseudo-First-Order (PFO) model. The activation energy of the reaction in dyeing was found to be 63.27 kJ/mol, and the Arrhenius constant was determined as 7.20 × 1010 L/g·min in conventional media and 18.70 × 1010 L/g·min in microwave media. The Arrhenius factor in the microwave medium was more than two times higher than in the conventional media. Full article
Show Figures

Graphical abstract

21 pages, 4137 KB  
Article
Analysis of 3D-Printed Cycloidal Gear Degradation in a Run-to-Failure Test
by Krzysztof Olejarczyk, Marcin Wikło and Miroslaw Rucki
Appl. Sci. 2026, 16(6), 2866; https://doi.org/10.3390/app16062866 - 16 Mar 2026
Viewed by 180
Abstract
The paper presents results of a degradation analysis of polyamide 12 reinforced with carbon fibers used for additive manufacturing of cycloidal gear. Both FEM simulation and a fatigue test indicated the ability of the material to withstand loads during the work of cycloidal [...] Read more.
The paper presents results of a degradation analysis of polyamide 12 reinforced with carbon fibers used for additive manufacturing of cycloidal gear. Both FEM simulation and a fatigue test indicated the ability of the material to withstand loads during the work of cycloidal transmission. However, a run-to-failure (RTF) test revealed critical failure after 105 cycles, with displacement and damage of the material in the area close to bearing instead of expected areas of teeth being in friction with pins. Acceleration analysis with time synchronous averaging (TSA) confirmed rapid degradation of the material’s strength at the end of the RTF test. It was found that the PA12 cycloidal gear damage was a result of fatigue accelerated by the temperature increase under the cyclic loads that took place during the RTF test. In particular, displacement of 0.2 mm did not appear in the specimens tested at 27 °C even after 105 cycles, while at 140 °C this value was reached almost immediately. At 70 °C and 90 °C, plastic deformation of 0.2 mm was reached after 30,000 and 5000 cycles, respectively. The finding can be used in a predictive maintenance system of such cycloidal transmission with 3D-printed polymer gears. Full article
Show Figures

Figure 1

16 pages, 2862 KB  
Article
Improved Thermo-Mechanical and Flame Resistance Behaviour of Polyamide 6/Lignin Microcomposites
by Alessandro Sorze, Roberto Miani, Claudio Gioia, Giulia Fredi and Andrea Dorigato
Macromol 2026, 6(1), 18; https://doi.org/10.3390/macromol6010018 - 14 Mar 2026
Viewed by 180
Abstract
This work focused on the investigation of sulfonated lignin as a novel and sustainable reinforcing filler for polyamide 6 (PA6) composites. Different formulations were thus prepared by melt compounding, varying the lignin content (5, 10, and 20 wt%). The interaction between lignin and [...] Read more.
This work focused on the investigation of sulfonated lignin as a novel and sustainable reinforcing filler for polyamide 6 (PA6) composites. Different formulations were thus prepared by melt compounding, varying the lignin content (5, 10, and 20 wt%). The interaction between lignin and PA6 was systematically studied through rheological, structural, morphological, thermo-mechanical, and flammability tests. Rheological measurements showed an increase in the complex viscosity and viscoelastic moduli with increasing lignin content, suggesting restricted polymer chain mobility and the formation of strong physical interactions between the molten PA6 and the lignin particles. Microstructural observations through FESEM highlighted a good dispersion of lignin particles and efficient filler–matrix interfacial adhesion. Moreover, the addition of lignin significantly increased the tensile stiffness of the composites (up to 3.4 GPa), and a lignin content of 10 wt% enhanced the tensile strength up to 58.4 MPa (i.e., +45% compared to neat PA6) without compromising the ductility. Finally, UL-94 tests revealed an improvement in flame retardancy at higher lignin contents due to the intrinsic char-forming ability of this filler. These results demonstrated that lignin could be an effective multifunctional bio-based filler that can improve the thermo-mechanical performance of PA6 without the need for compatibilizing agents. Full article
(This article belongs to the Special Issue Advances in Starch and Lignocellulosic-Based Materials)
Show Figures

Graphical abstract

26 pages, 6244 KB  
Article
Modification of Polysulfone Substrate with GO–PAMAM Nanocomposite for Improved Desalination Performance
by Mohd Muzammil Zubair, Ahmed T. Yasir, Abdelbaki Benamor and Syed Javaid Zaidi
Membranes 2026, 16(3), 101; https://doi.org/10.3390/membranes16030101 - 10 Mar 2026
Viewed by 578
Abstract
Globally, freshwater scarcity is driving the urgent demand for advanced and new desalination technologies to overcome the shortage of clean water. Reverse osmosis (RO) membranes dominate seawater and brackish water treatment but are limited by the permeability–selectivity trade-off, fouling, and structural instability. To [...] Read more.
Globally, freshwater scarcity is driving the urgent demand for advanced and new desalination technologies to overcome the shortage of clean water. Reverse osmosis (RO) membranes dominate seawater and brackish water treatment but are limited by the permeability–selectivity trade-off, fouling, and structural instability. To overcome these challenges, we employed a phase inversion process to fabricate polysulfone (PSF) supports embedded with a graphene oxide–poly(amidoamine) (GO-PAMAM) nanocomposite at three concentrations (0.03, 0.06, and 0.10 wt%), alongside a pristine control membrane with no GO-PAMAM. Systematic variation in GO-PAMAM loading revealed that a 0.06 wt% nanoparticle helps in producing a more uniform polyamide layer that achieves a high NaCl rejection (95.88%) and higher water flux (42.6 L m−2 h−1). The performance was evaluated at an operating pressure of 20 bar with a feed flow rate of 4 L min−1. The optimized membrane also demonstrated an improved fouling resistance, retaining 93% of its initial flux after fouling. This scalable approach highlights substrate-level modification as an effective strategy for next-generation RO membranes, advancing sustainable and energy-efficient desalination to meet escalating global water demands. Full article
Show Figures

Figure 1

20 pages, 4659 KB  
Article
Optimisation of 3D Printing Parameters to Enhance the Ultimate Tensile Strength of PA6 Polymer Products
by Jure Marijić, Mirko Karakašić, Ivan Grgić and Željko Ivandić
Eng 2026, 7(3), 127; https://doi.org/10.3390/eng7030127 - 10 Mar 2026
Viewed by 285
Abstract
Additive manufacturing (AM) technologies are a key tool in producing complex and functional polymer parts, with Fused Deposition Modelling (FDM) emerging as the most widely used technique. PA6 polyamide is gaining increasing importance due to its high strength, wear resistance and processability, making [...] Read more.
Additive manufacturing (AM) technologies are a key tool in producing complex and functional polymer parts, with Fused Deposition Modelling (FDM) emerging as the most widely used technique. PA6 polyamide is gaining increasing importance due to its high strength, wear resistance and processability, making it suitable for polymer product manufacturing. However, the mechanical properties of PA6 FDM components are largely determined by process parameters, and their optimisation is necessary to achieve stable and reliable properties. In this study, the influence of nozzle temperature, infill density and infill geometry on the tensile strength of PA6 specimens was investigated. The Central Composite Design (CCD) method was used for process modelling and optimisation, along with statistical analysis and experimental validation. The individual effects of the analysed parameters were confirmed by a preliminary experiment, while a detailed analysis of their mutual relationships was enabled through the main experiment. Analysis of the results showed that increasing both temperature and infill density positively affects tensile strength, regardless of the infill structure. The accuracy and reliability of the model were confirmed by validation, with a coefficient of determination R2 = 0.8958 and a high level of agreement between experimental and predicted data. By optimising the process parameters, maximum tensile stresses of 17.705 MPa were achieved with an infill density of 74.142%, a Triangle-Hexa infill pattern, and a nozzle temperature of 254.142 °C. The confirmation experiment validated the optimised parameters, and the results provide a statistically validated framework for optimising the tensile performance of PA6 components manufactured by FDM under controlled laboratory conditions. Full article
(This article belongs to the Special Issue Emerging Trends and Technologies in Manufacturing Engineering)
Show Figures

Figure 1

22 pages, 4082 KB  
Article
Microplastics in Commercial Salts in Guayaquil, Ecuador: Occurrence, Characterization, and Consumer Awareness
by Brian Villafuerte-Campi, Beatriz Pernía, Éricka Maldonado-Narváez, José R. Mora, Maritza Guaya-Guaya, Maritza Cárdenas-Calle, Josué Zambrano, Angie Calva-Ruiz and Jenny Rosero-Lozano
Microplastics 2026, 5(1), 53; https://doi.org/10.3390/microplastics5010053 - 10 Mar 2026
Viewed by 1481
Abstract
Background: Microplastics (MPs) are increasingly recognized as emerging contaminants in food products, including edible salt. Their presence raises concerns due to potential health impacts and the lack of regulatory frameworks in many countries, including Ecuador. This study represents the first systematic assessment of [...] Read more.
Background: Microplastics (MPs) are increasingly recognized as emerging contaminants in food products, including edible salt. Their presence raises concerns due to potential health impacts and the lack of regulatory frameworks in many countries, including Ecuador. This study represents the first systematic assessment of the occurrence of MPs in commercial salts marketed in Guayaquil and assesses public awareness and willingness to pay for contaminant-free salt. Methods: A total of 45 salt samples covering marine, table, rock, pink, and blue salt, were collected from supermarkets and local stores in Guayaquil. Microplastics were extracted through filtration and oxidative digestion and characterized morphologically under a stereomicroscope. Polymer composition was confirmed using Fourier-transform infrared spectroscopy (FTIR). Additionally, a digital survey was administered to 435 residents to gauge consumer awareness and perceptions. Results: Microplastics were detected in 100% of the salt samples analyzed. Rock and marine salts showed the highest concentrations (>900 items/Kg). Fibers, particularly blue ones, were the predominant morphology, and FTIR analysis identified polyethylene terephthalate (PET), polyamides, and natural fibers. Survey results indicated that only 51.5% of respondents had prior knowledge of microplastic contamination, but 85.7% expressed willingness to pay more for safer salt, and 95.4% supported regulatory measures. Full article
(This article belongs to the Collection Feature Papers in Microplastics)
Show Figures

Figure 1

24 pages, 1497 KB  
Article
Effects of Ozonation and Anaerobic Digestion on the Physicochemical Properties of Low-Density Polyethylene, Polypropylene, and Polyamide 66 Microplastics
by Alberto Zoccali, Riccardo Ciapponi, Serena Ducoli, Stefano Turri, Stefania Federici, Michela Peroni, Eleonora Pasinetti and Francesca Malpei
Microplastics 2026, 5(1), 52; https://doi.org/10.3390/microplastics5010052 - 9 Mar 2026
Viewed by 237
Abstract
Microplastics (MPs) are a growing environmental concern due to their ubiquitous presence, especially in wastewater treatment plants (WWTPs), where they are transferred and accumulated in sludge and can be reintroduced into the environment through sludge reuse. The persistence of MPs highlights the need [...] Read more.
Microplastics (MPs) are a growing environmental concern due to their ubiquitous presence, especially in wastewater treatment plants (WWTPs), where they are transferred and accumulated in sludge and can be reintroduced into the environment through sludge reuse. The persistence of MPs highlights the need for effective and tailored treatment strategies to enhance their removal or management. This study investigates the effects and impacts of ozonation as a pretreatment method for sludge, followed by anaerobic digestion (AD), on low-density polyethylene (LDPE), polypropylene (PP), and polyamide 66 (PA(66)) MPs. Different ozone doses, ranging from 5 to 50 gO3/gMPs, were tested in both deionized water and synthetic sludge. The study evaluated MPs degradation through mass variation measurements, Fourier Transform Infrared spectroscopy (FTIR), Differential Scanning Calorimetry (DSC), and Carbonyl Index (CI) analysis. Results showed that ozonation induced chemical modifications in MPs, increasing CI values and leading to the formation of oxygen-containing functional groups, particularly carbonyls. FTIR analysis confirmed the development of new absorption peaks at 1716 cm−1 and 1710 cm−1 for LDPE and PP, respectively, while PA(66) exhibited a shift in its carbonyl peak from 1739 cm−1 to 1754 cm−1. DSC analysis revealed a reduction in crystallinity for all tested polymers, suggesting increased structural disorder. However, no significant MPs mass reduction was observed, and AD did not further enhance MPs degradation. These findings highlight ozonation as a promising strategy for modifying MPs surface chemistry and potentially increasing their environmental degradability. Full article
Show Figures

Graphical abstract

19 pages, 3942 KB  
Article
Microplastic Occurrence in Ethnic Fermented Fish Products of Northeast India
by Soibam Ngasotter, K. A. Martin Xavier, Midhun M. Nair, Sandhiya Venkatesh, Tao Kara, Rupali Das, Soibam Khogen Singh, Sanjenbam Bidyasagar Singh and George Ninan
Microplastics 2026, 5(1), 51; https://doi.org/10.3390/microplastics5010051 - 9 Mar 2026
Viewed by 745
Abstract
Microplastics (MPs) have emerged as a growing environmental and food safety concern, with their presence widely reported in aquatic organisms and seafood. However, their occurrence in traditionally processed and fermented fish products remains unexplored. This study provides the first evidence of MP contamination [...] Read more.
Microplastics (MPs) have emerged as a growing environmental and food safety concern, with their presence widely reported in aquatic organisms and seafood. However, their occurrence in traditionally processed and fermented fish products remains unexplored. This study provides the first evidence of MP contamination in ethnic fermented fish products of Northeast India, namely Ngari, Hentak, and Shidal. MPs were analyzed for abundance, size distribution, morphology, color, and polymer composition using microscopic examination and Laser Raman Spectroscopy. The average MP abundance was 16.50 ± 5.18 MPs/g in Ngari, 15.73 ± 4.83 MPs/g in Shidal, and 20.50 ± 3.00 MPs/g in Hentak. Fibers and fragments were the dominant morphotypes across all products, with transparent and black particles occurring most frequently. Polymer characterization revealed polyethylene (PE) and polypropylene (PP) as the predominant polymers, followed by polyamide (PA), polyvinyl chloride (PVC), and polystyrene (PS). Size distribution analysis showed that MPs in the 101–300 µm range were most abundant in Ngari and Shidal, whereas smaller MPs (<50 µm) predominated in Hentak. The use of whole fish, including the gastrointestinal tract and gills, primary sites for MP accumulation, along with non-standardized fermentation practices and atmospheric deposition during retail, likely contributes to contamination. These findings highlight an overlooked route of human exposure to MPs through traditional fermented foods and underscore the need for improved processing practices and mitigation strategies to safeguard food safety and sustainability. Full article
(This article belongs to the Collection Feature Papers in Microplastics)
Show Figures

Graphical abstract

14 pages, 6472 KB  
Article
Processing–Property Relationships in Melt Processing of Polyamide–Elastane Textile Blends
by Sabrina Bianchi, Flavia Bartoli, Michele Pinna, Pierpaolo Minei, Daniele Filidei, Ilaria Canesi, Noemi Cei, Daniele Spinelli and Maria Beatrice Coltelli
AppliedChem 2026, 6(1), 19; https://doi.org/10.3390/appliedchem6010019 - 9 Mar 2026
Viewed by 288
Abstract
The recycling of polyamide 6 (PA) and elastane (EL) from post-consumer textiles is increasingly relevant for sustainable materials development. This study investigates blends obtained from a commercial PA fabric containing 16% EL, processed via extrusion under various conditions to evaluate the influence of [...] Read more.
The recycling of polyamide 6 (PA) and elastane (EL) from post-consumer textiles is increasingly relevant for sustainable materials development. This study investigates blends obtained from a commercial PA fabric containing 16% EL, processed via extrusion under various conditions to evaluate the influence of temperature, screw type, and speed on phase morphology and thermo-mechanical performance. The results demonstrate that processing parameters, particularly temperature, significantly affect melt viscosity and the final mechanical properties of the blends. Enhanced ductility was observed in all recycled samples compared to pure PA, indicating that mechanical recycling is a promising strategy for PA/EL textile waste. These findings support the feasibility of this approach, while highlighting the need for further research into compatibilization techniques and industrial scalability. Full article
Show Figures

Graphical abstract

29 pages, 2844 KB  
Article
Shelf Life Extension of Fresh Buffalo Meat Using Spice Powders and Lavender Essential Oil During Storage Under Refrigeration
by Athanasia P. Marangeli, Vassilios K. Karabagias, Glykeria E. Angelaki, Dimitrios G. Lazaridis, Nikolaos D. Andritsos, Olga Malisova and Ioannis K. Karabagias
Foods 2026, 15(5), 947; https://doi.org/10.3390/foods15050947 - 7 Mar 2026
Viewed by 286
Abstract
We studied the shelf life of fresh buffalo meat in polyamide/polyethylene (PA/PE) packaging during refrigerated storage for 14 days, when treated with cinnamon–clove (C-C) and nutmeg (Nut) powders, along with lavender essential oil (LEO). Microbiological (total viable count, Pseudomonas spp., Brochothrix thermosphacta, [...] Read more.
We studied the shelf life of fresh buffalo meat in polyamide/polyethylene (PA/PE) packaging during refrigerated storage for 14 days, when treated with cinnamon–clove (C-C) and nutmeg (Nut) powders, along with lavender essential oil (LEO). Microbiological (total viable count, Pseudomonas spp., Brochothrix thermosphacta, Enterobacteriaceae, and lactic acid bacteria), antibacterial (Salmonella Typhimurium and Staphylococcus aureus), physicochemical and biochemical (pH, moisture, color, total fat, hemoglobin and heme iron, 2-thiobarbituric acid, mercaptans, antioxidant activity, and total phenolic content), and sensory (color, odor, texture, and taste) analyses were carried out. The results showed that C-C and Nut powder extracts exhibited significant (p < 0.05) antioxidant and antibacterial activity, higher than LEO; however, all treatments delayed lipid oxidation. Based primarily on sensory evaluation, the shelf life extension of buffalo meat was 2–3 days for LEO and Nut powder, and 4–6 days for C-C powder. Factor analysis indicated the critical days of refrigerated storage for the evolution of spoilage-related biochemical parameters. Full article
(This article belongs to the Special Issue Meat and Meat Products: Strategies for Valorization and Preservation)
Show Figures

Figure 1

Back to TopTop