Sign in to use this feature.

Years

Between: -

Subjects

remove_circle_outline
remove_circle_outline
remove_circle_outline
remove_circle_outline
remove_circle_outline
remove_circle_outline
remove_circle_outline
remove_circle_outline
remove_circle_outline

Journals

remove_circle_outline
remove_circle_outline
remove_circle_outline
remove_circle_outline
remove_circle_outline
remove_circle_outline
remove_circle_outline
remove_circle_outline

Article Types

Countries / Regions

remove_circle_outline
remove_circle_outline
remove_circle_outline
remove_circle_outline
remove_circle_outline

Search Results (823)

Search Parameters:
Keywords = plant-growth-promoting traits

Order results
Result details
Results per page
Select all
Export citation of selected articles as:
18 pages, 3567 KB  
Article
Desert Plant Seed Endophytes: A Reservoir of Stress-Adapted Bacillus Strains for Enhancing Wheat Salinity Tolerance
by Kerong Wang, James F. White, Zhaohua Zhu, Wenqiang Zhang, Xinrong Li and Shanjia Li
Microorganisms 2026, 14(2), 363; https://doi.org/10.3390/microorganisms14020363 - 4 Feb 2026
Abstract
Land desertification poses a major ecological challenge and threatens agricultural productivity. This study investigated the seed endophytic microbiomes of desert plants as a potential resource for mitigating salt stress in crops. Using high-throughput sequencing, we characterized the bacterial and fungal communities within seeds [...] Read more.
Land desertification poses a major ecological challenge and threatens agricultural productivity. This study investigated the seed endophytic microbiomes of desert plants as a potential resource for mitigating salt stress in crops. Using high-throughput sequencing, we characterized the bacterial and fungal communities within seeds of 12 desert plant species. Dominant taxa included Firmicutes (particularly Bacillus), Bacteroidota, Proteobacteria, Ascomycota, and Basidiomycota. Culturable bacteria were subsequently isolated from Haloxylon ammodendron (C.A.Mey.) Bunge (HB) and Hedysarum scoparium Fisch. & C.A.Mey. (HSA) seeds. These isolates were screened for plant growth-promoting (PGP) traits and tolerance to salt (NaCl) and alkali (NaHCO3). Selected strains, including the high indole-3-acetic acid (IAA)-producing Bacillus sp. HB-4, were used to inoculate wheat (Triticum aestivum L.) under 150 mM NaCl or 150 mM NaHCO3 stress. Inoculation with strain HB-4 significantly improved wheat growth under stress. This improvement was associated with increased chlorophyll and proline content, enhanced activities of the antioxidant enzymes catalase and peroxidase, and reduced levels of malondialdehyde, a marker of oxidative damage. Our results demonstrate that desert plant seeds harbor taxonomically distinct and functionally resilient endophytes. The successful application of a desert-adapted Bacillus strain to alleviate salt stress in wheat highlights the potential of such microbiomes as a novel source of inoculants for sustainable agriculture in saline-affected regions. Full article
Show Figures

Figure 1

18 pages, 1431 KB  
Article
Integration of Biochar into Soil Unravels Protective Mechanisms Against Plastic-Induced Stress in Lens culinaris by Modulating Physiological Traits, Antioxidant Defense, and Methylglyoxal Detoxification Systems
by Riti Thapar Kapoor and Mirza Hasanuzzaman
Plants 2026, 15(3), 470; https://doi.org/10.3390/plants15030470 - 3 Feb 2026
Viewed by 40
Abstract
Plastics have emerged as a significant pollutant, posing a serious threat to the sustainability of the soil ecosystem and food security because of their long-term persistence, resilience, and robustness under different environmental conditions. The present investigation explored the impact of different doses of [...] Read more.
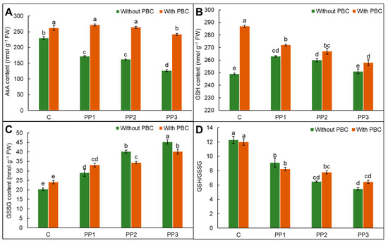
Plastics have emerged as a significant pollutant, posing a serious threat to the sustainability of the soil ecosystem and food security because of their long-term persistence, resilience, and robustness under different environmental conditions. The present investigation explored the impact of different doses of polypropylene (PP) on lentil plants and attenuation of the adverse impacts of PP by the application of pineapple fruit peel biochar (PBC). Lentil (Lens culinaris) plants exposed to PP treatment reduced morphological traits and relative water contents, reflecting photosynthetic injuries, a rise in lipid peroxidation, and electrolyte leakage. Utilization of PBC derived from waste biomass enhanced the growth attributes of lentils and alleviated PP-incited oxidative stress impacts. Polypropylene stress enhanced oxidative stress and increased enzymatic and non-enzymatic antioxidant variables in lentil plants. Antioxidant enzymes superoxide dismutase, catalase, ascorbate peroxidase, glutathione reductase, and glyoxalase enzymes were markedly upregulated in lentil after PBC amendment in PP3-treated soil. There was a significant reduction in methylglyoxal content by the activities of glyoxylase enzymes, minimizing the negative impacts of PP. Therefore, soil amendment with PBC protected lentil plants from PP-instigated oxidative disruption by modulating activities of antioxidant defense and glyoxalase system. Production of PBC from biomass wastes results in a safe, cost-effective, and ecofriendly material that can be used at the industrial level for the cultivation of crops in PP-contaminated soil. The novelty of the present research lies in promoting soil management practices and fostering our understanding of waste materials reutilization as renewable assets to combat the ecological implications of plastic pollution, and it emphasizes the treatment of plastic wastes with other waste materials and their practical applications to overcome plastic pollution. Full article
Show Figures

Figure 1

21 pages, 1566 KB  
Article
Isolation and Characterisation of Plant Growth-Promoting Rhizobacteria for Improving Growth and Water/Salt Stress Resilience in Lettuce
by Diana Di Gioia, Francesca Gaggìa, Marco Bosco, Elia Pagliarini and Loredana Baffoni
Microorganisms 2026, 14(2), 353; https://doi.org/10.3390/microorganisms14020353 - 3 Feb 2026
Viewed by 44
Abstract
Plant Growth-Promoting Rhizobacteria (PGPR), represent a promising tool for the development of sustainable agriculture practices. Although numerous strains have been described in the literature, their characterisation often overlooks the ability to sustain functional activity under common abiotic stress conditions, such as water deficit [...] Read more.
Plant Growth-Promoting Rhizobacteria (PGPR), represent a promising tool for the development of sustainable agriculture practices. Although numerous strains have been described in the literature, their characterisation often overlooks the ability to sustain functional activity under common abiotic stress conditions, such as water deficit and high salinity. The present study aimed to isolate putative PGPR strains from different environmental and biological matrices, characterise their key plant growth-promoting traits, and evaluate their effectiveness in improving plant growth under water and salt stress conditions. The isolated strains were initially tested in vitro for phytohormone production, phosphate solubilisation, and siderophore production. Selected Bacillus and Pseudomonas strains exhibiting the most promising traits were tested in a preliminary greenhouse pot test using lettuce (Lactuca sativa), followed by assays under drought stress (50% water reduction) and salt stress (100 mM NaCl). The results demonstrated that the two Bacillus velezensis strains (PB_8 and CSS_12) significantly enhanced plant growth by increasing foliar biomass and root development improving pigment content, and mitigating stress-induced damage. Overall, these findings support the potential of PGPR-based strategies for low-impact agricultural practices and enhancing plant resilience under stress conditions. Full article
(This article belongs to the Special Issue Rhizosphere Bacteria and Fungi That Promote Plant Growth)
Show Figures

Figure 1

20 pages, 6433 KB  
Article
Metabolite-Mediated Alleviation of Iron Deficiency and Growth Promotion of Malus hupehensis by Bacillus licheniformis LCDD6 in Calcareous Soil
by Jie Ma, Xin Ning, Jing Li, Shanshan Dai, Feng Sun, Hui Li, Shanshan Sun and Yanqin Ding
Microorganisms 2026, 14(2), 349; https://doi.org/10.3390/microorganisms14020349 - 3 Feb 2026
Viewed by 169
Abstract
Calcareous soils are typically deficient in essential nutrients such as iron, phosphorus, and potassium, which frequently results in nutrient deficiency in fruit trees. Bacillus licheniformis LCDD6 markedly enhanced Malus hupehensis seedling growth and plant iron nutrition in calcareous soil. This study aimed to [...] Read more.
Calcareous soils are typically deficient in essential nutrients such as iron, phosphorus, and potassium, which frequently results in nutrient deficiency in fruit trees. Bacillus licheniformis LCDD6 markedly enhanced Malus hupehensis seedling growth and plant iron nutrition in calcareous soil. This study aimed to elucidate the mechanism underlying these beneficial effects of strain LCDD6 under iron deficiency. Transcriptomic analysis revealed that iron deficiency induced metabolic reprogramming in strain LCDD6, characterized by a significant upregulation of genes involved in the biosynthesis of the siderophore bacillibactin and plant growth hormone indoleacetic acid (IAA). Consistently, metabolomic profiling identified bacillibactin and IAA as the dominant metabolites produced under iron-deficient conditions. A 60-day pot experiment further demonstrated that the cell-free fermentation broth of strain LCDD6 significantly enhanced plant growth and rhizosphere soil enzyme activities. The crude bacillibactin extract derived from the fermentation exerted the strongest effects on plant growth and iron accumulation, whereas IAA preferentially stimulated root development and promoted plant phosphorus accumulation. Additionally, different metabolites exerted distinct and selective effects on the rhizosphere microbial community, with fungi showing stronger and more metabolite-specific responses than bacteria. The crude bacillibactin extract enriched fungal taxa, particularly Coprinellus, which showed strong positive correlations with plant growth traits and iron accumulation, while Stachybotrys, enriched under IAA treatment, was positively correlated with plant phosphorus content. Overall, strain LCDD6 promotes plant growth under iron-deficient conditions through the coordinated action of multiple metabolites, with bacillibactin as the primary contributor and IAA providing complementary effects. These findings offer mechanistic insight and a scientific basis for developing Bacillus-based biofertilizers to improve nutrient acquisition in calcareous soils. Full article
(This article belongs to the Section Environmental Microbiology)
Show Figures

Graphical abstract

23 pages, 2095 KB  
Article
Increased Drought Tolerance in Lagenaria siceraria by Indigenous Bacterial Isolates from Coastal Environments in Chile: Searching for the Improvement of Rootstocks for Cucurbit Production
by Rodrigo Pérez, Ariel Salvatierra, Paula Pimentel, Guillermo Toro, Antonieta Ruiz, Ricardo Aroca, Luis Villalobos, Tiare Inostroza, Felipe González, Christian Santander, Cecilia García and Pablo Cornejo
Agriculture 2026, 16(3), 341; https://doi.org/10.3390/agriculture16030341 - 30 Jan 2026
Viewed by 211
Abstract
Drought is one of the most limiting abiotic stresses for agricultural production, especially in horticultural crops grown in arid and semi-arid areas. In the present study, we evaluated the potential of bacterial isolates obtained from coastal environments in Chile to improve drought tolerance [...] Read more.
Drought is one of the most limiting abiotic stresses for agricultural production, especially in horticultural crops grown in arid and semi-arid areas. In the present study, we evaluated the potential of bacterial isolates obtained from coastal environments in Chile to improve drought tolerance in Lagenaria siceraria, a plant species increasingly used as a rootstock for cucurbit cropping. Rhizosphere bacteria were isolated from Sicyos baderoa, the only native cucurbit species of the Chilean coast, from which four isolates with plant growth-promoting traits, such as indole-3-acetic acid production, phosphorus solubilization, nitrogen fixation, and siderophore production, were selected. These isolates were inoculated on two L. siceraria genotypes, Illapel and Osorno, under both normal irrigation and water deficit conditions. The results showed that Peribacillus frigoritolerans showed a clearer positive effect on biomass and net photosynthesis under water deficit in the Illapel genotype, increasing shoot biomass by up to ~75% and restoring net photosynthetic rates by up to ~260% relative to non-inoculated drought-stressed plants. In contrast, responses associated with Staphylococcus succinus and those observed in the Osorno genotype were mainly expressed as trait- and tissue-specific adjustments, consistent with a more stabilizing response rather than broad growth stimulation. Additionally, malondialdehyde levels were reduced by up to ~25%, while free proline accumulation increased by more than 100% under water deficit. In contrast, total phenolic compounds showed more variable responses, indicating genotype- and strain-specific adjustment of antioxidant metabolism. Overall, the observed responses were heterogeneous and strongly dependent on the specific strain–genotype–trait combination and, therefore, should be interpreted as preliminary evidence supporting the potential value of native rhizobacteria for improving early drought-related traits in cucurbit rootstocks. Among the tested strains, Peribacillus frigoritolerans emerged as the most promising candidate for enhancing early drought tolerance in responsive genotypes such as Illapel, while highlighting the need for follow-up studies under replicated nursery and field conditions, including grafted plants, multiple drought intensities and combined inoculant strategies. Full article
(This article belongs to the Special Issue Abiotic Stress Responses in Horticultural Crops—2nd Edition)
Show Figures

Figure 1

20 pages, 696 KB  
Article
Functional Profiling of Kiwifruit Phyllosphere Bacteria: Copper Resistance and Biocontrol Potential as a Foundation for Microbiome-Informed Strategies
by Vinicius Casais, Joana Pereira, Eva Garcia, Catarina Coelho, Daniela Figueira, Aitana Ares, Igor Tiago and Joana Costa
Microorganisms 2026, 14(2), 321; https://doi.org/10.3390/microorganisms14020321 - 29 Jan 2026
Viewed by 252
Abstract
Bacterial canker, caused by Pseudomonas syringae pv. actinidiae (Psa) is a major threat to global kiwifruit production. Copper-based bactericides remain widely used, but increasing resistance highlights the urgency of developing sustainable alternatives. Understanding the functional capabilities of phyllosphere bacteria under copper pressure is [...] Read more.
Bacterial canker, caused by Pseudomonas syringae pv. actinidiae (Psa) is a major threat to global kiwifruit production. Copper-based bactericides remain widely used, but increasing resistance highlights the urgency of developing sustainable alternatives. Understanding the functional capabilities of phyllosphere bacteria under copper pressure is critical for designing microbiome-informed management strategies. This study provides a culture-based functional inventory of bacteria associated with Actinidia chinensis var. deliciosa leaves from Portuguese orchards under long-term copper management, aiming to identify native taxa with traits relevant to plant health and resilience. A total of 1058 isolates were recovered and grouped into 261 Random Amplification of Polymorphic DNA (RAPD) clusters, representing 58 species across 29 genera. Representative strains were screened for Plant Growth-Promoting (PGP) traits (Indole-3-acetic acid (IAA), siderophore production, phosphate solubilization, ammonia production), copper tolerance, and in vitro antagonism against Psa. Copper resistance was widespread (53.3% of isolates with MIC ≥ 0.8 mM), including the first evidence of a highly copper-resistant PSA strain in Portuguese kiwifruit orchards and an exceptionally resistant non-pathogenic strain closely related to Erwinia iniecta (MIC 2.8 mM). A subset of 25 isolates combined all four PGP traits, and several also exhibited antagonism against Psa in vitro, among them Bacillus pumilus consistently supressed pathogen growth. Notably, antagonistic and multifunctional traits co-occurred in some isolates, highlighting promising candidates for integrated biocontrol strategies. Overall, the findings reveal a functionally diverse and copper-resilient collection of cultured bacteria, offering both challenges and opportunities for microbiome-based disease management. This work establishes a robust functional basis for subsequent in planta validation and the development of sustainable, microbiome-informed approaches for Psa control. Full article
Show Figures

Figure 1

16 pages, 2803 KB  
Article
Coupling Effects of Water and Nitrogen on the Morphological Plasticity and Photosynthetic Physiology of Piptanthus nepalensis Seedlings: Implications for Ecological Restoration on the Qinghai–Tibet Plateau
by Yanying Han, Minghang Hu, Wenqiang Huang, Zheng Wu, Lingchen Tong, Shaobing Zhang and Yanhui Ye
Nitrogen 2026, 7(1), 16; https://doi.org/10.3390/nitrogen7010016 - 29 Jan 2026
Viewed by 87
Abstract
Water and nitrogen supply are key factors limiting the establishment of alpine plant seedlings and the efficiency of ecological restoration on the Tibetan Plateau. As an endemic shrub to Tibet, the morphological and physiological response mechanisms of Piptanthus nepalensis (Hook.) D. Don to [...] Read more.
Water and nitrogen supply are key factors limiting the establishment of alpine plant seedlings and the efficiency of ecological restoration on the Tibetan Plateau. As an endemic shrub to Tibet, the morphological and physiological response mechanisms of Piptanthus nepalensis (Hook.) D. Don to coupled water and nitrogen stress remain poorly understood. This study employed a pot experiment with a completely randomized two-factor design, incorporating five water gradients (0–100% field capacity, FC) and five nitrogen levels (0–4 g·plant−1 urea). The aim was to elucidate the regulatory mechanisms of water/nitrogen coupling on Piptanthus nepalensis growth, physiology, and morphogenesis. The results indicated the following: (1) A significant water/nitrogen coupling effect was observed, with optimal water/nitrogen combinations producing pronounced synergistic effects. Principal component analysis (PCA) revealed that the first two axes cumulatively explained 99.32% of the morphological variation. The W3N3 treatment (40–60% FC water + 2 g·plant−1 nitrogen) exhibited optimal growth traits and maximum leaf elongation, establishing the optimal water and fertilizer management threshold for this species. (2) Confronted with two starkly contrasting stresses—drought (W4, W5) and waterlogging (W1)—plants adopted convergent “conservative” morphological adaptation strategies (significantly reduced leaf length and width) to lower metabolic expenditure. (3) Photosynthetic physiological analysis revealed that under extreme water deficiency (W5) or waterlogging (W1) stress, intercellular CO2 concentration (Ci) paradoxically increased, indicating a shift in photosynthetic suppression mechanisms from stomatal limitation to non-stomatal limitation (metabolic injury). (4) The Mantel Test confirmed that photosynthetic physiological traits significantly drove morphological trait variation (p < 0.001), establishing a close feedback loop between “physiological function and morphological structure”. Conclusions: Moderate water deficit (40–60% FC) combined with moderate nitrogen fertilization (2 g·plant−1) effectively alleviates non-stomatal limitation and releases morphological constraints, thereby promoting rapid growth in Piptanthus nepalensis. This study reveals the phenotypic plasticity and convergent adaptation mechanisms of Piptanthus nepalensis under water/nitrogen co-stress, providing precise water and fertilizer management guidelines for vegetation restoration in degraded ecosystems of Tibet. Full article
Show Figures

Figure 1

16 pages, 1668 KB  
Article
Indigenous Olive Orchard Bacteria as Biocontrol Agents: An Integrated Culture-Dependent and Soil Microbiome Approach
by Clara M. Izquierdo-Jiménez, Cecilia Recuero, Sergi Maicas and Inmaculada del Castillo-Madrigal
Microorganisms 2026, 14(2), 310; https://doi.org/10.3390/microorganisms14020310 - 28 Jan 2026
Viewed by 253
Abstract
Olive orchard soils are a source of microorganisms capable of inhibiting major olive pathogens. In this study, rhizobacteria were isolated and characterized based on plant growth-promoting traits, and soil 16 rRNA gene sequencing analysis was performed to analyze microbial communities at two key [...] Read more.
Olive orchard soils are a source of microorganisms capable of inhibiting major olive pathogens. In this study, rhizobacteria were isolated and characterized based on plant growth-promoting traits, and soil 16 rRNA gene sequencing analysis was performed to analyze microbial communities at two key olive phenological stages (flowering and fruit formation). Using a culture-dependent approach, a total of 90 bacterial isolates representing distinct colony morphotypes were recovered from olive soils, with 35 during the flowering stage and 55 during the fruit formation stage, indicating a higher cultivable diversity during the latter period. We identified some bacterial strains with antagonistic activity and observed phenology-related shifts in the soil microbiome. Using differential abundance analysis, we identified bacterial taxa that were significantly enriched or depleted during olive fruit formation. Overall, this study demonstrates that olive-associated bacteria harbor antagonistic potential against olive pathogens. The use of bacteria adapted to olive agroecosystems represents a promising strategy for sustainable disease management. Full article
18 pages, 2043 KB  
Article
Microbial Biostimulants Improve Early Seedling Resilience to Water Stress
by Juliana Melo, Teresa Dias, Ana M. Santos, Sanaa Kamah, Silvia Castillo, Khalid Akdi and Cristina Cruz
Resources 2026, 15(2), 20; https://doi.org/10.3390/resources15020020 - 28 Jan 2026
Viewed by 162
Abstract
Drought poses a major challenge for global agriculture, demanding strategies that improve crop resilience while safeguarding water and nutrient resources. Plant growth-promoting rhizobacteria (PGPR)-based biostimulants offer a sustainable approach to enhance resource-use efficiency under water-limited conditions. This study evaluated two commercial PGPR biostimulants [...] Read more.
Drought poses a major challenge for global agriculture, demanding strategies that improve crop resilience while safeguarding water and nutrient resources. Plant growth-promoting rhizobacteria (PGPR)-based biostimulants offer a sustainable approach to enhance resource-use efficiency under water-limited conditions. This study evaluated two commercial PGPR biostimulants applied to maize (Zea mays L.) and tomato (Solanum lycopersicum L.) seedlings grown under well-watered (80% field capacity) and water-stressed (40% field capacity) conditions. Both products improved plant growth and physiological performance, although responses were crop-specific. Inoculated tomato seedlings accumulated up to 35% more shoot biomass under optimal watering (1.6 g in non-inoculated seedlings compared with 2.5 g in inoculated seedlings), whereas maize maintained biomass production under drought, consistent with its higher intrinsic water-use efficiency, showing increases of approximately 50% (well-watered: 0.5 g versus 0.8 g; water-stressed: 0.3 g versus 0.7 g in non-inoculated and inoculated seedlings, respectively). Biostimulant application enhanced the acquisition and internal utilization of essential mineral resources, increasing leaf concentrations of (i) the macronutrients P (up to 300%), K (up to 70%), Mg (up to 220%), and Ca (up to 85%), and (ii) the micronutrients B (up to 400%), Fe (up to 260%), Mn (up to 240%), and Zn (up to 180%). Maximum nutrient increases were consistently observed in water-stressed maize seedlings inoculated with biostimulant 2. Antioxidant activities, particularly ascorbate peroxidase and catalase, increased by 20–40%, indicating more effective mitigation of oxidative stress. Principal component analysis revealed coordinated adjustments among growth, nutrient-use efficiency, and physiological traits in inoculated plants. Overall, PGPR-based biostimulants improved early drought tolerance and resource-use efficiency, supporting their potential as sustainable tools for climate-resilient agriculture. Field-scale studies remain necessary to confirm long-term agronomic benefits. Full article
Show Figures

Figure 1

17 pages, 622 KB  
Review
Bacillus velezensis S141: A Soybean Growth-Promoting Rhizosphere Bacterium
by Ken-ichi Yoshida and Neung Teaumroong
Plants 2026, 15(3), 387; https://doi.org/10.3390/plants15030387 - 27 Jan 2026
Viewed by 142
Abstract
Soybean (Glycine max) is a globally important crop, as it has high protein and lipid content and plays a central role in sustainable agriculture. Recent advances in rhizosphere biology have highlighted the critical role of soybean root exudates, particularly isoflavones and [...] Read more.
Soybean (Glycine max) is a globally important crop, as it has high protein and lipid content and plays a central role in sustainable agriculture. Recent advances in rhizosphere biology have highlighted the critical role of soybean root exudates, particularly isoflavones and other secondary metabolites, in shaping microbial community structure and function. These exudates mediate complex, bidirectional signalling with rhizosphere microorganisms, influencing nutrient acquisition, stress resilience, and disease suppression. This review describes current knowledge on soybean–microbe interactions, with a focus on the emerging concept of the rhizosphere as a dynamic communication network. Particular attention is given to Bacillus velezensis S141, a plant growth-promoting rhizobacterium (PGPR) with distinctive traits, including β-glucosidase-mediated isoflavone hydrolysis, phytohormone production, and drought resilience. Coinoculation studies with Bradyrhizobium spp. demonstrate enhanced nodulation, nitrogen fixation, and yield, supported by transcriptomic and ultrastructural evidence. Comparative genomic analyses further underscore host-adaptive features of S141, distinguishing it from other Bacillus strains. Despite promising findings, mechanistic gaps remain regarding metabolite-mediated signalling and environmental robustness. Future research integrating metabolomics, synthetic ecology, and microbial consortia design will be essential to harness rhizosphere signalling for climate-resilient, low-input soybean cultivation. Full article
(This article belongs to the Special Issue Advances in Microbial Solutions for Sustainable Agriculture)
Show Figures

Figure 1

14 pages, 1112 KB  
Article
Selecting Non-VOC Emitting Cork Oaks—A Chance to Reduce Regional Air Pollution
by Michael Staudt, Meltem Erdogan and Coralie Rivet
Environments 2026, 13(2), 70; https://doi.org/10.3390/environments13020070 - 25 Jan 2026
Viewed by 475
Abstract
Cork oak is a strong emitter of volatiles, namely monoterpenes, which are important precursors of secondary air pollutants. Past studies have revealed distinct chemotypes in emitting as well as non-emitting individuals. Promoting non-emitters in afforestation and urban greening could improve air quality, but [...] Read more.
Cork oak is a strong emitter of volatiles, namely monoterpenes, which are important precursors of secondary air pollutants. Past studies have revealed distinct chemotypes in emitting as well as non-emitting individuals. Promoting non-emitters in afforestation and urban greening could improve air quality, but their rarity suggests that they are less resilient. To gain insight into this, we screened natural descendants from two non-emitting cork oaks for emissions and ecophysiological traits (CO2/H2O-gas exchange variables, budburst date, growth) and tested whether emitting and non-emitting descendants differ in their resistance to temperature and light fluctuations (sun-flecks). Both half-sib populations were composed of the same chemotypes in similar frequencies, comprising 32% of non-emitters and 50 and 18% of two emitting chemotypes with overall moderate emission rates. Based on this distribution, we identified an inheritance mode and compared it with the chemotype frequency of the mother population. In terms of ecophysiological traits, all chemotypes performed similarly, and non-emitters were as resistant to sun-flecks as emitters. We conclude that the chemotypes in emitters reflect a common polymorphism in monoterpene-emitting plants that is not related to adaptive selection. We also conclude that non-emission is heritable and that its phenotype should be evaluated in reforestation studies. Full article
(This article belongs to the Special Issue Air Pollution in Urban and Industrial Areas, 4th Edition)
Show Figures

Graphical abstract

21 pages, 3143 KB  
Article
Effects of Basal Fertilization Supplemented with Graphene and/or Microbial Inoculants on Growth and Fruit Quality of Winter Jujube Based on Metabolomics Analysis
by Bingxin Chen, Dengyang Lu, Hengzhou Yuan, Xiaofeng Zhou, Yan Wang and Cuiyun Wu
Horticulturae 2026, 12(2), 133; https://doi.org/10.3390/horticulturae12020133 - 25 Jan 2026
Viewed by 192
Abstract
Winter jujube is highly favored by consumers, and improving both the fruit quality and yield during cultivation is a key issue in horticultural research. Fertilization is a critical measure regulating growth. This study aimed to evaluate the effects of basal fertilizer combined with [...] Read more.
Winter jujube is highly favored by consumers, and improving both the fruit quality and yield during cultivation is a key issue in horticultural research. Fertilization is a critical measure regulating growth. This study aimed to evaluate the effects of basal fertilizer combined with two novel synergistic additives—graphene and microbial inoculants—on the growth, fruit quality, and metabolic profiles of winter jujube, providing new fertilization strategies. The selected doses of graphene (0.38 g/plant) and microbial inoculant (0.26 g/plant) were based on the previous literature to balance efficacy, cost, and environmental safety. The graphene used was functionalized graphene oxide provided by Shanxi Datong University, chosen for its enhanced dispersibility and plant compatibility. Although this study focused on physiological and metabolic responses, the economic feasibility and potential environmental implications of these additives are discussed in the context of sustainable jujube production. Six-year-old winter jujube trees were treated with four fertilization regimes: basal fertilizer + graphene (T1), basal fertilizer + microbial fertilizer (T2), basal fertilizer + graphene + microbial fertilizer (T3), and basal fertilizer only (CK). Growth indices, mineral element contents in different organs, and fruit quality traits were measured. Widely targeted metabolomics was used to analyze metabolic variations among treatments. Compared with CK, all three synergistic fertilizer treatments tended to promote growth, increasing leaf area, chlorophyll content, and jujube bearing shoot length; contributed to the accumulation of P, K, Ca, Mg, and other minerals in various organs; and helped improve fruit quality by increasing the total sugars and flavonoids. T1 and T3 exhibited relatively better overall performance. Metabolomic analysis revealed significant differences in the metabolite profiles of winter jujube fruits across different treatments. Phenolic acids and flavonoids were closely associated with the improvement in fruit quality; further screening identified seven differential metabolites, predominantly belonging to phenolic acids. Basal fertilizer combined with graphene alone or with microbial inoculants may effectively promote growth and improve fruit quality by optimizing mineral uptake and regulating metabolic processes. These findings provide potential theoretical and practical support for high-quality, high-yield fertilization strategies for winter jujube. Full article
(This article belongs to the Special Issue New Insights into Breeding and Genetic Improvement of Fruit Crops)
Show Figures

Figure 1

17 pages, 4376 KB  
Article
The FPF Gene Family in Tomato: Genome-Wide Identification and the Role of SlFPF1 in Gibberellin-Dependent Growth
by Yali Zhu, Yuanyuan Kong, Xingping Liu, Aiying Cui, Cuifang Chang, Xuemei Hou and Weibiao Liao
Agriculture 2026, 16(2), 258; https://doi.org/10.3390/agriculture16020258 - 20 Jan 2026
Viewed by 145
Abstract
Flowering promoting factor 1 (FPF1) is a key regulator of plant flowering time. While the functions of the FPF family have been characterized in species such as Arabidopsis and rice, systematic studies on the tomato FPF family remain limited. In this study, we [...] Read more.
Flowering promoting factor 1 (FPF1) is a key regulator of plant flowering time. While the functions of the FPF family have been characterized in species such as Arabidopsis and rice, systematic studies on the tomato FPF family remain limited. In this study, we comprehensively analyzed the FPF family in tomato (Solanum lycopersicum L.), identifying five SlFPF members in the tomato genome. Phylogenetic analysis classified these genes into five distinct subgroups, and chromosome mapping revealed their distribution across three chromosomes, with the highest density on chromosome 1. Promoter analysis identified a range of putative cis-acting elements related to abiotic stress and hormonal responses. Differential expression analysis of various tissues showed that the five SlFPF genes exhibit varying expression levels, where SlFPF1 had a significantly higher expression compared to the others. Following treatments with abiotic stresses (NaCl, PEG, dark, and low light) and phytohormones (GA, MeJA, ABA, and SA), SlFPF1 expression is notably higher under GA treatment than under other conditions. Based on these findings, SlFPF1 and GA treatments were selected for further functional analysis. The results show that GA treatment significantly promotes multiple morphological traits, including root length, stem diameter, leaf area, plant height, dry weight, and fresh weight. However, silencing SlFPF1 expression led to a reduction in all these traits. Moreover, in SlFPF1-silenced plants, GA treatment failed to enhance root length, leaf area, fresh weight, and dry weight, indicating that GA-dependent growth promotion in tomato plants relies on SlFPF1. This study provides a theoretical foundation for understanding the SlFPF gene family and its role in plant growth and stress responses. Full article
(This article belongs to the Section Crop Genetics, Genomics and Breeding)
Show Figures

Figure 1

19 pages, 2278 KB  
Article
Differential Effects of Single and Combined PGPR Inoculation on Growth and Physiology of Atriplex canescens Under Saline Irrigation
by Lu Dong, Jing Pan, Pinglin Guo, Quangang You, Qinqin Lv and Xian Xue
Agronomy 2026, 16(2), 235; https://doi.org/10.3390/agronomy16020235 - 19 Jan 2026
Viewed by 172
Abstract
Salinity stress severely constrains plant growth and ecosystem functioning in arid and semi-arid regions, and plant growth-promoting rhizobacteria (PGPR) have been increasingly applied to enhance plant salt tolerance. Hoswever, it remains unclear whether different PGPR inoculation strategies confer salt resistance through similar or [...] Read more.
Salinity stress severely constrains plant growth and ecosystem functioning in arid and semi-arid regions, and plant growth-promoting rhizobacteria (PGPR) have been increasingly applied to enhance plant salt tolerance. Hoswever, it remains unclear whether different PGPR inoculation strategies confer salt resistance through similar or distinct physiological pathways, particularly in perennial halophytes adapted to saline environments. In this study, a field experiment was conducted to evaluate the effects of single- and multi-strain PGPR inoculation on the growth performance, physiological responses, and stress regulation of Atriplex canescens under saline conditions. Plant biomass allocation, photosynthetic traits, osmotic adjustment substances, antioxidant enzyme activities, and comprehensive stress tolerance indices were systematically assessed. The results showed that PGPR inoculation significantly improved plant growth and stress tolerance; however, the magnitude and underlying mechanisms varied across inoculation strategies. Single-strain inoculation predominantly enhanced root development and antioxidant regulation, whereas multi-strain inoculation tended to promote aboveground growth and photosynthetic performance. In contrast, certain strain combinations did not produce additive benefits, suggesting potential incompatibility among microbial consortia under salt stress. Multivariate analyses further indicated that improvements in stress tolerance were more closely associated with coordinated physiological regulation than with biomass accumulation alone. Overall, our findings demonstrate that PGPR-mediated salt tolerance in A. canescens is strategy-dependent and involves distinct resource allocation and stress-defense pathways. These results highlight the importance of considering inoculation strategies and functional compatibility when applying PGPR to improve plant performance in saline ecosystems. Full article
(This article belongs to the Section Water Use and Irrigation)
Show Figures

Figure 1

16 pages, 412 KB  
Review
Plant Status Nutrition and “Extremely Dense Planting” Technology
by Daxia Wu, Shiyong Chen, Xiaoxiao Lu, Fuwei Wang, Xianfu Yuan, Wenxia Pei and Jianfei Wang
Agronomy 2026, 16(2), 191; https://doi.org/10.3390/agronomy16020191 - 13 Jan 2026
Viewed by 447
Abstract
Advances in plant nutrition have driven substantial progress in modern fertilization technologies. Nevertheless, excessive chemical fertilizer application, low nutrient-use efficiency, and the resulting environmental pollution remain widespread. We have reviewed the research progress and existing limitations in the field of plant nutrition and [...] Read more.
Advances in plant nutrition have driven substantial progress in modern fertilization technologies. Nevertheless, excessive chemical fertilizer application, low nutrient-use efficiency, and the resulting environmental pollution remain widespread. We have reviewed the research progress and existing limitations in the field of plant nutrition and fertilization technology. Based on the traditional plant nutrition diagnosis and integrating visual diagnosis methods, this study explores the intrinsic relationship between plant growth status, nutrient supply conditions, and crop yield and proposed the concept of “status nutrition”. Variations in environmental nutrient conditions lead plants to exhibit distinct growth status in terms of vigor and phenotype. We define the plant nutritional status reflected by this growth status as “status nutrition”. Based on growth characteristics, plant growth status can be classified as weak, normal, or vigorous, corresponding to deficient, appropriate, and excessive environmental nutrient supply, respectively. Guided by this concept, an innovative rice “extremely dense planting” technology is integrated by increasing planting density, eliminating tiller-stage fertilization, and optimizing nitrogen management. The technology adapts to growth status with low nutrient demand, coordinates population growth and main-stem panicle formation, and achieves high yield with reduced fertilizer inputs. Further research is needed on the nutrient metabolism mechanisms of plants under different growth statuses and the growth status grading system. The promotion of “extremely dense planting” is constrained by crop variety traits and soil fertility, and its parameters urgently need to be optimized. Overall, the framework of “status nutrition” provides important theoretical support for the development and application of crop high-yield cultivation technologies. Full article
(This article belongs to the Special Issue Plant Nutrition Eco-Physiology and Nutrient Management)
Show Figures

Figure 1

Back to TopTop