Sign in to use this feature.

Years

Between: -

Subjects

remove_circle_outline
remove_circle_outline
remove_circle_outline
remove_circle_outline
remove_circle_outline

Journals

Article Types

Countries / Regions

Search Results (17)

Search Parameters:
Keywords = pine shoot beetle

Order results
Result details
Results per page
Select all
Export citation of selected articles as:
18 pages, 8161 KB  
Article
Compound Eye Structure and Phototactic Dimorphism in the Yunnan Pine Shoot Beetle, Tomicus yunnanensis (Coleoptera: Scolytinae)
by Hua Xie, Hui Yuan, Yuyun Wang, Xinyu Tang, Meiru Yang, Li Zheng and Zongbo Li
Biology 2025, 14(8), 1032; https://doi.org/10.3390/biology14081032 - 11 Aug 2025
Cited by 2 | Viewed by 1418
Abstract
Tomicus yunnanensis, a notorious forest pest in southwest China, primarily employs infochemicals to coordinate mass attacks that overcome host tree defenses. However, secondary visual cues, particularly detection of host color changes, also aid host location. This study characterized the compound eye structure [...] Read more.
Tomicus yunnanensis, a notorious forest pest in southwest China, primarily employs infochemicals to coordinate mass attacks that overcome host tree defenses. However, secondary visual cues, particularly detection of host color changes, also aid host location. This study characterized the compound eye structure and vision of T. yunnanensis using electron microscopy and phototaxis tests. The apposition eye contains 224–266 ommatidia, with asymmetry between left and right. Quadrilateral facets occupy the dorsal third, while hexagonal facets dominate elsewhere. Each ommatidium comprises a large corneal lens, an acone-type crystalline cone from four cone cells, and an open-type rhabdom formed by eight retinular cells (R7–R8 centrally, R1–R6 peripherally), surrounded by two primary and at least seventeen secondary pigment cells. Dark/light adaptation alters cone size/shape and rhabdom cross-sectional area/outline (without pigment granule movement) to regulate light reaching the photoreceptors. Behavioral observations showed peak flight activity occurs between 7:00–11:00 AM, with no nighttime activity. Phototaxis tests revealed females are highly sensitive to 360 nm, 380 nm, and 700 nm wavelengths, while males exhibit high sensitivity to 360 nm and 400 nm. This work enhances knowledge on the integration of visual and olfactory sensory information in beetles for host location and non-host avoidance. Full article
Show Figures

Figure 1

17 pages, 4381 KB  
Article
Monitoring Pine Shoot Beetle Damage Using UAV Imagery and Deep Learning Semantic Segmentation Under Different Forest Backgrounds
by Lixia Wang, Yang Gao, Yujie Liu, Lihui Zhong, Shichunyun Wang, Yunqiang Ma and Zhongyi Zhan
Forests 2025, 16(4), 668; https://doi.org/10.3390/f16040668 - 11 Apr 2025
Cited by 3 | Viewed by 1096
Abstract
The outbreak of Pine Shoot Beetle (PSB, Tomicus spp.) posed a significant threat to the health of Yunnan pine forests, necessitating the development of an efficient and accurate remote sensing monitoring method. The integration of unmanned aerial vehicle (UAV) imagery and deep learning [...] Read more.
The outbreak of Pine Shoot Beetle (PSB, Tomicus spp.) posed a significant threat to the health of Yunnan pine forests, necessitating the development of an efficient and accurate remote sensing monitoring method. The integration of unmanned aerial vehicle (UAV) imagery and deep learning algorithms shows great potential for monitoring forest-damaged trees. Previous studies have utilized various deep learning semantic segmentation models for identifying damaged trees in forested areas; however, these approaches were constrained by limited accuracy and misclassification issues, particularly in complex forest backgrounds. This study evaluated the performance of five semantic segmentation models in identifying PSB-damaged trees (UNet, UNet++, PAN, DeepLabV3+ and FPN). Experimental results showed that the FPN model outperformed the others in terms of segmentation precision (0.8341), F1 score (0.8352), IoU (0.7239), mIoU (0.7185) and validation accuracy (0.9687). Under the pure Yunnan pine background, the FPN model demonstrated the best segmentation performance, followed by mixed grassland-Yunnan pine backgrounds. Its performance was the poorest in mixed bare soil-Yunnan pine background. Notably, even under this challenging background, FPN still effectively identified diseased trees, with only a 1.7% reduction in precision compared to the pure Yunnan pine background (0.9892). The proposed method in this study contributed to the rapid and accurate monitoring of PSB-damaged trees, providing valuable technical support for the prevention and management of PSB. Full article
(This article belongs to the Section Forest Inventory, Modeling and Remote Sensing)
Show Figures

Figure 1

23 pages, 10385 KB  
Article
Combined Use of Spectral and Structural Features for Improved Early Detection of Pine Shoot Beetle Attacks in Yunnan Pines
by Yujie Liu, Youqing Luo, Run Yu, Lili Ren, Qi Jiang, Shaoshun He, Xinqiang Chen and Guangzhao Yang
Remote Sens. 2025, 17(7), 1109; https://doi.org/10.3390/rs17071109 - 21 Mar 2025
Cited by 3 | Viewed by 1402
Abstract
The long-lasting outbreak of the pine shoot beetle (PSB, Tomicus spp.) threatens forest ecological security. Effective monitoring is urgently needed for the Integrated Pest Management (IPM) of this pest. UAV-based hyperspectral remote sensing (HRS) offers opportunities for the early and accurate detection of [...] Read more.
The long-lasting outbreak of the pine shoot beetle (PSB, Tomicus spp.) threatens forest ecological security. Effective monitoring is urgently needed for the Integrated Pest Management (IPM) of this pest. UAV-based hyperspectral remote sensing (HRS) offers opportunities for the early and accurate detection of PSB attacks. However, the insufficient exploration of spectral and structural information from early-attacked crowns and the lack of suitable detection models limit UAV applications. This study developed a UAV-based framework for detecting early-stage PSB attacks by integrating hyperspectral images (HSIs), LiDAR point clouds, and structure from motion (SfM) photogrammetry data. Individual tree segmentation algorithms were utilized to extract both spectral and structural variables of damaged tree crowns. Random forest (RF) was employed to determine the optimal detection model as well as to clarify the contributions of the candidate variables. The results are as follows: (1) Point cloud segmentation using the Canopy Height Model (CHM) yielded the highest crown segmentation accuracy (F-score: 87.80%). (2) Near-infrared reflectance exhibited the greatest decrease for early-attacked crowns, while the structural variable intensity percentile (int_P50-int_P95) showed significant differences (p < 0.05). (3) In the RF model, spectral variables were predominant, with LiDAR structural variables serving as a supplement. The anthocyanin reflectance index and int_kurtosis were identified as the best indicators for early detection. (4) Combining HSI with LiDAR data obtained the best RF model accuracy (classification accuracy: 87.31%; Kappa: 0.8275; SDR estimation accuracy: R2 = 0.8485; RMSEcv = 3.728%). RF integrating HSI and SfM data exhibited similar performance. In conclusion, this study identified optimal spectral and structural variables for UAV monitoring and improved HRS model accuracy and thereby provided technical support for the IPM of PSB outbreaks. Full article
(This article belongs to the Section Forest Remote Sensing)
Show Figures

Figure 1

22 pages, 27970 KB  
Article
Monthly Prediction of Pine Stress Probability Caused by Pine Shoot Beetle Infestation Using Sentinel-2 Satellite Data
by Wen Jia, Shili Meng, Xianlin Qin, Yong Pang, Honggan Wu, Jia Jin and Yunteng Zhang
Remote Sens. 2024, 16(23), 4590; https://doi.org/10.3390/rs16234590 - 6 Dec 2024
Cited by 1 | Viewed by 1846
Abstract
Due to the significant threat to forest health posed by beetle infestations on pine trees, timely and accurate predictions are crucial for effective forest management. This study developed a pine tree stress probability prediction workflow based on monthly cloud-free Sentinel-2 composite images to [...] Read more.
Due to the significant threat to forest health posed by beetle infestations on pine trees, timely and accurate predictions are crucial for effective forest management. This study developed a pine tree stress probability prediction workflow based on monthly cloud-free Sentinel-2 composite images to address this challenge. First, representative pine tree stress samples were selected by combining long-term forest disturbance data using the Continuous Change Detection and Classification (CCDC) algorithm with high-resolution remote sensing imagery. Monthly cloud-free Sentinel-2 images were then composited using the Multifactor Weighting (MFW) method. Finally, a Random Forest (RF) algorithm was employed to build the pine tree stress probability model and analyze the importance of spectral, topographic, and meteorological features. The model achieved prediction precisions of 0.876, 0.900, and 0.883, and overall accuracies of 89.5%, 91.6%, and 90.2% for January, February, and March 2023, respectively. The results indicate that spectral features, such as band reflectance and vegetation indices, ranked among the top five in importance (i.e., SWIR2, SWIR1, Red band, NDVI, and NBR). They more effectively reflected changes in canopy pigments and leaf moisture content under stress compared with topographic and meteorological features. Additionally, combining long-term stress disturbance data with high-resolution imagery to select training samples improved their spatial and temporal representativeness, enhancing the model’s predictive capability. This approach provides valuable insights for improving forest health monitoring and uncovers opportunities to predict future beetle outbreaks and take preventive measures. Full article
(This article belongs to the Section Forest Remote Sensing)
Show Figures

Figure 1

16 pages, 7703 KB  
Article
Individual Tree-Level Monitoring of Pest Infestation Combining Airborne Thermal Imagery and Light Detection and Ranging
by Jingxu Wang, Qinan Lin, Shengwang Meng, Huaguo Huang and Yangyang Liu
Forests 2024, 15(1), 112; https://doi.org/10.3390/f15010112 - 6 Jan 2024
Cited by 4 | Viewed by 3048
Abstract
The infestation of pine shoot beetles (Tomicus spp.) in the forests of Southwestern China has inflicted serious ecological damages to the environment, causing significant economic losses. Therefore, accurate and practical approaches to detect pest infestation have become an urgent necessity to mitigate [...] Read more.
The infestation of pine shoot beetles (Tomicus spp.) in the forests of Southwestern China has inflicted serious ecological damages to the environment, causing significant economic losses. Therefore, accurate and practical approaches to detect pest infestation have become an urgent necessity to mitigate these harmful consequences. In this study, we explored the efficiency of thermal infrared (TIR) technology in capturing changes in canopy surface temperature (CST) and monitoring forest health at the scale of individual tree crowns. We combined data collected from TIR imagery and light detection and ranging (LiDAR) using unmanned airborne vehicles (UAVs) to estimate the shoot damage ratio (SDR), which is a representative parameter of the damage degree caused by forest infestation. We compared multiple machine learning methods for data analysis, including random forest (RF), partial least squares regression (PLSR), and support vector machine (SVM), to determine the optimal regression model for assessing SDR at the crown scale. Our findings showed that a combination of LiDAR metrics and CST presents the highest accuracy in estimating SDR using the RF model (R2 = 0.7914, RMSE = 15.5685). Our method enables the accurate remote monitoring of forest health and is expected to provide a novel approach for controlling pest infestation, minimizing the associated damages caused. Full article
Show Figures

Figure 1

10 pages, 1692 KB  
Article
Spatial Distribution Pattern and Sampling Plans for Two Sympatric Tomicus Species Infesting Pinus yunnanensis during the Shoot-Feeding Phase
by Chengxu Wu, Siyu Chen, Maofa Yang and Zhen Zhang
Insects 2023, 14(1), 60; https://doi.org/10.3390/insects14010060 - 9 Jan 2023
Cited by 5 | Viewed by 2413
Abstract
Tomicus minor (Hartig) and Tomicus yunnanensis Kirkendall and Faccoli are two sympatric species that infest Pinus yunnanensis (Franchet) in southwest China, contributing to growth losses. Accurate sampling plans are needed to make informed control decisions for these species. We investigated three pine forests [...] Read more.
Tomicus minor (Hartig) and Tomicus yunnanensis Kirkendall and Faccoli are two sympatric species that infest Pinus yunnanensis (Franchet) in southwest China, contributing to growth losses. Accurate sampling plans are needed to make informed control decisions for these species. We investigated three pine forests within experimental sites in Yuxi, Yunnan province, China from 2016 to 2018. The spatial distribution patterns of two pine shoot beetles during the shoot-feeding phase were determined using Taylor’s power law. The optimum sample sizes and stop lines for precision levels of 0.25 and 0.10 were calculated. The model was validated using an additional 15 and 17 independent field datasets ranging in density from 0.06 to 1.90 beetles per tree. T. minor and T. yunnanensis adults showed aggregated spatial distributions. For T. minor, sample sizes of 41 and 259 trees were adequate for a D of 0.25 and 0.10, respectively, while for T. yunnanensis, a mean density of one individual per tree required sample sizes of 33 plants (D = 0.25) and 208 plants (D = 0.10). The software simulations of this sampling plan showed precision levels close to the desired levels. At a fixed-precision level of 0.25, sampling is easily achievable. This sampling program is useful for the integrated pest management (IPM) of two sympatric Tomicus species. Full article
(This article belongs to the Section Insect Ecology, Diversity and Conservation)
Show Figures

Figure 1

12 pages, 960 KB  
Article
Cold Tolerance and Cold-Resistant Substances in Two Tomicus Species during Critical Transferring Periods
by Xiukui Pan, Siyu Chen, Qiyan Peng, Li Guo, Lei Gao, Zhen Zhang, Maofa Yang and Chengxu Wu
Agriculture 2023, 13(1), 14; https://doi.org/10.3390/agriculture13010014 - 21 Dec 2022
Cited by 2 | Viewed by 2107
Abstract
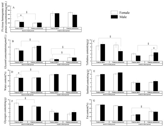
The pine shoot beetles Tomicus minor and Tomicus yunnanensis are important stem borers of Pinus yunnanensis in southwestern China. To determine strategies for cold resistance and changes in major cold-resistant substances in adults of two Tomicus species during two critical transferring periods, “shoot-to-trunk” [...] Read more.
The pine shoot beetles Tomicus minor and Tomicus yunnanensis are important stem borers of Pinus yunnanensis in southwestern China. To determine strategies for cold resistance and changes in major cold-resistant substances in adults of two Tomicus species during two critical transferring periods, “shoot-to-trunk” and “trunk-to-shoot”, the insects’ supercooling point (SCP), freezing point (FP), and antifreeze protective substances were determined. The SCP and FP did not differ between female and male adults in the shoot-to-trunk phase, but were significantly lower in females in the trunk-to-shoot period. Although there was no difference in the SCP and FP between the two Tomicus species adults, both indexes were significantly lower in the shoot-to-trunk period than in the trunk-to-shoot period. The trehalose content in females of two Tomicus species was significantly lower than that in males in the trunk-to-shoot period, and the protein, glycerol, glycogen, fat, and sorbitol contents were different between the species in the same period. The protein and water content in adults of both species were significantly lower in the shoot-to-trunk period than in the trunk-to-shoot period, but the content of glycerol, trehalose, water, sorbitol, glycogen, and fat content were significantly higher in the shoot-to-trunk. Different types of cold-resistant substances regulating sex, species, and developmental stages were found, and the most abundant were cold-resistant substances regulating developmental stages. Full article
(This article belongs to the Section Crop Protection, Diseases, Pests and Weeds)
Show Figures

Figure 1

16 pages, 1484 KB  
Article
A Non-Invasive Method of Estimating Populations of Tomicus Piniperda on Scots Pine (Pinus Sylvestris L.)
by Karol Zubek, Joanna Czerwik-Marcinkowska and Andrzej Borkowski
Insects 2022, 13(11), 1071; https://doi.org/10.3390/insects13111071 - 20 Nov 2022
Cited by 2 | Viewed by 2040
Abstract
The fully non-invasive method presented here can be used to evaluate Tomicus piniperda L. population sizes in areas subject to strict protection. Data were collected in 2021–2022 in forests containing P. sylvestris, with different stand structures, in the Suchedniowsko-Oblęgorski Landscape Park, Poland. [...] Read more.
The fully non-invasive method presented here can be used to evaluate Tomicus piniperda L. population sizes in areas subject to strict protection. Data were collected in 2021–2022 in forests containing P. sylvestris, with different stand structures, in the Suchedniowsko-Oblęgorski Landscape Park, Poland. Entomological analyses were carried out on natural traps made from live uncolonised trees. Stepwise regression was used to describe the size of T. piniperda populations. From a set of features representing stem colonisation parameters, stem traits and habitat, the following had a significant effect (p < 0.05) on the total number of galleries of T. piniperda on stems: (1) the number of T. piniperda maternal tunnels in the sixth stem section covering 2.5% of the total length, (2) the length of the stem section with bark thickness greater than 7 mm, and (3) stand structure (homogeneous Scots pine stands). The model can explain 93% (Radj2=0.9333) of the variability in the total number of T. piniperda galleries on trap trees. The mean relative error of estimation is 20.1%. The proposed method is particularly valuable in a climate context. The data obtained enable the prediction of the direct effects of climate change on the population dynamics of T. piniperda in natural forests. Full article
(This article belongs to the Section Insect Pest and Vector Management)
Show Figures

Figure 1

17 pages, 5325 KB  
Article
Climate Drivers of Pine Shoot Beetle Outbreak Dynamics in Southwest China
by Linfeng Yu, Zhongyi Zhan, Quan Zhou, Bingtao Gao, Lili Ren, Huaguo Huang and Youqing Luo
Remote Sens. 2022, 14(12), 2728; https://doi.org/10.3390/rs14122728 - 7 Jun 2022
Cited by 6 | Viewed by 2793
Abstract
Outbreaks of pine shoot beetles (Tomicus spp.) have caused widespread tree mortality in Southwest China. However, the understanding of the role of climatic drivers in pine shoot beetle outbreaks is limited. This study aimed to characterize the relationships between climate variables and [...] Read more.
Outbreaks of pine shoot beetles (Tomicus spp.) have caused widespread tree mortality in Southwest China. However, the understanding of the role of climatic drivers in pine shoot beetle outbreaks is limited. This study aimed to characterize the relationships between climate variables and pine shoot beetle outbreaks in the forests of Yunnan pine (Pinus yunnanensis Franch) in Southwest China. The pine shoot beetle-infested total area from 2000 to 2017 was extracted from multi-data Landsat images and obtained from field survey plots. A temporal prediction model was developed by partial least squares regression. The results indicated that multi consecutive year droughts was the strongest predictor, as such a condition greatly reduced the tree resistance to the beetles. The beetle-infested total area increased with spring temperature, associated with a higher success rate of trunk colonization and accelerated larval development. Warmer temperatures and longer solar radiation duration promoted flight activity during the trunk transfer to the shoot period and allowed the completion of sister broods. Multi consecutive year droughts combined with the warmer temperatures and higher solar radiation duration could provide favorable conditions for shoot beetle outbreaks. Generally, identifying the climate variables that drive pine shoot beetle outbreaks could help improve current strategies for outbreak control. Full article
Show Figures

Figure 1

14 pages, 3697 KB  
Article
Detection of Yunnan Pine Shoot Beetle Stress Using UAV-Based Thermal Imagery and LiDAR
by Jingxu Wang, Shengwang Meng, Qinnan Lin, Yangyang Liu and Huaguo Huang
Appl. Sci. 2022, 12(9), 4372; https://doi.org/10.3390/app12094372 - 26 Apr 2022
Cited by 9 | Viewed by 2992
Abstract
Infestations of Tomicus spp. have caused the deaths of millions of Yunnan pine forests in Southwest China; consequently, accurate monitoring methods are required to assess the damage caused by these pest insects at an early stage. Considering the limited sensitivity of optical reflectance [...] Read more.
Infestations of Tomicus spp. have caused the deaths of millions of Yunnan pine forests in Southwest China; consequently, accurate monitoring methods are required to assess the damage caused by these pest insects at an early stage. Considering the limited sensitivity of optical reflectance on the early stage of beetle stress, the potential of thermal infrared (TIR) can be exploited for monitoring forest health on the basis of the change of canopy surface temperature (CST). However, few studies have investigated the impact of the leaf area index (LAI) on the accuracy of TIR data-based SDR assessments. Therefore, the current study used unmanned airborne vehicle (UAV)-based TIR and light detection and ranging (LiDAR) data to assess the capacity of determining the potential for using TIR data for determining SDR under different LAI conditions. The feasibility of using TIR for monitoring SDRs at the tree level and plot scales were analyzed using the relationship between SDR and canopy temperature. Results revealed that: (1) prediction accuracy of SDR from CST is promising at high LAI values and decreases quickly with LAI, and is higher at the single tree scale (R2 = 0.7890) than at the plot scale (R2 = 0.5532); (2) at either single tree or plot scale, a significant negative correlation can be found between CST and LAI (−0.9121 at tree scale and −0.5902 at plot scale); (3) LAI affects the transmission paths of sunlight and sensor, which mainly disturbs the relationship between CST and SDR. This article evaluated the high possibility of using TIR data to monitor SDRs at both tree and plot levels and assessed the negative impact of a low LAI (<1) on the relationship between temperature and SDR. Accordingly, when measuring forest health using TIR data, additional data sources are required to eliminate the negative impact of low LAIs and to improve the monitoring accuracy. Full article
(This article belongs to the Special Issue Advances in Geospatial Techniques on Ecosystem Monitoring)
Show Figures

Figure 1

18 pages, 5368 KB  
Article
Resource Partitioning of Scots Pine (Pinus sylvestris L.) by Pine Shoot Beetles in Stands under Stress Conditions
by Andrzej Borkowski
Forests 2021, 12(10), 1336; https://doi.org/10.3390/f12101336 - 29 Sep 2021
Cited by 5 | Viewed by 2239
Abstract
The pine shoot beetles Tomicus piniperda L. and T. minor Hartwig are sympatric species that occur on Scots pine in two habitats. Feeding by the beetles in tree crowns causes significant losses in tree growth and disturbs the crown’s proper development. A review [...] Read more.
The pine shoot beetles Tomicus piniperda L. and T. minor Hartwig are sympatric species that occur on Scots pine in two habitats. Feeding by the beetles in tree crowns causes significant losses in tree growth and disturbs the crown’s proper development. A review of the subject literature showed that there had been no previous studies of interspecific competition in stands with different degrees of crown damage. The aim of this work was to assess the resource partitioning of stems by the two species in stands with damaged and undamaged crowns. Data were collected in the years 1992–2008 in stands containing Scots pine located at different distances from timber yards. A total of 259 natural traps were laid, and measurements of height and diameter at breast height were made for 900 pines. The surface area of each stem was divided into 20 equal sections by making a division lengthwise (into units) and laterally (into an upper and lower part). In total, 90,501 egg galleries of pine shoot beetles were counted on 9560 stem sections. Feeding by pine shoot beetles in the crowns of pines reduces site productivity and the nutritional suitability of stems. The results of niche segregation indicate pine shoot beetles exhibited spatial specialization in the use of resources. prefers the thicker part of the stem, and T. minor the thinner part. The population of T. piniperda on the trap logs was described using a multiple linear regression model with three explanatory variables. As a result of regression modelling, from the set of variables representing characteristics of habitats, trees and trap logs and the parameters of infestation, the following explanatory variables were selected: range of colonisation of a trap log (rc), site quality class (sqc), and crown undamaged (cu). The explanatory variables included in the MLRM model explain to a significant degree (p < 0.05) the niche breadth of T. piniperda on trap logs. In all validated plots, the mean real and model values for the niche of T. piniperda on the trap logs are similar (p > 0.5), confirming the high accuracy of the developed model. Full article
(This article belongs to the Section Forest Health)
Show Figures

Figure 1

22 pages, 13738 KB  
Article
Discriminant Analysis of the Damage Degree Caused by Pine Shoot Beetle to Yunnan Pine Using UAV-Based Hyperspectral Images
by Mengying Liu, Zhonghe Zhang, Xuelian Liu, Jun Yao, Ting Du, Yunqiang Ma and Lei Shi
Forests 2020, 11(12), 1258; https://doi.org/10.3390/f11121258 - 26 Nov 2020
Cited by 16 | Viewed by 3374
Abstract
Due to the increased frequency and intensity of forest damage caused by diseases and pests, effective methods are needed to accurately monitor the damage degree. Unmanned aerial vehicle (UAV)-based hyperspectral imaging is an effective technique for forest health surveying and monitoring. In this [...] Read more.
Due to the increased frequency and intensity of forest damage caused by diseases and pests, effective methods are needed to accurately monitor the damage degree. Unmanned aerial vehicle (UAV)-based hyperspectral imaging is an effective technique for forest health surveying and monitoring. In this study, a framework is proposed for identifying the severity of damage caused by Tomicus spp. (the pine shoot beetle, PSB) to Yunnan pine (Pinus yunnanensis Franch) using UAV-based hyperspectral images. Four sample plots were set up in Shilin, Yunnan Province, China. A total of 80 trees were investigated, and their hyperspectral data were recorded. The spectral data were subjected to a one-way ANOVA. Two sensitive bands and one sensitive parameter were selected using Pearson correlation analysis and stepwise discriminant analysis to establish a diagnostic model of the damage degree. A discriminant rule was established to identify the degree of damage based on the median value between different degrees of damage. The diagnostic model with R690 and R798 as variables had the highest accuracy (R2 = 0.854, RMSE = 0.427), and the test accuracy of the discriminant rule was 87.50%. The results are important for forest damage caused by the PSB. Full article
(This article belongs to the Special Issue Forestry Applications of Unmanned Aerial Vehicles (UAVs) 2020)
Show Figures

Figure 1

14 pages, 3642 KB  
Article
Evaluating the Potential of WorldView-3 Data to Classify Different Shoot Damage Ratios of Pinus yunnanensis
by Linfeng Yu, Zhongyi Zhan, Lili Ren, Shixiang Zong, Youqing Luo and Huaguo Huang
Forests 2020, 11(4), 417; https://doi.org/10.3390/f11040417 - 8 Apr 2020
Cited by 17 | Viewed by 2922
Abstract
Tomicus yunnanensis Kirkendall and Faccoli and Tomicus minor Hartig have caused serious shoot damage in Yunnan pine (Pinus yunnanensis Faranch) forests in the Yunnan province of China. However, very few remote sensing studies have been conducted to detect the different shoot damage [...] Read more.
Tomicus yunnanensis Kirkendall and Faccoli and Tomicus minor Hartig have caused serious shoot damage in Yunnan pine (Pinus yunnanensis Faranch) forests in the Yunnan province of China. However, very few remote sensing studies have been conducted to detect the different shoot damage ratios of individual trees. The aim of the study was to evaluate the suitability of eight-band WorldView-3 satellite image for detecting different shoot damage ratios (e.g., “healthy”, “slightly”, “moderately”, and “severely”). An object-based supervised classification method was used in this study. The tree crowns were delineated on a 0.3 m pan-sharpened worldview-3 image as reference data. Besides the original eight bands, normalized two-band indices were derived as spectral variables. For classifying individual trees, three classifiers—multinomial logistic regression (MLR), a stepwise linear discriminant analysis (SDA), and random forest (RF)—were evaluated and compared in this study. Results showed that SDA classifier based on all spectral variables had the highest classification accuracy (78.33%, Kappa = 0.712). Compared to original eight bands of Worldview-3, normalized two-band indices could improve the overall accuracy. Furthermore, the shoot damage ratio was a good indicator for detecting different levels of individual damaged trees. We concluded that the Worldview-3 satellite data were suitable to classify different levels of damaged trees; therefore, the best mapping results of damaged trees was predicted based on the best classification model which is very useful for forest managers to take the appropriate measures to decrease shoot beetle damage in Yunnan pine forests. Full article
(This article belongs to the Section Forest Inventory, Modeling and Remote Sensing)
Show Figures

Figure 1

20 pages, 7055 KB  
Article
Detection of Pine Shoot Beetle (PSB) Stress on Pine Forests at Individual Tree Level using UAV-Based Hyperspectral Imagery and Lidar
by Qinan Lin, Huaguo Huang, Jingxu Wang, Kan Huang and Yangyang Liu
Remote Sens. 2019, 11(21), 2540; https://doi.org/10.3390/rs11212540 - 29 Oct 2019
Cited by 97 | Viewed by 6816
Abstract
In recent years, the outbreak of the pine shoot beetle (PSB), Tomicus spp., has caused serious shoots damage and the death of millions of trees in Yunnan pine forests in southwestern China. It is urgent to develop a convincing approach to accurately assess [...] Read more.
In recent years, the outbreak of the pine shoot beetle (PSB), Tomicus spp., has caused serious shoots damage and the death of millions of trees in Yunnan pine forests in southwestern China. It is urgent to develop a convincing approach to accurately assess the shoot damage ratio (SDR) for monitoring the PSB insects at an early stage. Unmanned airborne vehicles (UAV)-based sensors, including hyperspectral imaging (HI) and lidar, have very high spatial and spectral resolutions, which are very useful to detect forest health. However, very few studies have utilized HI and lidar data to estimate SDRs and compare the predictive power for mapping PSB damage at the individual tree level. Additionally, the data fusion of HI and lidar may improve the detection accuracy, but it has not been well studied. In this study, UAV-based HI and lidar data were fused to detect PSB. We systematically evaluated the potential of a hyperspectral approach (only-HI data), a lidar approach (only-lidar data), and a combined approach (HI plus lidar data) to characterize PSB damage of individual trees using the Random Forest (RF) algorithm, separately. The most innovative point is the proposed new method to extract the three dimensional (3D) shadow distribution of each tree crown based on a lidar point cloud and the 3D radiative transfer model RAPID. The results show that: (1) for the accuracy of estimating the SDR of individual trees, the lidar approach (R2 = 0.69, RMSE = 12.28%) performed better than hyperspectral approach (R2 = 0.67, RMSE = 15.87%), and in addition, it was useful to detect dead trees with an accuracy of 70%; (2) the combined approach has the highest accuracy (R2 = 0.83, RMSE = 9.93%) for mapping PSB damage degrees; and (3) when combining HI and lidar data to predict SDRs, two variables have the most contributions, which are the leaf chlorophyll content (Cab) derived from hyperspectral data and the return intensity of the top of shaded crown (Int_Shd_top) from lidar metrics. This study confirms the high possibility to accurately predict SDRs at individual tree level if combining HI and lidar data. The 3D radiative transfer model can determine the 3D crown shadows from lidar, which is a key information to combine HI and lidar. Therefore, our study provided a guidance to combine the advantages of hyperspectral and lidar data to accurately measure the health of individual trees, enabling us to prioritize areas for forest health promotion. This method may also be used for other 3D land surfaces, like urban areas. Full article
(This article belongs to the Section Forest Remote Sensing)
Show Figures

Graphical abstract

20 pages, 2390 KB  
Article
Fungal Communities Associated with Bark Beetles in Pinus radiata Plantations in Northern Spain Affected by Pine Pitch Canker, with Special Focus on Fusarium Species
by Diana Bezos, Pablo Martínez-Álvarez, Antonio V. Sanz-Ros, Jorge Martín-García, M. Mercedes Fernandez and Julio J. Diez
Forests 2018, 9(11), 698; https://doi.org/10.3390/f9110698 - 10 Nov 2018
Cited by 23 | Viewed by 5650
Abstract
Fusarium spp., as well as other endophytic or pathogenic fungi that form communities, have been reported to be phoretically associated with bark beetles (Coleoptera; Scolytinae) worldwide. This applies to Fusarium circinatum Nirenberg and O’Donnell, the causal agent of pine pitch canker (PPC), which [...] Read more.
Fusarium spp., as well as other endophytic or pathogenic fungi that form communities, have been reported to be phoretically associated with bark beetles (Coleoptera; Scolytinae) worldwide. This applies to Fusarium circinatum Nirenberg and O’Donnell, the causal agent of pine pitch canker (PPC), which threatens Pinus radiata D. Don plantations in northern Spain. The main objective of this study was to study the fungal communities associated with bark beetles and their galleries in stands affected by PPC, with special attention given to Fusarium species. Funnel traps and logs were placed in a P. radiata plot known to be affected by F. circinatum. The traps were baited with different attractants: four with (E)-pityol and six with ethanol and α-Pinene. In addition, fresh green shoots with Tomicus piniperda L. feeding galleries were collected from the ground in 25 P. radiata plots affected by PPC. Extracts of whole insects and gallery tissues were plated on agar medium to isolate and identify the associated fungi. A total of 24 different fungal species were isolated from the bark beetle galleries constructed in logs and shoots, while 18 were isolated from the insect exoskeletons. Ten different Fusarium species were isolated from tissue and insects. Fusarium circinatum was isolated from bark beetle exoskeletons (1.05% of the Pityophthorus pubescens Marsham specimens harboured F. circinatum) and from the galleries (3.5% of the T. piniperda feeding galleries harboured the pathogen). The findings provide information about the fungal communities associated with bark beetles in P. radiata stands in northern Spain. Full article
Show Figures

Graphical abstract

Back to TopTop