Sign in to use this feature.

Years

Between: -

Subjects

remove_circle_outline
remove_circle_outline
remove_circle_outline
remove_circle_outline
remove_circle_outline
remove_circle_outline
remove_circle_outline
remove_circle_outline
remove_circle_outline

Journals

remove_circle_outline
remove_circle_outline
remove_circle_outline
remove_circle_outline
remove_circle_outline
remove_circle_outline
remove_circle_outline
remove_circle_outline
remove_circle_outline
remove_circle_outline
remove_circle_outline

Article Types

Countries / Regions

remove_circle_outline
remove_circle_outline
remove_circle_outline
remove_circle_outline

Search Results (344)

Search Parameters:
Keywords = physics-consistent machine learning

Order results
Result details
Results per page
Select all
Export citation of selected articles as:
32 pages, 19818 KB  
Article
An Interpretable Ensemble Machine Learning Framework for Predicting the Ultimate Flexural Capacity of BFRP-Reinforced Concrete Beams
by Sebghatullah Jueyendah and Elif Ağcakoca
Polymers 2026, 18(5), 601; https://doi.org/10.3390/polym18050601 (registering DOI) - 28 Feb 2026
Abstract
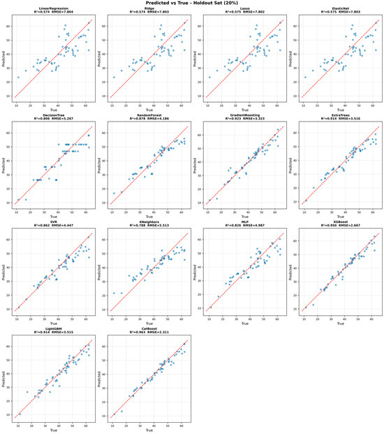
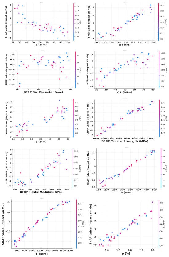
Prediction of the ultimate moment capacity (Mu) of BFRP-reinforced concrete beams is complicated by nonlinear parameter interactions and the linear-elastic response of BFRP, reducing the accuracy of conventional design models. This study develops an optimized machine learning (ML) framework incorporating random forest, extra [...] Read more.
Prediction of the ultimate moment capacity (Mu) of BFRP-reinforced concrete beams is complicated by nonlinear parameter interactions and the linear-elastic response of BFRP, reducing the accuracy of conventional design models. This study develops an optimized machine learning (ML) framework incorporating random forest, extra trees, gradient boosting, adaboost, bagging, support vector regression, histogram-based gradient boosting, and ensemble voting and stacking strategies for reliable prediction of the Mu of BFRP-reinforced concrete beams. A comprehensive database of material, geometric, reinforcement, and BFRP mechanical parameters was analyzed, and model performance was evaluated using an 80/20 train–test split and 10-fold cross-validation based on R2, RMSE, MAE, and MAPE. The stacking regressor demonstrated superior predictive performance, achieving an R2 of 0.999 (RMSE = 0.590) in training and an R2 of 0.988 (RMSE = 2.487) in testing, indicating excellent robustness and strong generalization capability in predicting Mu. Furthermore, interpretability analyses based on SHAP, PDP, ALE, and ICE demonstrate that span length (L) and beam depth (h) constitute the governing parameters in the prediction of Mu. Unlike prior studies focused mainly on predictive accuracy, this work proposes an optimized and interpretable stacking ensemble framework that integrates explainable AI with classical flexural mechanics for physically consistent and reliable prediction of the ultimate moment capacity of BFRP-reinforced concrete beams. Full article
(This article belongs to the Special Issue Fiber-Reinforced Polymer Composites: Progress and Prospects)
Show Figures

Graphical abstract

27 pages, 2900 KB  
Review
Electric Mobility Transition, Intelligent Digital Platforms, and Grid–Vehicle Integration Models: A Systematic Review
by Eduardo Javier Pozo-Burgos, Luis Omar Alpala and Argenis Lissander Heredia-Campaña
World Electr. Veh. J. 2026, 17(3), 123; https://doi.org/10.3390/wevj17030123 (registering DOI) - 28 Feb 2026
Abstract
The transition to electric mobility requires the coordinated evolution of vehicles, charging infrastructure, power systems, and intelligent digital platforms. This study examines the role of Industry 4.0 technologies in enabling large-scale electric vehicle (EV) adoption and effective EV grid integration and synthesizes the [...] Read more.
The transition to electric mobility requires the coordinated evolution of vehicles, charging infrastructure, power systems, and intelligent digital platforms. This study examines the role of Industry 4.0 technologies in enabling large-scale electric vehicle (EV) adoption and effective EV grid integration and synthesizes the existing evidence into a coherent analytical framework to support planning and policy decision-making. A systematic review of 27 peer-reviewed studies published between 2018 and 2025 was conducted in accordance with PRISMA 2020 guidelines, capturing the acceleration of electromobility following the consolidation of Industry 4.0 technologies and the emergence of large-scale policy commitments worldwide. The analysis covers six technology families, including the Internet of Things, big data and analytics, artificial intelligence and machine learning, blockchain, digital twins, and extended reality, and examines their applications in smart charging, grid vehicle coordination, fleet optimization, and vehicle-to-grid services. The findings show that analytics and artificial intelligence consistently enhance operational reliability and efficiency, while digital twins are increasingly applied to infrastructure siting, grid impact assessment, and scenario analysis. Building on these results, the study proposes a three-layer analytical framework composed of physical, digital, and decision layers, together with a functional EV grid generation integration model that links technology readiness to system-level deployment. In addition, a transition timeline for the 2025–2040 period and a concise set of key performance indicators are introduced to support evaluation and comparison. Policy implications for Ecuador and Latin America emphasize interoperability, data governance, realistic cost assessment, and a phased approach to vehicle-to-grid deployment. Full article
(This article belongs to the Section Charging Infrastructure and Grid Integration)
Show Figures

Graphical abstract

55 pages, 8340 KB  
Article
Hybrid ML–XAI Framework for Predicting and Interpreting the Strength of Lime–Silica Fume Stabilized Clay for Sustainable Construction Applications
by Arash Aminaee, Alireza Ardakani, Abolfazl Baghbani, Hossam Abuel-Naga and Firas Daghistani
Buildings 2026, 16(5), 953; https://doi.org/10.3390/buildings16050953 (registering DOI) - 28 Feb 2026
Abstract
This study presents an advanced experimental–computational framework for the characterization and performance evaluation of low-plasticity kaolin clay soil (CL) stabilized with quicklime (QL) and silica fume (SF), aiming to support sustainable construction and ground improvement applications. A comprehensive laboratory program was conducted, comprising [...] Read more.
This study presents an advanced experimental–computational framework for the characterization and performance evaluation of low-plasticity kaolin clay soil (CL) stabilized with quicklime (QL) and silica fume (SF), aiming to support sustainable construction and ground improvement applications. A comprehensive laboratory program was conducted, comprising 210 unconfined compressive strength (UCS) tests across 14 mix designs and three curing periods (3, 7, and 28 days), alongside index and compaction property measurements. The results show that stabilization decreases plasticity index (PI) and maximum dry density. The QL–SF system showed a synergistic effect, with QL3–SF7 mixture achieving the highest UCS (2783.8 kPa at 28 days), a 6.8-fold increase over untreated clay within the tested range. To enable predictive evaluation and mix optimization, multiple machine learning (ML) models were developed using eight input variables, including Atterberg limits and compaction parameters for each stabilized mixture, along with stabilizer contents and curing time, with hyperparameters tuned via particle swarm optimization (PSO). Among the evaluated models, CatBoost-PSO and back-propagation neural networks delivered the highest generalization performance on the independent testing dataset (R2 ≈ 0.97; RMSE ≈ 105 kPa over a UCS range of 408.88–2783.8 kPa). To enhance interpretability and engineering reliability, explainable artificial intelligence (XAI) using SHAP was employed to quantify feature influence and verify physical consistency. SHAP analysis identified QL content, PI, and curing duration as dominant predictors, and showed that SF contribution depends on its balance with available calcium from QL. Overall, the proposed ML–XAI framework provides a transparent decision-support approach for performance-driven design of chemically stabilized clay materials while reducing reliance on extensive trial-and-error laboratory testing. Full article
(This article belongs to the Special Issue Advanced Characterization and Evaluation of Construction Materials)
27 pages, 8691 KB  
Article
Research on Random Forest-Based Downscaling Inversion Techniques for Numerical Precipitation Prediction Guided by Integrated Physical Mechanisms
by Haoshuang Liao, Shengchu Zhang, Jun Guo, Qiukuan Zhou, Xinyu Chang and Xinyi Liu
Water 2026, 18(5), 574; https://doi.org/10.3390/w18050574 - 27 Feb 2026
Abstract
Numerical weather prediction (NWP) models are essential for precipitation forecasting but are constrained by coarse spatial resolutions (10–50 km), which fail to capture fine-scale variations required for regional disaster prevention, particularly in complex terrain. While statistical and machine learning downscaling methods have been [...] Read more.
Numerical weather prediction (NWP) models are essential for precipitation forecasting but are constrained by coarse spatial resolutions (10–50 km), which fail to capture fine-scale variations required for regional disaster prevention, particularly in complex terrain. While statistical and machine learning downscaling methods have been developed to bridge this resolution gap, they predominantly operate as “black boxes” without explicit physical guidance, leading to predictions that violate meteorological principles and systematic underestimation of extreme precipitation events. To address these limitations, this study aims to develop a Physics-Informed Machine Learning framework that explicitly integrates multi-scale topographic modulation and physical consistency constraints into precipitation downscaling. Specifically, a Random Forest model enhanced with Multi-Scale Structural Similarity (MS-SSIM) loss and Physical Constraint Enhancement (MSSSIM-PCE-RF) was constructed. The model introduces elevation gradient weights at low-resolution layers and micro-topographic parameters (slope, surface roughness) at high-resolution layers, while enforcing physical consistency between precipitation intensity, radar reflectivity, and ground observations via the Z-R relationship. Based on hourly data from 2252 meteorological stations in Jiangxi Province (2021–2022), coupled with topographic factors (DEM, slope, aspect) and Normalized Difference Vegetation Index (NDVI), a technical framework of “data fusion–feature synergy–machine learning–spatial reconstruction” was established. Results demonstrate that the MSSSIM-PCE-RF model achieves a validation R2 of 0.9465 and RMSE of 0.1865 mm, significantly outperforming the conventional RF model (R2 = 0.9272). Notably, errors in high-altitude, steep-slope, and high-vegetation areas are reduced by 45.3%, 42.0%, and 43.1%, respectively, with peak precipitation period errors decreasing by 37.2%. Multi-scale topographic analysis reveals significant orographic lifting effects at 250–1000 m elevations, peak precipitation at 12–15° slopes, and abundant precipitation on south/southeast aspects. By explicitly embedding topographic modulation and physical consistency constraints, the model effectively alleviates systematic underestimation of extreme precipitation in complex terrain, providing high-resolution data support for transmission line disaster prevention and micro-meteorological risk assessment. Full article
(This article belongs to the Section Hydrology)
48 pages, 15635 KB  
Article
Thermo-Mechanical and Data-Driven Assessment of Sustainable Concrete Incorporating Waste Tire Aggregates and Recycled Steel Fibers
by Yasin Onuralp Özkılıç, Ali Serdar Ecemis, Sergey A. Stel’makh, Alexey N. Beskopylny, Evgenii M. Shcherban’, Sadik Alper Yildizel, Ceyhun Aksoylu and Emrah Madenci
Buildings 2026, 16(5), 946; https://doi.org/10.3390/buildings16050946 (registering DOI) - 27 Feb 2026
Abstract
This study examines the impact of recovered steel fibers (WTSFs) and waste tire aggregates of varying sizes—fine (FWTR), small coarse (SCWTR), and large coarse (LCWTR)—on the compressive strength of concrete subjected to elevated temperatures. Forty mixes were formulated utilizing four distinct WTR replacement [...] Read more.
This study examines the impact of recovered steel fibers (WTSFs) and waste tire aggregates of varying sizes—fine (FWTR), small coarse (SCWTR), and large coarse (LCWTR)—on the compressive strength of concrete subjected to elevated temperatures. Forty mixes were formulated utilizing four distinct WTR replacement ratios (0%, 5%, 10%, 20%) and four WTSF doses (0%, 0.5%, 1%, 2%), and evaluated at temperatures of 24 °C, 100 °C, 200 °C, and 300 °C. The findings indicate that elevated temperatures consistently diminish compressive strength, although the reference concrete saw around 18% loss at 300 °C, with WTR-containing mixes demonstrating losses ranging from 25% to 45%, contingent upon rubber size and dose. The type of WTR was critical—LCWTR mixes exhibited superior residual strength retention due to enhanced particle–matrix interlocking, whereas FWTR mixtures saw the most significant decline. The inclusion of WTSF increased strength by 2–10% at 0.5–1.0% fiber content through crack bridging, but excessive fiber addition (2.0%) decreased workability and caused clustering, leading to up to 40% strength loss. The ideal combination was 5LCWTR–1WTSF, which sustained 36.97 MPa at 24 °C and 29.65 MPa at 300 °C, indicating superior performance across all temperature ranges. Predictive modeling utilizing machine learning techniques (SVR, KRR, 1D-CNN, and DRL) corroborated the experimental results, with the CNN attaining the maximum generalization accuracy (R2 = 0.9374) and the KRR exhibiting the most consistent performance (R2 = 0.9305). The models indicated that WTR and temperature were the primary variables diminishing strength, although modest WTSF ratios enhanced overall thermal resilience. SHAP and ALE analysis further validated that WTR content exhibited the most significant negative feature contribution (~−6 MPa), succeeded by temperature, although modest fiber inclusion demonstrated a positive SHAP effect (+2–4 MPa), corroborating the experimentally observed non-linear reinforcement threshold. The combined experimental–computational framework demonstrates that the combination of coarse rubber aggregates (5–10%) with appropriate WTSF content (0.5–1.0%) improves sustainability and high-temperature durability. The integration of physical testing and interpretable AI modeling creates a hybrid approach that can anticipate and enhance thermo-mechanical performance in sustainable concrete systems. Full article
(This article belongs to the Section Building Materials, and Repair & Renovation)
Show Figures

Figure 1

23 pages, 10459 KB  
Article
How Do Street Physical Environments Shape Pedestrian Safety Perception? Evidence from Street-View Imagery, Machine Learning, and Multiscale Geographically Weighted Regression
by Zhongshan Huang, Kuan Lu, Wenming Cai and Xin Han
Buildings 2026, 16(5), 920; https://doi.org/10.3390/buildings16050920 - 26 Feb 2026
Viewed by 46
Abstract
In high-density urban cores, pedestrian safety perception is shaped not only by street physical environments but also by pronounced spatial heterogeneity. However, existing studies often rely on global regression or small-sample surveys, making it difficult to simultaneously reveal city-scale regularities and localized mechanisms. [...] Read more.
In high-density urban cores, pedestrian safety perception is shaped not only by street physical environments but also by pronounced spatial heterogeneity. However, existing studies often rely on global regression or small-sample surveys, making it difficult to simultaneously reveal city-scale regularities and localized mechanisms. Taking Futian District, Shenzhen, as a case study, this study develops an integrated analytical framework that combines street-view imagery, machine learning, and multiscale geographically weighted regression (MGWR) to measure pedestrian safety perception at the city scale and to unpack its spatial mechanisms. The results show that model explanatory power improves markedly after accounting for spatial non-stationarity, indicating strong context dependence in the formation of pedestrian safety perception. MGWR further reveals clear multiscale differentiation across streetscape visual elements: greenery-related elements (e.g., tree and plant) exhibit near-global and consistently positive effects, whereas traffic exposure and interface-related elements (e.g., car, road, and wall) operate more locally, with both the direction and magnitude of their effects varying substantially with neighborhood structure and traffic contexts. These findings suggest that the impacts of individual street elements on pedestrian safety perception are not universally transferable and should be interpreted within a spatial-scale and contextual framework. By integrating machine learning-based prediction with MGWR-based spatial interpretation, this study enables both efficient city-scale measurement and multiscale mechanism identification of pedestrian safety perception, providing empirical support for safety perception-oriented street planning and fine-grained urban design. Full article
(This article belongs to the Special Issue Advanced Study on Urban Environment by Big Data Analytics)
Show Figures

Figure 1

42 pages, 3811 KB  
Article
Interpretable Machine Learning for Compressive Strength Prediction of Fly Ash-Based Geopolymer Concrete
by Farnaz Ahadian, Ümit Işıkdağ, Gebrail Bekdaş, Sinan Melih Nigdeli, Celal Cakiroglu and Zong Woo Geem
Sustainability 2026, 18(5), 2227; https://doi.org/10.3390/su18052227 - 25 Feb 2026
Viewed by 79
Abstract
Fly ash-based geopolymer concrete (GPC) is a sustainable alternative to conventional cementitious materials; however, its compressive strength is governed by complex and highly correlated mixture parameters, making experimental optimization expensive and data-driven modeling challenging. While machine learning (ML) techniques have been widely applied [...] Read more.
Fly ash-based geopolymer concrete (GPC) is a sustainable alternative to conventional cementitious materials; however, its compressive strength is governed by complex and highly correlated mixture parameters, making experimental optimization expensive and data-driven modeling challenging. While machine learning (ML) techniques have been widely applied to predict GPC strength, most studies prioritize predictive accuracy without explicitly addressing multicollinearity among input variables, which can distort feature importance, reduce model stability, and limit engineering interpretability. This study proposes a multicollinearity-integrated and interpretable ML framework that systematically embeds correlation diagnostics and structured feature screening within the modeling pipeline rather than treating interpretability as a post-processing step. Multiple conventional and ensemble learning algorithms were comparatively evaluated using cross-validation to ensure generalization robustness. The proposed framework achieved a maximum coefficient of determination (R2) of 0.96 with low prediction error, outperforming baseline regression models while demonstrating improved stability under correlated input conditions. Unlike existing studies that rely solely on black-box optimization, the integrated interpretability analysis revealed physically consistent dominance of curing temperature, alkali content, and water-related parameters in governing strength development. By explicitly coupling predictive performance with multicollinearity mitigation and engineering-oriented interpretability, this work advances beyond accuracy-driven ML applications and provides a robust and transparent decision-support tool for sustainable geopolymer mix design. Full article
Show Figures

Figure 1

25 pages, 1207 KB  
Article
A Similarity-Based Fuzzy Framework for Flood Damage Assessment Under Data-Scarce Conditions
by Tanja Vranić, Srđan Popov, Jovana Simić, Nebojša Ralević and Lidija Krstanović
Mathematics 2026, 14(5), 760; https://doi.org/10.3390/math14050760 - 25 Feb 2026
Viewed by 126
Abstract
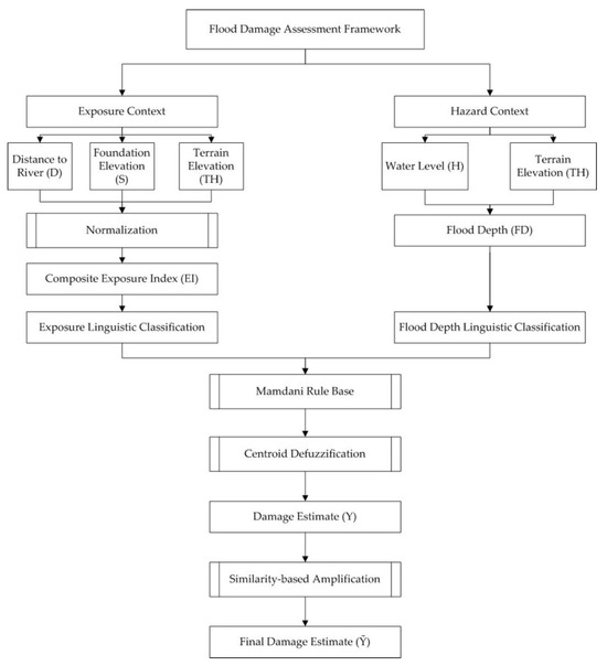
The assessment of building-level flood damage in low-relief floodplains is constrained by pronounced exposure heterogeneity and a lack of object-level damage data. This study proposes a similarity-based fuzzy modeling framework for direct material flood damage assessment under structurally data-scarce conditions. The approach combines [...] Read more.
The assessment of building-level flood damage in low-relief floodplains is constrained by pronounced exposure heterogeneity and a lack of object-level damage data. This study proposes a similarity-based fuzzy modeling framework for direct material flood damage assessment under structurally data-scarce conditions. The approach combines a Composite Exposure Index derived from geospatial indicators with a Mamdani-type fuzzy inference system and a prototype-based similarity modulation mechanism that enhances differentiation among highly exposed buildings without empirical calibration. The framework was evaluated using a physically consistent synthetic dataset representing a rural lowland floodplain in Serbia. The results demonstrate smooth and monotone damage escalation with respect to exposure and flood depth, while similarity-based modulation selectively enhances discriminatory resolution in high-exposure regimes. The proposed framework provides a transparent and data-efficient alternative to calibration-dependent empirical and machine-learning approaches for exploratory flood-risk analysis and decision-support applications. Full article
Show Figures

Graphical abstract

20 pages, 4713 KB  
Article
Early-Stage Damage Diagnosis of Rolling Bearings Based on Acoustic Emission Signals Interpreted by Friction Behavior and Machine Learning
by Taketo Nakai, Renguo Lu, Hiroshi Tani, Shinji Koganezawa and Jinqing Wang
Lubricants 2026, 14(2), 95; https://doi.org/10.3390/lubricants14020095 - 20 Feb 2026
Viewed by 179
Abstract
Condition monitoring of rolling bearings is essential for ensuring the reliability of mechanical systems operating under severe or insufficient lubrication conditions. This study proposes a fault diagnosis framework that integrates tribological interpretation of wear phenomena, acoustic emission (AE) signal analysis, and machine learning, [...] Read more.
Condition monitoring of rolling bearings is essential for ensuring the reliability of mechanical systems operating under severe or insufficient lubrication conditions. This study proposes a fault diagnosis framework that integrates tribological interpretation of wear phenomena, acoustic emission (AE) signal analysis, and machine learning, based on bearing life tests conducted under dry conditions as an accelerated wear environment to capture damage progression within a practical experimental time. Unlike conventional studies relying on artificially introduced defects, this work focuses on AE signals obtained from bearings in which damage initiates and progresses through actual wear processes. Life tests were conducted using deep groove ball bearings under two radial load conditions. The temporal evolution of the coefficient of friction, AE signals, and surface damage was analyzed. Although the coefficient of friction was the most sensitive indicator of wear progression, its direct measurement is impractical for in-service applications. Frequency-domain analysis revealed that AE counts per second and band-specific AE energy exhibit early changes consistent with the evolution of the friction coefficient. Using these physically interpretable AE features, a fully connected neural network was developed to classify bearing conditions into normal, early-stage damage, and damage progression. The proposed model achieved an average classification accuracy of approximately 85%, demonstrating the effectiveness of AE-based machine learning for bearing fault diagnosis under real wear progression conditions rather than artificial defect scenarios. Full article
(This article belongs to the Special Issue Advanced Methods for Wear Monitoring)
Show Figures

Graphical abstract

13 pages, 1987 KB  
Article
Machine Learning-Based Prediction of Young’s Modulus in Ti-Alloys
by Seza Dinibutun, Yousef Alshammari and Leandro Bolzoni
Metals 2026, 16(2), 233; https://doi.org/10.3390/met16020233 - 19 Feb 2026
Viewed by 240
Abstract
This study explores the use of machine learning to predict the experimental Young’s modulus of titanium alloys based on their mechanical and microstructural properties. Several regression models were developed and compared, including Random Forest, XGBoost, CatBoost, Multi-Layer Perceptron, and a Stacking Regressor. Among [...] Read more.
This study explores the use of machine learning to predict the experimental Young’s modulus of titanium alloys based on their mechanical and microstructural properties. Several regression models were developed and compared, including Random Forest, XGBoost, CatBoost, Multi-Layer Perceptron, and a Stacking Regressor. Among these, Random Forest, XGBoost and CatBoost achieved the most accurate results with R2 values above 0.85. To improve interpretability, SHapley Additive exPlanations were applied to examine which input features most strongly influenced the predictions. The results showed that yield strength, hardness, and the molybdenum equivalent parameter (moe) were among the most influential descriptors. While yield strength and hardness were positively associated with the predicted values, higher moe values corresponded to lower predicted Young’s modulus. This study focuses on the prediction of Young’s modulus, a comparatively less explored elastic property in Ti-alloy machine learning studies and combines systematic model comparison with SHAP-based interpretability to provide physically consistent insights into feature–property relationships. Full article
(This article belongs to the Special Issue Machine Learning Models in Metals (2nd Edition))
Show Figures

Figure 1

32 pages, 31335 KB  
Article
Ensemble-Based Material-Specific Prediction of Thermal Conductivity for Steel Slag Asphalt Mixtures
by Jiangnan Zhao, Wangwen Sun, Zhuangzhuang Liu, Jie Mu, Xinshuo Cui, Xianxu Liu, Shasha Jiang and Yuhao Chao
Processes 2026, 14(4), 689; https://doi.org/10.3390/pr14040689 - 18 Feb 2026
Viewed by 169
Abstract
Thermal conductivity is a crucial parameter for heat transfer in asphalt pavements, especially in cold regions where electrically heated snow-melting systems are used. Steel slag, an industrial by-product with high thermal conductivity, holds significant potential to enhance the thermal performance of asphalt mixtures. [...] Read more.
Thermal conductivity is a crucial parameter for heat transfer in asphalt pavements, especially in cold regions where electrically heated snow-melting systems are used. Steel slag, an industrial by-product with high thermal conductivity, holds significant potential to enhance the thermal performance of asphalt mixtures. However, its thermal behavior is influenced by various factors. This study established a thermal conductivity database consisting of 200 samples from published experimental studies, incorporating data collection, graphical digitization, and physically constrained expansion. Mixture composition, volumetric structure, and steel slag properties were used as input variables, with thermal conductivity as the output. Five machine learning models including k-nearest neighbors regression, decision tree, random forest, support vector regression, and gradient boosting were developed. Among them, random forest and gradient boosting showed the highest accuracy and robustness. Feature importance analysis revealed that steel slag content is the primary factor affecting thermal conductivity, while material properties and gradation parameters play secondary roles. This data-driven framework facilitates the efficient prediction and design of thermal conductivity in steel slag asphalt mixtures, supporting the engineering application of functional asphalt pavements. Full article
(This article belongs to the Special Issue Thermal Properties of Composite Materials)
Show Figures

Figure 1

23 pages, 2069 KB  
Article
Application of the TPE-XGBoost Model in Predicting Breakdown Pressure for Horizontal Drilling Based on Physical Constraints
by Haibiao Wang, Mingyue Pang, Zheng Yuan, Changyin Dong, Fengxiang Xu and Yicheng Xin
Processes 2026, 14(4), 630; https://doi.org/10.3390/pr14040630 - 11 Feb 2026
Viewed by 205
Abstract
Horizontal well fracturing serves as a critical technology for enhancing production from tight sandstone gas reservoirs, where accurate prediction of formation breakdown pressure is essential for optimizing fracture design and improving stimulation effectiveness. This study proposes a novel fusion-driven workflow for predicting breakdown [...] Read more.
Horizontal well fracturing serves as a critical technology for enhancing production from tight sandstone gas reservoirs, where accurate prediction of formation breakdown pressure is essential for optimizing fracture design and improving stimulation effectiveness. This study proposes a novel fusion-driven workflow for predicting breakdown pressure in horizontal wells by synergistically integrating physics-based mechanistic modeling with data-driven machine learning. The approach overcomes the computational limitations of conventional analytical models and mitigates the data scarcity constraints inherent in purely empirical methods by using high-fidelity mechanistic simulations to generate physically consistent training samples. Results demonstrate that the hybrid dataset, with an optimal fusion ratio of 1:1.5 between field data and mechanistic-derived samples, yields the highest predictive accuracy. The proposed model, built on an XGBoost algorithm whose hyperparameters are efficiently optimized via a tree-structured Parzen estimator (TPE), exhibits superior generalization capability and robustness, achieving an average prediction error of 7.45% on unseen well data. This work confirms that the fusion framework provides a reliable and practical tool for breakdown pressure prediction in cased horizontal wells, which can directly support the design and implementation of efficient and sustainable fracturing operations in tight gas reservoirs. Full article
(This article belongs to the Topic Petroleum and Gas Engineering, 2nd edition)
Show Figures

Figure 1

23 pages, 2371 KB  
Article
Machine-Learning Crop-Type Mapping Sensitivity to Feature Selection and Hyperparameter Tuning
by Mayra Perez-Flores, Frédéric Satgé, Jorge Molina-Carpio, Renaud Hostache, Ramiro Pillco-Zolá, Diego Tola, Elvis Uscamayta-Ferrano, Lautaro Bustillos, Marie-Paule Bonnet and Celine Duwig
Remote Sens. 2026, 18(4), 563; https://doi.org/10.3390/rs18040563 - 11 Feb 2026
Viewed by 195
Abstract
To improve crop yields and incomes, farmers consistently adapt their practices to climate and market fluctuations, resulting in highly variable crop field distribution and coverage in space and time. As these dynamics illustrate farmers’ challenges, up-to-date crop-type mapping is essential for understanding farmers’ [...] Read more.
To improve crop yields and incomes, farmers consistently adapt their practices to climate and market fluctuations, resulting in highly variable crop field distribution and coverage in space and time. As these dynamics illustrate farmers’ challenges, up-to-date crop-type mapping is essential for understanding farmers’ needs and supporting their adoption of sustainable practices. With global coverage and frequent temporal observations, remote sensing data are generally integrated into machine learning models to monitor crop dynamics. Unlike physical-based models that rely on straightforward use, implementing machine learning models requires extensive user interaction. In this context, this study assesses how sensitive the models’ outputs are to feature selection and hyperparameter tuning, as both processes rely on user judgment. To achieve this, Sentinel-1 (S1) and Sentinel-2 (S2) features are integrated into five distinct models (Random Forest (RF), Support Vector Machine (SVM), Light Gradient Boosting (LGB), Histogram-based Gradient Boosting (HGB), and Extreme Gradient Boosting (XGB)), considering several features selection (Variance Inflation Factor (VIF) and Sequential Feature Selector (SFS)) and hyperparameter tuning (Grid-Search) setup. Results show that the preprocess modeling feature selection (VIF) discards the features that the wrapped method (SFS) keeps, resulting in less reliable crop-type mapping. Additionally, hyperparameter tuning appears to be sensitive to the input features, and considering it after any feature selection improved the crop-type mapping. In this context a three-step nested modeling setup, including first hyperparameter tuning, followed by a wrapped feature selection (SFS) and additional hyperparameter tuning, leads to the most reliable model outputs. For the study region, LGB and XGB (SVM) are the most (least) suitable models for crop-type mapping, and model reliability improves when integrating S1 and S2 features rather than considering S1 or S2 alone. Finally, crop-type maps are derived across different regions and time periods to highlight the benefits of the proposed method for monitoring crop dynamics in space and time. Full article
(This article belongs to the Special Issue Application of Remote Sensing in Agroforestry (Third Edition))
Show Figures

Figure 1

21 pages, 4938 KB  
Article
Impact of LULC Classification Methods on Runoff Simulation in an Arid Mountainous Watershed Using Remote Sensing and Machine Learning
by Ali Ibrahim, Ahmed Wageeh, Mohamed A. Hamouda, Alaa Ahmed and Ahmed Gad
Earth 2026, 7(1), 26; https://doi.org/10.3390/earth7010026 - 11 Feb 2026
Viewed by 297
Abstract
Reliable hydrologic modeling in arid, topographically complex watersheds depends on accurate land-use/land-cover (LULC) representation. This study evaluates how different LULC categorization methods affect simulated runoff for the Wadi Hatta watershed (UAE) using a GIS-driven machine learning framework that combines high-resolution remote sensing with [...] Read more.
Reliable hydrologic modeling in arid, topographically complex watersheds depends on accurate land-use/land-cover (LULC) representation. This study evaluates how different LULC categorization methods affect simulated runoff for the Wadi Hatta watershed (UAE) using a GIS-driven machine learning framework that combines high-resolution remote sensing with hydrologic modeling. LULC maps were generated in Google Earth Engine using Random Forest (RF) and Support Vector Machine (SVM) classifiers applied to Sentinel-2 (10 m) and Landsat 8/9 (30 m) imageries and compared with the 10 m ESRI predefined LULC dataset. The resulting LULC classifications were converted to SCS Curve Numbers and used in HEC-HMS hydrologic modeling to simulate runoff under a 50-year design storm, under consistent meteorological and physical conditions. Results show that Sentinel-2 + SVM achieved the highest classification accuracy (overall accuracy up to 0.86) and produced the earliest and highest simulated peak discharge (11.4 m3/s), reflecting improved detection of impervious surfaces. In contrast, the Landsat-9 + RF scenario yielded the lowest peak (7.5 m3/s), consistent with a higher proportion of pervious land covers. LULC change analysis between 2017 and 2024 showed increases in forest cover (1.0–3.3%) and built-up areas (6.0–7.9%) driven by afforestation and urban expansion. These results demonstrate that LULC input resolution and classifier selection significantly influence hydrologic model sensitivity and runoff estimates, underscoring the need for carefully selected, high-resolution LULC products in flood risk assessment and water resource planning in data-scarce arid environments. Full article
(This article belongs to the Special Issue Feature Papers for AI and Big Data in Earth Science)
Show Figures

Figure 1

24 pages, 22643 KB  
Article
A Machine Learning Model for FY-4A Cloud Detection Based on Physical Feature Fusion
by Yanning Liang, Li Zhao, Yuan Sun, Zhihao Feng, Xiaogang Huang and Wei Zhong
Remote Sens. 2026, 18(4), 536; https://doi.org/10.3390/rs18040536 - 7 Feb 2026
Viewed by 329
Abstract
Clouds critically influence Earth’s radiation balance and climate, making accurate cloud detection essential for improving climate models. This study develops the TSAR model to improve the cloud detection accuracy of the FY-4A CLM product by incorporating physical features. The input features include FY-4A [...] Read more.
Clouds critically influence Earth’s radiation balance and climate, making accurate cloud detection essential for improving climate models. This study develops the TSAR model to improve the cloud detection accuracy of the FY-4A CLM product by incorporating physical features. The input features include FY-4A brightness temperature (BT) data from channels 8–14, geometric parameters (satellite zenith angle (SAZ), satellite azimuth angle (SAA), solar zenith angle (SOZ), solar azimuth angle (SOA), and latitude), and four ERA5 meteorological factors (2 m air temperature (T2m), skin temperature (SKT), air temperature profiles (ATP), and relative humidity profiles (RH)). Using the CALIPSO cloud detection product as labels, the model outputs cloud/clear-sky classification results. Additionally, four machine learning (ML) algorithms—RF, LightGBM, XGBoost, and MLP—achieved overall accuracies of 91.5%, 92.2%, 92.5%, and 92.8%, respectively, considerably outperforming the FY-4A L2 CLM product (83.1%). The results demonstrate that incorporating physical factors significantly improves cloud detection performance regardless of the algorithm employed. Incorporating meteorological factors notably improved nighttime and water–cloud detection, narrowing day–night accuracy gaps. Shapley additive explanation (SHAP) analysis indicated feature contributions of 15.8%, 50.8%, and 33.3% from geometric, BT, and meteorological variables, respectively, with stronger meteorological effects at mid- to high-latitudes. These findings demonstrate that integrating meteorological factors significantly improves FY-4A cloud detection accuracy and consistency, highlighting the MLP-TSAR model’s effectiveness for reliable all-day operational applications. Full article
(This article belongs to the Section Atmospheric Remote Sensing)
Show Figures

Figure 1

Back to TopTop