Interpretable Machine Learning for Compressive Strength Prediction of Fly Ash-Based Geopolymer Concrete
Abstract
1. Introduction
2. Materials and Methods
2.1. Data Collection
2.2. Exploratory Data Analysis
2.3. The Experimental Process
2.3.1. Stage 1: Initialization
2.3.2. Stage 2a: Feature Selection with Genetic Algorithm (Multi-Objective Optimization)
- (1)
- Minimizing VIF
- (2)
- Maximizing R2
- (3)
- Minimizing RMSE
- (4)
- Minimizing Total Multiple R
- Minimizing VIF (Variance Inflation Factor):
- Maximizing R2 (Coefficient of Determination):
- Minimizing RMSE (Root Mean Square Error):
- Minimizing Total Multiple R (Custom Metric):
2.3.3. Stage 2b: Pareto Front Analysis for Multi-Objective Variable Selection
2.3.4. Stage 3: Performance Assessment of ML Models with Selected Features
2.3.5. Stage 4: Visualization and Verification
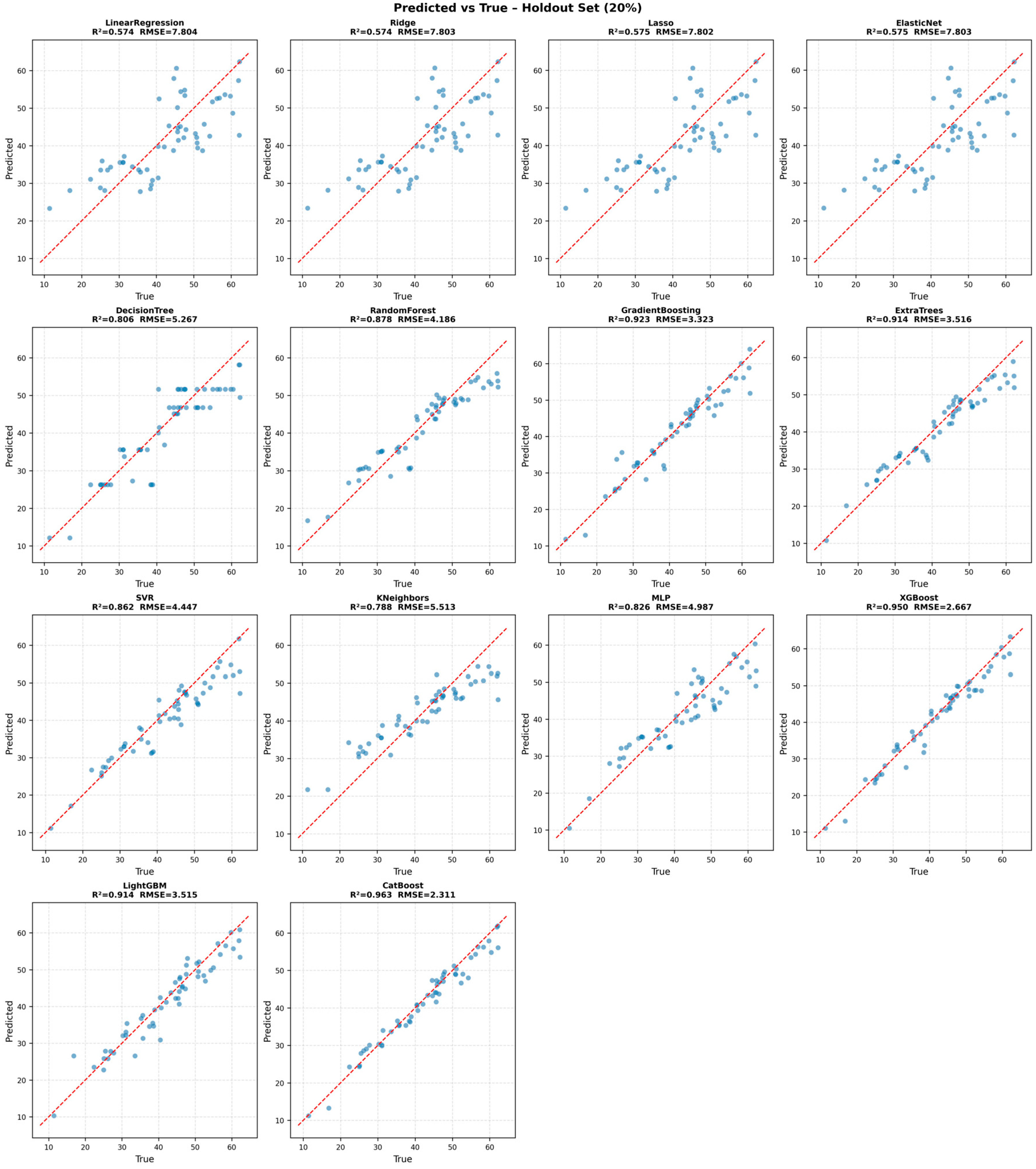
3. Results
3.1. Feature Selection via Genetic Algorithm
3.2. Baseline Model Evaluation
3.3. Evaluation of Hyperparameter Optimized Models
3.4. Feature Importance Analysis
4. Discussion
5. Conclusions
Author Contributions
Funding
Institutional Review Board Statement
Informed Consent Statement
Data Availability Statement
Conflicts of Interest
Appendix A
Step-by-Step Tree Diagram of Experimental Process
| 1. Load Data ├── Read CSV file ├── Handle missing values (dropna) ├── Apply StandardScaler normalization └── Extract dataset info (19 independent variables + 1 target) 2. Initial Correlation Analysis ├── Calculate Pearson correlation matrix ├── Generate correlation plot (heatmap) ├── Create correlation network plot (threshold = 0.7) └── Report correlation statistics 3. Genetic Algorithm Configuration ├── Set minimum variables (default: 5) ├── Configure GA parameters: │ ├── Population size (default: 60) │ ├── Generations (default: 40) │ ├── Crossover probability (default: 0.7) │ └── Mutation probability (default: 0.2) └── Set objective weights (VIF, R2, RMSE, Total R) 4. Genetic Algorithm(NSGA-II) Optimization (Run 12 Weight Combinations) ├── Initialize population (60 individuals, binary encoding) ├── For 40 generations: │ ├── Evaluate fitness (VIF, R2, RMSE, Total Multiple R) │ ├── Select with NSGA-II (Pareto ranking + crowding distance) │ ├── Crossover (prob = 0.7, two-point crossover) │ ├── Mutate (prob = 0.2, bit flip mutation) │ └── Update Pareto Front (Hall of Fame) └── Return Pareto optimal solutions 5. Pareto Front Analysis ├── Analyze all Pareto solutions ├── Find best solution for each objective ├── Calculate balanced scores using weighted normalization ├── Select optimal solution (maximizes balanced score) └── Variable count: Determined by GA results (typically 5–12) 6. Selected Variables Correlation Analysis ├── Calculate correlation for selected subset ├── Generate heatmap (selected variables only) ├── Create network plot (threshold = 0.7) └── Compare to baseline correlations 7. Baseline Evaluation (30 runs) ├── Calculate VIF for all 19 variables ├── Split data 80/20 train/test ├── Train Random Forest with k-fold CV ├── Evaluate on test set ├── Generate outputs: │ ├── VIF analysis plot │ ├── Predicted vs. true plots │ ├── Feature importance plot │ └── Baseline report (.txt) └── Purpose: Establish reference metrics before optimization 8. Training, Tuning and Evaluation of ML models(30 runs) ├── Extract selected features (N variables from GA) ├── Scale selected features (StandardScaler) ├── New Split: 80/20 train/test (Different from baseline split) ├── For each of 12–15 models: │ ├── Optimize hyperparameters (TPE, 50 evaluations) │ ├── k-fold CV on training set ONLY │ ├── Train final model on training set │ └── Evaluate on holdout test set ├── Create predicted vs. true grid for all models ├── Intelligent feature importance plotting: │ ├── Try best model first │ ├── If unsupported, try 2nd best, 3rd best, etc. │ └── Plot from first model that supports it ├── Rank models by test set R2 └── Print performance summary table 9. Final Analysis and Visualization ├── Print Final Model Performance and Ranking: │ ├── Display All models │ ├── Show holdout test metrics: R2_Test, RMSE_Test, MAE_Test │ ├── Include CV metrics for comparison: R2_CV, RMSE_CV │ ├── Best model selected by R2_Test (holdout performance) │ └── Generalization assessment: ΔR2 = |R2_Test − R2_CV| ├── Plot GA convergence (4 objectives over 40 generations) ├── Plot Pareto front (4 views of trade-offs) ├── Plot feature importance for BEST model (by R2_Test) └── Compare baseline vs. final performance 10. Final Verification (embedded in Step 8) ├── Calculate final VIF values ├── Assess multicollinearity reduction ├── Report variable reduction percentage ├── Compare baseline vs. final metrics (R2, RMSE) └── Summary statistics and conclusions |
Appendix B
Baseline Model Metrics (30 Runs)
| Model | Holdout R2 | Holdout RMSE | Holdout MAE | CV R2 | CV RMSE | Seed |
| RF | 0.9226 | 3.2784 | 2.6429 | 0.8963 | 3.5745 | 0 |
| RF | 0.9319 | 3.0384 | 2.291 | 0.8947 | 3.5524 | 1 |
| RF | 0.9322 | 3.3769 | 2.548 | 0.8942 | 3.5051 | 2 |
| RF | 0.8825 | 4.1381 | 2.9361 | 0.9048 | 3.3808 | 3 |
| RF | 0.9102 | 3.0746 | 2.2946 | 0.9084 | 3.3667 | 4 |
| RF | 0.8986 | 3.0843 | 2.1676 | 0.9071 | 3.4802 | 5 |
| RF | 0.9227 | 3.0016 | 2.2783 | 0.9079 | 3.426 | 6 |
| RF | 0.8201 | 3.56 | 2.7877 | 0.9222 | 3.2965 | 7 |
| RF | 0.9356 | 3.0688 | 2.2093 | 0.8958 | 3.5138 | 8 |
| RF | 0.9072 | 3.4149 | 2.5008 | 0.9173 | 3.2699 | 9 |
| RF | 0.9342 | 2.7686 | 2.0312 | 0.878 | 3.9645 | 10 |
| RF | 0.8792 | 3.8861 | 2.969 | 0.9076 | 3.442 | 11 |
| RF | 0.9006 | 3.6712 | 2.7049 | 0.9078 | 3.3133 | 12 |
| RF | 0.9338 | 3.596 | 2.8676 | 0.8974 | 3.3979 | 13 |
| RF | 0.949 | 2.5461 | 1.896 | 0.886 | 3.6622 | 14 |
| RF | 0.8674 | 3.6007 | 2.8647 | 0.9222 | 3.1948 | 15 |
| RF | 0.9383 | 2.9217 | 2.1654 | 0.9177 | 3.2575 | 16 |
| RF | 0.9399 | 3.4124 | 2.5526 | 0.8908 | 3.5125 | 17 |
| RF | 0.8314 | 3.8618 | 2.9215 | 0.9167 | 3.382 | 18 |
| RF | 0.938 | 2.6377 | 1.941 | 0.914 | 3.3207 | 19 |
| RF | 0.9543 | 2.5599 | 1.9562 | 0.8977 | 3.5292 | 20 |
| RF | 0.9019 | 3.1983 | 2.3596 | 0.9056 | 3.5737 | 21 |
| RF | 0.856 | 4.1259 | 2.7964 | 0.9129 | 3.3745 | 22 |
| RF | 0.9411 | 2.9445 | 2.056 | 0.9095 | 3.3722 | 23 |
| RF | 0.9377 | 3.277 | 2.5692 | 0.8943 | 3.2581 | 24 |
| RF | 0.9226 | 2.9211 | 2.2204 | 0.8899 | 3.6107 | 25 |
| RF | 0.925 | 2.8658 | 2.1304 | 0.903 | 3.5624 | 26 |
| RF | 0.9114 | 3.3076 | 2.4315 | 0.9147 | 3.2288 | 27 |
| RF | 0.9138 | 2.8161 | 2.0989 | 0.9102 | 3.5027 | 28 |
| RF | 0.9306 | 3.1516 | 2.2696 | 0.8933 | 3.6735 | 29 |
Appendix C
Fine-Tuned Model Metrics (30 Runs)
| Model | Holdout R2 | Holdout RMSE | Holdout MAE | CV R2 | CV RMSE | Seed |
| CatBoost | 0.9501 | 2.6328 | 2.0413 | 0.9166 | 3.208 | 0 |
| XGBoost | 0.9197 | 3.3389 | 2.3549 | 0.8915 | 3.6501 | 0 |
| LightGBM | 0.9082 | 3.5707 | 2.492 | 0.8263 | 4.6447 | 0 |
| GradientBoosting | 0.9059 | 3.6139 | 2.564 | 0.8904 | 3.671 | 0 |
| ExtraTrees | 0.8958 | 3.8038 | 3.0069 | 0.8861 | 3.7658 | 0 |
| RandomForest | 0.8826 | 4.0373 | 3.182 | 0.8646 | 4.1154 | 0 |
| SVR | 0.851 | 4.5476 | 3.6113 | 0.8566 | 4.2369 | 0 |
| DecisionTree | 0.8355 | 4.7796 | 3.9073 | 0.7585 | 5.4498 | 0 |
| MLP | 0.8013 | 5.2528 | 4.4536 | 0.8469 | 4.3404 | 0 |
| KNeighbors | 0.7007 | 6.4465 | 4.9625 | 0.673 | 6.5176 | 0 |
| ElasticNet | 0.6405 | 7.0651 | 6.0485 | 0.6116 | 6.9837 | 0 |
| Ridge | 0.6404 | 7.066 | 6.0499 | 0.6116 | 6.9834 | 0 |
| Lasso | 0.6404 | 7.066 | 6.0497 | 0.6116 | 6.9835 | 0 |
| LinearRegression | 0.6403 | 7.0665 | 6.0505 | 0.6116 | 6.9833 | 0 |
| CatBoost | 0.9394 | 2.8657 | 2.0593 | 0.9133 | 3.2102 | 1 |
| XGBoost | 0.9324 | 3.0256 | 2.1132 | 0.905 | 3.3824 | 1 |
| GradientBoosting | 0.9046 | 3.5957 | 2.4552 | 0.9055 | 3.3612 | 1 |
| ExtraTrees | 0.9008 | 3.6672 | 3.1507 | 0.8643 | 4.0879 | 1 |
| RandomForest | 0.8887 | 3.8832 | 3.1977 | 0.8487 | 4.32 | 1 |
| SVR | 0.8645 | 4.2844 | 3.2473 | 0.8404 | 4.3847 | 1 |
| LightGBM | 0.8616 | 4.3305 | 2.9442 | 0.857 | 4.2867 | 1 |
| MLP | 0.8566 | 4.4087 | 3.6754 | 0.8582 | 4.1225 | 1 |
| DecisionTree | 0.8013 | 5.1886 | 3.8099 | 0.7909 | 5.0612 | 1 |
| KNeighbors | 0.7724 | 5.5532 | 4.4787 | 0.6296 | 6.9488 | 1 |
| LinearRegression | 0.6765 | 6.6211 | 5.382 | 0.599 | 7.041 | 1 |
| Lasso | 0.6765 | 6.6212 | 5.382 | 0.599 | 7.0411 | 1 |
| Ridge | 0.6765 | 6.6213 | 5.3823 | 0.599 | 7.041 | 1 |
| ElasticNet | 0.6764 | 6.6218 | 5.3828 | 0.599 | 7.0412 | 1 |
| CatBoost | 0.9502 | 2.8926 | 2.1738 | 0.9091 | 3.2442 | 2 |
| XGBoost | 0.9422 | 3.1166 | 2.4511 | 0.8933 | 3.5089 | 2 |
| GradientBoosting | 0.9316 | 3.3915 | 2.4927 | 0.8847 | 3.6491 | 2 |
| ExtraTrees | 0.9093 | 3.9036 | 3.2343 | 0.8739 | 3.8104 | 2 |
| SVR | 0.8932 | 4.2366 | 3.365 | 0.8118 | 4.68 | 2 |
| LightGBM | 0.8902 | 4.2963 | 3.0713 | 0.8396 | 4.3843 | 2 |
| RandomForest | 0.8865 | 4.3671 | 3.1754 | 0.8485 | 4.22 | 2 |
| DecisionTree | 0.8786 | 4.5164 | 3.7798 | 0.8008 | 4.8198 | 2 |
| MLP | 0.8427 | 5.1422 | 4.2887 | 0.7863 | 5.0306 | 2 |
| KNeighbors | 0.7201 | 6.8583 | 5.0539 | 0.6062 | 6.8183 | 2 |
| LinearRegression | 0.688 | 7.2413 | 5.8934 | 0.5786 | 6.9441 | 2 |
| Ridge | 0.6879 | 7.2423 | 5.8936 | 0.5786 | 6.9441 | 2 |
| Lasso | 0.6879 | 7.2425 | 5.8936 | 0.5786 | 6.9442 | 2 |
| ElasticNet | 0.6877 | 7.2445 | 5.894 | 0.5786 | 6.9443 | 2 |
| CatBoost | 0.919 | 3.436 | 2.6097 | 0.9141 | 3.1367 | 3 |
| MLP | 0.8896 | 4.0109 | 3.2653 | 0.8603 | 4.0044 | 3 |
| XGBoost | 0.8825 | 4.1379 | 2.8213 | 0.9214 | 3.0495 | 3 |
| SVR | 0.878 | 4.216 | 3.2267 | 0.8093 | 4.6947 | 3 |
| ExtraTrees | 0.8735 | 4.2936 | 3.4908 | 0.8766 | 3.8198 | 3 |
| GradientBoosting | 0.8596 | 4.5233 | 2.9682 | 0.9139 | 3.2113 | 3 |
| RandomForest | 0.8425 | 4.7913 | 3.6386 | 0.8622 | 4.1216 | 3 |
| DecisionTree | 0.8003 | 5.3944 | 4.238 | 0.7571 | 5.2296 | 3 |
| LightGBM | 0.7841 | 5.6092 | 3.8023 | 0.8422 | 4.2603 | 3 |
| KNeighbors | 0.7144 | 6.4506 | 5.0533 | 0.6347 | 6.7522 | 3 |
| LinearRegression | 0.67 | 6.934 | 5.5934 | 0.5777 | 7.0427 | 3 |
| Lasso | 0.67 | 6.9343 | 5.5927 | 0.5777 | 7.0427 | 3 |
| Ridge | 0.67 | 6.9349 | 5.5878 | 0.5779 | 7.043 | 3 |
| ElasticNet | 0.6699 | 6.9357 | 5.5843 | 0.578 | 7.0432 | 3 |
| XGBoost | 0.8992 | 3.2573 | 2.5146 | 0.9089 | 3.3498 | 4 |
| GradientBoosting | 0.8969 | 3.2931 | 2.582 | 0.9075 | 3.3774 | 4 |
| CatBoost | 0.889 | 3.418 | 2.5535 | 0.9186 | 3.1755 | 4 |
| LightGBM | 0.8852 | 3.476 | 2.6456 | 0.8534 | 4.2314 | 4 |
| RandomForest | 0.8694 | 3.7065 | 2.9541 | 0.8634 | 4.1831 | 4 |
| ExtraTrees | 0.8637 | 3.7874 | 2.9489 | 0.8821 | 3.8905 | 4 |
| SVR | 0.846 | 4.0252 | 3.2793 | 0.8215 | 4.7277 | 4 |
| MLP | 0.744 | 5.1903 | 4.3146 | 0.8663 | 4.141 | 4 |
| DecisionTree | 0.736 | 5.2702 | 4.4625 | 0.7607 | 5.4633 | 4 |
| KNeighbors | 0.6996 | 5.6221 | 4.4731 | 0.6596 | 6.6997 | 4 |
| LinearRegression | 0.5878 | 6.5857 | 5.5928 | 0.6274 | 7.0012 | 4 |
| Ridge | 0.5868 | 6.5941 | 5.5963 | 0.6277 | 7.0004 | 4 |
| Lasso | 0.5863 | 6.5978 | 5.597 | 0.6276 | 7.0018 | 4 |
| ElasticNet | 0.5862 | 6.5987 | 5.598 | 0.6277 | 7.0004 | 4 |
| CatBoost | 0.9248 | 2.6559 | 1.8868 | 0.9175 | 3.2195 | 5 |
| XGBoost | 0.9215 | 2.7133 | 1.7232 | 0.9046 | 3.4968 | 5 |
| GradientBoosting | 0.8991 | 3.0762 | 2.0002 | 0.9033 | 3.5734 | 5 |
| ExtraTrees | 0.8924 | 3.1767 | 2.5468 | 0.8813 | 4.0073 | 5 |
| LightGBM | 0.8805 | 3.3481 | 2.5556 | 0.8674 | 4.2061 | 5 |
| RandomForest | 0.8642 | 3.57 | 2.7763 | 0.8692 | 4.2182 | 5 |
| SVR | 0.8084 | 4.2397 | 3.2075 | 0.8534 | 4.4186 | 5 |
| MLP | 0.7387 | 4.9509 | 4.0228 | 0.899 | 3.6619 | 5 |
| DecisionTree | 0.738 | 4.9583 | 4.045 | 0.8313 | 4.7348 | 5 |
| KNeighbors | 0.7002 | 5.3034 | 3.9112 | 0.6854 | 6.6324 | 5 |
| ElasticNet | 0.554 | 6.4685 | 5.189 | 0.6333 | 7.0276 | 5 |
| Lasso | 0.5533 | 6.4739 | 5.1855 | 0.6332 | 7.0283 | 5 |
| Ridge | 0.5509 | 6.4909 | 5.1968 | 0.6334 | 7.026 | 5 |
| LinearRegression | 0.544 | 6.5404 | 5.2163 | 0.6336 | 7.0214 | 5 |
| XGBoost | 0.9439 | 2.557 | 1.8363 | 0.908 | 3.3954 | 6 |
| CatBoost | 0.943 | 2.5773 | 1.986 | 0.9146 | 3.2632 | 6 |
| GradientBoosting | 0.9279 | 2.899 | 2.0394 | 0.905 | 3.4222 | 6 |
| SVR | 0.8923 | 3.544 | 2.8536 | 0.8322 | 4.5862 | 6 |
| ExtraTrees | 0.8849 | 3.6638 | 2.9152 | 0.8776 | 3.9888 | 6 |
| LightGBM | 0.877 | 3.787 | 3.0202 | 0.8284 | 4.7531 | 6 |
| RandomForest | 0.8723 | 3.8591 | 3.1022 | 0.8575 | 4.3389 | 6 |
| MLP | 0.8655 | 3.9601 | 3.1953 | 0.8674 | 4.0941 | 6 |
| DecisionTree | 0.739 | 5.5171 | 4.6455 | 0.7386 | 5.7387 | 6 |
| KNeighbors | 0.7148 | 5.7666 | 4.6138 | 0.652 | 6.8958 | 6 |
| LinearRegression | 0.6376 | 6.5006 | 5.4315 | 0.624 | 7.0016 | 6 |
| Lasso | 0.637 | 6.5059 | 5.4345 | 0.624 | 7.0027 | 6 |
| Ridge | 0.6362 | 6.5139 | 5.4418 | 0.624 | 7.0027 | 6 |
| ElasticNet | 0.6353 | 6.5212 | 5.4469 | 0.624 | 7.0032 | 6 |
| CatBoost | 0.8367 | 3.3921 | 2.5945 | 0.9291 | 3.0499 | 7 |
| XGBoost | 0.8022 | 3.7332 | 2.9258 | 0.9356 | 2.977 | 7 |
| ExtraTrees | 0.8008 | 3.7457 | 3.0452 | 0.8959 | 3.7686 | 7 |
| LightGBM | 0.7974 | 3.7775 | 3.116 | 0.866 | 4.2277 | 7 |
| GradientBoosting | 0.7967 | 3.784 | 2.8242 | 0.9248 | 3.1941 | 7 |
| RandomForest | 0.788 | 3.8643 | 3.0317 | 0.8778 | 4.1161 | 7 |
| SVR | 0.7745 | 3.986 | 3.2161 | 0.8489 | 4.5428 | 7 |
| MLP | 0.7334 | 4.3333 | 3.6347 | 0.8426 | 4.645 | 7 |
| KNeighbors | 0.6532 | 4.943 | 3.8896 | 0.7103 | 6.3176 | 7 |
| DecisionTree | 0.5861 | 5.3999 | 4.5492 | 0.7642 | 5.7264 | 7 |
| Lasso | 0.4169 | 6.4091 | 5.2824 | 0.6323 | 7.0564 | 7 |
| ElasticNet | 0.4156 | 6.4163 | 5.2876 | 0.6322 | 7.0568 | 7 |
| Ridge | 0.4145 | 6.4221 | 5.2911 | 0.6322 | 7.056 | 7 |
| LinearRegression | 0.4122 | 6.435 | 5.3004 | 0.6322 | 7.0543 | 7 |
| CatBoost | 0.9469 | 2.7856 | 2.1058 | 0.9088 | 3.2681 | 8 |
| XGBoost | 0.9431 | 2.8843 | 2.0608 | 0.9112 | 3.29 | 8 |
| GradientBoosting | 0.9268 | 3.2716 | 2.3197 | 0.9023 | 3.4144 | 8 |
| LightGBM | 0.9222 | 3.3736 | 2.4765 | 0.8357 | 4.5543 | 8 |
| RandomForest | 0.8916 | 3.9812 | 3.0747 | 0.8481 | 4.2675 | 8 |
| ExtraTrees | 0.8864 | 4.0755 | 3.2277 | 0.8762 | 3.8608 | 8 |
| SVR | 0.8755 | 4.2665 | 3.3299 | 0.8175 | 4.631 | 8 |
| MLP | 0.8566 | 4.5785 | 3.5956 | 0.8531 | 4.1666 | 8 |
| DecisionTree | 0.7286 | 6.2985 | 4.7167 | 0.7629 | 5.3199 | 8 |
| KNeighbors | 0.6927 | 6.7023 | 4.8752 | 0.6559 | 6.5889 | 8 |
| LinearRegression | 0.6781 | 6.8603 | 5.6953 | 0.6039 | 6.9526 | 8 |
| Ridge | 0.6779 | 6.8622 | 5.6975 | 0.6039 | 6.9525 | 8 |
| Lasso | 0.6779 | 6.862 | 5.6974 | 0.6039 | 6.9526 | 8 |
| ElasticNet | 0.6776 | 6.8656 | 5.7013 | 0.6039 | 6.9526 | 8 |
| CatBoost | 0.9249 | 3.0706 | 2.0918 | 0.9262 | 3.1121 | 9 |
| XGBoost | 0.9199 | 3.1731 | 2.3622 | 0.9171 | 3.252 | 9 |
| GradientBoosting | 0.919 | 3.1904 | 2.3459 | 0.9101 | 3.4089 | 9 |
| LightGBM | 0.9049 | 3.4556 | 2.2741 | 0.8411 | 4.521 | 9 |
| RandomForest | 0.9022 | 3.5044 | 2.64 | 0.8658 | 4.151 | 9 |
| ExtraTrees | 0.8922 | 3.6796 | 2.9456 | 0.8847 | 3.8631 | 9 |
| DecisionTree | 0.8426 | 4.4466 | 3.6427 | 0.8425 | 4.445 | 9 |
| SVR | 0.8423 | 4.4506 | 3.3924 | 0.8318 | 4.6183 | 9 |
| KNeighbors | 0.7727 | 5.3433 | 4.2427 | 0.6704 | 6.5229 | 9 |
| MLP | 0.7182 | 5.9498 | 4.8059 | 0.8907 | 3.6939 | 9 |
| ElasticNet | 0.5128 | 7.8234 | 6.4292 | 0.6535 | 6.572 | 9 |
| Lasso | 0.5126 | 7.8248 | 6.4294 | 0.6535 | 6.5722 | 9 |
| LinearRegression | 0.5126 | 7.8253 | 6.4295 | 0.6535 | 6.5722 | 9 |
| Ridge | 0.5126 | 7.8246 | 6.4294 | 0.6535 | 6.5721 | 9 |
| XGBoost | 0.9104 | 3.2319 | 2.2339 | 0.9055 | 3.4885 | 10 |
| ExtraTrees | 0.9081 | 3.2733 | 2.7139 | 0.8554 | 4.3791 | 10 |
| CatBoost | 0.9079 | 3.2764 | 2.215 | 0.9038 | 3.5705 | 10 |
| RandomForest | 0.9047 | 3.333 | 2.6334 | 0.8377 | 4.608 | 10 |
| GradientBoosting | 0.8978 | 3.4517 | 2.3268 | 0.8776 | 3.9871 | 10 |
| MLP | 0.883 | 3.693 | 2.8804 | 0.8555 | 4.3752 | 10 |
| LightGBM | 0.8754 | 3.8108 | 2.7363 | 0.8574 | 4.3138 | 10 |
| SVR | 0.8585 | 4.0614 | 2.9323 | 0.8134 | 4.9601 | 10 |
| DecisionTree | 0.845 | 4.2507 | 3.4263 | 0.7836 | 5.2976 | 10 |
| KNeighbors | 0.8125 | 4.6745 | 3.6989 | 0.6521 | 6.8167 | 10 |
| Lasso | 0.6516 | 6.3729 | 5.2726 | 0.6136 | 7.1204 | 10 |
| Ridge | 0.651 | 6.378 | 5.2866 | 0.6139 | 7.1216 | 10 |
| ElasticNet | 0.651 | 6.3783 | 5.2771 | 0.6133 | 7.1288 | 10 |
| LinearRegression | 0.6475 | 6.4103 | 5.3269 | 0.6137 | 7.1116 | 10 |
| XGBoost | 0.9095 | 3.363 | 2.5279 | 0.9045 | 3.5388 | 11 |
| CatBoost | 0.8982 | 3.5671 | 2.5502 | 0.9298 | 2.9618 | 11 |
| GradientBoosting | 0.8904 | 3.7011 | 2.6252 | 0.8838 | 3.7533 | 11 |
| ExtraTrees | 0.8824 | 3.8341 | 3.2904 | 0.8779 | 3.9817 | 11 |
| RandomForest | 0.8821 | 3.8379 | 3.0885 | 0.8646 | 4.2851 | 11 |
| LightGBM | 0.8754 | 3.9456 | 2.887 | 0.8362 | 4.6651 | 11 |
| SVR | 0.8379 | 4.5017 | 3.4877 | 0.8149 | 4.6814 | 11 |
| MLP | 0.7714 | 5.345 | 4.4674 | 0.7998 | 4.8324 | 11 |
| DecisionTree | 0.7682 | 5.3827 | 4.3376 | 0.7325 | 5.7177 | 11 |
| KNeighbors | 0.7662 | 5.4058 | 4.0847 | 0.6039 | 7.3523 | 11 |
| LinearRegression | 0.5577 | 7.4352 | 6.0354 | 0.614 | 7.0752 | 11 |
| Ridge | 0.5576 | 7.4357 | 6.0358 | 0.614 | 7.0754 | 11 |
| Lasso | 0.5576 | 7.4357 | 6.0357 | 0.614 | 7.0755 | 11 |
| ElasticNet | 0.5575 | 7.4367 | 6.0366 | 0.614 | 7.076 | 11 |
| XGBoost | 0.9392 | 2.8711 | 2.1712 | 0.8677 | 3.8619 | 12 |
| GradientBoosting | 0.9292 | 3.0976 | 2.1658 | 0.8797 | 3.7281 | 12 |
| CatBoost | 0.9233 | 3.2249 | 2.3917 | 0.8983 | 3.4023 | 12 |
| ExtraTrees | 0.8682 | 4.2272 | 3.4336 | 0.8643 | 3.9737 | 12 |
| RandomForest | 0.8633 | 4.3058 | 3.4128 | 0.8483 | 4.2547 | 12 |
| SVR | 0.8632 | 4.3072 | 3.4325 | 0.8218 | 4.4909 | 12 |
| LightGBM | 0.8416 | 4.6348 | 3.2347 | 0.8366 | 4.491 | 12 |
| MLP | 0.8327 | 4.7628 | 4.033 | 0.8419 | 4.2948 | 12 |
| LinearRegression | 0.7223 | 6.1363 | 5.1091 | 0.5658 | 7.2461 | 12 |
| Lasso | 0.7222 | 6.137 | 5.1094 | 0.5658 | 7.2462 | 12 |
| Ridge | 0.7207 | 6.1542 | 5.1201 | 0.5665 | 7.2464 | 12 |
| ElasticNet | 0.7199 | 6.1628 | 5.1274 | 0.5665 | 7.2466 | 12 |
| KNeighbors | 0.6923 | 6.4591 | 4.8027 | 0.5979 | 7.1792 | 12 |
| DecisionTree | 0.6711 | 6.6778 | 5.2014 | 0.74 | 5.464 | 12 |
| XGBoost | 0.9495 | 3.1401 | 2.3151 | 0.8864 | 3.5771 | 13 |
| CatBoost | 0.9448 | 3.2845 | 2.5357 | 0.9031 | 3.2987 | 13 |
| GradientBoosting | 0.9413 | 3.386 | 2.5505 | 0.8825 | 3.6295 | 13 |
| LightGBM | 0.922 | 3.9024 | 2.8814 | 0.842 | 4.1964 | 13 |
| ExtraTrees | 0.9059 | 4.2863 | 3.6585 | 0.8494 | 4.0873 | 13 |
| SVR | 0.8776 | 4.8893 | 3.91 | 0.8363 | 4.2708 | 13 |
| MLP | 0.8648 | 5.1398 | 4.3815 | 0.8599 | 3.949 | 13 |
| RandomForest | 0.8451 | 5.5009 | 4.2629 | 0.8502 | 4.1057 | 13 |
| DecisionTree | 0.8428 | 5.5422 | 4.6208 | 0.7865 | 4.9059 | 13 |
| KNeighbors | 0.6495 | 8.2747 | 6.2872 | 0.5991 | 6.6639 | 13 |
| LinearRegression | 0.6427 | 8.3546 | 6.6651 | 0.6226 | 6.5361 | 13 |
| Ridge | 0.6414 | 8.3698 | 6.6648 | 0.6228 | 6.5349 | 13 |
| ElasticNet | 0.6407 | 8.3777 | 6.6647 | 0.6228 | 6.5349 | 13 |
| Lasso | 0.6399 | 8.3866 | 6.6689 | 0.6227 | 6.5356 | 13 |
| XGBoost | 0.9486 | 2.5566 | 1.8771 | 0.8871 | 3.6233 | 14 |
| CatBoost | 0.9442 | 2.6624 | 1.988 | 0.895 | 3.395 | 14 |
| GradientBoosting | 0.9365 | 2.8409 | 1.9553 | 0.8897 | 3.5488 | 14 |
| ExtraTrees | 0.9247 | 3.0934 | 2.5661 | 0.8419 | 4.3006 | 14 |
| LightGBM | 0.906 | 3.456 | 2.6451 | 0.8103 | 4.6583 | 14 |
| RandomForest | 0.9047 | 3.4805 | 2.8058 | 0.8311 | 4.4967 | 14 |
| SVR | 0.8743 | 3.9974 | 3.007 | 0.812 | 4.5625 | 14 |
| MLP | 0.8597 | 4.2223 | 3.5695 | 0.8428 | 4.1671 | 14 |
| DecisionTree | 0.7732 | 5.3693 | 4.4792 | 0.7525 | 5.4252 | 14 |
| KNeighbors | 0.6803 | 6.3741 | 4.8464 | 0.6464 | 6.6296 | 14 |
| LinearRegression | 0.6767 | 6.4103 | 5.3225 | 0.5786 | 7.0904 | 14 |
| Ridge | 0.6734 | 6.4428 | 5.3297 | 0.5804 | 7.09 | 14 |
| Lasso | 0.6731 | 6.4462 | 5.3276 | 0.5797 | 7.0931 | 14 |
| ElasticNet | 0.6716 | 6.4606 | 5.3364 | 0.5806 | 7.0909 | 14 |
| CatBoost | 0.8846 | 3.36 | 2.6998 | 0.9263 | 3.0492 | 15 |
| XGBoost | 0.8719 | 3.5397 | 2.602 | 0.9075 | 3.4121 | 15 |
| GradientBoosting | 0.8618 | 3.6769 | 2.7795 | 0.8883 | 3.7286 | 15 |
| ExtraTrees | 0.8551 | 3.7643 | 3.0283 | 0.8925 | 3.7475 | 15 |
| RandomForest | 0.8474 | 3.8628 | 3.2067 | 0.8693 | 4.1718 | 15 |
| LightGBM | 0.8021 | 4.3995 | 3.5007 | 0.8529 | 4.3372 | 15 |
| SVR | 0.7956 | 4.4709 | 3.4907 | 0.8442 | 4.4722 | 15 |
| DecisionTree | 0.7649 | 4.7955 | 3.5861 | 0.8022 | 5.0637 | 15 |
| MLP | 0.7443 | 5.0007 | 4.0799 | 0.8622 | 4.2037 | 15 |
| KNeighbors | 0.6382 | 5.949 | 4.5333 | 0.7234 | 6.1986 | 15 |
| LinearRegression | 0.5964 | 6.2833 | 4.742 | 0.6246 | 7.0054 | 15 |
| Lasso | 0.5939 | 6.3023 | 4.7371 | 0.6259 | 7.004 | 15 |
| Ridge | 0.5931 | 6.3083 | 4.7474 | 0.6263 | 7.0015 | 15 |
| ElasticNet | 0.5915 | 6.3212 | 4.7563 | 0.6265 | 7.002 | 15 |
| CatBoost | 0.9442 | 2.7782 | 1.7931 | 0.918 | 3.2227 | 16 |
| XGBoost | 0.9401 | 2.8788 | 1.992 | 0.9172 | 3.2661 | 16 |
| GradientBoosting | 0.9165 | 3.3981 | 2.2245 | 0.9147 | 3.3087 | 16 |
| ExtraTrees | 0.9079 | 3.5676 | 2.9641 | 0.8895 | 3.7455 | 16 |
| RandomForest | 0.89 | 3.8999 | 3.0664 | 0.8725 | 4.0374 | 16 |
| LightGBM | 0.8886 | 3.9255 | 2.8282 | 0.8864 | 3.863 | 16 |
| SVR | 0.8527 | 4.5136 | 3.4466 | 0.8654 | 4.1381 | 16 |
| MLP | 0.8014 | 5.2398 | 4.154 | 0.8934 | 3.6466 | 16 |
| DecisionTree | 0.7907 | 5.3797 | 4.1956 | 0.7645 | 5.4268 | 16 |
| KNeighbors | 0.7727 | 5.6064 | 4.3284 | 0.6546 | 6.6366 | 16 |
| ElasticNet | 0.5974 | 7.4609 | 6.0042 | 0.6356 | 6.7751 | 16 |
| Ridge | 0.5971 | 7.4635 | 6.0055 | 0.6356 | 6.7755 | 16 |
| Lasso | 0.5967 | 7.4675 | 6.0073 | 0.6354 | 6.7769 | 16 |
| LinearRegression | 0.5966 | 7.4681 | 6.0077 | 0.6354 | 6.7771 | 16 |
| CatBoost | 0.9485 | 3.1585 | 2.4146 | 0.8967 | 3.3706 | 17 |
| GradientBoosting | 0.9327 | 3.611 | 2.5344 | 0.8911 | 3.4823 | 17 |
| XGBoost | 0.9299 | 3.6856 | 2.6912 | 0.8887 | 3.531 | 17 |
| ExtraTrees | 0.9259 | 3.7892 | 3.0982 | 0.8661 | 3.8917 | 17 |
| LightGBM | 0.9182 | 3.9824 | 2.9991 | 0.8463 | 4.1813 | 17 |
| MLP | 0.9109 | 4.1556 | 3.0083 | 0.8706 | 3.7336 | 17 |
| DecisionTree | 0.9046 | 4.2993 | 3.3245 | 0.796 | 4.7267 | 17 |
| RandomForest | 0.8945 | 4.5213 | 3.5257 | 0.837 | 4.297 | 17 |
| SVR | 0.8822 | 4.7787 | 3.6541 | 0.8175 | 4.4347 | 17 |
| KNeighbors | 0.7435 | 7.0501 | 5.3603 | 0.5791 | 6.8743 | 17 |
| LinearRegression | 0.7061 | 7.5467 | 6.0846 | 0.6058 | 6.7127 | 17 |
| Ridge | 0.7012 | 7.6099 | 6.1621 | 0.6074 | 6.708 | 17 |
| Lasso | 0.7004 | 7.6198 | 6.1664 | 0.6066 | 6.7125 | 17 |
| ElasticNet | 0.6986 | 7.6429 | 6.1986 | 0.6075 | 6.7087 | 17 |
| ExtraTrees | 0.8478 | 3.6695 | 2.969 | 0.9047 | 3.6425 | 18 |
| XGBoost | 0.8414 | 3.7464 | 2.7587 | 0.9166 | 3.382 | 18 |
| CatBoost | 0.8281 | 3.8997 | 2.9294 | 0.9356 | 2.9764 | 18 |
| GradientBoosting | 0.8222 | 3.9661 | 2.8306 | 0.9205 | 3.2998 | 18 |
| RandomForest | 0.8127 | 4.0711 | 3.3184 | 0.8876 | 3.964 | 18 |
| LightGBM | 0.8003 | 4.2038 | 3.0064 | 0.8493 | 4.5896 | 18 |
| SVR | 0.7462 | 4.7392 | 3.6377 | 0.8687 | 4.3002 | 18 |
| KNeighbors | 0.7028 | 5.1281 | 4.0929 | 0.6899 | 6.574 | 18 |
| MLP | 0.667 | 5.428 | 4.3937 | 0.8975 | 3.7024 | 18 |
| DecisionTree | 0.5783 | 6.1083 | 4.8724 | 0.7801 | 5.5124 | 18 |
| Lasso | 0.4968 | 6.6725 | 5.3074 | 0.6482 | 6.9713 | 18 |
| ElasticNet | 0.4965 | 6.6743 | 5.3096 | 0.6482 | 6.9708 | 18 |
| Ridge | 0.4954 | 6.6818 | 5.3127 | 0.6482 | 6.9706 | 18 |
| LinearRegression | 0.4934 | 6.6954 | 5.3171 | 0.648 | 6.9709 | 18 |
| CatBoost | 0.9222 | 2.9547 | 2.3238 | 0.9272 | 3.0337 | 19 |
| XGBoost | 0.9197 | 3.0016 | 2.3155 | 0.9326 | 2.9614 | 19 |
| GradientBoosting | 0.9175 | 3.0421 | 2.3079 | 0.9134 | 3.3414 | 19 |
| RandomForest | 0.8868 | 3.5635 | 2.9678 | 0.8588 | 4.2661 | 19 |
| ExtraTrees | 0.8863 | 3.5714 | 2.8125 | 0.8775 | 3.965 | 19 |
| LightGBM | 0.878 | 3.6998 | 2.7497 | 0.854 | 4.2984 | 19 |
| SVR | 0.8387 | 4.2547 | 3.0751 | 0.854 | 4.3311 | 19 |
| DecisionTree | 0.8087 | 4.6329 | 3.6258 | 0.7916 | 5.1481 | 19 |
| MLP | 0.7055 | 5.7493 | 4.5797 | 0.8688 | 4.1353 | 19 |
| KNeighbors | 0.5931 | 6.7579 | 5.1132 | 0.6839 | 6.3987 | 19 |
| ElasticNet | 0.5461 | 7.137 | 5.8042 | 0.6531 | 6.754 | 19 |
| Lasso | 0.5459 | 7.139 | 5.8049 | 0.6531 | 6.7537 | 19 |
| Ridge | 0.5458 | 7.1392 | 5.8052 | 0.6531 | 6.7538 | 19 |
| LinearRegression | 0.5457 | 7.1401 | 5.8055 | 0.6531 | 6.7536 | 19 |
| CatBoost | 0.9512 | 2.6457 | 1.9785 | 0.9053 | 3.3857 | 20 |
| XGBoost | 0.9441 | 2.8311 | 2.0372 | 0.8944 | 3.6094 | 20 |
| GradientBoosting | 0.9206 | 3.3731 | 2.4217 | 0.9002 | 3.5283 | 20 |
| ExtraTrees | 0.9007 | 3.7717 | 2.9212 | 0.8904 | 3.6705 | 20 |
| LightGBM | 0.8941 | 3.8968 | 2.5787 | 0.8157 | 4.7705 | 20 |
| DecisionTree | 0.8903 | 3.9657 | 3.2683 | 0.8084 | 4.8331 | 20 |
| RandomForest | 0.8879 | 4.0076 | 3.038 | 0.8621 | 4.1729 | 20 |
| SVR | 0.8715 | 4.2923 | 3.2819 | 0.846 | 4.3393 | 20 |
| MLP | 0.7837 | 5.5679 | 4.5253 | 0.8489 | 4.2407 | 20 |
| KNeighbors | 0.6805 | 6.7669 | 4.7924 | 0.6652 | 6.5863 | 20 |
| Ridge | 0.6313 | 7.2699 | 5.9644 | 0.6039 | 6.929 | 20 |
| ElasticNet | 0.6313 | 7.2698 | 5.9571 | 0.604 | 6.9295 | 20 |
| Lasso | 0.6312 | 7.2709 | 5.9521 | 0.6041 | 6.9299 | 20 |
| LinearRegression | 0.6311 | 7.2713 | 5.974 | 0.6036 | 6.9283 | 20 |
| CatBoost | 0.9084 | 3.09 | 2.1586 | 0.9285 | 3.1159 | 21 |
| GradientBoosting | 0.9043 | 3.1584 | 2.2339 | 0.8901 | 3.7854 | 21 |
| XGBoost | 0.8848 | 3.4659 | 2.3619 | 0.902 | 3.5846 | 21 |
| LightGBM | 0.8845 | 3.4697 | 2.4531 | 0.8455 | 4.4469 | 21 |
| RandomForest | 0.8653 | 3.7474 | 3.0338 | 0.865 | 4.2821 | 21 |
| ExtraTrees | 0.8337 | 4.1637 | 3.2727 | 0.8829 | 4.0019 | 21 |
| SVR | 0.7821 | 4.7654 | 3.5945 | 0.8487 | 4.5667 | 21 |
| DecisionTree | 0.6902 | 5.6826 | 4.6767 | 0.7479 | 5.8399 | 21 |
| MLP | 0.6862 | 5.7197 | 4.7232 | 0.8745 | 4.1805 | 21 |
| KNeighbors | 0.6494 | 6.0452 | 4.3715 | 0.6956 | 6.4446 | 21 |
| ElasticNet | 0.5092 | 7.1525 | 5.8389 | 0.6582 | 6.7383 | 21 |
| Ridge | 0.5087 | 7.156 | 5.8388 | 0.6582 | 6.7379 | 21 |
| Lasso | 0.5087 | 7.1565 | 5.8374 | 0.6582 | 6.7376 | 21 |
| LinearRegression | 0.5078 | 7.163 | 5.8383 | 0.6581 | 6.7366 | 21 |
| CatBoost | 0.9462 | 2.5225 | 1.998 | 0.9151 | 3.3583 | 22 |
| XGBoost | 0.9193 | 3.0889 | 2.3159 | 0.9151 | 3.338 | 22 |
| ExtraTrees | 0.919 | 3.0956 | 2.3566 | 0.8802 | 3.9616 | 22 |
| LightGBM | 0.9073 | 3.3112 | 2.2262 | 0.8565 | 4.3439 | 22 |
| GradientBoosting | 0.8886 | 3.6294 | 2.5989 | 0.9035 | 3.5557 | 22 |
| RandomForest | 0.8676 | 3.9561 | 2.8271 | 0.861 | 4.2643 | 22 |
| SVR | 0.8518 | 4.1863 | 3.3504 | 0.8383 | 4.6031 | 22 |
| MLP | 0.8384 | 4.3711 | 3.6608 | 0.8407 | 4.5787 | 22 |
| DecisionTree | 0.7472 | 5.4674 | 4.5319 | 0.7769 | 5.4051 | 22 |
| KNeighbors | 0.6958 | 5.998 | 4.3274 | 0.6912 | 6.3763 | 22 |
| ElasticNet | 0.6555 | 6.3823 | 5.3863 | 0.646 | 6.8528 | 22 |
| Lasso | 0.6552 | 6.3855 | 5.3823 | 0.646 | 6.8519 | 22 |
| Ridge | 0.6549 | 6.3885 | 5.3865 | 0.646 | 6.8523 | 22 |
| LinearRegression | 0.6534 | 6.4021 | 5.387 | 0.646 | 6.852 | 22 |
| CatBoost | 0.9507 | 2.6954 | 1.9522 | 0.9202 | 3.1335 | 23 |
| SVR | 0.9192 | 3.4504 | 2.6118 | 0.86 | 4.1881 | 23 |
| ExtraTrees | 0.9187 | 3.4603 | 2.7364 | 0.8773 | 3.9162 | 23 |
| GradientBoosting | 0.9107 | 3.6263 | 2.4295 | 0.9155 | 3.2791 | 23 |
| XGBoost | 0.9098 | 3.6452 | 2.4856 | 0.9282 | 3.0365 | 23 |
| RandomForest | 0.9087 | 3.6682 | 2.8844 | 0.8549 | 4.2511 | 23 |
| LightGBM | 0.8696 | 4.3831 | 3.072 | 0.8349 | 4.5328 | 23 |
| MLP | 0.8621 | 4.5077 | 3.7432 | 0.8635 | 4.1211 | 23 |
| DecisionTree | 0.8285 | 5.0265 | 3.9714 | 0.7567 | 5.4989 | 23 |
| KNeighbors | 0.7807 | 5.6844 | 4.2173 | 0.6231 | 6.9149 | 23 |
| LinearRegression | 0.689 | 6.7686 | 5.5431 | 0.5978 | 7.0433 | 23 |
| Lasso | 0.689 | 6.7692 | 5.5438 | 0.5978 | 7.0434 | 23 |
| Ridge | 0.6888 | 6.7705 | 5.5453 | 0.5978 | 7.0434 | 23 |
| ElasticNet | 0.6887 | 6.7718 | 5.5468 | 0.5978 | 7.0436 | 23 |
| CatBoost | 0.9551 | 2.783 | 2.1612 | 0.9023 | 3.1017 | 24 |
| GradientBoosting | 0.9472 | 3.0179 | 2.3091 | 0.8786 | 3.433 | 24 |
| XGBoost | 0.9406 | 3.1999 | 2.5022 | 0.8898 | 3.3078 | 24 |
| LightGBM | 0.9232 | 3.6394 | 2.6643 | 0.8375 | 4.0463 | 24 |
| ExtraTrees | 0.9116 | 3.904 | 3.0649 | 0.8664 | 3.6892 | 24 |
| SVR | 0.8749 | 4.6446 | 3.6486 | 0.8182 | 4.2488 | 24 |
| RandomForest | 0.8637 | 4.8478 | 3.9354 | 0.8516 | 3.9799 | 24 |
| DecisionTree | 0.8555 | 4.9909 | 3.8607 | 0.809 | 4.3779 | 24 |
| MLP | 0.846 | 5.1528 | 4.3006 | 0.8404 | 3.9861 | 24 |
| KNeighbors | 0.7103 | 7.0668 | 5.8424 | 0.599 | 6.7504 | 24 |
| LinearRegression | 0.6452 | 7.8207 | 6.6026 | 0.565 | 6.8174 | 24 |
| Ridge | 0.6451 | 7.8223 | 6.6032 | 0.565 | 6.8175 | 24 |
| Lasso | 0.6451 | 7.8225 | 6.6031 | 0.565 | 6.8176 | 24 |
| ElasticNet | 0.6448 | 7.8258 | 6.6044 | 0.5651 | 6.8177 | 24 |
| CatBoost | 0.9334 | 2.7104 | 2.1613 | 0.9104 | 3.365 | 25 |
| GradientBoosting | 0.8983 | 3.3488 | 2.2235 | 0.9012 | 3.537 | 25 |
| XGBoost | 0.8967 | 3.3752 | 2.4045 | 0.9096 | 3.3406 | 25 |
| ExtraTrees | 0.8911 | 3.4646 | 2.6323 | 0.8802 | 3.9287 | 25 |
| SVR | 0.8731 | 3.7407 | 2.8403 | 0.8133 | 4.8907 | 25 |
| RandomForest | 0.8538 | 4.0156 | 3.1182 | 0.857 | 4.2602 | 25 |
| MLP | 0.8373 | 4.2351 | 3.5608 | 0.8534 | 4.3152 | 25 |
| LightGBM | 0.8289 | 4.3431 | 2.9035 | 0.8531 | 4.3279 | 25 |
| DecisionTree | 0.7244 | 5.5129 | 4.7306 | 0.7461 | 5.6451 | 25 |
| KNeighbors | 0.6988 | 5.7631 | 4.4883 | 0.6442 | 6.9113 | 25 |
| LinearRegression | 0.6924 | 5.8241 | 4.9444 | 0.5958 | 7.1363 | 25 |
| Ridge | 0.6923 | 5.8247 | 4.9454 | 0.5958 | 7.1364 | 25 |
| Lasso | 0.6923 | 5.8247 | 4.9455 | 0.5958 | 7.1364 | 25 |
| ElasticNet | 0.6922 | 5.8261 | 4.9477 | 0.5958 | 7.1366 | 25 |
| XGBoost | 0.9445 | 2.4657 | 1.8701 | 0.9029 | 3.5657 | 26 |
| CatBoost | 0.9443 | 2.4687 | 1.8411 | 0.9042 | 3.5537 | 26 |
| LightGBM | 0.9299 | 2.7707 | 1.9348 | 0.8385 | 4.5531 | 26 |
| GradientBoosting | 0.9245 | 2.8757 | 2.145 | 0.8968 | 3.6793 | 26 |
| ExtraTrees | 0.9019 | 3.2773 | 2.6205 | 0.893 | 3.7715 | 26 |
| SVR | 0.885 | 3.5476 | 2.9276 | 0.8237 | 4.8462 | 26 |
| RandomForest | 0.8597 | 3.9188 | 2.9551 | 0.8759 | 4.0674 | 26 |
| KNeighbors | 0.8333 | 4.2723 | 3.5009 | 0.6596 | 6.7094 | 26 |
| MLP | 0.8081 | 4.5836 | 3.8746 | 0.8408 | 4.5811 | 26 |
| DecisionTree | 0.777 | 4.9413 | 3.9367 | 0.7424 | 5.7795 | 26 |
| ElasticNet | 0.6566 | 6.1317 | 5.2344 | 0.6359 | 7.0061 | 26 |
| Lasso | 0.6563 | 6.1343 | 5.2319 | 0.6358 | 7.0067 | 26 |
| Ridge | 0.6559 | 6.1376 | 5.2444 | 0.6359 | 7.006 | 26 |
| LinearRegression | 0.6542 | 6.1523 | 5.2648 | 0.6353 | 7.0089 | 26 |
| XGBoost | 0.9283 | 2.9749 | 1.9757 | 0.9178 | 3.2001 | 27 |
| GradientBoosting | 0.9135 | 3.2677 | 2.2509 | 0.9141 | 3.282 | 27 |
| CatBoost | 0.8909 | 3.6702 | 2.4653 | 0.9214 | 3.0969 | 27 |
| ExtraTrees | 0.8874 | 3.7278 | 3.0551 | 0.8901 | 3.6865 | 27 |
| RandomForest | 0.8689 | 4.0232 | 3.2147 | 0.867 | 4.0731 | 27 |
| LightGBM | 0.8494 | 4.3114 | 3.0814 | 0.8572 | 4.2923 | 27 |
| SVR | 0.828 | 4.6072 | 3.6264 | 0.8464 | 4.3901 | 27 |
| MLP | 0.8248 | 4.6508 | 3.7296 | 0.903 | 3.478 | 27 |
| DecisionTree | 0.7591 | 5.4535 | 4.3257 | 0.7546 | 5.5847 | 27 |
| KNeighbors | 0.7406 | 5.6583 | 4.2953 | 0.6623 | 6.818 | 27 |
| Ridge | 0.6158 | 6.8868 | 5.6101 | 0.6372 | 6.8525 | 27 |
| ElasticNet | 0.6158 | 6.8868 | 5.6132 | 0.6372 | 6.8526 | 27 |
| Lasso | 0.6157 | 6.8871 | 5.609 | 0.6371 | 6.8525 | 27 |
| LinearRegression | 0.6157 | 6.8869 | 5.6074 | 0.6371 | 6.8525 | 27 |
| GradientBoosting | 0.9188 | 2.7343 | 1.9617 | 0.9112 | 3.4376 | 28 |
| XGBoost | 0.915 | 2.7971 | 2.0887 | 0.9132 | 3.3483 | 28 |
| LightGBM | 0.9099 | 2.8798 | 2.179 | 0.8356 | 4.7637 | 28 |
| CatBoost | 0.8983 | 3.0595 | 2.3184 | 0.9281 | 3.1239 | 28 |
| ExtraTrees | 0.8928 | 3.1416 | 2.5403 | 0.8856 | 3.9368 | 28 |
| RandomForest | 0.8746 | 3.3968 | 2.542 | 0.8772 | 4.1012 | 28 |
| SVR | 0.8398 | 3.84 | 2.9941 | 0.844 | 4.5646 | 28 |
| MLP | 0.7905 | 4.3904 | 3.6776 | 0.8667 | 4.2183 | 28 |
| DecisionTree | 0.7452 | 4.8423 | 3.9169 | 0.7533 | 5.7434 | 28 |
| KNeighbors | 0.6575 | 5.6141 | 4.5489 | 0.6815 | 6.5871 | 28 |
| ElasticNet | 0.566 | 6.3197 | 5.3963 | 0.6488 | 6.8973 | 28 |
| Ridge | 0.5648 | 6.3285 | 5.4084 | 0.6489 | 6.8967 | 28 |
| Lasso | 0.563 | 6.3417 | 5.4264 | 0.649 | 6.8951 | 28 |
| LinearRegression | 0.5626 | 6.3442 | 5.4296 | 0.6491 | 6.8949 | 28 |
| CatBoost | 0.9627 | 2.3113 | 1.7425 | 0.9182 | 3.2227 | 29 |
| XGBoost | 0.9503 | 2.6669 | 1.9102 | 0.8962 | 3.6079 | 29 |
| GradientBoosting | 0.9228 | 3.3233 | 2.2458 | 0.889 | 3.7145 | 29 |
| LightGBM | 0.9137 | 3.5147 | 2.7174 | 0.8439 | 4.439 | 29 |
| ExtraTrees | 0.9136 | 3.5163 | 2.857 | 0.8814 | 3.8748 | 29 |
| RandomForest | 0.8775 | 4.1863 | 3.4466 | 0.8557 | 4.2775 | 29 |
| SVR | 0.8618 | 4.4467 | 3.3173 | 0.8513 | 4.3612 | 29 |
| MLP | 0.8262 | 4.987 | 4.1373 | 0.8431 | 4.4839 | 29 |
| DecisionTree | 0.8061 | 5.2672 | 3.9692 | 0.8175 | 4.7925 | 29 |
| KNeighbors | 0.7876 | 5.513 | 4.4698 | 0.6658 | 6.5232 | 29 |
| Lasso | 0.5746 | 7.8024 | 6.6356 | 0.6567 | 6.6273 | 29 |
| Ridge | 0.5745 | 7.8033 | 6.6362 | 0.6569 | 6.6262 | 29 |
| ElasticNet | 0.5745 | 7.8029 | 6.638 | 0.6569 | 6.6259 | 29 |
| LinearRegression | 0.5744 | 7.8041 | 6.6365 | 0.6567 | 6.6277 | 29 |
References
- Meyer, C. The greening of the concrete industry. Cem. Concr. Compos. 2009, 31, 601–605. [Google Scholar] [CrossRef]
- Ahmaruzzaman, M. A review on the utilization of fly ash. Prog. Energy Combust. Sci. 2010, 36, 327–363. [Google Scholar] [CrossRef]
- Hardjito, D.; Rangan, B.V. Development and Properties of Low-Calcium Fly Ash-Based Geopolymer Concrete; Research Report GC 1; Faculty of Engineering; Curtin University of Technology: Perth, Australia, 2005. [Google Scholar]
- Hardjito, D.; Wallah, S.E.; Sumajouw, D.M.J.; Rangan, B.V. On the development of fly ash-based geopolymer concrete. ACI Mater. J. 2004, 101, 467–472. [Google Scholar] [CrossRef] [PubMed]
- Khale, D.; Chaudhary, R. Mechanism of geopolymerization and factors influencing its development: A review. J. Mater. Sci. 2007, 42, 729–746. [Google Scholar] [CrossRef]
- Nath, P.; Sarker, P.K. Effect of GGBFS on setting, workability and early strength properties of fly ash geopolymer concrete cured in ambient condition. Constr. Build. Mater. 2014, 66, 163–171. [Google Scholar] [CrossRef]
- Patankar, S.V.; Ghugal, Y.M.; Jamkar, S.S. Mix design of fly ash-based geopolymer concrete. In Advances in Structural Engineering; Springer: New Delhi, India, 2015. [Google Scholar] [CrossRef]
- Ansari, S.S.; Ibrahim, S.M.; Hasan, S.D. Conventional and ensemble machine learning models to predict the compressive strength of fly ash based geopolymer concrete. Mater. Today Proc. 2023, in press. [Google Scholar] [CrossRef]
- Gupta, P.; Gupta, N.; Saxena, K.K. Predicting compressive strength of geopolymer concrete using machine learning. Innov. Emerg. Technol. 2023, 10, 2350003. [Google Scholar] [CrossRef]
- Ahmad, A.; Ahmad, W.; Chaiyasarn, K.; Ostrowski, K.A.; Aslam, F.; Zajdel, P.; Joyklad, P. Prediction of geopolymer concrete compressive strength using novel machine learning algorithms. Polymers 2021, 13, 3389. [Google Scholar] [CrossRef] [PubMed]
- Dash, P.K.; Parhi, S.K.; Patro, S.K.; Panigrahi, R. Influence of chemical constituents of binder and activator in predicting compressive strength of fly ash-based geopolymer concrete using firefly-optimized hybrid ensemble machine learning model. Mater. Today Commun. 2023, 37, 107485. [Google Scholar] [CrossRef]
- Hu, T.; Zhang, H.; Cheng, C.; Li, H.; Zhou, J. Explainable machine learning: Compressive strength prediction of FRP-confined concrete column. Mater. Today Commun. 2024, 39, 108883. [Google Scholar] [CrossRef]
- Nguyen, T.K.; Huynh, T.A.; Dang, V.H.; Ahmed, A.; Thai, D.-K. From Machine Learning to Empirical Modelling: A Structured Framework for Predicting Compressive Strength of Fly Ash-Based Geopolymer Concrete. Buildings 2025, 16, 123. [Google Scholar] [CrossRef]
- Pham, V.N.; Nguyen, V.Q. Effects of alkaline activators and other factors on the properties of geopolymer concrete using industrial wastes based on GEP-based models. Eur. J. Environ. Civ. Eng. 2024, 28, 3770–3792. [Google Scholar] [CrossRef]
- Pham, V.N. Compressive strength of geopolymer concrete. Mendeley Data 2023, V1. [Google Scholar] [CrossRef]
- Alsalman, A.; Assi, L.N.; Kareem, R.S.; Carter, K.; Ziehl, P. Energy and CO2 emission assessments of alkali-activated concrete and ordinary Portland cement concrete: A comparative analysis of different grades of concrete. Clean. Environ. Syst. 2021, 3, 100047. [Google Scholar] [CrossRef]
- Davidovits, J. Geopolymer Chemistry and Applications; Institut Géopolymère: Saint-Quentin, France, 2008. [Google Scholar]
- Leonelli, C.; MacKenzie, K.J.; Seo, D.K.; Kriven, W.M. Geopolymer and alkali-activated materials: Chemistry, structure, and properties. Front. Chem. 2022, 10, 929163. [Google Scholar] [CrossRef] [PubMed]
- Shi, C.; Krivenko, P.V.; Roy, D. Alkali-Activated Cements and Concretes; Taylor and Francis: London, UK, 2003. [Google Scholar]
- Provis, J.L.; Yong, C.Z.; Duxson, P.; van Deventer, J.S.J. Correlating mechanical and thermal properties of sodium silicate–fly ash geopolymers. Colloids Surf. A Physicochem. Eng. Asp. 2009, 336, 57–63. [Google Scholar] [CrossRef]
- Habert, G.; d’Espinose de Lacaillerie, J.B.; Roussel, N. An environmental evaluation of geopolymer-based concrete production: Reviewing current research trends. J. Clean. Prod. 2011, 19, 1229–1238. [Google Scholar] [CrossRef]
- Temuujin, J.; van Riessen, A.; MacKenzie, K.J.D. Preparation and characterization of fly ash-based geopolymer mortars. Constr. Build. Mater. 2010, 24, 1906–1910. [Google Scholar] [CrossRef]
- Pacheco-Torgal, F.; Labrincha, J.; Leonelli, C.; Palomo, A.; Chindaprasit, P. Handbook of Alkali-Activated Cements, Mortars and Concretes; Elsevier: Oxford, UK, 2014. [Google Scholar]
- Miettinen, K. Nonlinear Multiobjective Optimization; Springer: New York, NY, USA, 1999. [Google Scholar] [CrossRef]
- Archetti, F.; Candelieri, A. Software Resources. In Bayesian Optimization and Data Science; Springer International Publishing: Cham, Switzerland, 2019; pp. 97–109. [Google Scholar]
- Wattanasiriwech, S.; Nurgesang, F.A.; Wattanasiriwech, D.; Timakul, P. Characterisation and properties of geopolymer composite part 1: Role of mullite reinforcement. Ceram. Int. 2017, 43, 16055–16062. [Google Scholar] [CrossRef]
- Assi, L.N.; Deaver, E.E.; Ziehl, P. Effect of source and particle size distribution on the mechanical and microstructural properties of fly ash-based geopolymer concrete. Constr. Build. Mater. 2018, 167, 372–380. [Google Scholar] [CrossRef]










| Variable | Mean | SD | Min | Max |
|---|---|---|---|---|
| Fly Aah (FA) | 255.2143 | 91.8794 | 120.000 | 530.000 |
| GGBFS | 164.6996 | 99.8852 | 0.000 | 360.000 |
| Coarse Aggregate | 991.2118 | 199.9069 | 525.4000 | 1276.8000 |
| Fine Aggregate (Sand) | 744.3048 | 84.6714 | 514.000 | 196.4000 |
| Na2SiO3 Solution | 149.2435 | 26.7160 | 76.2500 | 102.8571 |
| NaOH | 59.8875 | 11.7165 | 30.500 | 102.8571 |
| Na2O | 18.4245 | 3.9115 | 11.2100 | 28.8700 |
| SiO2 | 44.5342 | 7.9886 | 22.4200 | 57.80600 |
| Water (1) | 86.287 | 15.5516 | 42.6238 | 112.8214 |
| Concentration | 8.4689 | 2.2129 | 2.0000 | 16.000 |
| Water (2) | 39.9111 | 10.0020 | 13.4200 | 73.6000 |
| NaOH (Dry) | 19.9764 | 5.2394 | 3.4960 | 38.4000 |
| Additional water | 20.6293 | 53.1391 | 0.0000 | 170.000 |
| Superplasticizer | 11.7201 | 7.3765 | 0.0000 | 18.000 |
| Total water | 153.8571 | 62.0876 | 56.0438 | 303.5336 |
| Initial curing time | 0.2894 | 0.4543 | 0.0000 | 1.000 |
| Initial curing temp | 37.3040 | 21.2549 | 24.000 | 100.000 |
| Initial curing rest time | 0.9048 | 0.3181 | 0.0000 | 2.0000 |
| Final curing temp | 28.3297 | 2.6942 | 24.000 | 30.000 |
| Scenario | Weights Combinations (VIF, R2, RMSE, MultiR) |
|---|---|
| S1 | (0.05, 0.45, 0.45, 0.05) |
| S2 | (0.05, 0.50, 0.40, 0.05) |
| S3 | (0.05, 0.40, 0.50, 0.05) |
| S4 | (0.10, 0.40, 0.40, 0.10) |
| S5 | (0.10, 0.35, 0.45, 0.10) |
| S6 | (0.10, 0.45, 0.35, 0.10) |
| S7 | (0.15, 0.35, 0.35, 0.15) |
| S8 | (0.15, 0.40, 0.30, 0.15) |
| S9 | (0.15, 0.30, 0.40, 0.15) |
| S10 | (0.20, 0.30, 0.30, 0.20) |
| S11 | (0.20, 0.35, 0.25, 0.20) |
| S12 | (0.20, 0.25, 0.35, 0.20) |
| Single Variable Multiple R: Calculated for each Independent Variable (IV) separately |
| Step 1: Define regression problem as Equation (1) Step 2: Calculate R2 (Coefficient of Determination) according to Equations (2)–(4) Step 3: Calculate Multiple Correlation R according to Equation (5) where R_i ∈ [0, 1] |
| Total Multiple R: Calculated as an overall metric as given in Equation (6) |
| Properties: - Range: [0, V] - Minimum: 0 (perfect independence of IVs) - Maximum: V (complete redundancy of IVs) |
| ALGORITHM: Pareto Front Analysis and Optimal Selection INPUT: pareto_front: Set of non-dominated solutions from NSGA-II X_scaled: Standardized feature matrix y: Target variable weights: [w1, w2, w3, w4] objective weights OUTPUT: optimal_solution: Selected best compromise solution pareto_df: DataFrame with all solutions and metrics best_by_objective: Dictionary of best solutions per objective PROCEDURE: 1. Initialize result storage pareto_solutions ← [] 2. FOR EACH individual IN pareto_front DO (a) Decode binary representation variable_mask ← individual.binary_vector selected_vars ← DECODE(variable_mask) n_vars ← COUNT(selected_vars) (b) Extract subset data X_subset ← X_scaled[:, selected_vars] (c) Calculate VIF max_vif ← CALCULATE_MAX_VIF(X_subset, selected_vars) (d) Evaluate model performance (5-fold CV) r2, rmse ← EVALUATE_RANDOM_FOREST(X_subset, y) (e) Calculate Total Multiple R total_r ← 0 individual_r_scores ← [] FOR EACH var_idx IN selected_vars DO r_value ← CALCULATE_SINGLE_R(var_idx, X_subset) individual_r_scores.APPEND(r_value) total_r ← total_r + r_value END FOR avg_r ← total_r/n_vars (f) Store comprehensive metrics solution ← { ‘solution_id’: i, ‘n_variables’: n_vars, ‘max_vif’: max_vif, ‘r2’: r2, ‘rmse’: rmse, ‘total_multiple_r’: total_r, ‘avg_multiple_r’: avg_r, ‘variables’: selected_vars, ‘individual_r_scores’: individual_r_scores, ‘fitness’: individual.fitness.values } pareto_solutions.APPEND(solution) 3. Create DataFrame pareto_df ← DATAFRAME(pareto_solutions) 4. Identify best solutions by individual objectives best_by_objective ← { ‘vif’: pareto_df[pareto_df[‘max_vif’].IDXMIN()], ‘r2’: pareto_df[pareto_df[‘r2’].IDXMAX()], ‘rmse’: pareto_df[pareto_df[‘rmse’].IDXMIN()], ‘total_r’: pareto_df[pareto_df[‘total_multiple_r’].IDXMIN()] } 5. Calculate balanced (i.e., weighted) scores for all solutions FOR EACH solution IN pareto_df DO // Normalize objectives norm_vif ← 1/(1 + solution[‘max_vif’]/100) norm_r2 ← solution[‘r2’] norm_rmse ← 1/(1 + solution[‘rmse’]/10) norm_total_r ← 1/(1 + solution[‘total_multiple_r’]/10) // Weighted aggregation balanced_score ← w1 × norm_vif + w2 × norm_r2 + w3 × norm_rmse + w4 × norm_total_r solution[‘balanced_score’] ← balanced_score END FOR 6. Select optimal solution optimal_solution ← pareto_df[pareto_df[‘balanced_score’].IDXMAX()] 7. RETURN optimal_solution, pareto_df, best_by_objective END ALGORITHM |
| Parameter | Value |
| GA Population size | 60 |
| GA Generations | 40 |
| Objective weights | 12 scenarios |
| Dataset variables | 19 |
| Minimum variables to keep | 5 |
| Cross-validation folds | 5 |
| Random state | 42 |
| Scenario | Weights (VIF, R2, RMSE, MultiR) | N Vars | Max VIF of Solution | R2 | RMSE | Total Multi-R |
|---|---|---|---|---|---|---|
| S1 | (0.05, 0.45, 0.45, 0.05) | 9 | 36.01 | 0.9156 | 3.3044 | 8.2536 |
| S2 | (0.05, 0.50, 0.40, 0.05) | 9 | 36.01 | 0.9156 | 3.3044 | 8.2536 |
| S3 | (0.05, 0.40, 0.50, 0.05) | 9 | 36.01 | 0.9156 | 3.3044 | 8.2536 |
| S4 | (0.10, 0.40, 0.40, 0.10) | 7 | 11.76 | 0.9142 | 3.3294 | 5.7507 |
| S5 | (0.10, 0.35, 0.45, 0.10) | 7 | 11.76 | 0.9142 | 3.3294 | 5.7507 |
| S6 | (0.10, 0.45, 0.35, 0.10) | 7 | 11.76 | 0.9142 | 3.3294 | 5.7507 |
| S7 | (0.15, 0.35, 0.35, 0.15) | 7 | 11.76 | 0.9142 | 3.3294 | 5.7507 |
| S8 | (0.15, 0.40, 0.30, 0.15) | 7 | 11.76 | 0.9142 | 3.3294 | 5.7507 |
| S9 | (0.15, 0.30, 0.40, 0.15) | 7 | 11.76 | 0.9142 | 3.3294 | 5.7507 |
| S10 | (0.20, 0.30, 0.30, 0.20) | 7 | 11.76 | 0.9142 | 3.3294 | 5.7507 |
| S11 | (0.20, 0.35, 0.25, 0.20) | 7 | 11.76 | 0.9142 | 3.3294 | 5.7507 |
| S12 | (0.20, 0.25, 0.35, 0.20) | 7 | 11.76 | 0.9142 | 3.3294 | 5.7507 |
| Variable | Times Selected | Scenarios |
|---|---|---|
| Concentration(M) NaOH | 12/12 | S1, S2, S3, S4, S5, S6, S7, S8, S9, S10, S11, S12 |
| NaOH (Dry) | 12/12 | S1, S2, S3, S4, S5, S6, S7, S8, S9, S10, S11, S12 |
| GGBFS | 12/12 | S1, S2, S3, S4, S5, S6, S7, S8, S9, S10, S11, S12 |
| Initial curing temp (C) | 12/12 | S1, S2, S3, S4, S5, S6, S7, S8, S9, S10, S11, S12 |
| Coarse Aggregate | 12/12 | S1, S2, S3, S4, S5, S6, S7, S8, S9, S10, S11, S12 |
| Na2O (Dry) | 9/12 | S4, S5, S6, S7, S8, S9, S10, S11, S12 |
| Initial curing rest time (day) | 9/12 | S4, S5, S6, S7, S8, S9, S10, S11, S12 |
| Additional water | 3/12 | S1, S2, S3 |
| Initial curing time (day) | 3/12 | S1, S2, S3 |
| FA | 3/12 | S1, S2, S3 |
| Na2SiO3 | 3/12 | S1, S2, S3 |
| Solution ID | N Vars | Max VIF | R2 | RMSE | Total Multiple R | Balanced Score (ws) | Optimal |
|---|---|---|---|---|---|---|---|
| 1 | 5 | 1.7866 | 0.8902 | 3.7692 | 2.9706 | 0.2000 | False |
| 2 | 5 | 2.5093 | 0.8974 | 3.6401 | 3.1931 | 0.4082 | False |
| 3 | 5 | 2.6997 | 0.8927 | 3.729 | 3.1785 | 0.2662 | False |
| 4 | 5 | 2.8235 | 0.9032 | 3.5359 | 3.4096 | 0.576 | False |
| 5 | 5 | 2.9639 | 0.8905 | 3.7688 | 3.1313 | 0.2005 | False |
| 6 | 6 | 3.1136 | 0.9109 | 3.3943 | 4.3889 | 0.7919 | False |
| 7 | 7 | 3.7254 | 0.9122 | 3.3698 | 5.4745 | 0.8129 | False |
| 8 | 7 | 11.6182 | 0.9124 | 3.3646 | 5.6581 | 0.8129 | False |
| 9 | 7 | 11.7611 | 0.9142 | 3.3294 | 5.7507 | 0.8673 | True |
| 10 | 10 | 26.2126 | 0.9158 | 3.304 | 9.2227 | 0.8487 | False |
| 11 | 6 | 26.8715 | 0.9116 | 3.3814 | 4.6817 | 0.7932 | False |
| 12 | 9 | 36.0141 | 0.9156 | 3.3044 | 8.2536 | 0.8548 | False |
| 13 | 9 | 37.8616 | 0.9142 | 3.3308 | 7.8009 | 0.8189 | False |
| 14 | 10 | 162.9658 | 0.9164 | 3.2878 | 9.4148 | 0.7855 | False |
| 15 | 10 | 167.6364 | 0.917 | 3.2781 | 9.3437 | 0.8011 | False |
| Criterion | Solution ID | N Vars | VIF | R2 | RMSE | Multi-R |
|---|---|---|---|---|---|---|
| Min VIF | 1 | 5 | 1.79 | 0.8902 | 3.7692 | 2.9706 |
| Max R2 | 15 | 10 | 167.64 | 0.917 | 3.2781 | 9.3437 |
| Min RMSE | 15 | 10 | 167.64 | 0.917 | 3.2781 | 9.3437 |
| Min Multi-R | 1 | 5 | 1.79 | 0.8902 | 3.7692 | 2.9706 |
| Model | Holdout R2 | Holdout RMSE | Holdout MAE | CV R2 | CV RMSE |
|---|---|---|---|---|---|
| CatBoost | 0.9237 | 2.995 | 2.224 | 0.9152 | 3.2209 |
| XGBoost | 0.9167 | 3.1488 | 2.2867 | 0.906 | 3.3978 |
| Gradient Boosting | 0.9054 | 3.3722 | 2.3904 | 0.8996 | 3.5108 |
| ExtraTrees | 0.8894 | 3.6799 | 2.9701 | 0.8782 | 3.9005 |
| LightGBM | 0.8776 | 3.8502 | 2.7892 | 0.8449 | 4.406 |
| Random Forest | 0.8716 | 3.9903 | 3.1352 | 0.8597 | 4.2089 |
| SVR | 0.8513 | 4.2611 | 3.2999 | 0.8354 | 4.5054 |
| MLP | 0.8064 | 4.8227 | 3.9577 | 0.8579 | 4.1708 |
| Decision Tree | 0.7752 | 5.1786 | 4.1551 | 0.775 | 5.2726 |
| KNeighbors | 0.7142 | 5.9684 | 4.5852 | 0.6532 | 6.688 |
| Lasso | 0.6156 | 6.8971 | 5.6716 | 0.6184 | 6.9271 |
| ElasticNet | 0.6154 | 6.8994 | 5.6747 | 0.6185 | 6.9271 |
| Ridge | 0.6154 | 6.8981 | 5.674 | 0.6185 | 6.9266 |
| Linear Regression | 0.6153 | 6.8976 | 5.6743 | 0.6183 | 6.9264 |
| Model | Holdout R2 | Holdout RMSE | Holdout MAE | CV R2 | CV RMSE | Seed |
|---|---|---|---|---|---|---|
| CatBoost | 0.9627 | 2.3113 | 1.7425 | 0.9182 | 3.2227 | 29 |
| GradientBoosting | 0.9228 | 3.3233 | 2.2458 | 0.889 | 3.7145 | 29 |
| LightGBM | 0.9137 | 3.5147 | 2.7174 | 0.8439 | 4.439 | 29 |
| ExtraTrees | 0.9136 | 3.5163 | 2.857 | 0.8814 | 3.8748 | 29 |
| RandomForest | 0.8775 | 4.1863 | 3.4466 | 0.8557 | 4.2775 | 29 |
| SVR | 0.8618 | 4.4467 | 3.3173 | 0.8513 | 4.3612 | 29 |
| MLP | 0.8262 | 4.987 | 4.1373 | 0.8431 | 4.4839 | 29 |
| DecisionTree | 0.8061 | 5.2672 | 3.9692 | 0.8175 | 4.7925 | 29 |
| KNeighbors | 0.7876 | 5.513 | 4.4698 | 0.6658 | 6.5232 | 29 |
| Lasso | 0.5746 | 7.8024 | 6.6356 | 0.6567 | 6.6273 | 29 |
| Ridge | 0.5745 | 7.8033 | 6.6362 | 0.6569 | 6.6262 | 29 |
| ElasticNet | 0.5745 | 7.8029 | 6.638 | 0.6569 | 6.6259 | 29 |
| LinearRegression | 0.5744 | 7.8041 | 6.6365 | 0.6567 | 6.6277 | 29 |
| Literature | Data/Experimental Conditions | Methods/Analysis | Key Findings |
|---|---|---|---|
| Pham and Nguyen (2024) [14] | Broadly compiled industrial geopolymer mixes (various FA/GGBFS blends). | Gene Expression Programming (GEP)/experimental data compilation. | Highlighted the strong effect of alkaline activators and raw material composition. |
| Hardjito and Rangan (2005) [3] | Low-calcium FA, controlled curing (high temperature). | Experimental mechanical tests; microstructural analysis. | Demonstrated that heat curing accelerates early strength gain, with responses varying by mix composition. |
| Wattanasiriwech et al. (2017) [26] | Sequential curing at 90 °C, followed by humid and then dry curing at 40 °C. | Experimental strength testing. | Showed that multi-stage curing can produce consistently high strengths. |
| Assi (2016) [27] | Experimental tests and microstructural evaluation. | Reported that silica fume-based systems are less sensitive to curing conditions than sodium silicate systems. | Reported that silica fume-based systems are less sensitive to curing conditions than sodium silicate systems. |
| Present Study | 274 experimental records covering 19 variables (FA, GGBFS, Na2SiO3, NaOH, curing parameters, aggregates, water, SP, etc.). | Data preprocessing, correlation and network analysis, VIF calculation, multi-objective GA for feature selection, hyperparameter tuning; models: RF, XGBoost, LightGBM, CatBoost, SVR, MLP, etc. | Best performance achieved with CatBoost (R2 = 0.9583). GGBFS identified as most influential feature; NaOH (Dry) is also critical for estimation. |
Disclaimer/Publisher’s Note: The statements, opinions and data contained in all publications are solely those of the individual author(s) and contributor(s) and not of MDPI and/or the editor(s). MDPI and/or the editor(s) disclaim responsibility for any injury to people or property resulting from any ideas, methods, instructions or products referred to in the content. |
© 2026 by the authors. Licensee MDPI, Basel, Switzerland. This article is an open access article distributed under the terms and conditions of the Creative Commons Attribution (CC BY) license.
Share and Cite
Ahadian, F.; Işıkdağ, Ü.; Bekdaş, G.; Nigdeli, S.M.; Cakiroglu, C.; Geem, Z.W. Interpretable Machine Learning for Compressive Strength Prediction of Fly Ash-Based Geopolymer Concrete. Sustainability 2026, 18, 2227. https://doi.org/10.3390/su18052227
Ahadian F, Işıkdağ Ü, Bekdaş G, Nigdeli SM, Cakiroglu C, Geem ZW. Interpretable Machine Learning for Compressive Strength Prediction of Fly Ash-Based Geopolymer Concrete. Sustainability. 2026; 18(5):2227. https://doi.org/10.3390/su18052227
Chicago/Turabian StyleAhadian, Farnaz, Ümit Işıkdağ, Gebrail Bekdaş, Sinan Melih Nigdeli, Celal Cakiroglu, and Zong Woo Geem. 2026. "Interpretable Machine Learning for Compressive Strength Prediction of Fly Ash-Based Geopolymer Concrete" Sustainability 18, no. 5: 2227. https://doi.org/10.3390/su18052227
APA StyleAhadian, F., Işıkdağ, Ü., Bekdaş, G., Nigdeli, S. M., Cakiroglu, C., & Geem, Z. W. (2026). Interpretable Machine Learning for Compressive Strength Prediction of Fly Ash-Based Geopolymer Concrete. Sustainability, 18(5), 2227. https://doi.org/10.3390/su18052227

