Sign in to use this feature.

Years

Between: -

Subjects

remove_circle_outline
remove_circle_outline
remove_circle_outline
remove_circle_outline

Journals

Article Types

Countries / Regions

Search Results (7)

Search Parameters:
Keywords = peripheral 5-hydroxytryptamine metabolism

Order results
Result details
Results per page
Select all
Export citation of selected articles as:
14 pages, 2938 KB  
Article
Effects of Different Photoperiods on Peripheral 5-Hydroxytryptamine Metabolism, Breast Muscle Glucose Metabolism, and Myopathies in Broilers
by Miao Yu, Mengjie Xu, Guangju Wang, Jinghai Feng and Minhong Zhang
Metabolites 2024, 14(10), 567; https://doi.org/10.3390/metabo14100567 - 21 Oct 2024
Cited by 4 | Viewed by 1169
Abstract
Background: There is a close relationship between breast muscle glucose metabolism, peripheral 5-hydroxytryptamine (5-HT), and myopathies in animals. Here, this study aimed to investigate the effects of different photoperiods on peripheral 5-HT metabolism, white striping (WS), and wooden breast (WB) in broilers. [...] Read more.
Background: There is a close relationship between breast muscle glucose metabolism, peripheral 5-hydroxytryptamine (5-HT), and myopathies in animals. Here, this study aimed to investigate the effects of different photoperiods on peripheral 5-HT metabolism, white striping (WS), and wooden breast (WB) in broilers. Methods: A total of 216 healthy 5-day-old (d) Arbor Acres (AA) male broilers were randomly assigned to 12L:12D, 18L:6D, and 24L:0D photoperiods for 4 weeks. Results: Compared with the 12L:12D photoperiod, we found the WB score in broilers was significantly increased in the 18L:6D and 24L:0D photoperiod at week 4 (p < 0.05). Muscle glycogen was significantly reduced (p < 0.05) and glycolysis was promoted in the breast muscles of broilers under the 18L:6D and 24L:0D photoperiods at week 2 and 4. Peripheral 5-HT concentrations, the mRNA expression of tryptophan hydroxylase 1 (TPH1) and serotonin transporter (SERT) in the cecal mucosa, and 5-hydroxytryptamine receptor 2A (5-HTR2A) mRNA expression in the breast muscle of broilers significantly up-regulated in the 18L:6D and 24L:0D photoperiod at week 2 and 4 (p < 0.05). Conclusions: Our findings revealed that extending the photoperiod improved the breast muscle growth rate, but up-regulated 5-HT synthesis and secretion to higher peripheral 5-HT, induced breast muscle glucose metabolism disorder, and increased WB incidence rates in broilers. Full article
(This article belongs to the Section Animal Metabolism)
Show Figures

Figure 1

15 pages, 2106 KB  
Article
The Influence of BMP6 on Serotonin and Glucose Metabolism
by Marina Milešević, Ivona Matić Jelić, Viktorija Rumenović, Natalia Ivanjko, Slobodan Vukičević and Tatjana Bordukalo-Nikšić
Int. J. Mol. Sci. 2024, 25(14), 7842; https://doi.org/10.3390/ijms25147842 - 18 Jul 2024
Cited by 1 | Viewed by 1479
Abstract
Previous studies have suggested a potential role of bone morphogenetic protein 6 (BMP6) in glucose metabolism, which also seems to be regulated by serotonin (5-hydroxytryptamine, 5HT), a biogenic amine with multiple roles in the organism. In this study, we explored possible interactions between [...] Read more.
Previous studies have suggested a potential role of bone morphogenetic protein 6 (BMP6) in glucose metabolism, which also seems to be regulated by serotonin (5-hydroxytryptamine, 5HT), a biogenic amine with multiple roles in the organism. In this study, we explored possible interactions between BMP6, serotonin, and glucose metabolism regulation. The effect of BMP6 or 5HT on pancreatic β-cells has been studied in vitro using the INS-1 832/13 rat insulinoma cell line. Studies in vivo have been performed on mice with the global deletion of the Bmp6 gene (BMP6−/−) and included glucose and insulin tolerance tests, gene expression studies using RT-PCR, immunohistochemistry, and ELISA analyses. We have shown that BMP6 and 5HT treatments have the opposite effect on insulin secretion from INS-1 cells. The effect of BMP6 on the 5HT system in vivo depends on the tissue studied, with no observable systemic effect on peripheral 5HT metabolism. BMP6 deficiency does not cause diabetic changes, although a mild difference in insulin tolerance test between BMP6−/− and WT mice was observed. In conclusion, BMP6 does not directly influence glucose metabolism, but there is a possibility that its deletion causes slowly developing changes in glucose and serotonin metabolism, which would become more expressed with ageing. Full article
(This article belongs to the Section Molecular Endocrinology and Metabolism)
Show Figures

Figure 1

17 pages, 1563 KB  
Article
Beyond the Brain: Perinatal Exposure of Rats to Serotonin Enhancers Induces Long-Term Changes in the Jejunum and Liver
by Romana Gračan, Sofia Ana Blažević, Matea Brižić and Dubravka Hranilovic
Biomedicines 2024, 12(2), 357; https://doi.org/10.3390/biomedicines12020357 - 3 Feb 2024
Cited by 3 | Viewed by 2271
Abstract
Serotonin (5-hydroxytryptamine, 5HT) homeostasis is essential for many physiological processes in the central nervous system and peripheral tissues. Hyperserotonemia, a measurable sign of 5HT homeostasis disruption, can be caused by 5HT-directed treatment of psychiatric and gastrointestinal diseases. Its impact on the long-term balance [...] Read more.
Serotonin (5-hydroxytryptamine, 5HT) homeostasis is essential for many physiological processes in the central nervous system and peripheral tissues. Hyperserotonemia, a measurable sign of 5HT homeostasis disruption, can be caused by 5HT-directed treatment of psychiatric and gastrointestinal diseases. Its impact on the long-term balance and function of 5HT in the peripheral compartment remains unresolved and requires further research due to possible effects on human health. We explored the effects of perinatal 5HT imbalance on the peripheral organs responsible for serotonin metabolism—the jejunum, a synthesis site, and the liver, a catabolism site—in adult rats. Hyperserotonemia was induced by subchronic treatment with serotonin precursor 5-hydroxytryptophan (5HTP) or serotonin degradation inhibitor tranylcypromine (TCP). The jejunum and liver were collected on postnatal day 70 and analyzed histomorphometrically. Relative mRNA levels of 5HT-regulating proteins were determined using qRT-PCR. Compared to controls, 5HTP- and TCP-treated rats had a reduced number of 5HT-producing cells and expression of the 5HT-synthesising enzyme in the jejunum, and an increased expression of 5HT-transporter accompanied by karyomegaly in hepatocytes, with these differences being more pronounced in the TCP-treated animals. Here, we report that perinatal 5HT disbalance induced long-term cellular and molecular changes in organs regulating 5HT-metabolism, which may have a negative impact on 5HT availability and function in the periphery. Our rat model demonstrates a link between the developmental abnormalities of serotonin homeostasis and 5HT-related changes in adult life and may be suitable for exploring the neurobiological substrates of vulnerability to behavioral and metabolic disorders, as well as for modeling the adverse effects of the prenatal exposure to 5HT enhancers in the human population. Full article
Show Figures

Figure 1

16 pages, 590 KB  
Review
The Regulatory Role of the Central and Peripheral Serotonin Network on Feeding Signals in Metabolic Diseases
by Katsunori Nonogaki
Int. J. Mol. Sci. 2022, 23(3), 1600; https://doi.org/10.3390/ijms23031600 - 29 Jan 2022
Cited by 27 | Viewed by 6113
Abstract
Central and peripheral serotonin (5-hydroxytryptamine, 5-HT) regulate feeding signals for energy metabolism. Disruption of central 5-HT signaling via 5-HT2C receptors (5-HT2CRs) induces leptin-independent hyperphagia in mice, leading to late-onset obesity, insulin resistance, and impaired glucose tolerance. 5-HT2CR mutant mice are more responsive than [...] Read more.
Central and peripheral serotonin (5-hydroxytryptamine, 5-HT) regulate feeding signals for energy metabolism. Disruption of central 5-HT signaling via 5-HT2C receptors (5-HT2CRs) induces leptin-independent hyperphagia in mice, leading to late-onset obesity, insulin resistance, and impaired glucose tolerance. 5-HT2CR mutant mice are more responsive than wild-type mice to a high-fat diet, exhibiting earlier-onset obesity and type 2 diabetes. High-fat and high-carbohydrate diets increase plasma 5-HT and fibroblast growth factor-21 (FGF21) levels. Plasma 5-HT and FGF21 levels are increased in rodents and humans with obesity, type 2 diabetes, and non-alcohol fatty liver diseases (NAFLD). The increases in plasma FGF21 and hepatic FGF21 expression precede hyperinsulinemia, insulin resistance, hyperglycemia, and weight gain in mice fed a high-fat diet. Nutritional, pharmacologic, or genetic inhibition of peripheral 5-HT synthesis via tryptophan hydroxylase 1 (Tph1) decreases hepatic FGF21 expression and plasma FGF21 levels in mice. Thus, perturbing central 5-HT signaling via 5-HT2CRs alters feeding behavior. Increased energy intake via a high-fat diet and/or high-carbohydrate diet can upregulate gut-derived 5-HT synthesis via Tph1. Peripheral 5-HT upregulates hepatic FGF21 expression and plasma FGF21 levels, leading to metabolic diseases such as obesity, insulin resistance, type 2 diabetes, and NAFLD. The 5-HT network in the brain–gut–liver axis regulates feeding signals and may be involved in the development and/or prevention of metabolic diseases. Full article
(This article belongs to the Special Issue Serotonin Network and Energy Metabolism)
Show Figures

Figure 1

22 pages, 7374 KB  
Article
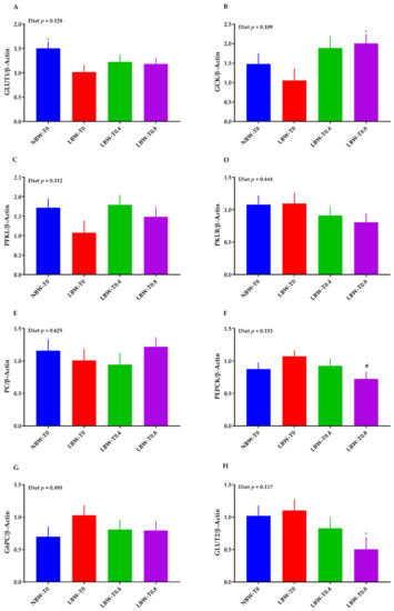
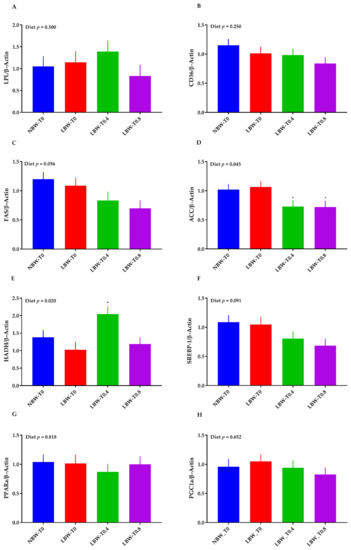
Dietary Tryptophan Supplementation Alters Fat and Glucose Metabolism in a Low-Birthweight Piglet Model
by Parniyan Goodarzi, Mohammad Habibi, Kennedy Roberts, Julia Sutton, Cedrick Ndhumba Shili, Dingbo Lin and Adel Pezeshki
Nutrients 2021, 13(8), 2561; https://doi.org/10.3390/nu13082561 - 26 Jul 2021
Cited by 24 | Viewed by 4095
Abstract
Low birthweight (LBW) is associated with metabolic complications, such as glucose and lipid metabolism disturbances in early life. The objective of this study was to assess: (1) the effect of dietary tryptophan (Trp) on glucose and fat metabolism in an LBW piglet model, [...] Read more.
Low birthweight (LBW) is associated with metabolic complications, such as glucose and lipid metabolism disturbances in early life. The objective of this study was to assess: (1) the effect of dietary tryptophan (Trp) on glucose and fat metabolism in an LBW piglet model, and (2) the role peripheral 5-hydroxytryptamine type 3 (5HT3) receptors in regulating the feeding behavior in LBW piglets fed with Trp-supplemented diets. Seven-day-old piglets were assigned to 4 treatments: normal birthweight-0%Trp (NBW-T0), LBW-0%Trp (LBW-T0), LBW-0.4%Trp (LBW-T0.4), and LBW-0.8%Trp (LBW-T0.8) for 3 weeks. Compared to LBW-T0, the blood glucose was decreased in LBW-T0.8 at 60 min following the meal test, and the triglycerides were lower in LBW-T0.4 and LBW-T0.8. Relative to LBW-T0, LBW-T0.8 had a lower transcript and protein abundance of hepatic glucose transporter-2, a higher mRNA abundance of glucokinase, and a lower transcript of phosphoenolpyruvate carboxykinase. LBW-T0.4 tended to have a lower protein abundance of sodium-glucose co-transporter 1 in the jejunum. In comparison with LBW-T0, LBW-T0.4 and LBW-T0.8 had a lower transcript of hepatic acetyl-CoA carboxylase, and LBW-T0.4 had a higher transcript of 3-hydroxyacyl-CoA dehydrogenase. Blocking 5-HT3 receptors with ondansetron reduced the feed intake in all groups, with a transient effect on LBW-T0, but more persistent effect on LBW-T0.8 and NBW-T0. In conclusion, Trp supplementation reduced the hepatic lipogenesis and gluconeogenesis, but increased the glycolysis in LBW piglets. Peripheral serotonin is likely involved in the regulation of feeding behavior, particularly in LBW piglets fed diets supplemented with a higher dose of Trp. Full article
(This article belongs to the Section Nutrition and Metabolism)
Show Figures

Figure 1

12 pages, 1181 KB  
Review
Serotonin—Its Synthesis and Roles in the Healthy and the Critically Ill
by Marcela Kanova and Pavel Kohout
Int. J. Mol. Sci. 2021, 22(9), 4837; https://doi.org/10.3390/ijms22094837 - 3 May 2021
Cited by 104 | Viewed by 26158
Abstract
Serotonin (5-hydroxytryptamine, 5-HT) plays two important roles in humans—one central and the other peripheral—depending on the location of the 5-HT pools of on either side of the blood-brain barrier. In the central nervous system it acts as a neurotransmitter, controlling such brain functions [...] Read more.
Serotonin (5-hydroxytryptamine, 5-HT) plays two important roles in humans—one central and the other peripheral—depending on the location of the 5-HT pools of on either side of the blood-brain barrier. In the central nervous system it acts as a neurotransmitter, controlling such brain functions as autonomic neural activity, stress response, body temperature, sleep, mood and appetite. This role is very important in intensive care, as in critically ill patients multiple serotoninergic agents like opioids, antiemetics and antidepressants are frequently used. High serotonin levels lead to altered mental status, deliria, rigidity and myoclonus, together recognized as serotonin syndrome. In its role as a peripheral hormone, serotonin is unique in controlling the functions of several organs. In the gastrointestinal tract it is important for regulating motor and secretory functions. Apart from intestinal motility, energy metabolism is regulated by both central and peripheral serotonin signaling. It also has fundamental effects on hemostasis, vascular tone, heart rate, respiratory drive, cell growth and immunity. Serotonin regulates almost all immune cells in response to inflammation, following the activation of platelets. Full article
(This article belongs to the Section Molecular Pathology, Diagnostics, and Therapeutics)
Show Figures

Figure 1

14 pages, 3058 KB  
Article
A Systems Biology Approach to Investigating the Interaction between Serotonin Synthesis by Tryptophan Hydroxylase and the Metabolic Homeostasis
by Suhyeon Park, Yumin Kim, Jibeom Lee, Jeong Yun Lee, Hail Kim, Sunjae Lee and Chang-Myung Oh
Int. J. Mol. Sci. 2021, 22(5), 2452; https://doi.org/10.3390/ijms22052452 - 28 Feb 2021
Cited by 24 | Viewed by 5202
Abstract
Obesity has become a global public health and economic problem. Obesity is a major risk factor for a number of complications, such as type 2 diabetes, cardiovascular disease, fatty liver disease, and cancer. Serotonin (5-hydroxytryptamine [5-HT]) is a biogenic monoamine that plays various [...] Read more.
Obesity has become a global public health and economic problem. Obesity is a major risk factor for a number of complications, such as type 2 diabetes, cardiovascular disease, fatty liver disease, and cancer. Serotonin (5-hydroxytryptamine [5-HT]) is a biogenic monoamine that plays various roles in metabolic homeostasis. It is well known that central 5-HT regulates appetite and mood. Several 5-HT receptor agonists and selective serotonin receptor uptake inhibitors (SSRIs) have shown beneficial effects on appetite and mood control in clinics. Although several genetic polymorphisms related to 5-HT synthesis and its receptors are strongly associated with obesity, there is little evidence of the role of peripheral 5-HT in human metabolism. In this study, we performed a systemic analysis of transcriptome data from the Genotype-Tissue Expression (GTEX) database. We investigated the expression of 5-HT and tryptophan hydroxylase (TPH), the rate-limiting enzyme of 5-HT biosynthesis, in the human brain and peripheral tissues. We also performed differential gene expression analysis and predicted changes in metabolites by comparing gene expressions of tissues with high TPH expression to the gene expressions of tissues with low TPH expression. Our analyses provide strong evidence that serotonin plays an important role in the regulation of metabolic homeostasis in humans. Full article
Show Figures

Figure 1

Back to TopTop