Sign in to use this feature.

Years

Between: -

Subjects

remove_circle_outline
remove_circle_outline
remove_circle_outline
remove_circle_outline
remove_circle_outline
remove_circle_outline
remove_circle_outline
remove_circle_outline
remove_circle_outline

Journals

remove_circle_outline
remove_circle_outline
remove_circle_outline
remove_circle_outline
remove_circle_outline
remove_circle_outline
remove_circle_outline
remove_circle_outline
remove_circle_outline
remove_circle_outline
remove_circle_outline
remove_circle_outline
remove_circle_outline
remove_circle_outline
remove_circle_outline

Article Types

Countries / Regions

remove_circle_outline
remove_circle_outline
remove_circle_outline
remove_circle_outline
remove_circle_outline
remove_circle_outline

Search Results (1,083)

Search Parameters:
Keywords = perceived self-efficacy

Order results
Result details
Results per page
Select all
Export citation of selected articles as:
34 pages, 3061 KB  
Article
Process Gains, Difficulty Restructuring, and Dependency Risks in AI-Assisted Hardware-Driven Design Education: A Crossover Experimental Study
by Yijun Lu, Yingjie Fang, Jiwu Lu and Xiang Yuan
Appl. Sci. 2026, 16(8), 3946; https://doi.org/10.3390/app16083946 (registering DOI) - 18 Apr 2026
Abstract
Generative artificial intelligence (AI) has demonstrated significant potential in education, yet empirical research on its application in “hardware-driven” interdisciplinary design courses remains scarce. This study employed a randomized crossover experimental design in an IoT Hardware and Design Innovation course at Hunan University. Twelve [...] Read more.
Generative artificial intelligence (AI) has demonstrated significant potential in education, yet empirical research on its application in “hardware-driven” interdisciplinary design courses remains scarce. This study employed a randomized crossover experimental design in an IoT Hardware and Design Innovation course at Hunan University. Twelve industrial design undergraduates with no prior IoT background alternated between AI-assisted (ChatGPT-4o) and traditional learning resource conditions across six short-cycle tasks. The crossover design enabled each participant to serve as both experimental and control subjects, yielding 72 observation-level data points. Grounded in Cognitive Load Theory, the study examined three dimensions: process efficacy, difficulty structure, and switching adaptation costs. Results indicated that AI significantly improved perceived task completion efficiency, self-reported goal attainment, and learning experience, yet self-assessed knowledge transfer did not differ significantly between conditions. AI reduced the total number of reported difficulties but altered the difficulty-type distribution: resource-retrieval difficulties decreased while information-verification difficulties increased—a phenomenon we term “difficulty restructuring”. Furthermore, switching from AI back to traditional resources incurred significantly higher adaptation costs than the reverse transition, revealing emerging dependency risks. These findings suggest that generative AI may function more as a “difficulty restructurer” than a “difficulty eliminator” in hardware-driven design education, providing exploratory empirical evidence for incorporating verification literacy into future course design and calling for calibrated scaffold fading that may help mitigate emerging dependency risks. Full article
(This article belongs to the Section Computing and Artificial Intelligence)
Show Figures

Figure 1

23 pages, 466 KB  
Article
Entrepreneurship Education and Entrepreneurial Intention Among University Students: The Mediating Roles of Entrepreneurial Self-Efficacy and Motivation
by Juan Maradiaga-López, Olman Álvarez and Henry Osorto
Sustainability 2026, 18(8), 3985; https://doi.org/10.3390/su18083985 - 17 Apr 2026
Abstract
Entrepreneurship education has been promoted as a pathway for strengthening entrepreneurial orientation among university students; however, uncertainty remains regarding the mechanisms through which it influences entrepreneurial intention, particularly in emerging economies. This study examines whether entrepreneurship education influences the entrepreneurial intention of university [...] Read more.
Entrepreneurship education has been promoted as a pathway for strengthening entrepreneurial orientation among university students; however, uncertainty remains regarding the mechanisms through which it influences entrepreneurial intention, particularly in emerging economies. This study examines whether entrepreneurship education influences the entrepreneurial intention of university students in Honduras indirectly through entrepreneurial self-efficacy and entrepreneurial motivation. A quantitative, cross-sectional, and explanatory study was conducted with a sample of 431 university students. Data were collected using a structured 56-item questionnaire with a seven-point Likert scale. The analysis was carried out through confirmatory factor analysis and structural equation modeling using the WLSMV estimator. The results show that entrepreneurship education positively influences all dimensions of entrepreneurial self-efficacy and entrepreneurial motivation included in the model. Personal attitude emerged as the strongest predictor of entrepreneurial intention, followed by subjective norms and specific dimensions of self-efficacy related to business planning and management and entrepreneurial leadership. In contrast, the innovation and problem-solving dimension did not show a significant direct effect on entrepreneurial intention, while perceived behavioral control showed a marginal effect. The parsimonious model explained 75.9% of the variance in entrepreneurial intention. Overall, the findings suggest that entrepreneurship education exerts its influence primarily through indirect pathways by strengthening capability beliefs and motivational appraisals that are proximal to action. Full article
(This article belongs to the Section Economic and Business Aspects of Sustainability)
Show Figures

Figure 1

28 pages, 643 KB  
Article
Millennials’ Consumption Intention Toward Green Stadiums in the Context of Environmental Law: The Roles of Facility Visibility, Green Communication, and Interactive Experience
by Bin Guo, Siqin Wang and Ken Nah
Buildings 2026, 16(8), 1534; https://doi.org/10.3390/buildings16081534 - 14 Apr 2026
Viewed by 222
Abstract
Promoting the green development of large public buildings is a crucial pathway toward environmental sustainability. As a type of public building characterized by both high energy consumption and high public engagement, green stadiums provide an important setting for examining whether building-embedded green features [...] Read more.
Promoting the green development of large public buildings is a crucial pathway toward environmental sustainability. As a type of public building characterized by both high energy consumption and high public engagement, green stadiums provide an important setting for examining whether building-embedded green features are visible, understandable, and valued by users. In this sense, green stadium consumption intention is treated in this study as a building-related outcome that reflects user acceptance of green building spaces and services rather than as a generic green marketing preference alone. This study examines the effects of Green Facility Visibility, Perceived Green Communication, and Green Interactive Experience on Millennials’ Green Stadium Consumption Intention, while investigating the parallel mediating roles of Green Self-Efficacy and Future Orientation. A sample of 976 millennial users was surveyed. The hypothesized model was tested using covariance-based structural equation modeling (CB-SEM), and Bootstrapping was employed to validate the significance of the mediating effects. Findings reveal that: (1) Green Facility Visibility and Perceived Green Communication significantly and positively influence Green Stadium Consumption Intention, whereas the direct effect of Green Interactive Experience is insignificant; (2) Green Self-Efficacy mediates the relationships between Green Facility Visibility, Perceived Green Communication, and consumption intention; and (3) Future Orientation similarly mediates the relationships between Green Facility Visibility, Perceived Green Communication, and consumption intention. Rather than proposing a major theoretical breakthrough, this study offers a context-specific extension of green consumption research by introducing Green Self-Efficacy and Future Orientation as parallel mediators in a stadium setting. The findings show how building-related green cues and user cognition jointly shape the acceptance of green stadiums, thereby providing evidence relevant to the design, operation, and evaluation of public-facing green buildings. Full article
(This article belongs to the Section Architectural Design, Urban Science, and Real Estate)
Show Figures

Figure 1

11 pages, 988 KB  
Article
Personalized Vestibular Rehabilitation in Persistent Postural–Perceptual Dizziness (PPPD), Unilateral and Bilateral Vestibular Dysfunction: A Comparative Study
by Pasqualina Maria Picciotti, Rolando Rolesi, Giorgia Rossi, Giuseppe Oliveto and Jacopo Galli
J. Pers. Med. 2026, 16(4), 214; https://doi.org/10.3390/jpm16040214 - 13 Apr 2026
Viewed by 246
Abstract
Background: In the last few decades, a growing body of evidence has confirmed that vestibular rehabilitation (VR) can improve the symptoms of many unilateral and bilateral vestibular disorders, by facilitating vestibular compensation mechanisms, such as adaptation, substitution, and habituation. However, the usefulness of [...] Read more.
Background: In the last few decades, a growing body of evidence has confirmed that vestibular rehabilitation (VR) can improve the symptoms of many unilateral and bilateral vestibular disorders, by facilitating vestibular compensation mechanisms, such as adaptation, substitution, and habituation. However, the usefulness of the vestibular rehabilitation approach in Persistent Postural–Perceptual Dizziness (PPPD) is currently highly debated and unclear. The aim of the present study was to evaluate the efficacy of VR using computerized dynamic posturography in PPPD patients as a single treatment and without other associated psychological or pharmacological therapies. Results were compared with patients with unilateral and bilateral vestibular disfunction, in order to define the role of our rehabilitation model within a framework of personalized therapy for different disorders. Methods: We evaluated 44 patients (23 F, 21 M; ranged from 28 to 82 years; mean age 63.72) affected by unilateral vestibular vestibulopathy (UVP) (n = 19), bilateral vestibular vestibulopathy (BVP) (n = 10) and PPPD (n = 15). For each patient, a comprehensive clinical bedside vestibular assessment was carefully performed by expert clinicians, as well as Bithermal caloric tests with videonystagmography (VNG), Video Head Impulse Test (vHIT) and Computed Dynamic Posturography (CDP). The impact of dizziness on quality of life (QoL) was assessed by the Italian Dizziness Handicap Inventory (DHI). All subjects evaluated in this study underwent five rehabilitative therapy sessions in our centre, once a week for 45 min and exercised daily for 30 min at home. All the exercises progressively became more difficult each week. Results: Our study showed that vestibular rehabilitation improved quality of life and reduced the level of self-perceived handicap in patients affected by unilateral and bilateral vestibular dysfunction, with significant improvement in DHI total score and posturographic parameters. In PPPD patients, rehabilitation did not significantly modify posturographic performances and the improvement in total DHI score did not reach statistical significance, although a significant change was observed in the functional sub-score. Conclusions: Vestibular rehabilitation confirmed its effectiveness in unilateral and bilateral peripheral vestibulopathies. In patients with PPPD, rehabilitation performed with computerized dynamic posturography may reduce subjective handicap and improve some aspects of daily functioning, although the small sample size and the absence of a control group do not allow definitive conclusions about its efficacy. Full article
(This article belongs to the Section Personalized Medical Care)
Show Figures

Figure 1

47 pages, 707 KB  
Review
The Use of Psychedelics in the Treatment of Adult ADHD: A Systematic and Mechanistic Review
by James Chmiel, Agnieszka Malinowska and Donata Kurpas
Int. J. Mol. Sci. 2026, 27(8), 3453; https://doi.org/10.3390/ijms27083453 - 12 Apr 2026
Viewed by 300
Abstract
Interest in classical psychedelics as potential treatments for ADHD has grown alongside broader psychiatric psychedelic research, but ADHD-specific evidence remains limited. This systematic review examined prospective and experimental studies on whether classical psychedelics, including microdosing-like use and retreat-based exposure, are associated with changes [...] Read more.
Interest in classical psychedelics as potential treatments for ADHD has grown alongside broader psychiatric psychedelic research, but ADHD-specific evidence remains limited. This systematic review examined prospective and experimental studies on whether classical psychedelics, including microdosing-like use and retreat-based exposure, are associated with changes in adult ADHD symptoms and related functioning. A PRISMA-guided systematic review was conducted using a PECO/PICO framework focused on adults (≥18 years) with diagnosed ADHD and/or elevated ADHD symptomatology who were exposed to a classical psychedelic and assessed prospectively with quantitative ADHD outcomes. Major databases were searched, with reference screening and targeted checks for recent or registered trials. Risk of bias was assessed using RoB 2 for the RCT and ROBINS-I for non-randomized studies. Because of heterogeneity and the small number of studies, findings were synthesized narratively. Five studies met the inclusion criteria. Five prospective/experimental studies were included: three naturalistic online microdosing cohorts, one randomized double-blind placebo-controlled phase 2A trial of low-dose LSD, and one pre-post ayahuasca retreat pilot. In uncontrolled naturalistic microdosing studies, participants reported short-term reductions in ADHD symptom ratings together with improvements in well-being and affect-related functioning; however, these studies were highly vulnerable to self-selection, expectancy, attrition, and non-standardized exposure. In contrast, the only randomized placebo-controlled ADHD trial found improvement in both LSD and placebo groups, with no statistically significant advantage for LSD on clinician-rated or self-reported ADHD outcomes. Objective cognitive findings were limited and inconsistent, and safety data outside the supervised trial context were sparse. Naturalistic studies provide, at most, low-certainty signals of perceived short-term improvement, but the strongest controlled evidence does not demonstrate drug-specific efficacy of repeated low-dose LSD for core ADHD symptoms. Current evidence therefore does not allow separation of pharmacological effects from expectancy, setting, self-monitoring, and broader experiential/contextual influences, and is insufficient to support psychedelics as an evidence-based treatment for ADHD. Full article
25 pages, 545 KB  
Article
LearningRx Cognitive Training for Workplace Self-Efficacy in Adults with Post-COVID-19 Brain Fog: A Mixed-Methods Pilot Study
by Amy Lawson Moore, Edward J. Jedlicka, James C. Patterson and Christina R. Ledbetter
Brain Sci. 2026, 16(4), 410; https://doi.org/10.3390/brainsci16040410 - 11 Apr 2026
Viewed by 283
Abstract
Background/Objectives: Cognitive dysfunction, or “brain fog”, following COVID-19 viral infection is strongly associated with diminished work capacity which disproportionality affects working-age adults. This study examined an existing method of cognitive rehabilitation training applied to adults struggling with workplace functioning and self-efficacy due to [...] Read more.
Background/Objectives: Cognitive dysfunction, or “brain fog”, following COVID-19 viral infection is strongly associated with diminished work capacity which disproportionality affects working-age adults. This study examined an existing method of cognitive rehabilitation training applied to adults struggling with workplace functioning and self-efficacy due to post-COVID-19 brain fog. Methods: Nine adults with post-COVID-19 cognitive dysfunction participated in this single arm pilot trial of a severity-adaptive cognitive training program. The participants completed 45–90 h of clinician-delivered cognitive training exercises delivered remotely in 60- to 90-min sessions, two or three times per week. The primary outcome measure was overall workplace self-efficacy with subskills of perceived workplace functioning, perception of cognitive functioning, and perception of home functioning assessed through pre and post surveys and qualitative interviews. The secondary outcome was cognitive function operationalized by an IQ score administered before and after the intervention. Results: The participants achieved significant improvements in workplace self-efficacy and cognition following cognitive training. The main qualitative themes of self-reported improvements were in executive function, health and energy, daily living activities, productivity, and socioemotional functioning. A cross-case synthesis of pre-intervention struggles, and post-intervention improvements revealed subthemes at work or school in cognitive processing and comprehension, memory, executive function, fatigue, emotional distress, confidence in work or academics, and work/academic performance impairment. As a group, the mean gain in IQ score was 10.5 points. Conclusions: This study adds to the growing body of literature examining the possibility of using cognitive rehabilitation for post-COVID-19 cognitive dysfunction impacting workplace self-efficacy and work functioning. Full article
(This article belongs to the Special Issue Cognitive Training in Health and Disease)
Show Figures

Figure 1

14 pages, 537 KB  
Article
The Impact of Job Resources and Teaching Self-Efficacy on Rural Teachers’ Agency
by Zongqing Cao, Yingqi Yue, Guoyuan Ran, Xuan Xie and Qianfeng Li
Educ. Sci. 2026, 16(4), 612; https://doi.org/10.3390/educsci16040612 - 11 Apr 2026
Viewed by 167
Abstract
Against the backdrop of uneven educational development and structural constraints in rural Mainland China, teacher agency is critical for driving professional growth and instructional improvement. Rural educators face distinct challenges—limited resources, isolated work contexts, and systemic pressures—that shape their capacity to enact change. [...] Read more.
Against the backdrop of uneven educational development and structural constraints in rural Mainland China, teacher agency is critical for driving professional growth and instructional improvement. Rural educators face distinct challenges—limited resources, isolated work contexts, and systemic pressures—that shape their capacity to enact change. While scholarship has documented the roles of contextual resources and individual beliefs in shaping teacher agency, less is known about the mediating mechanisms linking job resources and self-efficacy to agency within China’s rural educational landscape. This study examines how perceived job resources (teaching resources, administrative support, colleague support, parental support) and teaching self-efficacy collectively shape rural teachers’ agency, to inform policy and practice for strengthening their professional capacity. Drawing on a quantitative survey of 625 rural teachers, we employ a two-stage analytical approach: first, descriptive statistics, t-tests, ANOVA, and Pearson correlations to map baseline variable relationships; second, Hayes’ PROCESS macro (Model 4) with bootstrapping to test the mediating role of teaching self-efficacy between job resources and teacher agency. Findings reveal the following: (1) Rural teachers report moderate agency (M = 3.53/5), indicating room for growth; (2) All four job resource dimensions significantly and positively predict agency (β = 0.099–0.163); (3) Teaching self-efficacy is a robust predictor of agency (β = 0.785–0.822, p < 0.001) after controlling for resources; (4) Self-efficacy partially mediates the links between each job resource and agency, with indirect effects ranging from 0.269 (teaching resources) to 0.451 (colleague support), highlighting its central role in translating contextual resources into agentic action. We conclude that fostering rural teacher agency requires a holistic approach addressing both external job resources and internal self-efficacy. Policymakers and administrators should prioritize investments in teaching resources, collaborative support structures, and professional development to build educators’ confidence and competence. Limitations include self-report bias, cross-sectional design constraints on causal inference, and limited generalizability. Future research should use longitudinal designs and broader samples to deepen understandings of agency in structurally constrained educational settings. Full article
17 pages, 254 KB  
Article
Leadership Matters: Fostering Teacher Resilience in Arab Schools Amid Crisis and Systemic Uncertainty
by Rafat Ghanamah
Educ. Sci. 2026, 16(4), 610; https://doi.org/10.3390/educsci16040610 - 11 Apr 2026
Viewed by 208
Abstract
This study explores how school leadership styles are perceived to relate to teacher resilience during crises in Arab schools in Israel. Drawing on twenty semi-structured interviews with principals and vice-principals, findings show that transformational and participative leadership, characterized by emotional support, accessibility, active [...] Read more.
This study explores how school leadership styles are perceived to relate to teacher resilience during crises in Arab schools in Israel. Drawing on twenty semi-structured interviews with principals and vice-principals, findings show that transformational and participative leadership, characterized by emotional support, accessibility, active listening, and shared decision-making, are perceived to foster teachers’ sense of security, self-efficacy, and collective resilience. In contrast, authoritarian and rigid approaches are described as contributing to increased stress, reduced motivation, and diminished coping capacity. The study highlights the significance of socio-cultural and political contexts, indicating that effective leadership in crises involves not only professional guidance but also cultural awareness, flexibility, and responsiveness to staff needs. These findings underscore the value of integrative leadership approaches and targeted professional development to support teacher well-being and organizational resilience in crisis-prone settings. By focusing on leaders’ perspectives, the study contributes to understanding how culturally sensitive and adaptive leadership practices may support educational stability under conditions of uncertainty. Full article
(This article belongs to the Section Teacher Education)
16 pages, 274 KB  
Article
Parenting Sense of Competence Scale (PSOC): Establishing Normative Scores in Mothers of Infants Under 9 Months
by Gemma Pons-Salvador, Rosa M. Trenado and Lucía Ballabriga-Olivito
Children 2026, 13(4), 523; https://doi.org/10.3390/children13040523 - 9 Apr 2026
Viewed by 398
Abstract
Background/Objectives: The Parenting Sense of Competence (PSOC) scale is one of the most widely used instruments to assess perceived parental competence, understood as the degree to which parents feel capable of adequately fulfilling their parental role. Despite its widespread use, studies seeking to [...] Read more.
Background/Objectives: The Parenting Sense of Competence (PSOC) scale is one of the most widely used instruments to assess perceived parental competence, understood as the degree to which parents feel capable of adequately fulfilling their parental role. Despite its widespread use, studies seeking to determine PSOC normative scores are scarce, especially in specific populations such as mothers with infants younger than 9 months, which limits the interpretation of its scores in applied contexts. This study establishes PSOC normative scores in a nonclinical sample of 522 Spanish mothers with infants aged between 3 and 37 weeks who attended a public early intervention program. Methods: Regression and ANOVA analyses were performed to examine the effect of infant and maternal age, as well as educational level and occupation, on the dimensions of Efficacy, Satisfaction, and Total score of the PSOC. Results: The results show a significant decline in parental competence starting when their infants reach 9 months of age, and lower levels of self-efficacy in mothers over 35 years of age. No significant differences were found according to the educational level or occupation of the mothers. Normative scores are presented by percentiles, offering specific criteria for this stage of child development. Z- and T-scores are included, useful for standardized comparisons between subscale and studies. Conclusions: These findings provide useful information for early detection and psychoeducational interventions within the framework of early intervention. Full article
(This article belongs to the Special Issue Child Trauma and Psychology—2nd Edition)
Show Figures

Graphical abstract

19 pages, 504 KB  
Article
Academic Resilience Among Vocational High School Students in Collectivist Culture: The Role of Intolerance of Uncertainty and Academic Self-Efficacy
by Banu S. Ünsal Akbıyık, İhsan İlker Çitli and Melis Melek Kahveci
Behav. Sci. 2026, 16(4), 560; https://doi.org/10.3390/bs16040560 - 8 Apr 2026
Viewed by 419
Abstract
Academic anxiety frequently emerges when students perceive academic demands as uncertain, uncontrollable, or threatening. Intolerance of uncertainty is widely recognized as a key cognitive antecedent of such anxiety, influencing how learners appraise stressors and mobilize coping resources. This study investigates the relationships among [...] Read more.
Academic anxiety frequently emerges when students perceive academic demands as uncertain, uncontrollable, or threatening. Intolerance of uncertainty is widely recognized as a key cognitive antecedent of such anxiety, influencing how learners appraise stressors and mobilize coping resources. This study investigates the relationships among intolerance of uncertainty, academic self-efficacy as a coping mechanism, and academic resilience among vocational high school students in a collectivist educational context. Data were collected from 387 vocational high school students across Istanbul, Turkey via online forms. Contrary to expectations, the results revealed that intolerance of uncertainty positively affects academic self-efficacy. Furthermore, academic self-efficacy was positively associated with academic resilience. Academic self-efficacy partially mediated the relationship between these two variables. These findings provide new insights into how uncertainty is managed in collectivist educational contexts and suggest directions for future educational practices and research. Full article
(This article belongs to the Special Issue Academic Anxieties and Coping Strategies)
Show Figures

Figure 1

18 pages, 288 KB  
Article
Medication Experience and Associated Factors in Older Adults with Multiple Chronic Conditions in Rural Henan Province, China: A Single-Center Cross-Sectional Study
by Xiaofan Wang, Linlin Su, Xiao Yang, Ruofan Qiao, Jixuan Zheng, Chunhui Zhang, Xian Zhang, Lixia Qu and Beilei Lin
Healthcare 2026, 14(7), 965; https://doi.org/10.3390/healthcare14070965 - 7 Apr 2026
Viewed by 325
Abstract
Objectives: We aimed to investigate the medication experience of older adults with multiple chronic conditions in rural areas and to analyze its associated factors, so as to provide evidence for developing targeted medication management interventions. Design: This was a single-center cross-sectional study. Methods: [...] Read more.
Objectives: We aimed to investigate the medication experience of older adults with multiple chronic conditions in rural areas and to analyze its associated factors, so as to provide evidence for developing targeted medication management interventions. Design: This was a single-center cross-sectional study. Methods: From June to July 2025, a convenience sample of 539 older adults with multiple chronic conditions was recruited from a county hospital in Henan Province, China. The survey utilized a general information questionnaire, the Chinese version of the Medication Experience Scale, the Safe Medication Knowledge Scale, the Perceived Social Support Scale, the Chinese version of the Chronic Disease Self-Efficacy Scale, and the Chinese version of the Medication Errors Scale. Results: The medication experience score among rural older adults with multiple chronic conditions was (117.14 ± 17.19). Multivariate hierarchical regression analysis revealed that age, marriage status, source of income, medical insurance schemes, duration of medication use, safe medication knowledge, perceived social support, self-efficacy for chronic disease management, and medication errors were significant factors associated with medication experience (all p < 0.05). Conclusions: The medication experience among older adults with multiple chronic conditions in our study sample was at a moderate level. Age, marriage status, source of income, medical insurance schemes, duration of medication use, safe medication knowledge, perceived social support, self-efficacy for chronic disease management, and medication errors were associated factors of medication experience for older adults with multiple chronic conditions. Countermeasures should be implemented to improve medication experience in this population. Full article
(This article belongs to the Special Issue Chronic Disease Management for Older Adults)
18 pages, 426 KB  
Article
Exploring the Predictors of Physical Activity in Older Adults in South Korea Using the Health Belief Model
by Hyungsook Kim, Ye Hoon Lee and Yonghyun Park
Behav. Sci. 2026, 16(4), 547; https://doi.org/10.3390/bs16040547 - 6 Apr 2026
Viewed by 318
Abstract
This study aimed to examine the associations of Health Belief Model (HBM) constructs with physical activity (PA) participation intention and self-reported PA participation among older adults in South Korea. Specifically, we examined whether perceived susceptibility, perceived severity, perceived benefits, perceived barriers, and self-efficacy [...] Read more.
This study aimed to examine the associations of Health Belief Model (HBM) constructs with physical activity (PA) participation intention and self-reported PA participation among older adults in South Korea. Specifically, we examined whether perceived susceptibility, perceived severity, perceived benefits, perceived barriers, and self-efficacy were associated with PA participation intention and PA participation, and whether intention accounted for indirect associations between HBM constructs and PA within the hypothesized model. A total of 408 older adults (Mage = 68.84, SD = 4.11) participated in the online survey. This study employed Structural Equation Modeling to examine the interrelationships among the proposed variables. The findings indicated a significant negative association between perceived barriers and PA participation intention and a significant positive association between self-efficacy and PA participation intention. Furthermore, intention was positively associated with PA and accounted for indirect associations linking perceived barriers and self-efficacy with PA. Overall, these findings suggest that perceived barriers and self-efficacy are salient belief domains linked to PA intention and behavior. Practical implications include further interventions to reduce perceived barriers and enhance self-efficacy to promote sustained PA engagement among older adults. Full article
Show Figures

Figure 1

14 pages, 445 KB  
Article
Exercise Perceptions, Barriers, and Self-Efficacy Among Adults in Kuwait During the COVID-19 Pandemic
by Naser A. Albazzaz, Abdulaziz Alhenaidi, Mohammad Almari, Ahmad Aldahas and Sultan E. Alsalahi
Int. J. Environ. Res. Public Health 2026, 23(4), 462; https://doi.org/10.3390/ijerph23040462 - 4 Apr 2026
Viewed by 334
Abstract
The COVID-19 pandemic led to strict public-health restrictions that affected opportunities for physical movement, including exercise participation. Understanding psychosocial factors of exercise under these conditions is vital for developing exercise promotion strategies. This study aimed to compare exercise perceptions and self-efficacy between exercising [...] Read more.
The COVID-19 pandemic led to strict public-health restrictions that affected opportunities for physical movement, including exercise participation. Understanding psychosocial factors of exercise under these conditions is vital for developing exercise promotion strategies. This study aimed to compare exercise perceptions and self-efficacy between exercising and non-exercising adults (>21 years old) in Kuwait during the COVID-19 pandemic. A cross-sectional online survey was conducted among adults living in Kuwait during June and July 2020. Exercise status was self-reported based on a 150-min weekly exercise threshold. Participants completed the Exercise Benefits/Barriers Scale (EBBS) and the Barriers-Specific Self-Efficacy Scale (BARSE). Data were analysed using independent t-tests to assess group differences and multivariable binary logistic regression to identify factors independently associated with being an exerciser. A total of 929 individuals participated in the study, of which 54% were categorised as exercisers. Exercisers reported significantly higher perceived benefits, barriers, and BARSE scores compared to non-exercisers. Binary logistic regression indicated that higher perceived benefits and barriers and higher BARSE scores were significantly associated with exercise status. In addition, holding a diploma or university education, postgraduate education, being employed, and being single were associated with higher odds of engaging in exercise while older adults were associated with lower odds of engaging in exercise. Positive exercise perceptions and higher barrier-specific self-efficacy were significantly associated with exercise participation during the COVID-19 pandemic in Kuwait. Full article
Show Figures

Figure 1

15 pages, 534 KB  
Article
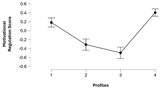
Clustering Motivational Profiles: How Perceived Value, Cost, and Self-Efficacy Shape Students’ Regulatory Strategies
by Jorge Maluenda-Albornoz, Matías Zamorano-Veragua, Felipe Moraga-Villablanca and Jorge Díaz-Ramírez
Sustainability 2026, 18(7), 3463; https://doi.org/10.3390/su18073463 - 2 Apr 2026
Viewed by 331
Abstract
This study investigates the interplay between university students’ motivational beliefs and their regulatory strategies when facing challenging academic tasks. Drawing on the Expectancy–Value–Cost (EVC) model, the research characterizes distinct motivational profiles based on perceived self-efficacy, task value, and perceived cost. A quantitative study [...] Read more.
This study investigates the interplay between university students’ motivational beliefs and their regulatory strategies when facing challenging academic tasks. Drawing on the Expectancy–Value–Cost (EVC) model, the research characterizes distinct motivational profiles based on perceived self-efficacy, task value, and perceived cost. A quantitative study was conducted with a sample of 1184 Chilean university students across various disciplines, including Engineering, Health Sciences, and Social Sciences. Participants identified a recent challenging task and completed a battery of validated instruments, including the Brief Regulation of Motivation Scale (BroMS) and scales for perceived cost, self-efficacy, and task value. Using Machine Learning techniques, specifically the Fuzzy C-Means (FCM) algorithm, the analysis identified four distinct student profiles (Agentic Mindset, Alienated Mindset, Paralyzed Mindset, Growth Mindset). These clusters were evaluated based on statistical indices (R2, AIC, BIC, and Silhouette) and theoretical coherence. Subsequent ANOVA and post hoc analyses (Holm correction) revealed significant differences among these profiles in their reported levels of motivational regulation and willpower. The findings suggest that students with high self-efficacy and task value combined with manageable perceived costs employ more effective motivational regulation strategies. Conversely, profiles characterized by high perceived cost and low self-efficacy show diminished regulatory capacity. This research contributes to understanding how personal and task-related perceptions interact to shape volitional control in demanding academic environments, offering insights for targeted interventions to support academic persistence and success. Full article
Show Figures

Figure 1

23 pages, 596 KB  
Article
Perceived Cognitive Assistance in LLM-Augmented Retail Trading: Construct Definition and Content Validation
by Dmitrii Gimmelberg and Iveta Ludviga
Int. J. Financial Stud. 2026, 14(4), 83; https://doi.org/10.3390/ijfs14040083 - 1 Apr 2026
Viewed by 421
Abstract
Large language models (LLMs) are increasingly used by retail traders to interpret information and design complex strategies, yet existing adoption constructs do not capture the decision-time experience of being cognitively scaffolded by an LLM. We define Perceived Cognitive Assistance (PCA) as the trader’s [...] Read more.
Large language models (LLMs) are increasingly used by retail traders to interpret information and design complex strategies, yet existing adoption constructs do not capture the decision-time experience of being cognitively scaffolded by an LLM. We define Perceived Cognitive Assistance (PCA) as the trader’s felt expansion of cognitive capability at the moment of a trading decision when an LLM is available, and we report initial content validation of a PCA item pool. Study 1 specified the PCA content domain using a two-tier qualitative corpus (eight interviews and 44 YouTube narratives on LLM-assisted trading, plus 24 qualitative and mixed-method studies on robo-advice and social trading). Reflexive thematic analysis yielded five facilitative assistance facets and one adjacent risk facet (over-reliance), and these were translated into a 16-item PCA pool. Study 2 used a naïve-judge sort-and-rate task with 48 retail traders to test whether items show definitional correspondence to PCA and definitional distinctiveness from similar constructs: perceived usefulness, perceived ease of use, trust in the LLM, and trading self-efficacy. The resulting nine-item set is ready for subsequent factor-analytic and predictive validation. This study advances our understanding of how large language models shape retail trading behaviour by identifying and empirically grounding Perceived Cognitive Assistance as the decision-time psychological experience through which LLMs cognitively scaffold traders, clarifying how LLM use differs from generic technology adoption, trust, or self-efficacy effects. Full article
Show Figures

Graphical abstract

Back to TopTop