Sign in to use this feature.

Years

Between: -

Subjects

remove_circle_outline
remove_circle_outline
remove_circle_outline
remove_circle_outline
remove_circle_outline
remove_circle_outline
remove_circle_outline
remove_circle_outline

Journals

remove_circle_outline
remove_circle_outline
remove_circle_outline
remove_circle_outline
remove_circle_outline
remove_circle_outline
remove_circle_outline
remove_circle_outline
remove_circle_outline
remove_circle_outline
remove_circle_outline
remove_circle_outline
remove_circle_outline
remove_circle_outline
remove_circle_outline
remove_circle_outline
remove_circle_outline

Article Types

Countries / Regions

remove_circle_outline
remove_circle_outline
remove_circle_outline
remove_circle_outline
remove_circle_outline
remove_circle_outline

Search Results (784)

Search Parameters:
Keywords = pediatric dose

Order results
Result details
Results per page
Select all
Export citation of selected articles as:
12 pages, 376 KB  
Article
Seroprevalence and Vaccination Determinants of Varicella Zoster Virus Among Pediatric and Adolescent Populations in Northern Lebanon
by Nourhan Farhat, Dima El Safadi, Jana Massoud and Sara Khalife
Vaccines 2025, 13(11), 1166; https://doi.org/10.3390/vaccines13111166 (registering DOI) - 15 Nov 2025
Abstract
Background: Varicella zoster virus (VZV) remains a significant cause of pediatric morbidity in populations in Lebanon, yet comprehensive data on population immunity and vaccination uptake are limited. This study aimed to estimate VZV seroprevalence and identify factors associated with immunity and vaccine uptake [...] Read more.
Background: Varicella zoster virus (VZV) remains a significant cause of pediatric morbidity in populations in Lebanon, yet comprehensive data on population immunity and vaccination uptake are limited. This study aimed to estimate VZV seroprevalence and identify factors associated with immunity and vaccine uptake among children and adolescents in Northern Lebanon. Methods: A cross-sectional study was conducted among 180 participants aged 1–18 years recruited from urban and rural settings in North Lebanon. After receiving informed parental consent, sociodemographic and clinical information were collected via structured questionnaires. Anti-VZV IgG and IgM antibodies were measured using validated Enzyme-Linked Immunosorbent Assays (ELISA). Associations with seropositivity and vaccination uptake were analyzed using multivariable logistic regression. Results: IgG seroprevalence was 79.4% (95% CI: 72.7–85.1), indicating prior exposure or immunization, while IgM antibodies, reflecting recent infection, were detected in 5.0% (95% CI: 2.3–9.4) of participants. Among vaccinated participants, IgG seropositivity was 63.6% (95% CI: 43.5–83.7) in the one-dose group and 89.5% (95% CI: 83.0–96.0) in the two-dose group. Completing the two-dose regimen was significantly associated with a higher IgG seropositivity (OR = 0.110, 95% CI: 3.2–52.4, p = 0.002). Parental reporting of history of varicella showed high sensitivity (99.0%) and overall accuracy (90.8%) in predicting seropositivity. Primary vaccination barriers included preference for natural infection (67%), perceived non-necessity (19%), and cost (10%). Regular pediatric follow-up strongly predicted vaccination (OR = 15.239, p < 0.001), whereas low parental awareness was associated with decreased vaccine uptake (OR = 0.027, p = 0.015). Conclusions: Suboptimal VZV vaccination coverage and persistent susceptibility underscore the need to integrate varicella vaccination into Lebanon’s national immunization schedule. Targeted educational efforts and enhanced pediatric healthcare engagement are critical to increasing vaccine uptake and reducing disease burden. Full article
Show Figures

Figure 1

24 pages, 3836 KB  
Article
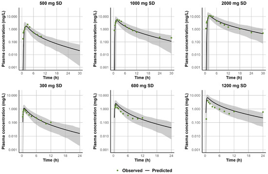
Physiologically Based Pharmacokinetic Modeling of Clobazam and Stiripentol Co-Therapy in Dravet Syndrome
by Bassma Eltanameli, Sulafa Al Sahlawi and Rodrigo Cristofoletti
J. Pers. Med. 2025, 15(11), 549; https://doi.org/10.3390/jpm15110549 - 11 Nov 2025
Viewed by 150
Abstract
Background: Dravet syndrome, a severe early-onset epileptic encephalopathy, is treated with multiple antiepileptic drugs such as clobazam (CLB) and stiripentol (STP), increasing the risk of drug–drug interactions (DDIs). Given the limited pediatric pharmacokinetic data, this study developed physiologically based pharmacokinetic (PBPK) models [...] Read more.
Background: Dravet syndrome, a severe early-onset epileptic encephalopathy, is treated with multiple antiepileptic drugs such as clobazam (CLB) and stiripentol (STP), increasing the risk of drug–drug interactions (DDIs). Given the limited pediatric pharmacokinetic data, this study developed physiologically based pharmacokinetic (PBPK) models for CLB and STP to optimize dosing and assess DDI risk across pediatric age groups. Methods: We developed PBPK models for CLB, its active metabolite, N-desmethylclobazam (N-CLB), and STP in healthy adults and pediatric patients with Dravet syndrome aged two years and older. We evaluated the inhibitory effect of STP on CLB and N-CLB metabolism, accounting for CYP2C19 phenotypes. The model was extrapolated to predict drug exposure in pediatric patients under two years of age. Results: PBPK models for CLB, N-CLB, and STP successfully recapitulated observed pharmacokinetics in healthy adults and pediatric patients older than two years. Model verification against clinical DDI data showed that co-administration of STP with CLB resulted in a clinically insignificant increase in CLB exposure (Cmin ratio = 1.77). In contrast, N-CLB exposure increased approximately 7-fold in CYP2C19 extensive metabolizers (Cmin ratio ≈ 7) and slightly decreased in poor metabolizers (Cmin ratio = 0.9), consistent with the CYP2C19-dependent metabolism of N-CLB. Extrapolation to pediatric patients under two years of age predicted CLB, N-CLB, and STP exposures that were comparable to older children and remained within their reported efficacy and safety margins, suggesting no major ontogeny-related effect on exposure. Conclusions: The PBPK model supports the safe extrapolation of CLB and STP co-administration to pediatric Dravet syndrome patients as young as six months. Full article
(This article belongs to the Special Issue Advances in Physiologically Based Pharmacokinetics)
Show Figures

Graphical abstract

12 pages, 572 KB  
Article
Pharmacogenetic Analysis of TPMT and NUDT15 in a European Pediatric Cohort with IBD and Autoimmune Diseases: Frequency Data and Clinical Relevance
by Anna Pau, Ilaria Galliano, Alice Ponte, Anna Clemente, Maddalena Dini, Cristina Calvi, Paola Montanari, Antonio Pizzol, Stefano Gambarino, Pier Luigi Calvo and Massimiliano Bergallo
Genes 2025, 16(11), 1372; https://doi.org/10.3390/genes16111372 - 11 Nov 2025
Viewed by 162
Abstract
Background/Objectives: Thiopurines remain a cornerstone in the management of inflammatory bowel disease (IBD) and gastrointestinal immune diseases but are associated with significant interindividual variability in efficacy and toxicity, mainly influenced by polymorphisms in Thiopurine S-methyltransferase TPMT and Nudix Hydrolase 15 NUDT15. This study [...] Read more.
Background/Objectives: Thiopurines remain a cornerstone in the management of inflammatory bowel disease (IBD) and gastrointestinal immune diseases but are associated with significant interindividual variability in efficacy and toxicity, mainly influenced by polymorphisms in Thiopurine S-methyltransferase TPMT and Nudix Hydrolase 15 NUDT15. This study aimed to assess the frequency of TPMT and NUDT15 variants in a pediatric cohort and evaluate their clinical impact to support a pharmacogenetic-guided approach to thiopurine therapy. Methods: Eighty-three pediatric patients with IBD and other autoimmune diseases were genotyped for clinically relevant TPMT and NUDT15 variants using two HRM-PCR assays and were confirmed with sequencing. Variant frequencies were compared to expected population data, and clinical records were reviewed to assess thiopurine dosing, tolerance, and adverse events. Results: Among the cohort, six carried heterozygous TPMT variants *1/*3A, while 2 carried the NUDT15 *1/*9 diplotype, with frequencies higher than expected. Among patients with TPMT variant alleles, some needed dose reductions or treatment discontinuation due to adverse effects, while others tolerated standard dosing without significant issues. Notably, no significant differences in adverse reactions were observed between NUDT15 *1/*9 carriers and wild-type patients. Conclusions: Our results confirm the clinical relevance of TPMT and NUDT15 genotyping to personalize thiopurine therapy in pediatric IBD. Routine implementation of rapid genetic testing, combined with therapeutic drug monitoring and a structured management algorithm, may optimize treatment outcomes and minimize preventable toxicity. Full article
(This article belongs to the Section Human Genomics and Genetic Diseases)
Show Figures

Figure 1

21 pages, 1139 KB  
Review
Effects of Exercise on Cardiovascular and Metabolic Responses in Adults and Childhood Cancer Survivors: The Role of NETosis and Low-Grade Inflammation as a Novel Therapeutic Target—A Narrative Review
by Rodrigo L. Castillo, Esteban G. Figueroa, Alejandro González-Candia, Andrea del Campo, Claudia Paris, Fernando Verdugo, Morin Lang, Carlos Cruz-Montecinos, Mauricio Quezada, Robert A. Pérez, Martín Armijo, Patricio Acevedo and Rodrigo Carrasco
Int. J. Mol. Sci. 2025, 26(22), 10843; https://doi.org/10.3390/ijms262210843 - 8 Nov 2025
Viewed by 226
Abstract
Cancer survivors (CS) constitute an expanding population with underrecognized cardiometabolic risk. Despite substantial improvements in five-year survival rates, both childhood and adult survivors remain at high risk for premature morbidity and mortality. These risks are particularly pronounced following exposure to anthracyclines and/or chest [...] Read more.
Cancer survivors (CS) constitute an expanding population with underrecognized cardiometabolic risk. Despite substantial improvements in five-year survival rates, both childhood and adult survivors remain at high risk for premature morbidity and mortality. These risks are particularly pronounced following exposure to anthracyclines and/or chest radiotherapy, typically in a dose-dependent manner. In Chile, the establishment of the National Pediatric Antineoplastic Drug Program (PINDA) in 1998 marked a milestone in improving equitable access to high-quality pediatric oncology care through evidence-based treatment protocols across the public health system; the adult counterpart (PANDA) has developed diagnostic, treatment, and monitoring protocols for hematological neoplasms. Few prospective cohort or mechanistic studies have clarified risk stratification or surveillance strategies in survivor populations. The regulated, short-term activation of inflammation and innate immunity can be an adaptive and protective response to tissue injury, whereas persistent low-grade inflammation may trigger neutrophil extracellular traps formation (NETosis) and other maladaptive pathways that accelerate endothelial injury, thrombosis, and adverse cardiovascular remodeling. NETosis represents a putative immunomodulatory target for therapeutic immunomodulation in heart failure and maladaptive left ventricular remodeling in preclinical models. Concurrently, skeletal muscle-derived and hormonal mediators known as exerkines—together with increased NET activity—may modulate the pathophysiology of chronic cardiometabolic disease and contribute to cancer progression, particularly in the context of obesity, diabetes, and insulin resistance. Structured exercise is a promising non-pharmacological intervention that modulates inflammatory and metabolic pathways and may thereby help prevent non-communicable diseases, including cancer. We synthesize basic and clinical evidence to (1) define how cancer therapies promote low-grade inflammation and NETosis; (2) describe how exerkines and structured exercise influence cardiometabolic biology; and (3) evaluate exercise as a mechanistic and clinically pragmatic strategy to reduce long-term CVD risk in pediatric and adult CS. Full article
(This article belongs to the Special Issue State-of-the-Art Molecular Immunology in Chile, 2nd Edition)
Show Figures

Figure 1

12 pages, 714 KB  
Brief Report
Real-Life Use of Posaconazole in Clinical Practice for Onco-Hematological Children: A National Survey by AIEOP Infectious Diseases Working Group
by Lorenzo Chiusaroli, Manuela Spadea, Cecilia Liberati, Maria Grazia Petris, Antonio Grasso, Francesco Baccelli, Maria Vittoria Micheletti, Pietro Gasperini, Maria Rosaria D’Amico, Katia Perruccio, Angelica Barone, Daniela Onofrillo, Paola Muggeo, Maura Faraci, Simona Rinieri, Ilaria Liguoro, Antonella Colombini, Francesca Trevisan, Nagua Giurici, Gianluca Boscarol, Letizia Pomponia Brescia, Alessia Pancaldi, Francesca Compagno, Alessandra Biffi, Daniele Donà and Simone Cesaroadd Show full author list remove Hide full author list
J. Fungi 2025, 11(11), 797; https://doi.org/10.3390/jof11110797 - 7 Nov 2025
Viewed by 343
Abstract
Background: Posaconazole is an antifungal medication used to treat invasive fungal infections (IFI) in pediatric onco-hematological patients. Its approval for pediatric use was recent, and limitations still apply. Despite limited data, the safety and efficacy profile appear generally favorable in children. This study [...] Read more.
Background: Posaconazole is an antifungal medication used to treat invasive fungal infections (IFI) in pediatric onco-hematological patients. Its approval for pediatric use was recent, and limitations still apply. Despite limited data, the safety and efficacy profile appear generally favorable in children. This study describes how posaconazole is used across centers affiliated with the Associazione Italiana Ematologia e Oncologia Pediatrica (AIEOP). Methods: A national survey was conducted among physicians within the AIEOP network to evaluate current use of posaconazole in pediatric cancer patients, including those undergoing hematopoietic stem cell transplantation (HSCT). A 25-item web questionnaire was developed and distributed in June 2024. Data analysis involved descriptive statistics. Results: Twenty-one of thirty-one centers (68%) responded, reporting availability of various posaconazole formulations: oral suspension (76%), delayed-release tablets (95%), and intravenous solution (14%). Posaconazole was primarily used for prophylaxis in patients with acute lymphoblastic leukemia (ALL, 38%), acute myeloid leukemia (AML, 38%), and aplastic anemia (19%). It was also used as secondary prophylaxis against previous possible or probable IFI or as salvage therapy for probable or confirmed aspergillosis or mucormycosis, often combined with other treatments. Drug plasma level monitoring was common but varied in scheduling across centers. Most centers (74%) discontinued posaconazole if adverse events suspected drug–drug interactions, such as with vincristine. Conclusions: Posaconazole is widely used in AIEOP centers, though application varies significantly. This variability emphasizes the need for prospective studies to better define indications, dosing, and monitoring protocols for pediatric use of this antifungal. Full article
Show Figures

Figure 1

17 pages, 1945 KB  
Systematic Review
Limosilactobacillus reuteri in Pediatric Oral Health: A Systematic Review
by João Pedro Carvalho, Romy Grondin, Paulo Rompante, Célia Fortuna Rodrigues, José Carlos Andrade and António Rajão
Appl. Sci. 2025, 15(21), 11783; https://doi.org/10.3390/app152111783 - 5 Nov 2025
Viewed by 305
Abstract
Background: Limosilactobacillus reuteri (L. reuteri), present in the oral and intestinal microbiota, can colonize the oral cavity through breastfeeding and dairy intake, promoting oral health by balancing the microbiota, inhibiting pathogens, and modulating immune responses. This study aimed to evaluate [...] Read more.
Background: Limosilactobacillus reuteri (L. reuteri), present in the oral and intestinal microbiota, can colonize the oral cavity through breastfeeding and dairy intake, promoting oral health by balancing the microbiota, inhibiting pathogens, and modulating immune responses. This study aimed to evaluate the preventive role and therapeutic potential of L. reuteri in pediatric oral health. Methods: A literature review was conducted using PubMed, Wiley Library, and the Cochrane Library, supplemented by manual screening, according to PRISMA guidelines and covering the period from January 2011 to 31 December 2024. Results: From 835 records identified, 12 studies met the inclusion criteria. Data shows that L. reuteri strains produce antimicrobial substances that disrupt biofilms and inhibit Streptococcus mutans and other lactobacilli, leading to increased oral pH and improved periodontal indices. The effectiveness of probiotics was found to be strain-specific and transient, with continuous intake and adequate oral hygiene enhancing their ability to colonize the oral cavity. Conclusions: Probiotics show significant potential as therapeutic interventions for controlling cariogenic bacteria and supporting gum health in children. Through mechanisms including bacterial co-aggregation, competitive exclusion, antimicrobial compound synthesis, and immune modulation, probiotics may effectively reduce the risk of tooth decay and gum disease. Their effectiveness depends on the strain, regular intake, proper dosing, good oral hygiene, and suitable delivery, which enhance oral colonization and clinical benefits. Full article
(This article belongs to the Special Issue Recent Advances in Pediatric Orthodontics and Pediatric Dentistry)
Show Figures

Figure 1

14 pages, 2334 KB  
Article
In Vitro Effects of Retinoic Acid and Sodium Selenite on Neuroblastoma Cell Line (SH-SY5Y)
by Milena Mariano Ribeiro, Luíza Siqueira Lima, Nayara de Souza da Costa, Meire Ellen Pereira, Aline S. Fonseca, Luciane R. Cavalli, Quelen I. Garlet, Ana Carolina Irioda and Cláudia S. Oliveira
Future Pharmacol. 2025, 5(4), 65; https://doi.org/10.3390/futurepharmacol5040065 - 4 Nov 2025
Viewed by 247
Abstract
Background/Objectives: Neuroblastoma is a pediatric embryonal tumor of the autonomic nervous system, characterized by high heterogeneity. Recent research has explored the therapeutic potential of retinoic acid and selenium derivatives as antiproliferative agents. This study aims to assess the antiproliferative effects of sodium [...] Read more.
Background/Objectives: Neuroblastoma is a pediatric embryonal tumor of the autonomic nervous system, characterized by high heterogeneity. Recent research has explored the therapeutic potential of retinoic acid and selenium derivatives as antiproliferative agents. This study aims to assess the antiproliferative effects of sodium selenite and retinoic acid, as well as the conventional chemotherapeutic agents, cyclophosphamide and cisplatin, using the SH-SY5Y neuroblastoma cell line. Methods: Cells were treated with the compounds at concentrations ranging from 0 to 1000 µM for 72 h. The following assays were performed: cell viability, clonogenic assay, cell migration, cell cycle analysis, and gene expression (BCL2 and BAX). Data were analyzed using the Kruskal–Wallis test followed by Dunn’s or the Mann–Whitney test (p < 0.05). IC50 values were obtained from dose–response curves. Results: Sodium selenite (100–1000 µM) significantly reduced cell viability by more than 50% (IC50: 166 µM at 72 h). Retinoic acid (300 µM) reduced viability by 65% (IC50: 198 µM at 72 h), and cisplatin (10 µM) reduced viability by 79% (IC50: 3.4 µM at 72 h). All compounds significantly decreased colony formation. Sodium selenite and retinoic acid induced arrest in the G0/G1 phase of the cell cycle. Gene expression analysis revealed downregulation of the BCL2 gene by all compounds and upregulation of BAX only by sodium selenite at IC50 concentration. Conclusions: Sodium selenite and retinoic acid showed antiproliferative effects on neuroblastoma cells, suggesting their potential as adjuvant therapeutic agents. To reach this goal, we suggest further investigation of their mechanisms of action and evaluation of the combined strategies. Full article
Show Figures

Graphical abstract

17 pages, 2025 KB  
Article
Breast Organ Dose and Radiation Exposure Reduction in Full-Spine Radiography: A Phantom Model Using PCXMC
by Manami Nemoto and Koichi Chida
Diagnostics 2025, 15(21), 2787; https://doi.org/10.3390/diagnostics15212787 - 3 Nov 2025
Viewed by 281
Abstract
Background/Objectives: Full-spine radiography is frequently performed from childhood to adulthood, raising concerns about radiation-induced breast cancer risk. To assess such probabilistic risks as cancer, accurate estimation of equivalent and effective organ doses is essential. The purpose of this study is to investigate X-ray [...] Read more.
Background/Objectives: Full-spine radiography is frequently performed from childhood to adulthood, raising concerns about radiation-induced breast cancer risk. To assess such probabilistic risks as cancer, accurate estimation of equivalent and effective organ doses is essential. The purpose of this study is to investigate X-ray imaging conditions for radiation reduction based on breast organ dose and to evaluate the accuracy of simulation software for dose calculation. Methods: Breast organ doses from full-spine radiography were calculated using the Monte Carlo-based dose calculation software PCXMC. Breast organ doses were estimated under various technical conditions of full-spine radiography (tube voltage, distance, grid presence, and beam projection). Dose reduction methods were explored, and variations in dose and error due to phantom characteristics and photon history number were evaluated. Results: Among the X-ray conditions, the greatest radiation reduction effect was achieved by changing the imaging direction. Changing from the anteroposterior to posteroanterior direction reduced doses by approximately 76.7% to 89.1% (127.8–326.7 μGy) in children and 80.4% to 91.1% (411.3–911.1 μGy) in adults. In addition, the study highlighted how phantom characteristics and the number of photon histories influence estimated doses and calculation error, with approximately 2 × 106 photon histories recommended to achieve a standard error ≤ 2%. Conclusions: Modifying radiographic conditions is effective for reducing breast radiation exposure in patients with scoliosis. Furthermore, to ensure the accuracy of dose calculation software, the number of photon histories must be adjusted under certain conditions and used while verifying the standard error. This study demonstrates how technical modifications, projection selection, and phantom characteristics influence breast radiation exposure, thereby supporting the need for patient-tailored imaging strategies that minimize radiation risk while maintaining diagnostic validity. The findings may be useful in informing radiographic protocols and the development of safer imaging guidelines for both pediatric and adult patients undergoing spinal examinations. Full article
(This article belongs to the Special Issue Recent Advances in Diagnostic and Interventional Radiology)
Show Figures

Figure 1

13 pages, 580 KB  
Systematic Review
Systematic Review and Meta-Analysis of Insulin Dose and Route of Administration Regimens for Diabetic Ketoacidosis in Children and Adolescents
by Hiba Idrees, Fozia Memon, Ridwa Alam, Muhammad Talal, Aqsa Ishaq, Fatima Amjad, Eddy Lang, Sajid B. Soofi and Shabina Ariff
J. Clin. Med. 2025, 14(21), 7792; https://doi.org/10.3390/jcm14217792 - 3 Nov 2025
Viewed by 411
Abstract
Background: Non-communicable diseases represent a major global health challenge. Among these, diabetic ketoacidosis (DKA), an acute complication of type 1 diabetes mellitus in children and adolescents, significantly contributes to worldwide morbidity and mortality. Effective management of DKA relies on adequate insulin therapy, but [...] Read more.
Background: Non-communicable diseases represent a major global health challenge. Among these, diabetic ketoacidosis (DKA), an acute complication of type 1 diabetes mellitus in children and adolescents, significantly contributes to worldwide morbidity and mortality. Effective management of DKA relies on adequate insulin therapy, but variability in dosing, administration, and frequency leads to increased risk of complications and delayed DKA resolution. We conducted a systematic review of randomized controlled trials (RCTs) to evaluate the insulin dose and route of administration regimens for managing pediatric DKA. Methods: This review followed the PRISMA guidelines and was registered on PROSPERO (CRD42024568747). A comprehensive search of PubMed, CINAHL, Cochrane Library, and Scopus identified studies examining insulin regimens in pediatric DKA. Eligible studies were assessed for risk of bias using the Cochrane’s Risk of Bias (RoB-2) tool, and data were pooled using Review Manager for meta-analysis. Outcomes included morbidity (cerebral injury, hypoglycemia, hypokalemia), mortality, hospital stay, and adverse events. The quality of evidence was evaluated using the Grading of Recommendations Assessment, Development and Evaluation (GRADE) criteria. This review was commissioned by the WHO for the development of consolidated guidelines on common childhood illnesses. Results: Twelve RCTs, involving 530 participants, were included. A lower insulin dose (0.05 U/kg/h) was associated with a significantly reduced risk of hypoglycemia (RR = 0.39, 95% CI: 0.18–0.88, p = 0.02) and hypokalemia (RR = 0.54, 95% CI: 0.33,0.89, p = 0.01) compared to 0.1 U/kg/h. There were no significant differences in mortality and length of hospital stay between the dosing regimens. Additionally, no significant differences were observed in the incidence of cerebral injury and other adverse events. Conclusions: Findings suggest that lower insulin doses may reduce the risks of hypoglycemia and hypokalemia in children with mild-to-moderate DKA without increasing the risk of mortality, cerebral injury, or length of hospital stay. Further studies are needed to provide an evidence-based core outcome set and refine insulin dosing strategies across the full spectrum of disease severity. Full article
(This article belongs to the Section Clinical Pediatrics)
Show Figures

Figure 1

14 pages, 809 KB  
Review
Botulinum Toxin Type A for Pediatric Torticollis: A Review of Clinical Research
by Na-Yoen Kwon, Soo-Hyun Sung and Hyun-Kyung Sung
Toxins 2025, 17(11), 543; https://doi.org/10.3390/toxins17110543 - 1 Nov 2025
Viewed by 376
Abstract
Pediatric torticollis, predominantly resulting from congenital muscular torticollis, is characterized by unilateral shortening of the sternocleidomastoid muscle, leading to head tilt and limited cervical mobility. Conventional management primarily involves physical therapy and repositioning strategies, with most infants achieving full recovery. However, a subset [...] Read more.
Pediatric torticollis, predominantly resulting from congenital muscular torticollis, is characterized by unilateral shortening of the sternocleidomastoid muscle, leading to head tilt and limited cervical mobility. Conventional management primarily involves physical therapy and repositioning strategies, with most infants achieving full recovery. However, a subset of patients exhibits persistent symptoms despite conservative treatment. Botulinum toxin type A (BoNT-A) has emerged as a minimally invasive adjunct intervention that targets muscular hypertonicity by inhibiting acetylcholine release at neuromuscular junctions. This scoping review synthesizes clinical evidence from six studies, including randomized controlled trials and case reports, assessing the efficacy and safety of BoNT-A in pediatric torticollis. Results indicate consistent improvements in range of motion, head posture correction, and patient satisfaction, with rare and mild adverse events such as local bruising and transient muscle weakness. Despite promising outcomes, variability in dosing, injection protocols, and follow-up durations underscores the need for standardized treatment guidelines and further high-quality research. These findings support BoNT-A as a valuable therapeutic option for refractory pediatric torticollis, warranting integration into multidisciplinary care frameworks. Full article
Show Figures

Figure 1

19 pages, 564 KB  
Review
β-Lactam/β-Lactamase Inhibitor Combinations in Sepsis-Associated Acute Kidney Injury and Renal Replacement Therapy
by Antonio Lacquaniti, Valentina Pistolesi, Antonella Smeriglio, Domenico Santoro, Cristina Iannetti, Giuseppe Lentini, Roberto Chimenz, Valeria Chirico, Domenico Trombetta, Santo Morabito and Paolo Monardo
Antibiotics 2025, 14(11), 1097; https://doi.org/10.3390/antibiotics14111097 - 1 Nov 2025
Viewed by 405
Abstract
Sepsis-associated acute kidney injury (SA-AKI) often requires renal replacement therapy (RRT), which markedly alters antimicrobial pharmacokinetics (PK) and pharmacodynamics (PD). Novel β-lactam/β-lactamase inhibitor (BL/BLI) combinations broaden options against multidrug-resistant Gram-negative bacteria, but dosing during RRT remains uncertain. This review summarizes PK/PD features, extracorporeal [...] Read more.
Sepsis-associated acute kidney injury (SA-AKI) often requires renal replacement therapy (RRT), which markedly alters antimicrobial pharmacokinetics (PK) and pharmacodynamics (PD). Novel β-lactam/β-lactamase inhibitor (BL/BLI) combinations broaden options against multidrug-resistant Gram-negative bacteria, but dosing during RRT remains uncertain. This review summarizes PK/PD features, extracorporeal clearance, and practical dosing considerations about ceftolozane–tazobactam, ceftazidime–avibactam, aztreonam–avibactam, cefiderocol, meropenem–vaborbactam, imipenem–relebactam, and newer agents including sulbactam–durlobactam, cefepime–enmetazobactam, and cefepime–taniborbactam. Pharmacokinetic data, RRT impact, PK/PD targets, pediatric aspects, and clinical outcomes were extracted from experimental models, case reports, and clinical studies. Drug exposure varies with RRT modality, effluent flow, membrane properties, and patient-specific factors such as augmented renal clearance, hypoalbuminemia, and fluid overload. Standard renal-adjusted dosing often yields subtherapeutic concentrations in critically ill patients. Pediatric data remain scarce and largely limited to case reports. Optimal BL/BLI use in septic patients with SA-AKI on RRT requires individualized dosing that accounts for PK/PD variability and dialysis settings. Full-dose initiation during the first 24–48 h, followed by careful adjustment, appears prudent. Therapeutic drug monitoring should be used when available, and institution-specific protocols should be integrated into stewardship programs to improve efficacy and minimize resistance. Full article
Show Figures

Figure 1

19 pages, 1436 KB  
Review
The Evolution and Future Directions of PBPK Modeling in FDA Regulatory Review
by Yangkexin Li, Henry Sun and Zuoli Zhang
Pharmaceutics 2025, 17(11), 1413; https://doi.org/10.3390/pharmaceutics17111413 - 31 Oct 2025
Viewed by 1029
Abstract
Background: Physiologically based pharmacokinetic (PBPK) modeling is a mathematical approach that integrates human physiological parameters with drug-specific characteristics (including both active pharmaceutical ingredients and excipients), and it has emerged as one of the core technologies for optimizing the efficiency and reliability of drug [...] Read more.
Background: Physiologically based pharmacokinetic (PBPK) modeling is a mathematical approach that integrates human physiological parameters with drug-specific characteristics (including both active pharmaceutical ingredients and excipients), and it has emerged as one of the core technologies for optimizing the efficiency and reliability of drug development. Methods: This study synthesizes applications of PBPK models in FDA-approved drugs (2020–2024), systematically analyzing model utilization frequency, indication distribution, application domains and choice of modeling platforms, to reveal their substantive contributions to regulatory submissions. Additionally, we conducted an in-depth analysis of the PBPK models for 2024, classifying models into three tiers based on critical assessment of FDA reviewer comments. Results: Among 245 FDA-approved new drugs during this period, 65 NDAs/BLAs (26.5%) submitted PBPK models as pivotal evidence. Oncology drugs accounted for the highest proportion (42%). In application scenarios, drug–drug interaction (DDI) was predominant (81.9%), followed by dose recommendations for patients with organ impairment (7.0%), pediatric population dosing prediction (2.6%), and food-effect evaluation. Regarding modeling platforms, Simcyp® emerged as the industry-preferred modeling platform, with an 80% usage rate. In terms of regulatory evaluation, a core concern for reviewers is whether the model establishes a complete and credible chain of evidence from in vitro parameters to clinical predictions. Conclusions: Detailed regulatory reviews demonstrate that although some PBPK models exhibit certain limitations and shortcomings, this does not preclude them from demonstrating notable strengths and practical value in critical applications. Benefiting from the strong support these successful implementations provide for regulatory decision-making, the technology is gaining increasing recognition across the industry. Looking forward, the integration of PBPK modeling with artificial intelligence (AI) and multi-omics data will unprecedentedly enhance predictive accuracy, thereby providing critical and actionable insights for decision-making in precision medicine and global regulatory strategies. Full article
(This article belongs to the Special Issue Recent Advances in Physiologically Based Pharmacokinetics)
Show Figures

Figure 1

16 pages, 424 KB  
Review
Digital Twins in Pediatric Infectious Diseases: Virtual Models for Personalized Management
by Susanna Esposito, Beatrice Rita Campana, Hajrie Seferi, Elena Cinti and Alberto Argentiero
J. Pers. Med. 2025, 15(11), 514; https://doi.org/10.3390/jpm15110514 - 30 Oct 2025
Viewed by 368
Abstract
Digital twins (DTs), virtual replicas that integrate mechanistic modeling with real-time clinical data, are emerging as powerful tools in healthcare with particular promise in pediatrics, where age-dependent physiology and ethical considerations complicate infectious disease management. This narrative review examines current and potential applications [...] Read more.
Digital twins (DTs), virtual replicas that integrate mechanistic modeling with real-time clinical data, are emerging as powerful tools in healthcare with particular promise in pediatrics, where age-dependent physiology and ethical considerations complicate infectious disease management. This narrative review examines current and potential applications of DTs across antimicrobial stewardship (AMS), diagnostics, vaccine personalization, respiratory support, and system-level preparedness. Evidence indicates that DTs can optimize antimicrobial therapy by simulating pharmacokinetics and pharmacodynamics to support individualized dosing, enable Bayesian therapeutic drug monitoring, and facilitate timely de-escalation. They also help guide intravenous-to-oral switches and treatment durations by integrating host-response markers and microbiological data, reducing unnecessary antibiotic exposure. Diagnostic applications include simulating host–pathogen interactions to improve accuracy, forecasting clinical deterioration to aid in early sepsis recognition, and differentiating between viral and bacterial illness. Immune DTs hold potential for tailoring vaccination schedules and prophylaxis to a child’s unique immune profile, while hospital- and system-level DTs can simulate outbreaks, optimize patient flow, and strengthen surge preparedness. Despite these advances, implementation in routine pediatric care remains limited by challenges such as scarce pediatric datasets, fragmented data infrastructures, complex developmental physiology, ethical concerns, and uncertain regulatory frameworks. Addressing these barriers will require prospective validation, interoperable data systems, and equitable design to ensure fairness and inclusivity. If developed responsibly, DTs could redefine pediatric infectious disease management by shifting practice from reactive and population-based toward proactive, predictive, and personalized care, ultimately improving outcomes while supporting AMS and health system resilience. Full article
Show Figures

Figure 1

19 pages, 2262 KB  
Article
Dose-Dependent Analysis of Image Quality in Pediatric Head CT Scans Across Different Scanners to Optimize Clinical Protocols Using Phantom-Based Assessment
by Hiroshi Kuwahara, Mitsuaki Ojima, Tsuneko Kawamura, Daisuke Saitou, Kazunari Andou, Eiji Ariga, Kotaro Hasegawa and Michiaki Kai
Tomography 2025, 11(11), 119; https://doi.org/10.3390/tomography11110119 - 27 Oct 2025
Viewed by 284
Abstract
Background/Objectives: Optimization of pediatric head computed tomography (CT) protocols is essential to minimize radiation exposure while maintaining diagnostic image quality. Previous studies mainly relied on phantom-based measurements or visual assessments, and validation using clinical images remains limited. This study aimed to establish quantitative [...] Read more.
Background/Objectives: Optimization of pediatric head computed tomography (CT) protocols is essential to minimize radiation exposure while maintaining diagnostic image quality. Previous studies mainly relied on phantom-based measurements or visual assessments, and validation using clinical images remains limited. This study aimed to establish quantitative thresholds for noise and contrast-to-noise ratio (CNR) in pediatric head CT by integrating multicenter clinical data with phantom evaluations. Methods: A multicenter retrospective study was conducted using CT systems from eight hospitals, combined with Catphan phantom experiments and pediatric head CT data. Scan parameters, automatic exposure control settings, and reconstruction methods were collected. Image quality was quantified by the standard deviation (SD) of noise and CNR obtained from regions of interest in gray and white matter. Radiation dose was represented by CTDIvol. Relationships among CTDIvol, SD, and CNR were analyzed across scanners from three manufacturers (Canon, FUJI, and GE). Results: Consistent dose–response trends were observed across institutions and manufacturers. Image noise decreased as CTDIvol increased, but reached a plateau at higher doses. CNR improved with dose escalation, then stabilized. Both phantom experiments and clinical analyses identified a target SD of 5 and CNR of 2 as optimal indicators for pediatric head CT. Conclusions: Quantitative thresholds were determined as practical indicators for balancing diagnostic image quality with dose reduction. Further reduction may be achieved through advanced reconstruction methods, such as deep learning-based algorithms. These findings may contribute to standardizing pediatric head CT protocols and supporting safer and more effective diagnostic imaging. Full article
Show Figures

Figure 1

16 pages, 1621 KB  
Systematic Review
Effectiveness, Safety, and Real-World Experience of Brolucizumab: A Systematic Review
by Naif M. Alali, Abeer Aljahdali, Hani B. AlBalawi, Othman Jarallah Al Jarallah, Salem Mohammed AL Zaid, Ismail Abuallut, Faisal ALMarek, Ibrahim Shajry, Yousef A. Alotaibi, Mohammad A. Hazzazi and Moustafa S. Magliyah
Pharmaceuticals 2025, 18(11), 1620; https://doi.org/10.3390/ph18111620 - 27 Oct 2025
Viewed by 702
Abstract
Background/Objectives: Brolucizumab is a humanized single-chain antibody fragment with a molecular weight of approximately 26 kilodaltons (scFv, ~26 kDa) targeting all VEGF-A isoforms. Intravitreal brolucizumab (6 mg) is FDA-approved for neovascular age-related macular degeneration (nAMD) (2019) and diabetic macular edema (DME) (2022). We [...] Read more.
Background/Objectives: Brolucizumab is a humanized single-chain antibody fragment with a molecular weight of approximately 26 kilodaltons (scFv, ~26 kDa) targeting all VEGF-A isoforms. Intravitreal brolucizumab (6 mg) is FDA-approved for neovascular age-related macular degeneration (nAMD) (2019) and diabetic macular edema (DME) (2022). We systematically review the literature on brolucizumab for nAMD and DME, focusing on efficacy, safety, pharmacokinetics, real-world outcomes, and cost-effectiveness in adult and pediatric patients. Methods: Our method involves a comprehensive literature search of PubMed, Embase, Scopus, Cochrane, and related databases (through late 2024) using terms including “brolucizumab,” “Beovu,” “neovascular AMD,” “diabetic macular edema,” “safety,” “pharmacokinetics,” and “pediatric.” High-quality clinical trials, meta-analyses, regulatory documents, and real-world studies were prioritized. Results: In pivotal Phase III trials (HAWK/HARRIER for nAMD), brolucizumab 6 mg demonstrated non-inferior visual acuity (VA) gains to aflibercept, with >50% of eyes maintained on 12-week dosing and greater retinal fluid reduction. In DME trials (KESTREL/KITE), brolucizumab was similarly non-inferior to aflibercept for VA and showed superior anatomic drying, with 33–48% of eyes maintained on ≥12-week intervals. However, brolucizumab use has been associated with intraocular inflammation (IOI), retinal vasculitis, and vascular occlusion: clinical trials and post hoc analyses reported higher rates of these events than comparator agents. Real-world cohorts found IOI in ~4–10% of treated eyes, often occurring early (within 3 months) after initiation. Conclusions: In conclusion, Brolucizumab is an effective anti-VEGF option for nAMD and DME, providing durable anatomic control with fewer injections. Non-inferior vision outcomes and superior fluid resolution have been demonstrated. However, it carries a distinct risk of IOI and occlusive vasculitis, necessitating careful patient selection, dosing, and monitoring. Full article
(This article belongs to the Special Issue Recent Advances in Ocular Pharmacology)
Show Figures

Figure 1

Back to TopTop