Sign in to use this feature.

Years

Between: -

Subjects

remove_circle_outline
remove_circle_outline
remove_circle_outline
remove_circle_outline
remove_circle_outline
remove_circle_outline
remove_circle_outline
remove_circle_outline
remove_circle_outline

Journals

Article Types

Countries / Regions

Search Results (34)

Search Parameters:
Keywords = partial nitrification-denitrification

Order results
Result details
Results per page
Select all
Export citation of selected articles as:
14 pages, 1352 KB  
Article
Ecological Imprint of Rare Earth Mining on Microbial Communities and Water Quality Across Depth and Distance Gradients in Ganzhou, China
by Yian Wang, Fei Shi, Fengxiang Lang, Guohua Wang, Yan Mao, Yingjie Xiao, Li Yin, Genhe He and Yonghui Liao
Microorganisms 2025, 13(10), 2236; https://doi.org/10.3390/microorganisms13102236 - 24 Sep 2025
Viewed by 641
Abstract
Rare earth element (REE) mining exerts profound impacts on aquatic ecosystems, yet the microbial community responses and water quality under such stress remain underexplored. In this study, the surface (0.2 m) and subsurface (1.0 m) water along a spatial transect from proximal to [...] Read more.
Rare earth element (REE) mining exerts profound impacts on aquatic ecosystems, yet the microbial community responses and water quality under such stress remain underexplored. In this study, the surface (0.2 m) and subsurface (1.0 m) water along a spatial transect from proximal to distal points was investigated in a REE-mining area of Ganzhou, China. Physicochemical analyses revealed pronounced gradients of nitrogen (e.g., NH4+−N, NO3−N), heavy metals (e.g., Mn, Zn, Pb), and REEs (e.g., La, Nd, Ce), with higher accumulation near mining sources and partial attenuation downstream. Dissolved oxygen and redox potential indicated mildly reducing conditions at contaminated points, potentially promoting denitrification and altering nitrogen cycling. Metagenomic sequencing showed significant shifts in microbial community composition, with enrichment of metal- and nitrogen-tolerant taxa, and key denitrifiers (e.g., Acidovorax, Bradyrhizobium, Rhodanobacter), particularly at upstream polluted points. KEGG-based gene annotation highlighted dynamic nitrogen transformations mediated by multiple pathways, including nitrification, denitrification, dissimilatory nitrate reduction to ammonium, and nitrogen fixation. Notably, genes associated with nitrite and nitrate reduction (e.g., nir, nar, nrf) were enriched near mining sources, indicating enhanced nitrogen conversion potential, while downstream activation of nitrogen-fixing genes suggested partial ecosystem recovery. Meanwhile, some microbial such as Variovorax carried metal tolerant genes (e.g., ars, chr, cnr). These findings demonstrate that REE and heavy metal contamination restructure microbial networks, modulate nitrogen cycling, and create localized ecological stress gradients. This study provides a comprehensive assessment of mining-related water pollution, microbial responses, and ecological risks, offering valuable insights for monitoring, restoration, and sustainable management of REE-impacted aquatic environments. Full article
(This article belongs to the Section Environmental Microbiology)
Show Figures

Figure 1

32 pages, 6657 KB  
Article
Mechanisms of Ocean Acidification in Massachusetts Bay: Insights from Modeling and Observations
by Lu Wang, Changsheng Chen, Joseph Salisbury, Siqi Li, Robert C. Beardsley and Jackie Motyka
Remote Sens. 2025, 17(15), 2651; https://doi.org/10.3390/rs17152651 - 31 Jul 2025
Viewed by 821
Abstract
Massachusetts Bay in the northeastern United States is highly vulnerable to ocean acidification (OA) due to reduced buffering capacity from significant freshwater inputs. We hypothesize that acidification varies across temporal and spatial scales, with short-term variability driven by seasonal biological respiration, precipitation–evaporation balance, [...] Read more.
Massachusetts Bay in the northeastern United States is highly vulnerable to ocean acidification (OA) due to reduced buffering capacity from significant freshwater inputs. We hypothesize that acidification varies across temporal and spatial scales, with short-term variability driven by seasonal biological respiration, precipitation–evaporation balance, and river discharge, and long-term changes linked to global warming and river flux shifts. These patterns arise from complex nonlinear interactions between physical and biogeochemical processes. To investigate OA variability, we applied the Northeast Biogeochemistry and Ecosystem Model (NeBEM), a fully coupled three-dimensional physical–biogeochemical system, to Massachusetts Bay and Boston Harbor. Numerical simulation was performed for 2016. Assimilating satellite-derived sea surface temperature and sea surface height improved NeBEM’s ability to reproduce observed seasonal and spatial variability in stratification, mixing, and circulation. The model accurately simulated seasonal changes in nutrients, chlorophyll-a, dissolved oxygen, and pH. The model results suggest that nearshore areas were consistently more susceptible to OA, especially during winter and spring. Mechanistic analysis revealed contrasting processes between shallow inner and deeper outer bay waters. In the inner bay, partial pressure of pCO2 (pCO2) and aragonite saturation (Ωa) were influenced by sea temperature, dissolved inorganic carbon (DIC), and total alkalinity (TA). TA variability was driven by nitrification and denitrification, while DIC was shaped by advection and net community production (NCP). In the outer bay, pCO2 was controlled by temperature and DIC, and Ωa was primarily determined by DIC variability. TA changes were linked to NCP and nitrification–denitrification, with DIC also influenced by air–sea gas exchange. Full article
Show Figures

Figure 1

19 pages, 2290 KB  
Article
Optimizing Microbial Composition in Soil Macroaggregates Enhances Nitrogen Supply Through Long-Term Straw Return
by Lei Xu and Ganghua Li
Agronomy 2025, 15(5), 1208; https://doi.org/10.3390/agronomy15051208 - 16 May 2025
Viewed by 969
Abstract
Soil nitrogen (N) is critical for crop yield. Although previous studies have shown that straw return enhances soil mineral N availability, the response of soil aggregate microbes to straw return and its impact on soil mineral N availability remains unclear. We conducted a [...] Read more.
Soil nitrogen (N) is critical for crop yield. Although previous studies have shown that straw return enhances soil mineral N availability, the response of soil aggregate microbes to straw return and its impact on soil mineral N availability remains unclear. We conducted a 13-year experiment to explore how soil N mineralization potential, fungi, and bacteria within soil aggregates responded to straw return. Our findings indicated that straw return significantly increased mineral N concentrations in soil macroaggregates, with no statistically significant effect observed on microaggregate composition. We observed increased microbial community α-diversity, enhanced co-occurrence network stability, and an increase in functional groups associated with N (nitrate respiration, denitrification, nitrite denitrification) and carbon (saprotrophs, saprotroph–symbiotrophs, patho-saprotrophs) cycling within the aggregates. Additionally, microorganisms in macroaggregates were influenced by total N, while those in microaggregates were affected by soil total organic carbon and C–N ratio. A sensitivity network analysis identified specific microorganisms responding to straw return. Within macroaggregates, microbial community shifts explained 42.88% of mineral N variation, with bacterial and fungal β-diversity contributing 27.82% and 12.58%, respectively. Moreover, straw return upregulated N-cycling genes (N ammonification: sub, ureC, and chiA; nitrification: amoA-AOB; denitrification: nirK, nirS, nosZ, norB, and narG; and N fixation: nifH) in macroaggregates. Partial least squares path modeling revealed that N availability in macroaggregates was mainly driven by ammonification, with bacterial β-diversity explaining 23.22% and fungal β-diversity 15.16% of the variation. Our study reveals that macroaggregates, which play a crucial role in soil N supply, are highly sensitive to tillage practices. This finding provides a practical approach to reducing reliance on synthetic N fertilizers by promoting microbial-mediated N cycling, while sustaining high crop yields in intensive agricultural systems. Full article
Show Figures

Figure 1

13 pages, 1369 KB  
Technical Note
Design and Initial Testing of Acoustically Stimulated Anaerobic Digestion Coupled with Effluent Aeration for Agricultural Wastewater Remediation
by John H. Loughrin, Philip J. Silva, Stacy W. Antle, Nanh Lovanh, Matias B. Vanotti and Karamat R. Sistani
AgriEngineering 2025, 7(5), 136; https://doi.org/10.3390/agriengineering7050136 - 5 May 2025
Viewed by 1018
Abstract
The construction of an anaerobic digester coupled with post-digestion low-level aeration for agricultural wastewater treatment is described. The digester employs underwater speakers to accelerate the anaerobic digestion process while retaining solids to reduce the strength of the effluent. The effluent is sent to [...] Read more.
The construction of an anaerobic digester coupled with post-digestion low-level aeration for agricultural wastewater treatment is described. The digester employs underwater speakers to accelerate the anaerobic digestion process while retaining solids to reduce the strength of the effluent. The effluent is sent to a holding tank and fed at a low flow rate to an aeration tank to effect partial nitrification of the wastewater. The outlet of this tank is sent to a settling tank to retain biomass that developed in the aeration tank, and the effluent is sent to a small constructed wetland to further reduce wastewater nitrogen and phosphorus. The wetland was planted with the broadleaf cattail, Typha latifolia, and hence led to the formation of a retention basin. The system has reduced energy consumption due to the use of underwater sonic treatment and low-level aeration that is not designed to achieve full nitrification/denitrification but rather to achieve a mixture of ammonium, nitrite, and nitrate that might foster the development of a consortium of organisms (i.e., nitrifiers and Anammox bacteria) that can remediate wastewater ammonium at low cost. The system is meant to serve as a complex where various technologies and practices can be evaluated to improve the treatment of agricultural wastewater. Preliminary data from the system are presented. Full article
Show Figures

Figure 1

17 pages, 3800 KB  
Article
Effects of High Salinity on Nitrogen Removal Efficiency and Microbial Community Structure in a Three-Stage AO System
by Shengyu Shi, Pengfei Cui, Shasha Wang, Jun Long and Xiaojun Yang
Water 2025, 17(8), 1112; https://doi.org/10.3390/w17081112 - 8 Apr 2025
Viewed by 1625
Abstract
This study investigated the nitrogen removal performance of a three-stage AO reactor for refractory TN and the changes in microbial community structure within the activated sludge system under varying sodium chloride concentration conditions. Under an influent sodium chloride concentration of 0 g/L with [...] Read more.
This study investigated the nitrogen removal performance of a three-stage AO reactor for refractory TN and the changes in microbial community structure within the activated sludge system under varying sodium chloride concentration conditions. Under an influent sodium chloride concentration of 0 g/L with sufficient carbon source, the removal rates of Total Nitrogen (TN), Chemical Oxygen Demand (CODcr), and Ammonium (NH4+-N) remained stable at 98%, 99.7%, and 99.9%, respectively. When the sodium chloride concentration increased to 20 g/L, the activity of AOB was significantly inhibited, with removal efficiency rates dropping to 83%, 89%, and 70%, respectively, and the NAR increasing to 91.97%. Analytical results demonstrated that both ammonia-oxidizing bacteria (AOB) and nitrite-oxidizing bacteria (NOB) exhibited inhibited metabolic activities, with NOB experiencing earlier functional impairment. Under NaCl concentrations ≤ 10 g/L, conventional nitrogen removal via nitrification–denitrification (ND) remained dominant. When NaCl concentrations exceeded 10 g/L, due to the accumulation of NO2-N, the phyla Planctomycetota and Proteobacteria maintained dominance in the microbial community, while partial nitrification (PN) and denitrification pathways gradually replaced ND. Extracellular polymeric substance (EPS) secretion emerged as the primary microbial defense mechanism against salinity stress. Experimental findings informed proposed strategies including phased acclimatization for salt-tolerance enhancement, EPS production regulation, and targeted enrichment of functional consortia, which collectively improved the denitrification efficiency by 18.7–22.3% under salinity levels ≤ 20 g/L. This study provides theoretical foundations and technical references for process optimization in hypersaline industrial wastewater treatment systems. Full article
(This article belongs to the Section Wastewater Treatment and Reuse)
Show Figures

Figure 1

27 pages, 3985 KB  
Review
Advancement in Anaerobic Ammonia Oxidation Technologies for Industrial Wastewater Treatment and Resource Recovery: A Comprehensive Review and Perspectives
by Pradeep Singh, Monish Bisen, Sourabh Kulshreshtha, Lokender Kumar, Shubham R. Choudhury, Mayur J. Nath, Manabendra Mandal, Aman Kumar and Sanjay K. S. Patel
Bioengineering 2025, 12(4), 330; https://doi.org/10.3390/bioengineering12040330 - 22 Mar 2025
Cited by 4 | Viewed by 3724
Abstract
Anaerobic ammonium oxidation (anammox) technologies have attracted substantial interest due to their advantages over traditional biological nitrogen removal processes, including high efficiency and low energy demand. Currently, multiple side-stream applications of the anammox coupling process have been developed, including one-stage, two-stage, and three-stage [...] Read more.
Anaerobic ammonium oxidation (anammox) technologies have attracted substantial interest due to their advantages over traditional biological nitrogen removal processes, including high efficiency and low energy demand. Currently, multiple side-stream applications of the anammox coupling process have been developed, including one-stage, two-stage, and three-stage systems such as completely autotrophic nitrogen removal over nitrite, denitrifying ammonium oxidation, simultaneous nitrogen and phosphorus removal, partial denitrification-anammox, and partial nitrification and integrated fermentation denitritation. The one-stage system includes completely autotrophic nitrogen removal over nitrite, oxygen-limited autotrophic nitrification/denitrification, aerobic de-ammonification, single-stage nitrogen removal using anammox, and partial nitritation. Two-stage systems, such as the single reactor system for high-activity ammonium removal over nitrite, integrated fixed-film activated sludge, and simultaneous nitrogen and phosphorus removal, have also been developed. Three-stage systems comprise partial nitrification anammox, partial denitrification anammox, simultaneous ammonium oxidation denitrification, and partial nitrification and integrated fermentation denitritation. The performance of these systems is highly dependent on interactions between functional microbial communities, physiochemical parameters, and environmental factors. Mainstream applications are not well developed and require further research and development. Mainstream applications demand a high carbon/nitrogen ratio to maintain levels of nitrite-oxidizing bacteria, high concentrations of ammonium and nitrite in wastewater, and retention of anammox bacteria biomass. To summarize various aspects of the anammox processes, this review provides information regarding the microbial diversity of different genera of anammox bacteria and the engineering aspects of various side streams and mainstream anammox processes for wastewater treatment. Additionally, this review offers detailed insights into the challenges related to anammox technology and delivers solutions for future sustainable research. Full article
(This article belongs to the Special Issue Biological Wastewater Treatment and Resource Recovery)
Show Figures

Figure 1

17 pages, 2354 KB  
Article
Impact of Chemical Oxygen Demand/Total Nitrogen Ratio on Shifting Autotrophic Partial Nitrification to Heterotrophic Nitrification and Aerobic Denitrification in High-Strength Ammonium Wastewater Treatment
by Zhenghua Peng, Yongfei Lei, Yousheng Zhan, Benqin Yang and Xuejun Pan
Water 2024, 16(17), 2532; https://doi.org/10.3390/w16172532 - 6 Sep 2024
Cited by 1 | Viewed by 2564
Abstract
Partial nitrification (PN) is an effective process for treating high-strength ammonium wastewater with a low COD/N (chemical oxygen demand/total nitrogen) ratio; this is because the cooperative interaction with denitrification or anammox can result in a reduction in aeration costs of approximately 25% and [...] Read more.
Partial nitrification (PN) is an effective process for treating high-strength ammonium wastewater with a low COD/N (chemical oxygen demand/total nitrogen) ratio; this is because the cooperative interaction with denitrification or anammox can result in a reduction in aeration costs of approximately 25% and a reduction in the use of organic sources during biological nitrogen removal of 40%. However, the key functional microorganisms in the partial nitrification (PN) process are ammonia-oxidizing bacteria (AOB), which are autotrophic microorganisms that are influenced by carbon sources. Therefore, the COD/N ratio affects the performance of the PN process when treating high-strength ammonium wastewater. In this study, five sequence batch reactors were constructed and operated for 42 days; they were fed with synthetic high-strength ammonium wastewater (500 mg/L) with various COD/N ratios (at 0, 0.5, 1, 2, and 4). The results suggested that the PN process could be accomplished at COD/N ratios of 0 and 0.5, but its performance decreased significantly when the COD/N ratio increased to 1 due to the occurrence of simultaneous nitrification and denitrification. The AOB could not compete with the heterotrophic bacteria; as the COD/N ratios increased, the abundance of Nitrosomonas (a genus of autotrophic AOB) decreased, and it was not detected at COD/N ratios of 2 and 4. Instead, the heterotrophic nitrification and heterotrophic denitrification (HNAD) bacteria appeared, and their relative abundance increased when the COD/N ratios increased from 1 to 4. Full article
(This article belongs to the Section Wastewater Treatment and Reuse)
Show Figures

Figure 1

18 pages, 3975 KB  
Article
Treatment of Anaerobic Digester Liquids via Membrane Biofilm Reactors: Simultaneous Aerobic Methanotrophy and Nitrogen Removal
by Egidio F. Tentori, Nan Wang, Caroline J. Devin and Ruth E. Richardson
Microorganisms 2024, 12(9), 1841; https://doi.org/10.3390/microorganisms12091841 - 5 Sep 2024
Cited by 1 | Viewed by 1904
Abstract
Anaerobic digestion (AD) produces useful biogas and waste streams with high levels of dissolved methane (CH4) and ammonium (NH4+), among other nutrients. Membrane biofilm reactors (MBfRs), which support dissolved methane oxidation in the same reactor as simultaneous nitrification [...] Read more.
Anaerobic digestion (AD) produces useful biogas and waste streams with high levels of dissolved methane (CH4) and ammonium (NH4+), among other nutrients. Membrane biofilm reactors (MBfRs), which support dissolved methane oxidation in the same reactor as simultaneous nitrification and denitrification (ME-SND), are a potential bubble-less treatment method. Here, we demonstrate ME-SND taking place in single-stage, AD digestate liquid-fed MBfRs, where oxygen (O2) and supplemental CH4 were delivered via pressurized membranes. The effects of two O2 pressures, leading to different O2 fluxes, on CH4 and N removal were examined. MBfRs achieved up to 98% and 67% CH4 and N removal efficiencies, respectively. The maximum N removal rates ranged from 57 to 94 mg N L−1 d−1, with higher overall rates observed in reactors with lower O2 pressures. The higher-O2-flux condition showed NO2 as a partial nitrification endpoint, with a lower total N removal rate due to low N2 gas production compared to lower-O2-pressure reactors, which favored complete nitrification and denitrification. Membrane biofilm 16S rRNA amplicon sequencing showed an abundance of aerobic methanotrophs (especially Methylobacter, Methylomonas, and Methylotenera) and enrichment of nitrifiers (especially Nitrosomonas and Nitrospira) and anammox bacteria (especially Ca. Annamoxoglobus and Ca. Brocadia) in high-O2 and low-O2 reactors, respectively. Supplementation of the influent with nitrite supported evidence that anammox bacteria in the low-O2 condition were nitrite-limited. This work highlights coupling of aerobic methanotrophy and nitrogen removal in AD digestate-fed reactors, demonstrating the potential application of ME-SND in MBfRs for the treatment of AD’s residual liquids and wastewater. Sensor-based tuning of membrane O2 pressure holds promise for the optimization of bubble-less treatment of excess CH4 and NH4+ in wastewater. Full article
(This article belongs to the Section Biofilm)
Show Figures

Figure 1

10 pages, 1683 KB  
Article
Free Ammonia Strategy for Nitrite-Oxidizing Bacteria (NOB) Suppression in Mainstream Nitritation Start-Up
by Soyeon Jeong, Seongjae Park, Hojun Kim, Seongwon Yoon, Sewon Park, Doheung Kim, Jeongmi Kim, Yeonju Kim, Jaecheul Yu and Taeho Lee
Appl. Sci. 2024, 14(17), 7801; https://doi.org/10.3390/app14177801 - 3 Sep 2024
Cited by 4 | Viewed by 2846
Abstract
The partial nitritation (PN)–anammox (PN/A) process offers a sustainable alternative to nitrogen management in wastewater treatment, addressing the high costs and increasing the low eco-friendliness associated with traditional nitrification/denitrification processes. Stable partial nitritation (PN) is critical for effective PN/A operation, and this study [...] Read more.
The partial nitritation (PN)–anammox (PN/A) process offers a sustainable alternative to nitrogen management in wastewater treatment, addressing the high costs and increasing the low eco-friendliness associated with traditional nitrification/denitrification processes. Stable partial nitritation (PN) is critical for effective PN/A operation, and this study specifically focused on the need to suppress nitrite-oxidizing bacteria (NOB) to facilitate the enrichment of ammonia-oxidizing bacteria (AOB). Utilizing two sequencing batch reactors (SBRs), PN1 and PN2 with different free ammonia (FA) concentrations, this study aimed to evaluate the NOB suppression strategy while enriching AOB. The PN2 reactor, which operated with a higher initial FA concentration (50 mg/L), successfully maintained high nitritation activity, with 96.1% ammonium removal efficiency (ARE) and 95.1% nitrite accumulation efficiency (NAE) at reduced influent NH4+-N concentrations (50 mg NH4+-N/L, FA 10 mg/L). In contrast, PN1 showed inadequate NOB suppression due to lower FA concentrations (10 mg/L). These results suggest that initiating the nitritation process with higher FA concentrations can effectively suppress NOB, enhancing the stability and efficiency of PN/A processes in mainstream applications. Full article
(This article belongs to the Section Environmental Sciences)
Show Figures

Figure 1

12 pages, 3182 KB  
Article
Synergy between Nitrogen Removal and Fermentation Bacteria Ensured Efficient Nitrogen Removal of a Mainstream Anammox System at Low Temperatures
by Jiaru Zhi, Guocheng Ma, Xueqing Shi, Guoqing Dong, Deshuang Yu, Jianhua Zhang, Yu Zhang, Jiawen Li, Xinchao Zhao, Haizheng Xia, Xinyu Chen, Zhuoya Tian and Yuanyuan Miao
Toxics 2024, 12(9), 629; https://doi.org/10.3390/toxics12090629 - 26 Aug 2024
Cited by 2 | Viewed by 1764
Abstract
Simultaneous partial nitrification, anammox, denitrification, and fermentation (SNADF) is a novel process achieving simultaneous advanced sludge reduction and nitrogen removal. The influence of low temperatures on the SNADF reactor was explored to facilitate the application of mainstream anammox. When temperature decreased from 32 [...] Read more.
Simultaneous partial nitrification, anammox, denitrification, and fermentation (SNADF) is a novel process achieving simultaneous advanced sludge reduction and nitrogen removal. The influence of low temperatures on the SNADF reactor was explored to facilitate the application of mainstream anammox. When temperature decreased from 32 to 16 °C, efficient nitrogen removal was achieved, with a nitrogen removal efficiency of 81.9–94.9%. Microbial community structure analysis indicated that the abundance of Candidatus Brocadia (dominant anaerobic ammonia oxidizing bacteria (AnAOB) in the system) increased from 0.03% to 0.18%. The abundances of Nitrospira and Nitrosomonas increased from 1.6% and 0.16% to 2.5% and 1.63%, respectively, resulting in an increase in the ammonia-oxidizing bacteria (AOB) to nitrite-oxidizing bacteria (NOB) abundance ratio from 0.1 to 0.64. This ensured sufficient nitrite for AnAOB, promoting nitrogen removal. In addition, Candidatus Competibacter, which plays a role in partial denitrification, was the dominant denitrification bacteria (DNB) and provided more nitrite for AnAOB, facilitating AnAOB enrichment. Based on the findings from microbial correlation network analysis, Nitrosomonas (AOB), Thauera, and Haliangium (DNB), and A4b and Saprospiraceae (fermentation bacteria), were center nodes in the networks and therefore essential for the stability of the SNADF system. Moreover, fermentation bacteria, DNB, and AOB had close connections in substrate cooperation and resistance to adverse environments; therefore, they also played important roles in maintaining stable nitrogen removal at low temperatures. This study provided new suggestions for mainstream anammox application. Full article
(This article belongs to the Special Issue Advanced Processes for Wastewater Treatment)
Show Figures

Graphical abstract

14 pages, 3229 KB  
Article
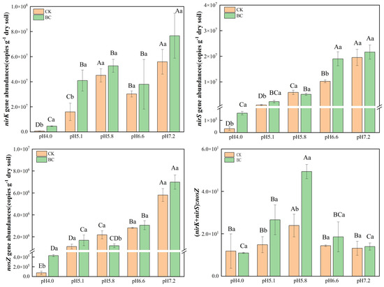
Converse Responses of Biochar Application on N2O Emissions in Soils at Different pH Values in a Subtropical Citrus Orchard
by Xiaojie Qian, Hongmei Chen, Qinghua Li and Fei Wang
Agronomy 2024, 14(8), 1831; https://doi.org/10.3390/agronomy14081831 - 20 Aug 2024
Cited by 2 | Viewed by 1672
Abstract
The aim of this study was to explore the effect of biochar on N2O emissions in soils with different pH levels. Soils with five pH levels (4.0, 5.1, 5.8, 6.6, and 7.2) were incubated in two conditions, with 0% biochar (CK) [...] Read more.
The aim of this study was to explore the effect of biochar on N2O emissions in soils with different pH levels. Soils with five pH levels (4.0, 5.1, 5.8, 6.6, and 7.2) were incubated in two conditions, with 0% biochar (CK) and 1% biochar (BC), for 23 days. N2O emissions were measured at nine time points, and soil chemical properties, AOA-amoA, AOB-amoA, nirK, nirS, and nosZ, were analyzed. Partial least squares path modelling (PLS-PM) was used to assess the effect of nitrification and denitrification pathways on potential N2O emissions. The results showed that biochar reduced N2O emissions in highly acidic soil (pH 4.0) but increased emissions in soils with pH values ranging from 5.1 to 7.2. In highly acidic soils, decreased N2O emission was associated with increased soil pH (p < 0.05) and decreased dissolved organic carbon content (p < 0.05), leading to higher nosZ gene abundance (p < 0.05). Meanwhile, in acidic to neutral soils, biochar application increased soil pH (6.6–11.7%), dissolved organic nitrogen (5.9–29.5%), dissolved organic carbon (8.6–41.0%), stimulated AOB-amoA, nirK, nirS gene abundance (p < 0.05), and thus increased N2O emissions. The results verified the influence of nitrification and denitrification genes on N2O production in soils with different pH values. In conclusion, biochar had different effects on N2O emissions based on soil pH, highlighting the need to consider pH when using biochar to mitigate N2O emissions in subtropical citrus orchards. Full article
(This article belongs to the Section Soil and Plant Nutrition)
Show Figures

Graphical abstract

16 pages, 5551 KB  
Article
Treatment of Pickle Wastewater under Varying Salinity Conditions within the Sequencing Batch Biofilm Reactor System
by Nuonan Shen, Hongyun Guo, Tingting Yao, Li Xu, Youxian Gao and Ping Yang
Water 2024, 16(9), 1312; https://doi.org/10.3390/w16091312 - 6 May 2024
Cited by 4 | Viewed by 2322
Abstract
Pickle wastewater is a highly saline organic effluent that poses a significant ecological risk. In this study, a sequencing batch biofilm reactor (SBBR) was used to treat such wastewater, and a denitrification system capable of simultaneously removing high levels of nitrogen and organic [...] Read more.
Pickle wastewater is a highly saline organic effluent that poses a significant ecological risk. In this study, a sequencing batch biofilm reactor (SBBR) was used to treat such wastewater, and a denitrification system capable of simultaneously removing high levels of nitrogen and organic matter was successfully established. Through salinity incremental increase, the system operated stably, and the removal rates of COD, TN, and NH4+-N could be maintained at about 96%, 93%, and 99% under the salinity of 3.0%. The effect of salinity on the structure and function of microbial communities in the reactor was investigated by high-throughput sequencing. The results showed that increasing salinity could reduce the diversity, change the structure, and reduce the functionality of the microbial community. Under high-salt conditions (salt content of 3.0%), salt-tolerant microorganisms such as Actinobacteriota became dominant populations. As salinity increased, NOB (nitrite oxidizing bacteria) was strongly inhibited, and its abundance decreased rapidly until it disappeared. Partial nitrification–denitrification (PND) gradually became the main denitrification pathway. In conclusion, this experiment not only shows that SBBR treatment of pickle wastewater has strong feasibility, but also provides a theoretical research basis for the engineering treatment of pickle wastewater. Full article
(This article belongs to the Section Wastewater Treatment and Reuse)
Show Figures

Figure 1

14 pages, 1924 KB  
Article
Start-Up Performance and Process Kinetics of a Two-Stage Partial Nitrification–Anaerobic Ammonium Oxidation Reactor
by Dunqiu Wang, Yipeng Ji, Wenjie Zhang, Xiaoying Guo, Guan Wen, Huihao Wu, Xiangyu Fan and Kun Dong
Water 2024, 16(7), 1036; https://doi.org/10.3390/w16071036 - 4 Apr 2024
Viewed by 1720
Abstract
The study of two-stage partial nitrification–anaerobic ammonium oxidation (PN/A) reactors, which are advantageous in engineering applications, still lacks research on process kinetics. Therefore, in this study, the start-up performance and process kinetics of a two-stage PN/A reactor were evaluated by controlling the reaction [...] Read more.
The study of two-stage partial nitrification–anaerobic ammonium oxidation (PN/A) reactors, which are advantageous in engineering applications, still lacks research on process kinetics. Therefore, in this study, the start-up performance and process kinetics of a two-stage PN/A reactor were evaluated by controlling the reaction conditions, for which the two reactors were inoculated with sludge, incubated separately, and then operated in tandem. Increasing the ammonia load of the reactor during the 60 d stabilization period resulted in a nitrogen accumulation rate of 96.93% and a [NO2 − N]Eff/[NH4+ − N]Eff ratio of 1.33, which is close to the theoretical value of 1.32. Successful initiation of the A reactor was achieved after 55 d of operation by inoculating with anammox-activated sludge and granular activated carbon, and the PN and A reactors then successfully operated in combination for 20 d, with an average NH4+ − N efficiency of 99.04% and the NH4+ − N load of the A reactor showing an “S-shaped” curve. An analysis of the microbial growth kinetic models indicated that the removal of NH4+ − N could be successfully described by the logistic, modified logistic, modified Gompertz, and modified Boltzmann models. A strong association between the model and the dependent variable was observed. The process kinetic analysis showed that the removal of NH4+ − N from reactor A could be simulated under steady-state conditions, using the Grau second-order model. The parameters obtained from the model analysis are expected to help predict the denitrification performance of the reactor, facilitate operational management and control, and thus provide a promising research basis for the introduction of automated control systems. Full article
Show Figures

Figure 1

11 pages, 2064 KB  
Technical Note
The Effect of Salinity on N2O Emissions during Domestic Wastewater Partial Nitrification Treatment in a Sequencing Batch Reactor
by Pengzhang Li, Yun Wang, Yue Liu, Shuying Wang and Yongzhen Peng
Water 2023, 15(19), 3502; https://doi.org/10.3390/w15193502 - 7 Oct 2023
Cited by 5 | Viewed by 1922
Abstract
Previous studies have highlighted the salinization caused by the use of seawater to flush toilets and industrial wastewater entering the urban wastewater systems in coastal areas. Thus, in this study, the effect of salinity on N2O emissions during the partial nitrification [...] Read more.
Previous studies have highlighted the salinization caused by the use of seawater to flush toilets and industrial wastewater entering the urban wastewater systems in coastal areas. Thus, in this study, the effect of salinity on N2O emissions during the partial nitrification process, as well as the emission mechanism, was investigated using a partial nitrification system of wastewater as the research object. The results showed that (1) the increase in salinity decreased the oxidation rate of NH4+ and the formation rate of NO2 during partial nitrification; (2) the increase in salinity increased the N2O emissions during NH4+ oxidation and NH2OH oxidation and decreased the formation rate of NO2-N during hydroxylamine oxidation; (3) the total N2O emissions during hydroxylamine oxidation were less than those during ammonia nitrogen oxidation, and a greater amount of NO2 was reduced to N2 instead of N2O during hydroxylamine oxidation; and (4) a novel finding was that, during partial nitrification with the available organic matter, the N2O emissions via heterotrophic denitrification by heterotrophic bacteria should not be ignored, and the increase in salinity can increase the N2O emissions generated via heterotrophic denitrification. These results would provide a theoretical basis for reducing the N2O emissions in the wastewater treatment process. Full article
(This article belongs to the Section Wastewater Treatment and Reuse)
Show Figures

Figure 1

26 pages, 14494 KB  
Review
Factors Affecting Nitrous Oxide Emissions from Activated Sludge Wastewater Treatment Plants—A Review
by Liana Kemmou and Elisavet Amanatidou
Resources 2023, 12(10), 114; https://doi.org/10.3390/resources12100114 - 25 Sep 2023
Cited by 20 | Viewed by 9268
Abstract
Nitrous oxide (N2O) is a greenhouse gas contributing to ozone layer depletion and climate change. Wastewater treatment plants (WWTPs) contribute significantly to the global anthropogenic N2O emissions. The main factors affecting N2O emissions are the dissolved oxygen [...] Read more.
Nitrous oxide (N2O) is a greenhouse gas contributing to ozone layer depletion and climate change. Wastewater treatment plants (WWTPs) contribute significantly to the global anthropogenic N2O emissions. The main factors affecting N2O emissions are the dissolved oxygen concentration (DO), the nitrite accumulation, the rapidly changing process conditions, the substrate composition and COD/N ratio, the pH, and the temperature. Low DO in the nitrification process results in higher N2O emissions, whereas high aeration rate in the nitration/anammox process results in higher N2O production. High DO in the denitrification inhibits the N2O reductase synthesis/activity, leading to N2O accumulation. High nitrite accumulation in both the nitrification and denitrification processes leads to high N2O emissions. Transient DO changes and rapid shifts in pH result in high N2O production. Ammonia shock loads leads to incomplete nitrification, resulting in NO2 accumulation and N2O formation. Limiting the biodegradable substrate hinders complete denitrification, leading to high N2O production. A COD/N ratio above 4 results in 20–30% of the nitrogen load being N2O emissions. Maximum N2O production at low pH (pH = 6) was observed during nitrification/denitrification and at high pH (pH = 8) during partial nitrification. High temperature enhances the denitrification kinetics but produces more Ν2O emissions. Full article
Show Figures

Figure 1

Back to TopTop