Optimizing Microbial Composition in Soil Macroaggregates Enhances Nitrogen Supply Through Long-Term Straw Return
Abstract
1. Introduction
2. Materials and Methods
2.1. Experimental Design and Soil Sampling
2.2. Soil Aggregate Separation and Chemical Property Analysis
2.3. Sequencing and Bioinformatics
2.4. Real-Time Quantitative Polymerase Chain Reaction (qPCR)
2.5. Statistical Analysis
3. Results
3.1. Impact of Straw Return on N Supply and Physicochemical Properties of Soil Aggregates
3.2. Microbial Communities Within Soil Aggregates
3.3. Enrichment of Specific Microbial Communities by Straw Return
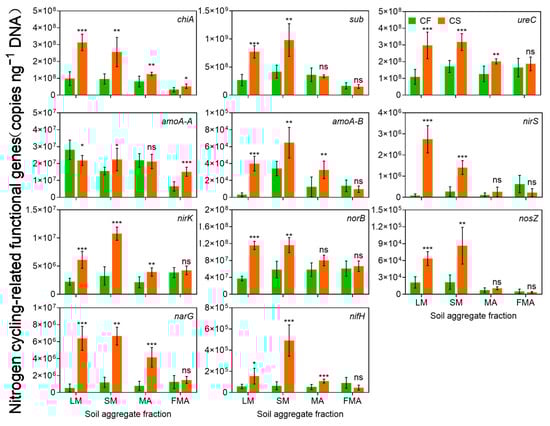
3.4. Abundance of N Cycling Genes in Soil Aggregates
3.5. Linking Specific Microbiomes and Soil Properties to Mineral N in Soil Aggregates
4. Discussion
4.1. Long-Term Straw Return Improves the Microbial Community Structure of Aggregates
4.2. Relationship Between Microbial Community Diversity and N Supply in Response to Straw Incorporation
4.3. Effects and Mechanisms of Long-Term Straw Return on N Supply in Soil Aggregates
5. Conclusions
Supplementary Materials
Author Contributions
Funding
Data Availability Statement
Conflicts of Interest
Abbreviations
References
- Yan, M.; Pan, G.; Lavallee, J.M.; Conant, R.T. Rethinking Sources of Nitrogen to Cereal Crops. Glob. Change Biol. 2020, 26, 191–199. [Google Scholar] [CrossRef] [PubMed]
- LeBauer, D.S.; Treseder, K.K. Nitrogen Limitation of Net Primary Productivity in Terrestrial Ecosystems Is Globally Distributed. Ecology 2008, 89, 371–379. [Google Scholar] [CrossRef] [PubMed]
- Kuypers, M.M.M.; Marchant, H.K.; Kartal, B. The Microbial Nitrogen-Cycling Network. Nat. Rev. Microbiol. 2018, 16, 263–276. [Google Scholar] [CrossRef]
- Galloway, J.N.; Townsend, A.R.; Erisman, J.W.; Bekunda, M.; Cai, Z.; Freney, J.R.; Martinelli, L.A.; Seitzinger, S.P.; Sutton, M.A. Transformation of the Nitrogen Cycle: Recent Trends, Questions, and Potential Solutions. Science 2008, 320, 889–892. [Google Scholar] [CrossRef] [PubMed]
- Guo, J.H.; Liu, X.J.; Zhang, Y.; Shen, J.L.; Han, W.X.; Zhang, W.F.; Christie, P.; Goulding, K.W.T.; Vitousek, P.M.; Zhang, F.S. Significant Acidification in Major Chinese Croplands. Science 2010, 327, 1008–1010. [Google Scholar] [CrossRef]
- Kimmel, K.; Furey, G.N.; Hobbie, S.E.; Isbell, F.; Tilman, D.; Reich, P.B. Diversity-Dependent Soil Acidification under Nitrogen Enrichment Constrains Biomass Productivity. Glob. Change Biol. 2020, 26, 6594–6603. [Google Scholar] [CrossRef]
- Liu, C.; Lu, M.; Cui, J.; Li, B.; Fang, C. Effects of Straw Carbon Input on Carbon Dynamics in Agricultural Soils: A Meta-Analysis. Glob. Change Biol. 2014, 20, 1366–1381. [Google Scholar] [CrossRef]
- Hartmann, M.; Six, J. Soil Structure and Microbiome Functions in Agroecosystems. Nat. Rev. Earth Environ. 2023, 4, 4–18. [Google Scholar] [CrossRef]
- Liu, J.; Qiu, T.; Peñuelas, J.; Sardans, J.; Tan, W.; Wei, X.; Cui, Y.; Cui, Q.; Wu, C.; Liu, L.; et al. Crop Residue Return Sustains Global Soil Ecological Stoichiometry Balance. Glob. Change Biol. 2023, 29, 2203–2226. [Google Scholar] [CrossRef]
- Das, B.; Chakraborty, D.; Singh, V.K.; Aggarwal, P.; Singh, R.; Dwivedi, B.S.; Mishra, R.P. Effect of Integrated Nutrient Management Practice on Soil Aggregate Properties, Its Stability and Aggregate-Associated Carbon Content in an Intensive Rice–Wheat System. Soil Tillage Res. 2014, 136, 9–18. [Google Scholar] [CrossRef]
- Han, S.; Delgado-Baquerizo, M.; Luo, X.; Liu, Y.; Van Nostrand, J.D.; Chen, W.; Zhou, J.; Huang, Q. Soil Aggregate Size-Dependent Relationships between Microbial Functional Diversity and Multifunctionality. Soil Biol. Biochem. 2021, 154, 108143. [Google Scholar] [CrossRef]
- Fan, Z.; Li, R.; Guan, E.; Chen, H.; Zhao, X.; Wei, G.; Shu, D. Fertilization Regimes Affect Crop Yields through Changes of Diazotrophic Community and Gene Abundance in Soil Aggregation. Sci. Total Environ. 2023, 866, 161359. [Google Scholar] [CrossRef] [PubMed]
- Zhang, X.; Shen, S.; Xue, S.; Hu, Y.; Wang, X. Long-Term Tillage and Cropping Systems Affect Soil Organic Carbon Components and Mineralization in Aggregates in Semiarid Regions. Soil Tillage Res. 2023, 231, 105742. [Google Scholar] [CrossRef]
- Peng, J.; Yang, Q.; Zhang, C.; Ni, S.; Wang, J.; Cai, C. Aggregate Pore Structure, Stability Characteristics, and Biochemical Properties Induced by Different Cultivation Durations in the Mollisol Region of Northeast China. Soil Tillage Res. 2023, 233, 105797. [Google Scholar] [CrossRef]
- Myrold, D.D. Transformations of Nitrogen. In Principles and Applications of Soil Microbiology; Elsevier: Amsterdam, The Netherlands, 2021; pp. 385–421. ISBN 978-0-12-820202-9. [Google Scholar]
- Phillips, L.A.; Schefe, C.R.; Fridman, M.; O’Halloran, N.; Armstrong, R.D.; Mele, P.M. Organic Nitrogen Cycling Microbial Communities Are Abundant in a Dry Australian Agricultural Soil. Soil Biol. Biochem. 2015, 86, 201–211. [Google Scholar] [CrossRef]
- Ouyang, Y.; Reeve, J.R.; Norton, J.M. Soil Enzyme Activities and Abundance of Microbial Functional Genes Involved in Nitrogen Transformations in an Organic Farming System. Biol. Fertil. Soils 2018, 54, 437–450. [Google Scholar] [CrossRef]
- Liu, S.; Wang, M.; Yin, M.; Chu, G.; Xu, C.; Zhang, X.; Abliz, B.; Tang, C.; Wang, D.; Chen, S. Fifteen Years of Crop Rotation Combined with Straw Management Alters the Nitrogen Supply Capacity of Upland-Paddy Soil. Soil Tillage Res. 2022, 215, 105219. [Google Scholar] [CrossRef]
- Jin, Z.; Li, L.; Liu, X.; Pan, G.; Qaiser, H.; Liu, Y. Impact of Long-Term Fertilization on Community Structure of Ammonia Oxidizing and Denitrifying Bacteria Based on amoA and nirK Genes in a Rice Paddy from Tai Lake Region, China. J. Integr. Agric. 2014, 13, 2286–2298. [Google Scholar] [CrossRef]
- Tang, Y.; Zhang, M.; Chen, A.; Zhang, W.; Wei, W.; Sheng, R. Impact of Fertilization Regimes on Diazotroph Community Compositions and N2-Fixation Activity in Paddy Soil. Agric. Ecosyst. Environ. 2017, 247, 1–8. [Google Scholar] [CrossRef]
- Hu, Q.; Liu, T.; Jiang, S.; Cao, C.; Li, C.; Chen, B.; Liu, J. Combined Effects of Straw Returning and Chemical N Fertilization on Greenhouse Gas Emissions and Yield from Paddy Fields in Northwest Hubei Province, China. J. Soil Sci. Plant Nutr. 2020, 20, 392–406. [Google Scholar] [CrossRef]
- Fan, H.; Jia, S.; Yu, M.; Chen, X.; Shen, A.; Su, Y. Long-Term Straw Return Increases Biological Nitrogen Fixation by Increasing Soil Organic Carbon and Decreasing Available Nitrogen in Rice–Rape Rotation. Plant Soil 2022, 479, 267–279. [Google Scholar] [CrossRef]
- Duan, F.; Peng, P.; Yang, K.; Shu, Y.; Wang, J. Straw Return of Maize and Soybean Enhances Soil Biological Nitrogen Fixation by Altering the N-Cycling Microbial Community. Appl. Soil Ecol. 2023, 192, 105094. [Google Scholar] [CrossRef]
- Philippot, L.; Spor, A.; Hénault, C.; Bru, D.; Bizouard, F.; Jones, C.M.; Sarr, A.; Maron, P.-A. Loss in Microbial Diversity Affects Nitrogen Cycling in Soil. ISME J. 2013, 7, 1609–1619. [Google Scholar] [CrossRef]
- Isobe, K.; Ise, Y.; Kato, H.; Oda, T.; Vincenot, C.E.; Koba, K.; Tateno, R.; Senoo, K.; Ohte, N. Consequences of Microbial Diversity in Forest Nitrogen Cycling: Diverse Ammonifiers and Specialized Ammonia Oxidizers. ISME J. 2020, 14, 12–25. [Google Scholar] [CrossRef] [PubMed]
- Tardy, V.; Spor, A.; Mathieu, O.; Lévèque, J.; Terrat, S.; Plassart, P.; Regnier, T.; Bardgett, R.D.; van der Putten, W.H.; Roggero, P.P.; et al. Shifts in Microbial Diversity through Land Use Intensity as Drivers of Carbon Mineralization in Soil. Soil Biol. Biochem. 2015, 90, 204–213. [Google Scholar] [CrossRef]
- Fuhrmann, J.J.; Zuberer, D.A. 13—Carbon Transformations and Soil Organic Matter Formation. In Principles and Applications of Soil Microbiology, 3rd ed.; Gentry, T.J., Fuhrmann, J.J., Zuberer, D.A., Eds.; Elsevier: Amsterdam, The Netherlands, 2021; pp. 327–361. ISBN 978-0-12-820202-9. [Google Scholar]
- Wang, C.; Kuzyakov, Y. Mechanisms and Implications of Bacterial–Fungal Competition for Soil Resources. ISME J. 2024, 18, wrae073. [Google Scholar] [CrossRef]
- Li, J.; Zhao, J.; Liao, X.; Yi, Q.; Zhang, W.; Lin, H.; Liu, K.; Peng, P.; Wang, K. Long-Term Returning Agricultural Residues Increases Soil Microbe-Nematode Network Complexity and Ecosystem Multifunctionality. Geoderma 2023, 430, 116340. [Google Scholar] [CrossRef]
- Zhang, M.; Dang, P.; Haegeman, B.; Han, X.; Wang, X.; Pu, X.; Qin, X.; Siddique, K.H.M. The Effects of Straw Return on Soil Bacterial Diversity and Functional Profiles: A Meta-Analysis. Soil Biol. Biochem. 2024, 195, 109484. [Google Scholar] [CrossRef]
- Xu, Z.; Sun, R.; He, T.; Sun, Y.; Wu, M.; Xue, Y.; Meng, F.; Wang, J. Disentangling the Impact of Straw Incorporation on Soil Microbial Communities: Enhanced Network Complexity and Ecological Stochasticity. Sci. Total Environ. 2023, 863, 160918. [Google Scholar] [CrossRef]
- Guan, Y.; Wu, M.; Che, S.; Yuan, S.; Yang, X.; Li, S.; Tian, P.; Wu, L.; Yang, M.; Wu, Z. Effects of Continuous Straw Returning on Soil Functional Microorganisms and Microbial Communities. J. Microbiol. 2023, 61, 49–62. [Google Scholar] [CrossRef]
- Wahdan, S.F.M.; Ji, L.; Schädler, M.; Wu, Y.-T.; Sansupa, C.; Tanunchai, B.; Buscot, F.; Purahong, W. Future Climate Conditions Accelerate Wheat Straw Decomposition alongside Altered Microbial Community Composition, Assembly Patterns, and Interaction Networks. ISME J. 2023, 17, 238–251. [Google Scholar] [CrossRef]
- Xu, L.; Zhou, Y.; Miao, C.; Zhang, J.; Ding, Y.; Liu, Z.; Li, W.; Jiang, Y.; Li, G. The Coupling Effects of Long-Term Straw Return and Plant Selection Facilitate Rhizosphere Nitrogen Supply by Promoting Recruitment of Core Genera. Appl. Soil Ecol. 2025, 207, 105936. [Google Scholar] [CrossRef]
- Liu, L.; Cheng, M.; Yang, L.; Gu, X.; Jin, J.; Fu, M. Regulation of Straw Decomposition and Its Effect on Soil Function by the Amount of Returned Straw in a Cool Zone Rice Crop System. Sci. Rep. 2023, 13, 15673. [Google Scholar] [CrossRef] [PubMed]
- Henriksen, T.M.; Breland, T.A. Nitrogen Availability Effects on Carbon Mineralization, Fungal and Bacterial Growth, and Enzyme Activities during Decomposition of Wheat Straw in Soil. Soil Biol. Biochem. 1999, 31, 1121–1134. [Google Scholar] [CrossRef]
- Thiet, R.K.; Frey, S.D.; Six, J. Do Growth Yield Efficiencies Differ between Soil Microbial Communities Differing in Fungal:Bacterial Ratios? Reality Check and Methodological Issues. Soil Biol. Biochem. 2006, 38, 837–844. [Google Scholar] [CrossRef]
- Van Groenigen, K.-J.; Six, J.; Harris, D.; Van Kessel, C. Elevated CO2 Does Not Favor a Fungal Decomposition Pathway. Soil Biol. Biochem. 2007, 39, 2168–2172. [Google Scholar] [CrossRef]
- Rui, Z.; Lu, X.; Li, Z.; Lin, Z.; Lu, H.; Zhang, D.; Shen, S.; Liu, X.; Zheng, J.; Drosos, M.; et al. Macroaggregates Serve as Micro-Hotspots Enriched with Functional and Networked Microbial Communities and Enhanced under Organic/Inorganic Fertilization in a Paddy Topsoil from Southeastern China. Front. Microbiol. 2022, 13, 831746. [Google Scholar] [CrossRef]
- Trivedi, P.; Rochester, I.J.; Trivedi, C.; Van Nostrand, J.D.; Zhou, J.; Karunaratne, S.; Anderson, I.C.; Singh, B.K. Soil Aggregate Size Mediates the Impacts of Cropping Regimes on Soil Carbon and Microbial Communities. Soil Biol. Biochem. 2015, 91, 169–181. [Google Scholar] [CrossRef]
- Rillig, M.C.; Muller, L.A.H.; Lehmann, A. Soil Aggregates as Massively Concurrent Evolutionary Incubators. ISME J. 2017, 11, 1943–1948. [Google Scholar] [CrossRef]
- Bach, E.M.; Williams, R.J.; Hargreaves, S.K.; Yang, F.; Hofmockel, K.S. Greatest Soil Microbial Diversity Found in Micro-Habitats. Soil Biol. Biochem. 2018, 118, 217–226. [Google Scholar] [CrossRef]
- Liao, H.; Hao, X.; Zhang, Y.; Qin, F.; Xu, M.; Cai, P.; Chen, W.; Huang, Q. Soil Aggregate Modulates Microbial Ecological Adaptations and Community Assemblies in Agricultural Soils. Soil Biol. Biochem. 2022, 172, 108769. [Google Scholar] [CrossRef]
- Neal, A.L.; Rossmann, M.; Brearley, C.; Akkari, E.; Guyomar, C.; Clark, I.M.; Allen, E.; Hirsch, P.R. Land-Use Influences Phosphatase Gene Microdiversity in Soils. Environ. Microbiol. 2017, 19, 2740–2753. [Google Scholar] [CrossRef]
- FAO. Guidelines for Soil Description; Food and Agriculture Organization of the United Nations: Rome, Italy, 2006. [Google Scholar]
- Xu, L.; Chen, H.; Zhou, Y.; Zhang, J.; Nadeem, M.Y.; Miao, C.; You, J.; Li, W.; Jiang, Y.; Ding, Y.; et al. Long-Term Straw Returning Improved Soil Nitrogen Sequestration by Accelerating the Accumulation of Amino Acid Nitrogen. Agric. Ecosyst. Environ. 2024, 362, 108846. [Google Scholar] [CrossRef]
- Stemmer, M.; Gerzabek, M.H.; Kandeler, E. Organic Matter and Enzyme Activity in Particle-Size Fractions of Soils Obtained after Low-Energy Sonication. Soil Biol. Biochem. 1998, 30, 9–17. [Google Scholar] [CrossRef]
- Ghani, A.; Dexter, M.; Perrott, K.W. Hot-Water Extractable Carbon in Soils: A Sensitive Measurement for Determining Impacts of Fertilisation, Grazing and Cultivation. Soil Biol. Biochem. 2003, 35, 1231–1243. [Google Scholar] [CrossRef]
- Bolger, A.M.; Lohse, M.; Usadel, B. Trimmomatic: A Flexible Trimmer for Illumina Sequence Data. Bioinformatics 2014, 30, 2114–2120. [Google Scholar] [CrossRef]
- Louca, S.; Parfrey, L.W.; Doebeli, M. Decoupling Function and Taxonomy in the Global Ocean Microbiome. Science 2016, 353, 1272–1277. [Google Scholar] [CrossRef] [PubMed]
- Nguyen, N.H.; Song, Z.; Bates, S.T.; Branco, S.; Tedersoo, L.; Menke, J.; Schilling, J.S.; Kennedy, P.G. FUNGuild: An Open Annotation Tool for Parsing Fungal Community Datasets by Ecological Guild. Fungal Ecol. 2016, 20, 241–248. [Google Scholar] [CrossRef]
- Mooshammer, M.; Wanek, W.; Hämmerle, I.; Fuchslueger, L.; Hofhansl, F.; Knoltsch, A.; Schnecker, J.; Takriti, M.; Watzka, M.; Wild, B.; et al. Adjustment of Microbial Nitrogen Use Efficiency to Carbon:Nitrogen Imbalances Regulates Soil Nitrogen Cycling. Nat. Commun. 2014, 5, 3694. [Google Scholar] [CrossRef]
- Zhu, Z.; Ge, T.; Luo, Y.; Liu, S.; Xu, X.; Tong, C.; Shibistova, O.; Guggenberger, G.; Wu, J. Microbial Stoichiometric Flexibility Regulates Rice Straw Mineralization and Its Priming Effect in Paddy Soil. Soil Biol. Biochem. 2018, 121, 67–76. [Google Scholar] [CrossRef]
- Xiao, D.; He, X.; Wang, G.; Xu, X.; Hu, Y.; Chen, X.; Zhang, W.; Su, Y.; Wang, K.; Soromotin, A.V.; et al. Network Analysis Reveals Bacterial and Fungal Keystone Taxa Involved in Straw and Soil Organic Matter Mineralization. Appl. Soil Ecol. 2022, 173, 104395. [Google Scholar] [CrossRef]
- Banerjee, S.; Kirkby, C.A.; Schmutter, D.; Bissett, A.; Kirkegaard, J.A.; Richardson, A.E. Network Analysis Reveals Functional Redundancy and Keystone Taxa amongst Bacterial and Fungal Communities during Organic Matter Decomposition in an Arable Soil. Soil Biol. Biochem. 2016, 97, 188–198. [Google Scholar] [CrossRef]
- Santolini, M.; Barabási, A.-L. Predicting Perturbation Patterns from the Topology of Biological Networks. Proc. Natl. Acad. Sci. USA 2018, 115, E6375–E6383. [Google Scholar] [CrossRef]
- Yuan, M.M.; Guo, X.; Wu, L.; Zhang, Y.; Xiao, N.; Ning, D.; Shi, Z.; Zhou, X.; Wu, L.; Yang, Y.; et al. Climate Warming Enhances Microbial Network Complexity and Stability. Nat. Clim. Change 2021, 11, 343–348. [Google Scholar] [CrossRef]
- Pressler, Y.; Zhou, J.; He, Z.; Van Nostrand, J.D.; Smith, A.P. Post-Agricultural Tropical Forest Regeneration Shifts Soil Microbial Functional Potential for Carbon and Nutrient Cycling. Soil Biol. Biochem. 2020, 145, 107784. [Google Scholar] [CrossRef]
- Wu, M.-H.; Chen, S.-Y.; Chen, J.-W.; Xue, K.; Chen, S.-L.; Wang, X.-M.; Chen, T.; Kang, S.-C.; Rui, J.-P.; Thies, J.E.; et al. Reduced Microbial Stability in the Active Layer Is Associated with Carbon Loss under Alpine Permafrost Degradation. Proc. Natl. Acad. Sci. USA 2021, 118, e2025321118. [Google Scholar] [CrossRef] [PubMed]
- Xue, R.; Wang, C.; Zhao, L.; Sun, B.; Wang, B. Agricultural Intensification Weakens the Soil Health Index and Stability of Microbial Networks. Agric. Ecosyst. Environ. 2022, 339, 108118. [Google Scholar] [CrossRef]
- Hernandez, D.J.; David, A.S.; Menges, E.S.; Searcy, C.A.; Afkhami, M.E. Environmental Stress Destabilizes Microbial Networks. ISME J. 2021, 15, 1722–1734. [Google Scholar] [CrossRef]
- Chen, W.; Wang, J.; Chen, X.; Meng, Z.; Xu, R.; Duoji, D.; Zhang, J.; He, J.; Wang, Z.; Chen, J.; et al. Soil Microbial Network Complexity Predicts Ecosystem Function along Elevation Gradients on the Tibetan Plateau. Soil Biol. Biochem. 2022, 172, 108766. [Google Scholar] [CrossRef]
- Liu, H.; Du, X.; Li, Y.; Han, X.; Li, B.; Zhang, X.; Li, Q.; Liang, W. Organic Substitutions Improve Soil Quality and Maize Yield through Increasing Soil Microbial Diversity. J. Clean. Prod. 2022, 347, 131323. [Google Scholar] [CrossRef]
- Shu, X.; He, J.; Zhou, Z.; Xia, L.; Hu, Y.; Zhang, Y.; Zhang, Y.; Luo, Y.; Chu, H.; Liu, W.; et al. Organic Amendments Enhance Soil Microbial Diversity, Microbial Functionality and Crop Yields: A Meta-Analysis. Sci. Total Environ. 2022, 829, 154627. [Google Scholar] [CrossRef]
- Ling, N.; Zhu, C.; Xue, C.; Chen, H.; Duan, Y.; Peng, C.; Guo, S.; Shen, Q. Insight into How Organic Amendments Can Shape the Soil Microbiome in Long-Term Field Experiments as Revealed by Network Analysis. Soil Biol. Biochem. 2016, 99, 137–149. [Google Scholar] [CrossRef]
- Güsewell, S.; Gessner, M.O. N: P Ratios Influence Litter Decomposition and Colonization by Fungi and Bacteria in Microcosms. Funct. Ecol. 2009, 23, 211–219. [Google Scholar] [CrossRef]
- Yin, H.; Zhao, W.; Li, T.; Cheng, X.; Liu, Q. Balancing Straw Returning and Chemical Fertilizers in China: Role of Straw Nutrient Resources. Renew. Sustain. Energy Rev. 2018, 81, 2695–2702. [Google Scholar] [CrossRef]
- Hu, S.; Chapin, F.S.; Firestone, M.K.; Field, C.B.; Chiariello, N.R. Nitrogen Limitation of Microbial Decomposition in a Grassland under Elevated CO2. Nature 2001, 409, 188–191. [Google Scholar] [CrossRef]
- Strickland, M.S.; Rousk, J. Considering Fungal:Bacterial Dominance in Soils—Methods, Controls, and Ecosystem Implications. Soil Biol. Biochem. 2010, 42, 1385–1395. [Google Scholar] [CrossRef]
- Fierer, N.; Strickland, M.S.; Liptzin, D.; Bradford, M.A.; Cleveland, C.C. Global Patterns in Belowground Communities. Ecol. Lett. 2009, 12, 1238–1249. [Google Scholar] [CrossRef] [PubMed]
- Frey, S.D.; Six, J.; Elliott, E.T. Reciprocal Transfer of Carbon and Nitrogen by Decomposer Fungi at the Soil–Litter Interface. Soil Biol. Biochem. 2003, 35, 1001–1004. [Google Scholar] [CrossRef]
- Butenschoen, O.; Poll, C.; Langel, R.; Kandeler, E.; Marhan, S.; Scheu, S. Endogeic Earthworms Alter Carbon Translocation by Fungi at the Soil–Litter Interface. Soil Biol. Biochem. 2007, 39, 2854–2864. [Google Scholar] [CrossRef]
- Wu, M.; Qin, H.; Chen, Z.; Wu, J.; Wei, W. Effect of Long-Term Fertilization on Bacterial Composition in Rice Paddy Soil. Biol. Fertil. Soils 2011, 47, 397–405. [Google Scholar] [CrossRef]
- Su, Y.; Lv, J.L.; Yu, M.; Ma, Z.H.; Xi, H.; Kou, C.L.; He, Z.C.; Shen, A.L. Long-Term Decomposed Straw Return Positively Affects the Soil Microbial Community. J. Appl. Microbiol. 2020, 128, 138–150. [Google Scholar] [CrossRef]
- Van Der Wal, A.; Van Veen, J.A.; Smant, W.; Boschker, H.T.S.; Bloem, J.; Kardol, P.; Van Der Putten, W.H.; De Boer, W. Fungal Biomass Development in a Chronosequence of Land Abandonment. Soil Biol. Biochem. 2006, 38, 51–60. [Google Scholar] [CrossRef]
- Voříšková, J.; Baldrian, P. Fungal Community on Decomposing Leaf Litter Undergoes Rapid Successional Changes. ISME J. 2013, 7, 477–486. [Google Scholar] [CrossRef]
- Jiao, S.; Peng, Z.; Qi, J.; Gao, J.; Wei, G. Linking Bacterial-Fungal Relationships to Microbial Diversity and Soil Nutrient Cycling. mSystems 2021, 6, e01052-20. [Google Scholar] [CrossRef]
- Mori, A.S.; Isbell, F.; Seidl, R. β-Diversity, Community Assembly, and Ecosystem Functioning. Trends Ecol. Evol. 2018, 33, 549–564. [Google Scholar] [CrossRef]
- Jiao, S.; Chen, W.; Wang, J.; Du, N.; Li, Q.; Wei, G. Soil Microbiomes with Distinct Assemblies through Vertical Soil Profiles Drive the Cycling of Multiple Nutrients in Reforested Ecosystems. Microbiome 2018, 6, 146. [Google Scholar] [CrossRef]
- Jiao, S.; Xu, Y.; Zhang, J.; Hao, X.; Lu, Y. Core Microbiota in Agricultural Soils and Their Potential Associations with Nutrient Cycling. mSystems 2019, 4, e00313-18. [Google Scholar] [CrossRef]
- Delgado-Baquerizo, M.; Maestre, F.T.; Reich, P.B.; Jeffries, T.C.; Gaitan, J.J.; Encinar, D.; Berdugo, M.; Campbell, C.D.; Singh, B.K. Microbial Diversity Drives Multifunctionality in Terrestrial Ecosystems. Nat. Commun. 2016, 7, 10541. [Google Scholar] [CrossRef]
- Trivedi, P.; Delgado-Baquerizo, M.; Trivedi, C.; Hu, H.; Anderson, I.C.; Jeffries, T.C.; Zhou, J.; Singh, B.K. Microbial Regulation of the Soil Carbon Cycle: Evidence from Gene–Enzyme Relationships. ISME J. 2016, 10, 2593–2604. [Google Scholar] [CrossRef]
- Chen, J.; Sinsabaugh, R.L. Linking Microbial Functional Gene Abundance and Soil Extracellular Enzyme Activity: Implications for Soil Carbon Dynamics. Glob. Change Biol. 2021, 27, 1322–1325. [Google Scholar] [CrossRef]
- Zheng, M.; Zhou, Z.; Luo, Y.; Zhao, P.; Mo, J. Global Pattern and Controls of Biological Nitrogen Fixation under Nutrient Enrichment: A Meta-Analysis. Glob. Change Biol. 2019, 25, 3018–3030. [Google Scholar] [CrossRef]
- Emmett, B.D.; Buckley, D.H.; Drinkwater, L.E. Plant Growth Rate and Nitrogen Uptake Shape Rhizosphere Bacterial Community Composition and Activity in an Agricultural Field. New Phytol. 2020, 225, 960–973. [Google Scholar] [CrossRef]
- Tao, J.; Wang, S.; Liao, T.; Luo, H. Evolutionary Origin and Ecological Implication of a Unique Nif Island in Free-Living Bradyrhizobium Lineages. ISME J. 2021, 15, 3195–3206. [Google Scholar] [CrossRef]
- Quinn, G.A.A.; Abdelhameed, A.; Banat, I.M.M.; Berrar, D.; Doerr, S.H.H.; Dudley, E.; Francis, L.W.W.; Gazze, S.A.A.; Hallin, I.; Matthews, G.P.T.; et al. Complementary Protein Extraction Methods Increase the Identification of the Park Grass Experiment Metaproteome. Appl. Soil Ecol. 2022, 173, 104388. [Google Scholar] [CrossRef]
- Li, S.; Yan, Q.; Wang, J.; Jiang, H.; Li, Z.; Peng, Q. Root Endophyte Shift and Key Genera Discovery in Rice under Barnyardgrass Stress. Rice Sci. 2023, 30, 160–170. [Google Scholar] [CrossRef]
- Hu, X.; Gu, H.; Sun, X.; Wang, Y.; Liu, J.; Yu, Z.; Li, Y.; Jin, J.; Wang, G. Distinct Influence of Conventional and Biodegradable Microplastics on Microbe-Driving Nitrogen Cycling Processes in Soils and Plastispheres as Evaluated by Metagenomic Analysis. J. Hazard. Mater. 2023, 451, 131097. [Google Scholar] [CrossRef]
- Balkwill, D.L.; Fredrickson, J.K.; Romine, M.F. Sphingomonas and Related Genera. In The Prokaryotes: Volume 7: Proteobacteria: Delta, Epsilon Subclass; Dworkin, M., Falkow, S., Rosenberg, E., Schleifer, K.-H., Stackebrandt, E., Eds.; Springer: New York, NY, USA, 2006; pp. 605–629. ISBN 978-0-387-30747-3. [Google Scholar]
- Ge, Z.; Li, S.; Bol, R.; Zhu, P.; Peng, C.; An, T.; Cheng, N.; Liu, X.; Li, T.; Xu, Z.; et al. Differential Long-Term Fertilization Alters Residue-Derived Labile Organic Carbon Fractions and Microbial Community during Straw Residue Decomposition. Soil Tillage Res. 2021, 213, 105120. [Google Scholar] [CrossRef]
- Li, Z.; Tian, D.; Wang, B.; Wang, J.; Wang, S.; Chen, H.Y.H.; Xu, X.; Wang, C.; He, N.; Niu, S. Microbes Drive Global Soil Nitrogen Mineralization and Availability. Glob. Change Biol. 2019, 25, 1078–1088. [Google Scholar] [CrossRef]
- Schimel, J.P.; Bennett, J. Nitrogen Mineralization: Challenges of a Changing Paradigm. Ecology 2004, 85, 591–602. [Google Scholar] [CrossRef]
- Lang, M.; Li, P.; Ti, C.; Zhu, S.; Yan, X.; Chang, S.X. Soil Gross Nitrogen Transformations Are Related to Land-Uses in Two Agroforestry Systems. Ecol. Eng. 2019, 127, 431–439. [Google Scholar] [CrossRef]
- Li, B.; Zhu, D.; Li, J.; Liu, X.; Yan, B.; Mao, L.; Zhang, M.; Wang, Y.; Li, X. Converting Upland to Paddy Fields Alters Soil Nitrogen Microbial Functions at Different Depths in Black Soil Region. Agric. Ecosyst. Environ. 2024, 372, 109089. [Google Scholar] [CrossRef]
- Sun, X.; Xu, Y.; Chen, L.; Jin, X.; Ni, H. The Salt-Tolerant Phenazine-1-Carboxamide-Producing Bacterium Pseudomonas aeruginosa NF011 Isolated from Wheat Rhizosphere Soil in Dry Farmland with Antagonism against Fusarium graminearum. Microbiol. Res. 2021, 245, 126673. [Google Scholar] [CrossRef] [PubMed]
- Chen, X.; Hu, Y.; Xia, Y.; Zheng, S.; Ma, C.; Rui, Y.; He, H.; Huang, D.; Zhang, Z.; Ge, T.; et al. Contrasting Pathways of Carbon Sequestration in Paddy and Upland Soils. Glob. Change Biol. 2021, 27, 2478–2490. [Google Scholar] [CrossRef] [PubMed]
- Xu, A.; Guo, Z.; Pan, K.; Wang, C.; Zhang, F.; Liu, J.; Pan, X. Increasing Land-Use Durations Enhance Soil Microbial Deterministic Processes and Network Complexity and Stability in an Ecotone. Appl. Soil Ecol. 2023, 181, 104630. [Google Scholar] [CrossRef]







Disclaimer/Publisher’s Note: The statements, opinions and data contained in all publications are solely those of the individual author(s) and contributor(s) and not of MDPI and/or the editor(s). MDPI and/or the editor(s) disclaim responsibility for any injury to people or property resulting from any ideas, methods, instructions or products referred to in the content. |
© 2025 by the authors. Licensee MDPI, Basel, Switzerland. This article is an open access article distributed under the terms and conditions of the Creative Commons Attribution (CC BY) license (https://creativecommons.org/licenses/by/4.0/).
Share and Cite
Xu, L.; Li, G. Optimizing Microbial Composition in Soil Macroaggregates Enhances Nitrogen Supply Through Long-Term Straw Return. Agronomy 2025, 15, 1208. https://doi.org/10.3390/agronomy15051208
Xu L, Li G. Optimizing Microbial Composition in Soil Macroaggregates Enhances Nitrogen Supply Through Long-Term Straw Return. Agronomy. 2025; 15(5):1208. https://doi.org/10.3390/agronomy15051208
Chicago/Turabian StyleXu, Lei, and Ganghua Li. 2025. "Optimizing Microbial Composition in Soil Macroaggregates Enhances Nitrogen Supply Through Long-Term Straw Return" Agronomy 15, no. 5: 1208. https://doi.org/10.3390/agronomy15051208
APA StyleXu, L., & Li, G. (2025). Optimizing Microbial Composition in Soil Macroaggregates Enhances Nitrogen Supply Through Long-Term Straw Return. Agronomy, 15(5), 1208. https://doi.org/10.3390/agronomy15051208
