Sign in to use this feature.

Years

Between: -

Subjects

remove_circle_outline
remove_circle_outline
remove_circle_outline
remove_circle_outline
remove_circle_outline
remove_circle_outline
remove_circle_outline
remove_circle_outline
remove_circle_outline

Journals

remove_circle_outline
remove_circle_outline
remove_circle_outline
remove_circle_outline
remove_circle_outline
remove_circle_outline
remove_circle_outline
remove_circle_outline
remove_circle_outline
remove_circle_outline
remove_circle_outline
remove_circle_outline
remove_circle_outline
remove_circle_outline

Article Types

Countries / Regions

remove_circle_outline
remove_circle_outline
remove_circle_outline
remove_circle_outline

Search Results (554)

Search Parameters:
Keywords = partial adjustment model

Order results
Result details
Results per page
Select all
Export citation of selected articles as:
17 pages, 1008 KB  
Article
The Effect of Tooth Loss on Depression and Anxiety Among Older Adults in China: The Mediating Role of Dietary Diversity
by Yin Wang and Xiaojie Sun
Nutrients 2026, 18(6), 893; https://doi.org/10.3390/nu18060893 (registering DOI) - 12 Mar 2026
Abstract
Background/Objectives: Oral and mental health represent significant public health challenges for the global elderly population. This study aims to explore the association between tooth loss and depression and anxiety symptoms in Chinese elderly individuals, and to assess whether dietary diversity plays a [...] Read more.
Background/Objectives: Oral and mental health represent significant public health challenges for the global elderly population. This study aims to explore the association between tooth loss and depression and anxiety symptoms in Chinese elderly individuals, and to assess whether dietary diversity plays a mediating role in this relationship. Methods: This cross-sectional study recruited 8413 participants of the 2018 CLHLS. Depression and anxiety symptoms were evaluated with CES-D-10 and GAD-7, respectively. Multivariate logistic regression analysis was used to assess the effect of tooth loss on depression and anxiety symptoms, with adjustment for potential confounding factors. A mediation analysis, based on the PROCESS macro version 4.1, was conducted to further determine whether dietary diversity showed a potential indirect association in this relationship. Results: The prevalences of depression and anxiety symptoms were 14.1% and 12.1%. Compared to older adults with 0–8 tooth loss, those with 9–19 tooth loss had higher odds of both depression and anxiety, with odds ratios of 1.388 (95% CI: 1.109–1.614, p = 0.002) and 1.248 (95% CI: 1.031–1.512, p = 0.023), respectively. Those with 20–27 tooth loss exhibited the highest odds of depression, but no statistically significant increase in anxiety. Complete tooth loss was not significantly associated with either depression or anxiety in the fully adjusted models. Subgroup analysis showed that the association between tooth loss and depression/anxiety symptoms was statistically significant among males, rural residents, those living with family, those with chronic disease, and those without dentures. Mediation analysis suggested that dietary diversity showed a significant indirect association between tooth loss and depression symptoms (β = −0.192, SE = 0.027, 95% CI: −0.245, −0.139, p < 0.001), while no significant mediating effect was observed for anxiety symptoms. Conclusions: Moderate-to-severe tooth loss correlates with a higher risk of depression and anxiety symptoms in Chinese elderly, with dietary diversity partially mediating the tooth loss and depression association. This finding highlights the need for integrated strategies that combine oral health care, nutritional support, and mental health interventions in the early and middle stages of oral function impairment to protect the mental health of the elderly and improve their quality of life. Full article
(This article belongs to the Special Issue Diet Effects on Oral Cavity and Systemic Health)
Show Figures

Figure 1

24 pages, 8011 KB  
Article
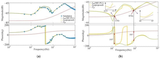
A Partial Impedance Decoupling Control Method for PMSG-Based Wind Farms Connected to a Weak Grid
by Zixiao Lin, Luona Xu, Niancheng Zhou, Peng Huang and Chaoqing Zhang
Appl. Sci. 2026, 16(6), 2697; https://doi.org/10.3390/app16062697 (registering DOI) - 11 Mar 2026
Abstract
Under weak grid conditions, the coupling between the grid-connected converter and the grid impedance tends to bring in harmonic instability in the permanent-magnet synchronous generators (PMSGs)-based wind farm system. Although the symmetrical phase-locked loop (SPLL) can decouple the converter from the grid, it [...] Read more.
Under weak grid conditions, the coupling between the grid-connected converter and the grid impedance tends to bring in harmonic instability in the permanent-magnet synchronous generators (PMSGs)-based wind farm system. Although the symmetrical phase-locked loop (SPLL) can decouple the converter from the grid, it exerts an impact on the system stability. To address this issue, this paper proposes a partial impedance decoupling control method based on the SPLL. Based on a small-signal impedance model, the grid-GSC impedance decoupling mechanism of the SPLL and its adverse impact on system stability are analytically revealed. Furthermore, a partial impedance decoupling method is realized that incorporates adjustment coefficients and symmetric compensation to achieve a trade-off between damping enhancement and coupling mitigation, thus expanding the stable operating range of the PMSG-based wind farm system. Both simulation and experimental results demonstrate that the proposed strategy significantly improves system stability and maintains stable operation under grid conditions with a 10% reduction in short-circuit ratio (SCR). Full article
(This article belongs to the Section Energy Science and Technology)
Show Figures

Figure 1

21 pages, 3380 KB  
Article
Radiation Dose-Dependent and -Independent Pulmonary Infiltrates in Patients with High-Grade Pneumonitis After Radiochemotherapy and Durvalumab Consolidation for Stage III NSCLC
by Andreas Herz, Aymane Khouya, Maja Guberina, Martin Metzenmacher, Marcel Opitz, Christoph Pöttgen, Gerrit Fischedick, Hubertus Hautzel, Thomas Gauler, Ken Herrmann, Erik Büscher, Servet Bölükbas, Fabian Doerr, Natalie Baldes, Laura Valentina Klüner, Benedikt M. Schaarschmidt, Rüdiger Karpf-Wissel, Jane Winantea, Denise Bos, Verena Jendrossek, Emil Mladenov, Lena Gockeln, Mario Andre Hetzel, Florian Wirsdörfer, Martin Schuler, Martin Stuschke and Nika Guberinaadd Show full author list remove Hide full author list
Diagnostics 2026, 16(6), 827; https://doi.org/10.3390/diagnostics16060827 - 11 Mar 2026
Abstract
Background/Objectives: Analysis of the density and spatial distribution of pulmonary infiltrates of patients with high-grade (≥3) pneumonitis after radiochemotherapy and durvalumab consolidation (RT/CTx + IO) was performed in order to define dosimetric hallmarks of the development of infiltrates following this multimodality treatment. [...] Read more.
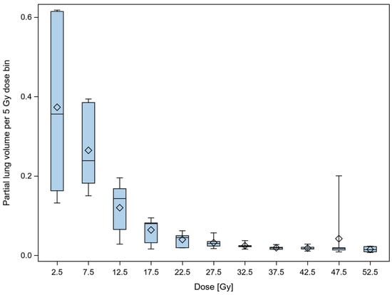
Background/Objectives: Analysis of the density and spatial distribution of pulmonary infiltrates of patients with high-grade (≥3) pneumonitis after radiochemotherapy and durvalumab consolidation (RT/CTx + IO) was performed in order to define dosimetric hallmarks of the development of infiltrates following this multimodality treatment. Methods: Consecutive patients treated with RT/CTx + IO for stage III NSCLC were retrospectively reviewed with respect to the occurrence of grade ≥ 3 pneumonitis. Lung infiltrates were contoured on follow-up CT scans acquired around the time of maximum pneumonitis expression. The applied dose distribution was overlaid with the follow-up CT using elastic deformation, and infiltrates were binned according to their density in density strata of 50 HU. The dose and density dependence of partial infiltrate volumes per unit lung volume was analyzed using a mixed fixed and random effect model adjusting for patient, density and dose-dependent random effects. Results: Six patients with grade ≥ 3 pneumonitis were identified from 132 patients treated with RT/CT + IO at a comprehensive cancer center. Partial volumes of lung infiltrates captured by follow-up CT with maximum pneumonitis expression ranged from 15.5 to 60.0% (median 39.8%). A significant, systematic dose–response relationship was found for partial lung infiltrate volumes per dose and density bin. A unimodal density distribution of partial lung infiltrate volumes was also found over the infiltrate density range of −1000 to 100 HU. This was determined using a mixed model that adjusted for random effects (p < 0.0001 for both effects, F-test). There was no interaction effect between systematic dose and infiltrate density dependence of the partial infiltrate volumes. The proportion of infiltrate volumes that are attributable to the systematic dose–response relation amounts to a mean of 16.6% of the total infiltrate volume per patient according to this model. Compared to patients with pneumonitis of grade ≤ 2, patients with high-risk pneumonitis had higher partial infiltrate volumes, particularly in the low-dose regions in five grade dose bins up to 20 Gy (AUC = 1.0, p < 0.0001, likelihood-ratio test). Conclusions: Dose-dependent and -independent partial lung infiltrate volumes were found in patients with high-grade pneumonitis after RT/CTx + IO. These results indicate that pneumonitis involves contributions from both radiochemotherapy-induced and immunotherapy-related mechanisms. Full article
(This article belongs to the Section Clinical Diagnosis and Prognosis)
Show Figures

Figure 1

18 pages, 9838 KB  
Article
Unlocking Roadside Carbon Sequestration Potential: Machine Learning Estimation of AGB in Highway Vegetation Belts Using GF-2 High-Resolution Imagery
by Weiwei Jiang, Heng Tu and Qin Wang
Sensors 2026, 26(5), 1729; https://doi.org/10.3390/s26051729 - 9 Mar 2026
Viewed by 137
Abstract
Aboveground biomass (AGB) is a key indicator of vegetation productivity and terrestrial carbon stocks; therefore, robust AGB estimation is critical for assessing ecosystem services and carbon cycle research. Previous studies have largely focused on forest and cropland ecosystems. In contrast, roadside vegetation along [...] Read more.
Aboveground biomass (AGB) is a key indicator of vegetation productivity and terrestrial carbon stocks; therefore, robust AGB estimation is critical for assessing ecosystem services and carbon cycle research. Previous studies have largely focused on forest and cropland ecosystems. In contrast, roadside vegetation along highways and other linear transport corridors remains comparatively underexplored despite its potentially important role as a carbon sink. Here, we integrate field-measured AGB samples with GF-2 high-resolution satellite imagery to evaluate the suitability of multiple remote-sensing predictors and machine-learning algorithms for estimating AGB in highway roadside vegetation. Six remote-sensing variables were used as predictors, including four vegetation indices (Normalized Difference Vegetation Index (NDVI), Perpendicular Vegetation Index (PVI), Enhanced Vegetation Index (EVI), and Modified Soil-Adjusted Vegetation Index (MSAVI) and two-band ratios (B342 and B12/34). Five regression models—multiple linear regression (MLR), partial least squares regression (PLSR), random forest (RF), support vector regression (SVR), and extreme gradient boosting (XGBoost)—were developed and systematically compared under both single-variable and multi-variable scenarios. Model performance was evaluated using five-fold cross-validation, with the coefficient of determination (R2) and the root mean square error (RMSE) as metrics of evaluation. The results indicate that the RF model under the multi-variable scenario achieved the best overall performance, with a training R2 of 0.83 and a testing RMSE of 0.84 kg·m−2, substantially outperforming the other linear and non-linear models. The optimal RF model was further applied to GF-2 imagery to produce a spatially explicit AGB map for a 32 km highway segment and a 30 m roadside buffer on both sides, yielding an estimated total aboveground biomass of 566.97 t for the corridor. These findings demonstrate that combining high-resolution remote sensing with machine-learning approaches can effectively improve AGB estimation for linear roadside vegetation systems, providing technical support for ecological monitoring, roadside greening management, and carbon accounting for transport infrastructure. Full article
(This article belongs to the Section Remote Sensors)
Show Figures

Figure 1

11 pages, 1862 KB  
Article
Computational Insights into the Relationship Between Solution Concentration and Adsorption Energy
by Wangyan Lv, Wenjie Zhou, Ming Nie, Chenyang Yao, Zhong’ao Wang, Yongchun Liang, Songyu Xie and Chaofang Dong
Molecules 2026, 31(5), 904; https://doi.org/10.3390/molecules31050904 - 9 Mar 2026
Viewed by 71
Abstract
The electrochemical interaction between aggressive ions and metals plays a key role in corrosion failure processes. The Langmuir adsorption isotherm equation was employed to reveal that surface coverage remains largely unchanged at higher concentrations, with the concentration effect partially mediated by the dielectric [...] Read more.
The electrochemical interaction between aggressive ions and metals plays a key role in corrosion failure processes. The Langmuir adsorption isotherm equation was employed to reveal that surface coverage remains largely unchanged at higher concentrations, with the concentration effect partially mediated by the dielectric properties of the solution. The work function and adsorption energy of two typical corrosive elements, Cl and S, adsorbed on the surfaces of two metals (Al and Cu) were systematically calculated. By adjusting solubilization parameters in different implicit solvent models, variations in dielectric properties at similar surface coverage under different concentrations were simulated. It was observed that as the solution concentration increased, the electrostatic shielding effect of the surface solution was enhanced, while the changes in adsorption energy were not statistically significant. However, the work function was found to increase by approximately 20–90 meV with increasing concentration, with the magnitude of this increase dependent on the metal type and surface orientation. This enhancement further strengthened the adsorbate–substrate interaction, thereby influencing the electrochemical reaction kinetics of the surface material. Full article
(This article belongs to the Section Materials Chemistry)
Show Figures

Figure 1

19 pages, 3552 KB  
Article
Long-Term Trends and Determinants of Tuberculosis Burden in China, 1990–2023: Insights from the Global Burden of Disease Study 2023
by Yingxing Wang, Guozhong He, Hoiman Ng, Chaoxi Niu, Rong Li, Furong Zhang, Ruimei Shi, Xingyue Dian, Qingping Ma and Zhong Sun
Pathogens 2026, 15(3), 295; https://doi.org/10.3390/pathogens15030295 - 8 Mar 2026
Viewed by 101
Abstract
Tuberculosis (TB) remains a major public health challenge in China despite substantial long-term progress. Using data from the Global Burden of Disease Study 2023, this study reassessed trends and determinants of TB burden in China from 1990 to 2023. Age-standardized incidence, mortality, and [...] Read more.
Tuberculosis (TB) remains a major public health challenge in China despite substantial long-term progress. Using data from the Global Burden of Disease Study 2023, this study reassessed trends and determinants of TB burden in China from 1990 to 2023. Age-standardized incidence, mortality, and disability-adjusted life year (DALY) rates were analyzed using estimated annual percentage change, age–period–cohort modeling, and demographic decomposition, with comparative risk assessment to quantify behavioral and metabolic contributions. Between 1990 and 2023, age-standardized incidence, mortality, and DALY rates declined by approximately 73.24%, 94.00%, and 92.40%, respectively. Negative net and local drift values indicated sustained reductions across age groups; however, the decline slowed after 2021, with a modest rebound in incidence. Since 2015, reductions in incidence have been more moderate than the pace required to achieve the 2035 End TB Strategy targets. Decomposition analysis demonstrated that improvements in age-specific rates were the primary drivers of long-term reductions, whereas demographic shifts—particularly population aging—partially offset these gains. The burden increasingly shifted toward older adults, and males consistently experienced higher rates than females. Tobacco and alcohol use contributed substantially to sex differentials, while undernutrition and metabolic disorders remained relevant risk factors. These findings indicate that China’s TB epidemic has entered a phase shaped by demographic aging and evolving risk structures, requiring sustained and adaptive control efforts. Full article
(This article belongs to the Special Issue Emerging and Re-Emerging Human Infectious Diseases)
Show Figures

Figure 1

21 pages, 15804 KB  
Article
Numerical Study of Heavy-Duty (HD) Spark-Ignition (SI) Engine Conversion to H2-Rich Syngas Produced from Plastic Pyrolysis
by Alberto Ballerini and Tommaso Lucchini
Gases 2026, 6(1), 15; https://doi.org/10.3390/gases6010015 - 6 Mar 2026
Viewed by 176
Abstract
This study numerically investigates the conversion of a Heavy-Duty (HD) Spark-Ignition (SI) Compressed Natural Gas (CNG) engine to operate with hydrogen-rich syngas produced from waste plastic pyrolysis. The engine was modeled with a one-dimensional simulation tool. Fuel-specific properties were included through a tabulated [...] Read more.
This study numerically investigates the conversion of a Heavy-Duty (HD) Spark-Ignition (SI) Compressed Natural Gas (CNG) engine to operate with hydrogen-rich syngas produced from waste plastic pyrolysis. The engine was modeled with a one-dimensional simulation tool. Fuel-specific properties were included through a tabulated Laminar Flame Speed (LFS) approach, and knock occurrence was predicted with a Tabulated Kinetic of Ignition (TKI) model. Full-load simulations revealed that direct substitution of CNG with syngas leads to abnormal combustion. With adjusted values of Spark Advance (SA) to avoid knock, syngas operation resulted in average reductions of approximately 15% in brake torque and 6% in total efficiency compared to the CNG baseline. Parametric analyses showed that Late Intake Valve Closing (LIVC) provides no benefits, whereas increasing the Compression Ratio (CR) partially recovers performance and efficiency, with knock being a limiting factor. Lastly, a complete engine map of the converted configuration was generated, reporting Brake-Specific Fuel Consumption (BSFC) and emissions. Overall, the study demonstrates that HD SI engines can be operated on hydrogen-rich syngas at the cost of moderate performance penalties. Moreover, it provides a robust modeling framework to support system-level and well-to-wheel assessments of syngas-based powertrains. Full article
Show Figures

Graphical abstract

21 pages, 1301 KB  
Article
Predicting 30-Day Readmission Risks in Breast Cancer Patients: An Explainable Machine Learning Approach
by Mlondolozi Mqadi, Elliot Mbunge and Tebogo Makaba
Appl. Sci. 2026, 16(5), 2467; https://doi.org/10.3390/app16052467 - 4 Mar 2026
Viewed by 193
Abstract
Hospital readmission within 30 days remains a significant challenge in oncology practice, contributing to higher healthcare costs, treatment delays, and poorer patient outcomes. Existing predictive models for breast cancer readmission are often limited by inadequate interpretability and generalisability. This study develops and evaluates [...] Read more.
Hospital readmission within 30 days remains a significant challenge in oncology practice, contributing to higher healthcare costs, treatment delays, and poorer patient outcomes. Existing predictive models for breast cancer readmission are often limited by inadequate interpretability and generalisability. This study develops and evaluates an explainable machine learning (ML) framework to predict 30-day hospital readmissions among breast cancer patients, with specific emphasis on methodological transparency and avoidance of information leakage. A retrospective dataset including demographic, clinical, and treatment-related variables such as age, comorbidity burden, ECOG performance status, baseline neutrophil count, and dosage adjustments was analysed. Multiple ML classifiers were evaluated—including Logistic Regression, Support Vector Machine, Naïve Bayes, K-Nearest Neighbours, Decision Tree, Random Forest, and XGBoost—using repeated stratified cross-validation (5 × 10 folds). Class imbalance was addressed using SMOTE applied strictly within the training folds to prevent data leakage. Out-of-fold performance metrics included ROC-AUC, PR-AUC, calibration curves, and Brier scores. Random Forest demonstrated the strongest discrimination specificity of 0.57 ± 0.33, the highest among all models, and a superior ROC-AUC of 0.68 ± 0.17, which was appropriate for the small, imbalanced dataset. For interpretability, each model was refit on the full dataset and analysed using Shapley Additive Explanations (SHAP), Partial Dependence Plots (PDP), and LIME. Comorbidity burden and ECOG performance status consistently emerged as the most influential predictors across all explainability techniques, aligning with established clinical evidence. The findings highlight the feasibility of applying explainable ML methods to small, imbalanced oncology datasets and demonstrate their potential to support early clinical risk identification in breast cancer care. Full article
(This article belongs to the Section Computing and Artificial Intelligence)
Show Figures

Figure 1

10 pages, 399 KB  
Article
Association Between Tinnitus and Angina Pectoris in U.S. Adults: Evidence from NHANES 2009–2018
by Mitra Britton and Ishan Sunilkumar Bhatt
Audiol. Res. 2026, 16(2), 35; https://doi.org/10.3390/audiolres16020035 - 28 Feb 2026
Viewed by 165
Abstract
Background/Objectives: Tinnitus has been increasingly associated with cardiovascular disease, and recent phenome-wide analyses have identified angina pectoris as a condition linked to tinnitus. This study aimed to replicate and quantify the association between tinnitus and angina pectoris in a nationally representative U.S. adult [...] Read more.
Background/Objectives: Tinnitus has been increasingly associated with cardiovascular disease, and recent phenome-wide analyses have identified angina pectoris as a condition linked to tinnitus. This study aimed to replicate and quantify the association between tinnitus and angina pectoris in a nationally representative U.S. adult sample using NHANES, while adjusting for key demographic, cardiovascular, and tinnitus-related risk factors. Methods: Using data from four NHANES cycles 2009–2018, a cross-sectional analysis was conducted, which included 9185 participants, and used multivariate logistic regression analyses to investigate the association between tinnitus and angina pectoris. Results: Among 9185 adults, angina was associated with higher odds of tinnitus in all models. In the crude model, OR = 3.30 (95% CI: 2.18–4.91, p < 0.001); partially adjusted, OR = 1.92 (95% CI: 1.27–2.89, p = 0.002); fully adjusted, OR = 1.65 (95% CI: 1.07–2.55, p = 0.026). In the fully adjusted model, hearing loss (OR = 4.11), noise exposure (OR = 1.63), current smoking (OR = 1.29), older age (OR = 1.01 per year), and total cholesterol (OR = 1.003 per mg/dL) were additional significant predictors for tinnitus. Conclusions: In this nationally representative sample of U.S. adults, tinnitus was more frequently reported among individuals with a history of angina pectoris, and this association persisted after adjustment for demographic factors, socioeconomic status, hearing loss, noise exposure, smoking, and cardiometabolic comorbidities. These findings support emerging evidence that cardiovascular conditions may be associated with tinnitus, potentially reflecting shared vascular or systemic mechanisms. Given the cross-sectional design, causal inferences cannot be drawn, and the temporal relationship between angina and tinnitus remains unclear. Future longitudinal studies are needed to clarify underlying mechanisms, assess directionality, and determine whether cardiovascular risk modification may have implications for tinnitus prevention or management. Full article
(This article belongs to the Section Hearing)
Show Figures

Figure 1

15 pages, 863 KB  
Article
Self-Esteem as a Mediator Between Body-Esteem and Depression Among Korean Adolescents: Differences by Weight Status
by So-Yeon Kim and Yong-Sook Eo
Healthcare 2026, 14(5), 616; https://doi.org/10.3390/healthcare14050616 - 28 Feb 2026
Viewed by 241
Abstract
Background/Objectives: Body-esteem during adolescence is associated with depression, potentially through self-esteem, a key indicator of global self-worth. However, evidence regarding whether this mediating pathway differs by weight status remains limited. This study examined the mediating role of self-esteem in the relationship between body-esteem [...] Read more.
Background/Objectives: Body-esteem during adolescence is associated with depression, potentially through self-esteem, a key indicator of global self-worth. However, evidence regarding whether this mediating pathway differs by weight status remains limited. This study examined the mediating role of self-esteem in the relationship between body-esteem and depression among normal-weight adolescents and those with overweight or obesity. Methods: This cross-sectional secondary analysis utilized data from 1168 nationally representative 14-year-old adolescents who participated in the 15th wave of the Panel Study on Korean Children (2022). Data were collected between July and December 2022 through home visits conducted by trained interviewers. Mediation analysis was conducted using PROCESS Macro Model 4, adjusting for sociodemographic and psychosocial covariates. Results: Based on BMI classification, 77.7% of participants were normal weight and 22.3% were overweight or obese. Body-esteem was higher in normal-weight adolescents than in those with overweight or obesity. In both groups, body-esteem was positively associated with self-esteem and negatively associated with depression. After covariate adjustment, self-esteem partially mediated the association between body-esteem and depressive symptoms in normal-weight adolescents and fully mediated this association in adolescents with overweight or obesity. Conclusions: The psychological pathways linking body-esteem and depression differed by weight status. Self-esteem mediated this association in both groups, with a stronger mediating role identified among adolescents with overweight or obesity. These findings highlight the importance of considering weight status when examining psychological pathways related to body perception and emotional well-being. Full article
(This article belongs to the Section Women’s and Children’s Health)
Show Figures

Figure 1

29 pages, 6058 KB  
Article
Multi-Scale Modeling of Aerostatic Spindles Based on Shape Error Harmonic Analysis and Static Characteristic Evaluation
by Wenbo Wang, Longhang Hou, Guangzhou Wang, Guoqing Zhang and Hechun Yu
Lubricants 2026, 14(3), 105; https://doi.org/10.3390/lubricants14030105 - 27 Feb 2026
Viewed by 227
Abstract
Rotor machining errors strongly influence the air-film pressure distribution of aerostatic spindles and fundamentally limit performance enhancement. However, existing studies rarely provide a comprehensive statistical characterization based on measured manufacturing errors. To address this gap, a multi-scale modeling framework based on harmonic analysis [...] Read more.
Rotor machining errors strongly influence the air-film pressure distribution of aerostatic spindles and fundamentally limit performance enhancement. However, existing studies rarely provide a comprehensive statistical characterization based on measured manufacturing errors. To address this gap, a multi-scale modeling framework based on harmonic analysis of form errors is developed. Measured surface topography data from a batch of rotors are decomposed to establish a harmonic statistical model, which is then incorporated into a modified Reynolds equation together with macro-scale and micro-scale error components. The static performance of the aerostatic spindle is subsequently analyzed. Results show that low-order harmonics (1st–5th) dominate cylindricity errors, with amplitudes following a log-normal distribution. The statistical bounds are described by 3σ envelopes. When the eccentricity ε exceeds 0.3, barrel-shaped errors reduce the load capacity by more than 15%, whereas waist-drum-shaped errors exhibit a self-stabilizing tendency under small deviations. Performance degradation can be partially mitigated by adjusting the supply pressure and orifice diameter. This study addresses the research gap in understanding the impact of measured manufacturing errors on aerostatic spindle performance and provides a quantitative basis for tolerance allocation and performance optimization. Full article
Show Figures

Figure 1

36 pages, 4700 KB  
Article
Urban Resilience Under a Common Shock: Assessing the Impact of China’s Pilot Free Trade Zones Using Nighttime Light Data
by Jiayu Ru, Lu Gan and Xiaoyan Huang
Land 2026, 15(3), 385; https://doi.org/10.3390/land15030385 - 27 Feb 2026
Viewed by 218
Abstract
Assessing urban resilience under compound shocks requires observable and comparable process evidence that can inform resilient land governance and cross-jurisdiction planning. Using China’s Pilot Free Trade Zones (PFTZs) as a staged institutional setting, this research examines whether institutional exposure is associated with deviation–recovery [...] Read more.
Assessing urban resilience under compound shocks requires observable and comparable process evidence that can inform resilient land governance and cross-jurisdiction planning. Using China’s Pilot Free Trade Zones (PFTZs) as a staged institutional setting, this research examines whether institutional exposure is associated with deviation–recovery trajectories of urban activity during the 2020 COVID-19 shock and whether these associations propagate through spatial spillovers with an identifiable scale profile. Institutional exposure is operationalized by the prefecture-level cities actually covered by PFTZ functional areas. With harmonized administrative boundaries, we construct an annual city-level VIIRS nighttime light (NTL) series for 2013–2024 and treat NTL as an activity-change signal rather than a direct proxy for output. We trace shock deviation in 2020 and subsequent recovery via staged differencing. Spatial interaction frictions are represented by least-cost path distance (LCPD) derived from a multi-source cost surface, which is used to build a gravity-based spatial weight matrix. Estimation relies on the Spatial Durbin Model (SDM), with LeSage–Pace impact decomposition to distinguish direct and spillover effects, complemented by distance-threshold diagnostics to map attenuation patterns. Results indicate persistent clustering within the PFTZ-related urban system. The shock year is characterized by compressed connectivity and fragmented brightening, whereas recovery proceeds in a layered manner with earlier core repair, partial corridor reconnection, and weaker adjustment at the periphery. Spatial dependence in activity change is statistically significant. Associations linked to institutional exposure are realized primarily locally, while structural and scale conditions more readily operate through spatial externalities. Spillovers are most detectable at meso-scales and attenuate gradually across distance thresholds. Overall, the integrated earth-observation and spatial-econometric framework provides replicable geospatial evidence to support resilient land governance and regional coordination under common shocks. Full article
(This article belongs to the Special Issue Geospatial Technologies for Land Governance)
Show Figures

Figure 1

21 pages, 1630 KB  
Article
An Infant Formula with Partially Hydrolyzed Whey and Intact Protein Demonstrates Adequate Growth and Safety: A 6-Month Randomized, Triple-Blind, Controlled Trial
by Qianqian Shen, Hua Jiang, Shuai Mao, Sha Luo, Yanjie Hao, Wenxin Liang, Tingchao He, Lotte Neergaard Jacobsen, Nan Sheng, Jing Yin, Xiaoying Feng, Xiaojiang Jia, Yvan Vandenplas and Yumei Zhang
Nutrients 2026, 18(5), 770; https://doi.org/10.3390/nu18050770 - 26 Feb 2026
Viewed by 358
Abstract
Background/Objectives: Evidence suggests that partially hydrolyzed whey protein promotes appropriate infant growth; however, research on its long-term effects, especially in Asia, remains limited. This study set out to evaluate the effects of an infant formula containing partially hydrolyzed whey and intact protein on [...] Read more.
Background/Objectives: Evidence suggests that partially hydrolyzed whey protein promotes appropriate infant growth; however, research on its long-term effects, especially in Asia, remains limited. This study set out to evaluate the effects of an infant formula containing partially hydrolyzed whey and intact protein on infant growth and development. Methods: This multicenter, triple-blind, randomized non-inferiority trial enrolled healthy full-term infants (≤14 days old). Participants were randomized (1:1) to receive pHF (n = 78) or SF (n = 70) until 6 months of age, with propensity score-matched exclusively breastfed (BF) infants (n = 70) serving as the reference. The primary outcome was daily weight gain. Linear mixed models assessed the association between feeding type and WHO z-scores over time. Results: Over 6 months, the adjusted mean (SE) daily weight gain (g) was 26.4 (1.27) g/day in BF, 26.0 (1.19) g/day in pHF, and 25.3 (1.27) g/day in the SF group. The adjusted mean difference between pHF and SF was 0.64 g/day (95%CI: −1.55, 2.83), confirming non-inferiority. Growth parameters were comparable between pHF and SF, with WHO z-scores remaining within ±1 SD of reference standards. Compared with pHF, SF was associated with a slower increase in length-for-age z score (LAZ). While there was no difference between the pHF and BF groups, WAZ increased significantly less in SF vs. BF [−0.34 (95%CI: −0.58, −0.10), p = 0.003]. Gastrointestinal disorders occurred more frequently in the SF group than in the BF group, with no significant difference between the pHF and BF groups. Conclusions: An infant formula containing partially hydrolyzed whey and intact protein supported adequate growth and was well tolerated during the first six months of life, with growth trajectories comparable to those of breastfed infants. Full article
Show Figures

Figure 1

11 pages, 868 KB  
Article
Densitometry Versus Bioimpedance for Modeling Vitamin D–Endocrine and Metabolic Associations in Pediatric Obesity: A Cross-Sectional Parallel-Modality Analysis
by Elżbieta Jakubowska-Pietkiewicz, Jędrzej Chrzanowski and Elżbieta Woźniak
Nutrients 2026, 18(5), 750; https://doi.org/10.3390/nu18050750 - 26 Feb 2026
Viewed by 190
Abstract
Background/Objectives: It has been previously shown that bioimpedance assessment (BIA) systematically underestimates adiposity compared to densitometry analysis (DXA), though the methods correlate strongly. However, whether DXA outperforms BIA for physiology modeling—using vitamin D as a sentinel signal—remains uncertain. We compared DXA and [...] Read more.
Background/Objectives: It has been previously shown that bioimpedance assessment (BIA) systematically underestimates adiposity compared to densitometry analysis (DXA), though the methods correlate strongly. However, whether DXA outperforms BIA for physiology modeling—using vitamin D as a sentinel signal—remains uncertain. We compared DXA and BIA side-by-side to model (i) adiposity–25(OH)D associations, (ii) mediation-style links with metabolic outcomes, and the vitamin D–PTH–calcium axis. Methods: We performed a cross-sectional analysis of 165 children with simple obesity and no vitamin D prophylaxis collected between July 2022 and July 2025. We measured adiposity through DXA and BIA methods, laboratory 25(OH)D, and associated biochemical and clinical parameters: PTH, calcium, phosphate, glucose/insulin/HOMA-IR, lipids. Information on age, sex, and season was recorded and used to adjust for potential covariates. Parallel analyses included partial correlations, linear regression, mediation models, and Bland–Altman analysis for DXA–BIA agreement. Results: The cohort median age was 13 years; median 25(OH)D level was 21.9 ng/mL. DXA fat % exceeded BIA (46.6% vs. 36.7%). Univariately, 25(OH)D correlated inversely with adiposity (DXA rho = −0.16, BIA rho = −0.19), but adiposity was not a significant determinant of 25(OH)D after season/age adjustment with either modality. No mediation of vitamin D to metabolic associations via adiposity were detected. The vitamin D–PTH–calcium axis was robust across modalities. Conclusions: In children with established obesity, seasonal and age factors dominate 25(OH)D variability, while the adiposity contributes little within-group. Vitamin D shows endocrine but not metabolic associations, and within this homogenous pediatric obesity cohort, DXA does not outperform BIA for physiologic modeling. Full article
Show Figures

Figure 1

14 pages, 551 KB  
Article
Strengthening the Immunization System Through Private Provider Engagement to Improve Vaccine Uptake in Urban Settlements of Karachi, Pakistan: A Before–After Study
by Zahid Memon, Ammarah Ali, Shifa Habib, Wardah Ahmed, Fizza Ansar, Maheen Kalwar, Iqbal Azam, Lala Aftab, Ahsanullah Bhurgri and Shehla Zaidi
Vaccines 2026, 14(3), 205; https://doi.org/10.3390/vaccines14030205 - 26 Feb 2026
Viewed by 370
Abstract
Background: We aimed to evaluate the impact of a Private Provider Engagement (PPE) model that integrated neighborhood private health providers into the immunization system to improve vaccine uptake and reduce coverage disparities among marginalized communities in Karachi, Pakistan, where health inequities and the [...] Read more.
Background: We aimed to evaluate the impact of a Private Provider Engagement (PPE) model that integrated neighborhood private health providers into the immunization system to improve vaccine uptake and reduce coverage disparities among marginalized communities in Karachi, Pakistan, where health inequities and the risk of vaccine-preventable diseases remain high. Methods: Routine immunization service corners were established at nine private clinics in urban settlements of eight high-risk union councils (HRUCs) in Karachi. A quasi-experimental before-and-after study design was used with a baseline survey conducted in May–July 2022 and an end-line survey in April–June 2024. Households were selected using a multistage cluster sampling approach, and data were collected from parents or primary caregivers of children aged 4–11 months residing in the catchment areas for >3 months, using an adapted WHO immunization coverage questionnaire. The primary outcome was child immunization status for BCG, Polio, Pentavalent (DTP-3), Rotavirus, PCV, TCV, and MR vaccines, categorized as fully vaccinated, partially vaccinated, or unvaccinated, and verified through vaccination cards or caregiver recall. Multinomial and binary logistic regression were used to investigate factors associated with immunization coverage. Results: A total of 2167 children were surveyed (1141 children at baseline; 1026 children at end-line). The proportion of fully immunized children more than doubled across sexes, with significantly higher adjusted odds at endline (aOR: 6.34, 95%CI: 2.45–16.21). Age-appropriate uptake of all antigens improved, with over fourfold odds for receiving the Penta-3 vaccine (aOR 4.55, 95%CI: 3.55–5.82) and more than threefold odds for receiving the MR-1 Vaccine (aOR 3.67, 95%CI: 2.37–5.67). Parental education strongly predicted immunization, with the highest odds among children of fathers with secondary or higher education or skilled labor. Fully immunized Pashto-speaking children increased at endline but had the lowest odds compared to Urdu-speaking children. Conclusion: The PPE model increased vaccination coverage and reduced disparities in Karachi’s urban settlements, demonstrating potential for scale-up to strengthen routine immunization and reduce the number of zero-dose children. Full article
(This article belongs to the Special Issue Vaccination and Public Health Strategy)
Show Figures

Figure 1

Back to TopTop